当前位置:首页>文档>高三物理答案(1)_2024届内蒙古锡林郭勒盟上学期高三年级全盟统考_内蒙古锡林郭勒盟2024届上学期高三年级全盟统考物理

高三物理答案(1)_2024届内蒙古锡林郭勒盟上学期高三年级全盟统考_内蒙古锡林郭勒盟2024届上学期高三年级全盟统考物理

  • 2026-04-07 11:04:38 2026-02-10 01:57:56

文档预览

高三物理答案(1)_2024届内蒙古锡林郭勒盟上学期高三年级全盟统考_内蒙古锡林郭勒盟2024届上学期高三年级全盟统考物理
高三物理答案(1)_2024届内蒙古锡林郭勒盟上学期高三年级全盟统考_内蒙古锡林郭勒盟2024届上学期高三年级全盟统考物理
高三物理答案(1)_2024届内蒙古锡林郭勒盟上学期高三年级全盟统考_内蒙古锡林郭勒盟2024届上学期高三年级全盟统考物理
高三物理答案(1)_2024届内蒙古锡林郭勒盟上学期高三年级全盟统考_内蒙古锡林郭勒盟2024届上学期高三年级全盟统考物理
高三物理答案(1)_2024届内蒙古锡林郭勒盟上学期高三年级全盟统考_内蒙古锡林郭勒盟2024届上学期高三年级全盟统考物理
高三物理答案(1)_2024届内蒙古锡林郭勒盟上学期高三年级全盟统考_内蒙古锡林郭勒盟2024届上学期高三年级全盟统考物理

文档信息

文档格式
pdf
文档大小
0.126 MB
文档页数
3 页
上传时间
2026-02-10 01:57:56

文档内容

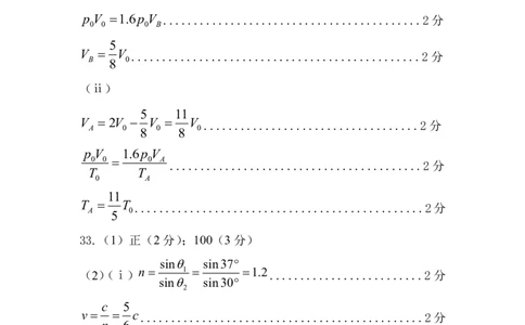
物理参考答案 题号 14 15 16 17 18 19 20 21 答案 C B C D A AC AD BD 22. (每空 2 分) (1)BF (2)1.80 (m m )(h h )2 f 2 (3)(m m )gh  1 2 4 2 1 2 3 200 23.(1)(3 分) 49 (2)B(2 分)(3)AC(2 分)(4) (2 分) 39 24.(1) b 到 a(下到上也可以给分) ..............................2 分 (2) v2  v 2 2ax...........................................2 分 0 v  2al ...............................................1 分 Blv Bl 2al I   ..........................................2 分 R R BIl mg .............................................2 分 BIl B2l2 2al   .....................................3 分 mg mgR 1 {#{QQABaQSAggCoAABAAQhCQw0ICAEQkBAACCoGhEAMMAAAiBFABAA=}#}1 25.(1) mgr  mv2 ......................................2 分 2 0 v  6m/s...............................................1 分 0 (2)mv  (mm )v ....................................1 分 0 p 1 1 1 mv2  (mm )v2 mgL............................1 分 0 p 1 1 2 2 v  2m/s ..............................................1 分 1 L  2.4m ...............................................1 分 (3)m v  m v m v .................................1 分 P 1 p P Q 2 1 1 1 m v2  m v2  m v2 ................................1 分 P 1 p P Q 2 2 2 2 v  0.4m/s P v 1.6m/s.............................................1 分 2 mg a  1 5m/s2 .......................................1 分 1 m (mm )g mg a  2 Q 1 1m/s2 ..........................1 分 1 m Q 木块与木板 Q 均作匀减速到共速 v  v a t  v a t ...................................2 分 3 1 1 1 2 2 1 t  0.1s................................................1 分 1 v 1.5m/s.............................................1 分 3 木块与木板 Q 一起做匀减速直线运动到停止 (mm )g a  2 Q  2m/s2 ................................1 分 3 (mm ) Q 2 {#{QQABaQSAggCoAABAAQhCQw0ICAEQkBAACCoGhEAMMAAAiBFABAA=}#}0v t  3  0.75s........................................2 分 2 a 3 t t t  0.85s .........................................1 分 1 2 33.(1)ABD(选对 1 个得 2 分,选对 2 个得 4 分选对 3 个得 5 分, 错选 1 个扣 3 分,最低得 0 分) (2)(ⅰ) p  p 1.6p B A 0 p V 1.6p V ..........................................2 分 0 0 0 B 5 V  V ...............................................2 分 B 0 8 (ⅱ) 5 11 V  2V  V  V ...................................2 分 A 0 0 0 8 8 p V 1.6p V 0 0  0 A .........................................2 分 T T 0 A 11 T  T ...............................................2分 A 0 5 33.(1)正(2 分);100(3 分) sin sin37 (2)(ⅰ)n  1  1.2.........................2 分 sin sin30 2 c 5 v   c..............................................2分 n 6 R R 11R t    .........................................2 分 v c 5c 1 5 (ⅱ)sinC   ....................................2 分 n 6 11 h  RcosC  R...................................2 分 6 3 {#{QQABaQSAggCoAABAAQhCQw0ICAEQkBAACCoGhEAMMAAAiBFABAA=}#}