当前位置:首页>文档>精品解析:甘肃省庆阳第一中学2024-2025学年高一上学期第一次月考数学试题(解析版)_1多考区联考试卷_10102024-2025学年高一上学期第一次月考数学试题(多套)

精品解析:甘肃省庆阳第一中学2024-2025学年高一上学期第一次月考数学试题(解析版)_1多考区联考试卷_10102024-2025学年高一上学期第一次月考数学试题(多套)

  • 2026-04-03 20:25:35 2026-02-10 02:29:54

文档预览

精品解析:甘肃省庆阳第一中学2024-2025学年高一上学期第一次月考数学试题(解析版)_1多考区联考试卷_10102024-2025学年高一上学期第一次月考数学试题(多套)
精品解析:甘肃省庆阳第一中学2024-2025学年高一上学期第一次月考数学试题(解析版)_1多考区联考试卷_10102024-2025学年高一上学期第一次月考数学试题(多套)
精品解析:甘肃省庆阳第一中学2024-2025学年高一上学期第一次月考数学试题(解析版)_1多考区联考试卷_10102024-2025学年高一上学期第一次月考数学试题(多套)
精品解析:甘肃省庆阳第一中学2024-2025学年高一上学期第一次月考数学试题(解析版)_1多考区联考试卷_10102024-2025学年高一上学期第一次月考数学试题(多套)
精品解析:甘肃省庆阳第一中学2024-2025学年高一上学期第一次月考数学试题(解析版)_1多考区联考试卷_10102024-2025学年高一上学期第一次月考数学试题(多套)
精品解析:甘肃省庆阳第一中学2024-2025学年高一上学期第一次月考数学试题(解析版)_1多考区联考试卷_10102024-2025学年高一上学期第一次月考数学试题(多套)
精品解析:甘肃省庆阳第一中学2024-2025学年高一上学期第一次月考数学试题(解析版)_1多考区联考试卷_10102024-2025学年高一上学期第一次月考数学试题(多套)
精品解析:甘肃省庆阳第一中学2024-2025学年高一上学期第一次月考数学试题(解析版)_1多考区联考试卷_10102024-2025学年高一上学期第一次月考数学试题(多套)
精品解析:甘肃省庆阳第一中学2024-2025学年高一上学期第一次月考数学试题(解析版)_1多考区联考试卷_10102024-2025学年高一上学期第一次月考数学试题(多套)
精品解析:甘肃省庆阳第一中学2024-2025学年高一上学期第一次月考数学试题(解析版)_1多考区联考试卷_10102024-2025学年高一上学期第一次月考数学试题(多套)
精品解析:甘肃省庆阳第一中学2024-2025学年高一上学期第一次月考数学试题(解析版)_1多考区联考试卷_10102024-2025学年高一上学期第一次月考数学试题(多套)
精品解析:甘肃省庆阳第一中学2024-2025学年高一上学期第一次月考数学试题(解析版)_1多考区联考试卷_10102024-2025学年高一上学期第一次月考数学试题(多套)
精品解析:甘肃省庆阳第一中学2024-2025学年高一上学期第一次月考数学试题(解析版)_1多考区联考试卷_10102024-2025学年高一上学期第一次月考数学试题(多套)
精品解析:甘肃省庆阳第一中学2024-2025学年高一上学期第一次月考数学试题(解析版)_1多考区联考试卷_10102024-2025学年高一上学期第一次月考数学试题(多套)
精品解析:甘肃省庆阳第一中学2024-2025学年高一上学期第一次月考数学试题(解析版)_1多考区联考试卷_10102024-2025学年高一上学期第一次月考数学试题(多套)
精品解析:甘肃省庆阳第一中学2024-2025学年高一上学期第一次月考数学试题(解析版)_1多考区联考试卷_10102024-2025学年高一上学期第一次月考数学试题(多套)
精品解析:甘肃省庆阳第一中学2024-2025学年高一上学期第一次月考数学试题(解析版)_1多考区联考试卷_10102024-2025学年高一上学期第一次月考数学试题(多套)
精品解析:甘肃省庆阳第一中学2024-2025学年高一上学期第一次月考数学试题(解析版)_1多考区联考试卷_10102024-2025学年高一上学期第一次月考数学试题(多套)
精品解析:甘肃省庆阳第一中学2024-2025学年高一上学期第一次月考数学试题(解析版)_1多考区联考试卷_10102024-2025学年高一上学期第一次月考数学试题(多套)
精品解析:甘肃省庆阳第一中学2024-2025学年高一上学期第一次月考数学试题(解析版)_1多考区联考试卷_10102024-2025学年高一上学期第一次月考数学试题(多套)

文档信息

文档格式
docx
文档大小
0.667 MB
文档页数
16 页
上传时间
2026-02-10 02:29:54

文档内容

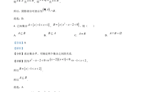
庆阳一中 2024-2025 学年度第一学期第一次月考 高一数学 一、单选题:本题共8小题,每小题5分,共40分.在每小题给出的四个选项中,只有一项 是符合题目要求的. 1. 设集合 , , ,则 ( ) A. B. C. D. 【答案】D 【解析】 【分析】由集合的补集,并集运算求解即可. 【详解】由题意可知 ,所以 , 所以 , 故选:D 2. 命题“ , ”的否定是( ) A. , B. , C. , D. , 【答案】A 【解析】 【分析】运用特称命题的否定知识,否定结论,特称变全称即可. 【详解】运用特称命题的否定知识,命题“ , ”的否定是“ , ”. 故选:A. 3. 如图,已知矩形U表示全集,A、B是U的两个子集,则阴影部分可表示为( ) 第1页/共16页 学科网(北京)股份有限公司A. B. C. D. 【答案】D 【解析】 【分析】在阴影部分区域内任取一个元素x ,分析元素x 与各集合的关系,即可得出合适的选项. 【详解】解:在阴影部分区域内任取一个元素x , 则 且 ,即 且 , 所以,阴影部分可表示为 . 故选:D. 4. 已知集合 , ,则( ) A. B. C. D. 【答案】A 【解析】 【分析】求出集合 ,可确定两个集合之间的关系. 【详解】因为 , 所以 . 所以 . 故选:A 5. 已知命题 为真命题,则实数 的取值范围是( ) A. B. C. D. 【答案】D 【解析】 【分析】问题转化为不等式 的解集为 ,根据一元二次不等式解集的形式求参数的值. 第2页/共16页 学科网(北京)股份有限公司【详解】因为命题 为真命题,所以不等式 的解集为 . 所以:若 ,则不等式 可化为 ,不等式解集不 是; 若 ,则根据一元二次不等式解集的形式可知: . 综上可知: 故选:D 6. 中国清朝数学家李善兰在 年翻译 代数学 中首次将“ ”译做:“函数”,沿用至今,为什么 这么翻译,书中解释说“凡此变数中函彼变数者,则此为彼之函数” 年美国人给出了集合论的函数定 义,已知集合 ,给出下列四个对应法则:① ,② ,③ ,④ ,请由函数定义判断,其中能构成从 到 的函数的是 ( ) A. ①③ B. ①② C. ③④ D. ②④ 【答案】C 【解析】 【分析】利用函数的定义逐一分析判断即可. 【详解】对应关系若能构成从 到 的函数, 须满足:对 中的任意一个数,通过对应关系在 中都有唯一的数与之对应, 对于①, ,当 时, ,故 不满足题意; 对于②, ,当 时, ,故 不满足题意; 对于③, ,当 时, ,当 时, , 当 时, ,当 时, ,故 满足题意; 第3页/共16页 学科网(北京)股份有限公司对于④, ,当 时, , 当 时, ,当 时, ,故 满足题意. 故选:C. 的 7. 关于 方程 有两个根,其中一个大于 1,另一个小于1时,则 的取值范围为( ) A. B. C. 或 D. 或 【答案】A 【解析】 【分析】根据方程根的个数以及根的分布情况解不等式即可求得结果. 【详解】根据方程 有两个根,其中一个大于1,另一个小于1, 可知 ,解得 . 故选:A 8. 已知 , ,且 ,若 恒成立,则实数 的取值范围为( ) A. B. C. D. 【答案】B 【解析】 【分析】将问题转化为 ,利用“1”的代换以及基本不等式求解 ,从而得到 ,求解不等式,即可得到答案. 第4页/共16页 学科网(北京)股份有限公司【详解】因为不等式 恒成立, 则 , 因为 , ,由 可得 , 所以 , 当且仅当 ,即 , 时取等号, 故 , 所以 ,即 ,解得 , 则实数 的取值范围是 . 故选:B. 二、多选题:本题共3小题,每小题6分,共18分.在每小题给出的选项中,有多项符合题 目要求.全部选对的得6分,部分选对的得部分分,有选错的得0分. 9. 下列命题是真命题的为( ) A. 若 ,则 B. 若 ,则 C. 若 且 ,则 D. 若 且 ,则 【答案】BCD 【解析】 【分析】由已知条件结合不等式的性质,判断结论是否正确. 第5页/共16页 学科网(北京)股份有限公司【详解】对于A项,取 , , , , 则 , ,所以 ,故A选项错误; 对于B选项,若 ,有 ,则 ,B选项正确; 对于C选项,若 ,则 ,则 , 又因为 ,由不等式的性质可得 ,所以C选项正确; 对于D选项,若 且 ,则 ,所以, ,D选项正确. 故选:BCD. 10. 下列说法正确的是( ) A. 至少有一个实数 ,使 B. “ ”是“ ”的充分不必要条件 C. 命题“ ”的否定是假命题 D. “集合 ”中只有一个元素是“ ”的必要不充分条件 【答案】BD 【解析】 【分析】由在实数范围内, 可得A错误;举反例可得必要性不成立,可得B正确;由全称与特称命 题的性质和二次函数的性质可得C错误;由集合 中只有一个元素可得 或 ,再由必要性可得D正 确; 【详解】对于A,在实数范围内, , ,故A错误; 第6页/共16页 学科网(北京)股份有限公司对于B,若 ,则 ,充分性成立, 若 ,如 ,此时 ,必要性不成立, 所以“ ”是“ ”的充分不必要条件,故B正确; 对于C,命题“ ”的否定是 , 由二次函数的性质可得 开口向上, ,所以 恒成立,故C错误; 对于D,若集合 中只有一个元素, 当 时, ;当 时,可得 , 所以必要性成立,故D正确; 故选:BD. 11. 设正实数 满足 ,则( ) A. 的最大值是 B. 的最小值为4 C. 最小值为 D. 最小值为2 【答案】ABC 【解析】 【分析】直接利用基本不等式即可求解A,利用乘“1”法即可求解B,利用完全平方式的性质即可求解 C,将“1”代换,即可由基本不等式求解D. 【详解】对于A, ,解得 , 第7页/共16页 学科网(北京)股份有限公司当且仅当 ,即 , 时等号成立,故A正确; 对于B, , 当且仅当 即 时等号成立,故B正确; 对于C, ,当且仅当 , 时等号成立,C正确; 对于D, , 当且仅当 即 时等号成立,故D错误. 故选:ABC. 三、填空题:本题共3小题,每小题5分,共15分. 12. 若集合 , ,且 ,则实数 的值是_________. 【答案】 或0 【解析】 【分析】分 、 和 分别计算即可. 【详解】当 时, ,符合题意; 当 时, ; 当 时, , 综上, 的值为 或 . 故答案为: 或 . 第8页/共16页 学科网(北京)股份有限公司13. 若关于 的不等式 的解集为 ,则 ______. 【答案】-2 【解析】 【分析】将不等式解集问题转化为一元二次方程的两根问题,结合韦达定理求出 ,得到答 案. 【详解】由题意得:-1,3为方程 的两根, 故 , 解得: , 故 . 故答案为:-2 14. 当 时, 定义运算 : 当 时, ;当 时, ; 当 或 时, ; 当 时, ; 当 时, . 在此定义下, 若集合 , 则 中元素的个数为______. 【答案】14 【解析】 【分析】根据定义运算 ,分成五类情况分别列举符合条件的元素,合并即得集合 . 【详解】①当 时, ,所以 或 或 ; ②当 时, ,所以 或 或 ; 第9页/共16页 学科网(北京)股份有限公司③当 或 时, , 所以 或 或 或 或 或 ; ④当 时, ; ⑤当 时, . 所以 , ,共14个元素. 故答案为:14. 四、解答题:本题共5小题,共77分.解答应写出文字说明、证明过程或演算步骤. 15. 已知集合 . (1)若 , 求 ; (2)若 中只有一个元素, 求 的取值集合. 【答案】(1) (2) 【解析】 【分析】(1)求出 ,根据并集概念求出答案; (2)分 和 两种情况,得到答案. 【小问1详解】 时, , 因为 ,所以方程 无实数根, 所以 . 故 . 第10页/共16页 学科网(北京)股份有限公司【小问2详解】 当 时, ,得 ,此时 ; 当 时, ,得 ,此时 . 故 的取值集合为 . 16. (1)已知 ,求证: 是 的充要条件. (2)已知 , , ,求证: 【答案】(1)见解析(2)见解析 【解析】 【分析】(1)证明充要条件,可先证明充分性再证必要性; (2)利用作差法证明即可. 【详解】(1)证明:∵ ∴ . 充分性证明即 . ∵ ,即 , ∴ , 充分性得证; 必要性证明即 . 又∵ ∴ , ∵ , ∴ , 第11页/共16页 学科网(北京)股份有限公司∴ ,即 , 必要性得证. 故 是 的充要条件. (2)证明: , ∵ , , , ∴ , ∴ , ∴ ,即 故 . 17. 求下列关于x的不等式的解集: (1) ; (2) 【答案】(1) (2)答案见解析 【解析】 【分析】(1)根据分式不等式的解法,即可求解; (2)根据题意,利用一元二次不等式的解法,分类讨论,即可求解. 【小问1详解】 解:由不等式 ,可得 ,解得 , 第12页/共16页 学科网(北京)股份有限公司即不等式 的解集为 . 【小问2详解】 解:由不等式 ,可得化为 , 若 ,不等式可化为 ,解得 ,即解集为 ; 若 ,不等式可化为 当 时,不等式即为 ,解得 或 ,即不等式的解集为 或 ; 当 时,不等式即 为, ①当 时,即 时,解得 ,解集为 ; ②当 时,即 时,解得 ,解集为 ; ③当当 时,即 时,解得 ,解集为 综上, 当 时,不等式的解集为 或 ; 当 ,不等式的解集为 ; 当 时,不等式的解集为 ; 当 时,不等式的解集为 ; 第13页/共16页 学科网(北京)股份有限公司当 时,不等式的解集为 . 18. 如图,要设计一张矩形广告牌,该广告牌含有大小相等的左右两个矩形栏目(即图中阴影部分),这 两栏的面积之和为 ,四周空白的宽度为10cm,两栏之间的中缝空白的宽度为5cm,设广告牌的 高为 ,宽为 . (1)试用 表示 ,并求 的取值范围; (2)用 表示广告牌的面积 ; (3)广告牌的高取多少时,可使广告牌的面积 最小? 【答案】(1) (2) (3)140cm 【解析】 【分析】(1)运用面积之和得到等式,再写成函数表达式即可; (2)矩形面积公式写函数表达式; (3)运用换元,结合基本不等式解题即可. 【小问1详解】 每栏的高和宽分别为 ,其中 两栏面积之和为: , 第14页/共16页 学科网(北京)股份有限公司整理得, . 【 小问2详解】 ; 【小问3详解】 令 , 则 ; 当 时, 取最小值为24500,此时 ; 答:当广告牌的高取140cm时,可使广告的面积S最小. 19. 设命题 :对任意 ,不等式 恒成立,命题 :存在 ,使得不等 式 成立. (1)若 为真命题,求实数 的取值范围; (2)若p,q一真一假,求实数 的取值范围. 【答案】(1) (2) 【解析】 【分析】(1) 为真命题时,任意 ,不等式 恒成立可转化为 ,求解即可 (2)化简命题 ,由(1)结合条件列不等式即可求出 的取值范围. 第15页/共16页 学科网(北京)股份有限公司【小问1详解】 为 因 为真命题, 所以对任意 ,不等式 恒成立, 所以 ,其中 , 所以 ,解得 , 所以 的取值范围 ; 【小问2详解】 若 为真命题,即存在 ,使得不等式 成立, 则 ,其中 , 而 , 所以 ,故 ; 因为 一真一假, 所以 为真命题, 为假命题或 为假命题 为真命题, 若 为真命题, 为假命题,则 ,所以 ; 若 为假命题, 为真命题,则 或 ,所以 . 综上, 或 , 所以 的取值范围为 . 第16页/共16页 学科网(北京)股份有限公司