当前位置:首页>文档>上海数学-答案-p_近10年高考真题汇编(必刷)_2024年高考真题_高考真题(截止6.29)_上海卷(5科)

上海数学-答案-p_近10年高考真题汇编(必刷)_2024年高考真题_高考真题(截止6.29)_上海卷(5科)

  • 2026-04-12 15:01:35 2026-02-11 09:12:21

文档预览

上海数学-答案-p_近10年高考真题汇编(必刷)_2024年高考真题_高考真题(截止6.29)_上海卷(5科)
上海数学-答案-p_近10年高考真题汇编(必刷)_2024年高考真题_高考真题(截止6.29)_上海卷(5科)
上海数学-答案-p_近10年高考真题汇编(必刷)_2024年高考真题_高考真题(截止6.29)_上海卷(5科)
上海数学-答案-p_近10年高考真题汇编(必刷)_2024年高考真题_高考真题(截止6.29)_上海卷(5科)
上海数学-答案-p_近10年高考真题汇编(必刷)_2024年高考真题_高考真题(截止6.29)_上海卷(5科)
上海数学-答案-p_近10年高考真题汇编(必刷)_2024年高考真题_高考真题(截止6.29)_上海卷(5科)
上海数学-答案-p_近10年高考真题汇编(必刷)_2024年高考真题_高考真题(截止6.29)_上海卷(5科)
上海数学-答案-p_近10年高考真题汇编(必刷)_2024年高考真题_高考真题(截止6.29)_上海卷(5科)
上海数学-答案-p_近10年高考真题汇编(必刷)_2024年高考真题_高考真题(截止6.29)_上海卷(5科)
上海数学-答案-p_近10年高考真题汇编(必刷)_2024年高考真题_高考真题(截止6.29)_上海卷(5科)
上海数学-答案-p_近10年高考真题汇编(必刷)_2024年高考真题_高考真题(截止6.29)_上海卷(5科)
上海数学-答案-p_近10年高考真题汇编(必刷)_2024年高考真题_高考真题(截止6.29)_上海卷(5科)
上海数学-答案-p_近10年高考真题汇编(必刷)_2024年高考真题_高考真题(截止6.29)_上海卷(5科)
上海数学-答案-p_近10年高考真题汇编(必刷)_2024年高考真题_高考真题(截止6.29)_上海卷(5科)
上海数学-答案-p_近10年高考真题汇编(必刷)_2024年高考真题_高考真题(截止6.29)_上海卷(5科)
上海数学-答案-p_近10年高考真题汇编(必刷)_2024年高考真题_高考真题(截止6.29)_上海卷(5科)

文档信息

文档格式
docx
文档大小
0.832 MB
文档页数
12 页
上传时间
2026-02-11 09:12:21

文档内容

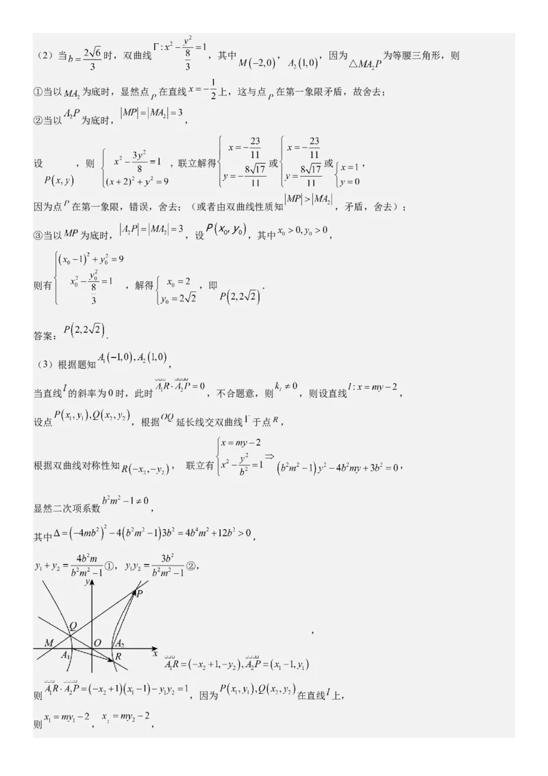
2024年上海夏季高考数学(网络回忆版) 一、填空题 1.设全集 ,集合 ,则 . 【答案】 【解析】由题设有 , 答案: 2.已知 则 . 【答案】 【解析】因为 故 , 答案: . 3.已知 则不等式 的解集为 . 【答案】 【解析】方程 的解为 或 , 故不等式 的解集为 , 答案: . 4.已知 , ,且 是奇函数,则 . 【答案】 【解析】因为 是奇函数,故 即 , 故 , 答案: . 5.已知 ,且 ,则 的值为 . 【答案】15 【解析】 , ,解得 . 答案:15. 6.在 的二项展开式中,若各项系数和为32,则 项的系数为 . 【答案】10 【分析】令 ,解出 ,再利用二项式的展开式的通项合理赋值即可.【解析】令 , ,即 ,解得 , 所以 的展开式通项公式为 ,令 ,则 , . 答案:10. 7.已知抛物线 上有一点 到准线的距离为9,那么点 到 轴的距离为 . 【答案】 【分析】根据抛物线的定义知 ,将其再代入抛物线方程即可. 【解析】由 知抛物线的准线方程为 ,设点 ,由题意得 ,解得 , 代入抛物线方程 ,得 ,解得 , 则点 到 轴的距离为 . 答案: . 8.某校举办科学竞技比赛,有 3种题库, 题库有5000道题, 题库有4000道题, 题库有3000道题. 小申已完成所有题,他 题库的正确率是0.92, 题库的正确率是0.86, 题库的正确率是0.72.现他从所有的题 中随机选一题,正确率是 . 【答案】0.85 【解析】根据题意知, 题库的比例为: , 各占比分别为 , 则根据全概率公式知所求正确率 . 答案:0.85. 9.已知虚数 ,其实部为1,且 ,则实数 为 . 【答案】2 【解析】设 , 且 . 则 , , ,解得 , 答案:2. 10.设集合 中的元素皆为无重复数字的三位正整数,且元素中任意两者之积皆为偶数,求集合中元素个数的最 大值 . 【答案】329 【解析】根据题意知集合中且至多只有一个奇数,其余均是偶数. 首先讨论三位数中的偶数,①当个位为0时,则百位和十位在剩余的9个数字中选择两个进行排列,则这样的偶数有 个; ②当个位不为0时,则个位有 个数字可选,百位有 个数字可选,十位有 个数字可选, 由分步乘法这样的偶数共有 , 最后再加上单独的奇数,所以集合中元素个数的最大值为 个. 答案:329. 11.已知点B在点C正北方向,点D在点C的正东方向, ,存在点A满足 ,则 (精确到0.1度) 【答案】 【分析】设 ,在 和 中分别利用正弦定理得到 , 。 【解析】设 , 在 中,由正弦定理得 ,即 ’ 即 ① 在△BCA中,由正弦定理得 , 即 ,即 ,② 因为 , 得 , 利用计算器即可得 , 答案: . 12.无穷等比数列 满足首项 ,记 ,若对任意正整数 集合 是闭 区间,则 的取值范围是 . 【答案】 【分析】当 时,不妨设 ,则 ,结合 为闭区间可得对任意的 恒成立,故可求 的取值范围. 【解析】由题设有 ,因为 ,故 ,故 , 当 时, ,故 ,此时 为闭区间, 当 时,不妨设 ,若 ,则 , 若 ,则 , 若 ,则 , 综上, , 又 为闭区间等价于 为闭区间, 而 ,故 对任意 恒成立, 故 即 ,故 , 故 对任意的 恒成立,因 , 故当 时, ,故 即 . 答案: . 二、单选题 13.已知气候温度和海水表层温度相关,且相关系数为正数,对此描述正确的是( ) A.气候温度高,海水表层温度就高 B.气候温度高,海水表层温度就低 C.随着气候温度由低到高,海水表层温度呈上升趋势 D.随着气候温度由低到高,海水表层温度呈下降趋势 【答案】C 【解析】AB。当气候温度高,海水表层温度变高变低不确定,AB错误. CD.因为相关系数为正,故随着气候温度由低到高时,海水表层温度呈上升趋势, C正确,D错误. 故选:C. 14.下列函数 的最小正周期是 的是( ) A. B. C. D. 【答案】A 【解析】A. ,周期 ,A正确;B. ,周期 ,B错误; C. ,是常值函数,不存在最小正周期,C错误; D. ,周期 ,D错误, 故选:A. 15.定义一个集合 ,集合中的元素是空间内的点集,任取 ,存在不全为0的实数 ,使得 .已知 ,则 的充分条件是( ) A. B. C. D. 【答案】C 【解析】根据题意知这三个向量 共面,即这三个向量不能构成空间的一个基底, A.由空间直角坐标系易知 三个向量共面,则当 无法推出 ,A错 误; B.由空间直角坐标系易知 三个向量共面,则当 无法推出 ,B错 误; C. 由空间直角坐标系易知 三个向量不共面,可构成空间的一个基底, 则由 能推出 ,C正确。 D.由空间直角坐标系易知 三个向量共面,则当 无法推出 ,D 错误. 故选:C. 16.已知函数 的定义域为R,定义集合 ,在使得 的所有 中,下列成立的是( ) A.存在 是偶函数 B.存在 在 处取最大值 C.存在 是严格增函数 D.存在 在 处取到极小值 【答案】B 【分析】对于ACD利用反证法并结合函数奇偶性、单调性以及极小值的概念即可判断,对于B,构造函数 即可判断. 【解析】A.若存在 是偶函数, 取 ,则对于任意 , 而 , 矛 盾, A 错误;B.可构造函数 满足集合 ,当 时,则 ,当 时, , 当 时, ,则该函数 的最大值是 ,B正确; C.假设存在 ,使得 严格递增,则 ,与已知 矛盾,C错误; D.假设存在 ,使得 在 处取极小值,则在 的左侧附近存在 ,使得 ,这与已知集合 的定义矛盾,D错误; 故选:B. 三、解答题 17.如图为正四棱锥 为底面 的中心. (1)若 ,求 绕 旋转一周形成的几何体的体积; (2)若 为 的中点,求直线 与平面 所成角的大小. 【答案】(1) (2) 【解析】(1)正四棱锥满足且 平面 ,由 平面 ,则 , 又正四棱锥底面 是正方形,由 可得, , 故 , 由圆锥的定义, 绕 旋转一周形成的几何体是以 为轴, 为底面半径的圆锥, 即圆锥的高为 ,底面半径为 ,由圆锥的体积公式,所得圆锥的体积是 (2)连接 ,根据题意结合正四棱锥的性质可知,每个侧面都是等边三角形, 由 是 中点,则 ,又 平面 , 故 平面 ,即 平面 ,又 平面 , 于是直线 与平面 所成角的大小即为 ,不妨设 ,则 , , 又线面角的范围是 , 故 . 18.若 . (1) 过 ,求 的解集; (2)存在 使得 成等差数列,求 的取值范围. 【答案】(1) (2) 【分析】(1)求出底数 ,再根据对数函数的单调性可求不等式的解; (2)存在 使得 成等差数列等价于 在 上有解,利用换元法结 合二次函数的性质可求 的取值范围. 【解析】(1)因为 的图象过 ,故 ,故 即 (负的舍去), 而 在 上为增函数,故 ,故 即 , 故 的解集为 . (2)因为存在 使得 成等差数列, 故 有解,故 , 因为 ,故 ,故 在 上有解, 由 在 上有解, 令 ,而 在 上的值域为 , 故 即 . 19.为了解某地初中学生体育锻炼时长与学业成绩的关系,从该地区29000名学生中抽取580人,得到日均体育锻 炼时长与学业成绩的数据如下表所示: 时间范围学业成绩 优秀 5 44 42 3 1 不优秀 134 147 137 40 27 (1)该地区29000名学生中体育锻炼时长不少于1小时人数约为多少? (2)估计该地区初中学生日均体育锻炼的时长(精确到0.1) (3)是否有 的把握认为学业成绩优秀与日均体育锻炼时长不小于1小时且小于2小时有关?(附: 其中 , .) 【答案】(1) (2) (3)有 【解析】(1)由表可知锻炼时长不少于1小时的人数为占比 , 则估计该地区29000名学生中体育锻炼时长不少于1小时的人数为 . (2)估计该地区初中生的日均体育锻炼时长约为 . 则估计该地区初中学生日均体育锻炼的时长为0.9小时. (3)由题列联表如下: 其他 合计 优秀 45 50 95 不优秀 177 308 485 合计 222 358 580 提出零假设 :该地区成绩优秀与日均锻炼时长不少于1小时但少于2小时无关. 其中 . . 则零假设不成立, 即有 的把握认为学业成绩优秀与日均锻炼时长不小于1小时且小于2小时有关. 20.已知双曲线 左右顶点分别为 ,过点 的直线 交双曲线 于 两点. (1)若离心率 时,求 的值. (2)若 为等腰三角形时,且点 在第一象限,求点 的坐标. (3)连接 并延长,交双曲线 于点 ,若 ,求 的取值范围. 【答案】(1) (2) (3) 【分析】设直线 ,联立双曲线方程得到韦达定理式,再代入计算向量数量积的等式计算即可. 【解析】(1)根据题意得 ,则 , .(2)当 时,双曲线 ,其中 , ,因为 为等腰三角形,则 ①当以 为底时,显然点 在直线 上,这与点 在第一象限矛盾,故舍去; ②当以 为底时, , 设 ,则 , 联立解得 或 或 , 因为点 在第一象限,错误,舍去;(或者由双曲线性质知 ,矛盾,舍去); ③当以 为底时, ,设 ,其中 , 则有 ,解得 ,即 . 答案: . (3)根据题知 , 当直线 的斜率为0时,此时 ,不合题意,则 ,则设直线 , 设点 ,根据 延长线交双曲线 于点 , 根据双曲线对称性知 , 联立有 , 显然二次项系数 , 其中 , ①, ②, , 则 ,因为 在直线 上, 则 , ,即 ,即 , 将①②代入有 , 即 化简得 , 所以 , 代入到 , 得 , 所以 , 且 ,解得 ,又因为 ,则 , 由上知, , . 21.对于一个函数 和一个点 ,令 ,若 是 取到最小值的点, 则称 是 在 的“最近点”. (1)对于 ,求证:对于点 ,存在点 ,使得点 是 在 的“最近点”; (2)对于 ,请判断是否存在一个点 ,它是 在 的“最近点”,且直线 与 在点 处的切线垂直; (3)已知 在定义域R上存在导函数 ,且函数 在定义域R上恒正,设点 , .若对任意的 ,存在点 同时是 在 的“最近点”,试判断 的单调性. 【答案】(1)见解析 (2)存在, (3)严格单调递减 【分析】(1)代入 ,利用基本不等式即可; (2)由题得 ,利用导函数得到其最小值,则得到 ,再证明直线 与切线垂直即可; (3)根据题意得到 ,对两等式化简得 ,再利用“最近点”的定义得到不等式组, 即可证明 ,最后得到函数单调性. 【解析】(1)当 时, , 当且仅当 即 时取等号, 故对于点 ,存在点 ,使得该点是 在 的“最近点”.(2)由题设可得 , 则 ,因为 均为 上单调递增函数, 则 在 上为严格增函数, 而 ,故当 时, ,当 时, ,故 ,此时 , 而 ,故 在点 处的切线方程为 . 而 ,故 ,故直线 与 在点 处的切线垂直. (3)设 , , 而 , , 若对任意的 ,存在点 同时是 在 的“最近点”, 设 ,则 既是 的最小值点,也是 的最小值点, 因为两函数的定义域均为 ,则 也是两函数的极小值点, 则存在 ,使得 , 即 ① ② 根据①②相等得 ,即 , 即 ,又因为函数 在定义域R上恒正, 则 恒成立, 接下来证明 , 因为 既是 的最小值点,也是 的最小值点,则 , 即 ,③ ,④ ③ ④得即 ,因为 则 ,解得 , 则 恒成立,因为 的任意性,则 严格单调递减.