当前位置:首页>文档>专题09中华人民共和国成立和社会主义革命与建设(学生卷)_近10年高考真题汇编(必刷)_十年(2014-2024)高考历史真题分项汇编(全国通用)

专题09中华人民共和国成立和社会主义革命与建设(学生卷)_近10年高考真题汇编(必刷)_十年(2014-2024)高考历史真题分项汇编(全国通用)

  • 2026-04-06 06:01:16 2026-02-11 14:05:35

文档预览

专题09中华人民共和国成立和社会主义革命与建设(学生卷)_近10年高考真题汇编(必刷)_十年(2014-2024)高考历史真题分项汇编(全国通用)
专题09中华人民共和国成立和社会主义革命与建设(学生卷)_近10年高考真题汇编(必刷)_十年(2014-2024)高考历史真题分项汇编(全国通用)
专题09中华人民共和国成立和社会主义革命与建设(学生卷)_近10年高考真题汇编(必刷)_十年(2014-2024)高考历史真题分项汇编(全国通用)
专题09中华人民共和国成立和社会主义革命与建设(学生卷)_近10年高考真题汇编(必刷)_十年(2014-2024)高考历史真题分项汇编(全国通用)
专题09中华人民共和国成立和社会主义革命与建设(学生卷)_近10年高考真题汇编(必刷)_十年(2014-2024)高考历史真题分项汇编(全国通用)
专题09中华人民共和国成立和社会主义革命与建设(学生卷)_近10年高考真题汇编(必刷)_十年(2014-2024)高考历史真题分项汇编(全国通用)
专题09中华人民共和国成立和社会主义革命与建设(学生卷)_近10年高考真题汇编(必刷)_十年(2014-2024)高考历史真题分项汇编(全国通用)
专题09中华人民共和国成立和社会主义革命与建设(学生卷)_近10年高考真题汇编(必刷)_十年(2014-2024)高考历史真题分项汇编(全国通用)
专题09中华人民共和国成立和社会主义革命与建设(学生卷)_近10年高考真题汇编(必刷)_十年(2014-2024)高考历史真题分项汇编(全国通用)
专题09中华人民共和国成立和社会主义革命与建设(学生卷)_近10年高考真题汇编(必刷)_十年(2014-2024)高考历史真题分项汇编(全国通用)
专题09中华人民共和国成立和社会主义革命与建设(学生卷)_近10年高考真题汇编(必刷)_十年(2014-2024)高考历史真题分项汇编(全国通用)
专题09中华人民共和国成立和社会主义革命与建设(学生卷)_近10年高考真题汇编(必刷)_十年(2014-2024)高考历史真题分项汇编(全国通用)
专题09中华人民共和国成立和社会主义革命与建设(学生卷)_近10年高考真题汇编(必刷)_十年(2014-2024)高考历史真题分项汇编(全国通用)
专题09中华人民共和国成立和社会主义革命与建设(学生卷)_近10年高考真题汇编(必刷)_十年(2014-2024)高考历史真题分项汇编(全国通用)
专题09中华人民共和国成立和社会主义革命与建设(学生卷)_近10年高考真题汇编(必刷)_十年(2014-2024)高考历史真题分项汇编(全国通用)
专题09中华人民共和国成立和社会主义革命与建设(学生卷)_近10年高考真题汇编(必刷)_十年(2014-2024)高考历史真题分项汇编(全国通用)
专题09中华人民共和国成立和社会主义革命与建设(学生卷)_近10年高考真题汇编(必刷)_十年(2014-2024)高考历史真题分项汇编(全国通用)
专题09中华人民共和国成立和社会主义革命与建设(学生卷)_近10年高考真题汇编(必刷)_十年(2014-2024)高考历史真题分项汇编(全国通用)
专题09中华人民共和国成立和社会主义革命与建设(学生卷)_近10年高考真题汇编(必刷)_十年(2014-2024)高考历史真题分项汇编(全国通用)
专题09中华人民共和国成立和社会主义革命与建设(学生卷)_近10年高考真题汇编(必刷)_十年(2014-2024)高考历史真题分项汇编(全国通用)
专题09中华人民共和国成立和社会主义革命与建设(学生卷)_近10年高考真题汇编(必刷)_十年(2014-2024)高考历史真题分项汇编(全国通用)
专题09中华人民共和国成立和社会主义革命与建设(学生卷)_近10年高考真题汇编(必刷)_十年(2014-2024)高考历史真题分项汇编(全国通用)
专题09中华人民共和国成立和社会主义革命与建设(学生卷)_近10年高考真题汇编(必刷)_十年(2014-2024)高考历史真题分项汇编(全国通用)
专题09中华人民共和国成立和社会主义革命与建设(学生卷)_近10年高考真题汇编(必刷)_十年(2014-2024)高考历史真题分项汇编(全国通用)
专题09中华人民共和国成立和社会主义革命与建设(学生卷)_近10年高考真题汇编(必刷)_十年(2014-2024)高考历史真题分项汇编(全国通用)
专题09中华人民共和国成立和社会主义革命与建设(学生卷)_近10年高考真题汇编(必刷)_十年(2014-2024)高考历史真题分项汇编(全国通用)
专题09中华人民共和国成立和社会主义革命与建设(学生卷)_近10年高考真题汇编(必刷)_十年(2014-2024)高考历史真题分项汇编(全国通用)
专题09中华人民共和国成立和社会主义革命与建设(学生卷)_近10年高考真题汇编(必刷)_十年(2014-2024)高考历史真题分项汇编(全国通用)
专题09中华人民共和国成立和社会主义革命与建设(学生卷)_近10年高考真题汇编(必刷)_十年(2014-2024)高考历史真题分项汇编(全国通用)
专题09中华人民共和国成立和社会主义革命与建设(学生卷)_近10年高考真题汇编(必刷)_十年(2014-2024)高考历史真题分项汇编(全国通用)
专题09中华人民共和国成立和社会主义革命与建设(学生卷)_近10年高考真题汇编(必刷)_十年(2014-2024)高考历史真题分项汇编(全国通用)
专题09中华人民共和国成立和社会主义革命与建设(学生卷)_近10年高考真题汇编(必刷)_十年(2014-2024)高考历史真题分项汇编(全国通用)
专题09中华人民共和国成立和社会主义革命与建设(学生卷)_近10年高考真题汇编(必刷)_十年(2014-2024)高考历史真题分项汇编(全国通用)
专题09中华人民共和国成立和社会主义革命与建设(学生卷)_近10年高考真题汇编(必刷)_十年(2014-2024)高考历史真题分项汇编(全国通用)
专题09中华人民共和国成立和社会主义革命与建设(学生卷)_近10年高考真题汇编(必刷)_十年(2014-2024)高考历史真题分项汇编(全国通用)
专题09中华人民共和国成立和社会主义革命与建设(学生卷)_近10年高考真题汇编(必刷)_十年(2014-2024)高考历史真题分项汇编(全国通用)
专题09中华人民共和国成立和社会主义革命与建设(学生卷)_近10年高考真题汇编(必刷)_十年(2014-2024)高考历史真题分项汇编(全国通用)
专题09中华人民共和国成立和社会主义革命与建设(学生卷)_近10年高考真题汇编(必刷)_十年(2014-2024)高考历史真题分项汇编(全国通用)
专题09中华人民共和国成立和社会主义革命与建设(学生卷)_近10年高考真题汇编(必刷)_十年(2014-2024)高考历史真题分项汇编(全国通用)
专题09中华人民共和国成立和社会主义革命与建设(学生卷)_近10年高考真题汇编(必刷)_十年(2014-2024)高考历史真题分项汇编(全国通用)
专题09中华人民共和国成立和社会主义革命与建设(学生卷)_近10年高考真题汇编(必刷)_十年(2014-2024)高考历史真题分项汇编(全国通用)
专题09中华人民共和国成立和社会主义革命与建设(学生卷)_近10年高考真题汇编(必刷)_十年(2014-2024)高考历史真题分项汇编(全国通用)
专题09中华人民共和国成立和社会主义革命与建设(学生卷)_近10年高考真题汇编(必刷)_十年(2014-2024)高考历史真题分项汇编(全国通用)

文档信息

文档格式
docx
文档大小
4.350 MB
文档页数
39 页
上传时间
2026-02-11 14:05:35

文档内容

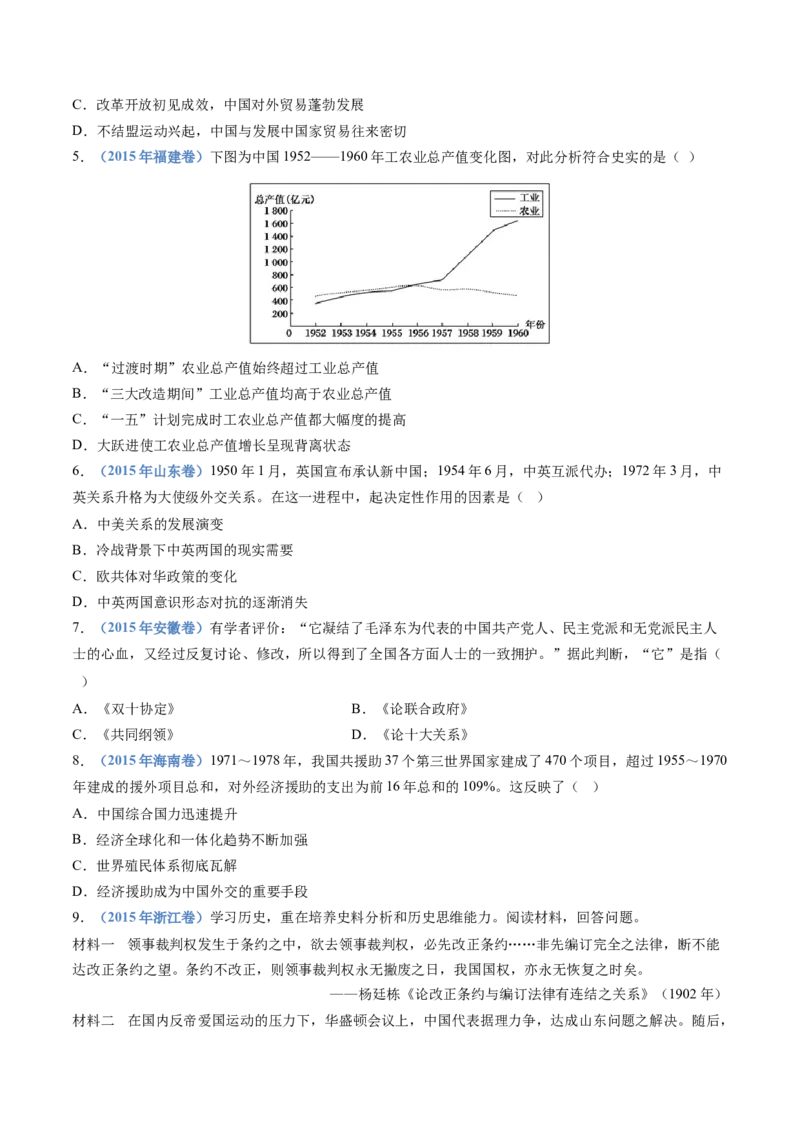
目录 考点 01 中华人民共和国成立和向社会主义的过渡................................1 考点 02 社会主义建设在探索中曲折发展..............................................28 (按住Ctrl,点击目录里的考点,可直接跳到对应考点) 考点 01 中华人民共和国成立和向社会主义的过渡 1.(2023年湖南卷)1949年民族资本主义工业产值占中国工业总产值比重表 产品 原煤 烧碱 电动机 棉纱 棉布 纸 火柴 卷烟 面粉 比重 28.3% 59.4% 79.6% 46.7% 40.3% 63.4% 80.6% 80.4% 79.4% 据上表推知,当时( ) A.新民主主义经济政策实施效果明显 B.私营经济是社会主义经济有益补充 C.对民族资本主义工商业改造迫在眉睫 D.限制和利用民族资本主义具有必要性 2.(2023年全国乙卷)图1、图2分别为1955~1956年拍摄的动画片《神笔》《骄傲的将军》的剧照,两 部影片融入了中国传统戏曲、诗画等元素,在世界影坛上独树一帜。这体现出新中国艺术创作( )A.探索民族化道路的取向 B.以进入世界市场为主要目标 C.摆脱外来艺术形式影响 D.服务于对外开放的基本国策 3.(2023年北京卷)1954年,政务院发布通知,要求政府机关人员“在每天上午和下午的工作时间中各 抽出十分钟做工间操”。随后,国家体委也公布并推行了第一套少年广播体操和儿童广播体操,很快成为 中小学生每日必做的早操和课间操。这表明( ) A.政府意在减少劳动和学习时间 B.竞技体育精神深入社会各行业 C.民众逐渐接受了休闲娱乐观念 D.政府高度重视增强民众的体质 4.(2023年山东卷)新中国成立以来,中国十分重视与周边国家的交往:20世纪50年代,提出和平共处 五项原则;2003年,提出“睦邻、安邻、富邻”的周边外交政策;中共十八大以来,坚持“与邻为善、以 邻为伴”的外交方针,突出体现“亲、诚、惠、容”的外交理念。这主要是为了( ) A.消除分歧增进互信 B.构建均衡发展格局 C.深化合作共谋发展 D.改善全球治理体系 5.(2023年湖北卷)全面抗战爆发后,八路军来到太行山区,山西省平顺县西沟村贫苦农民李顺达得以 翻身。1943年,李顺达组织六户贫困农民成立农业劳动互助组。1950年,他参加了全国工农兵劳动英雄代 表大会。1951年,李顺达互助组发起生产竞赛,全国各地纷纷响应。据此可知( ) A.根据地的经验延续至新中国 B.农业互助组是主要生产组织形式 C.劳模示范推动技术领域创新 D.互助合作推动三大改造顺利开展 6.(2023年海南卷)有苏北民歌唱道:“不要吹,不要打,不坐轿,不骑马”“不拜天地不拜灶,又不 烧香点纸马”“区里登记走一下”“要问我家陪什么?不用箱柜来陪嫁,陪了一头小花牛,给姐耕地种庄 稼”。歌中这一现象最有可能出现于( ) A.1912—1927年 B.1927—1937年 C.1949—1956年 D.1978—1992年 7.(2023年全国甲卷)阅读材料,完成下列要求。 材料 武汉长江大桥武汉长江大桥是新中国在长江上建造的第一座铁路、公路两用大桥,也是第一个五年计划的重点建设 项目。毛泽东豪迈地写道:“一桥飞架南北,天堑变通途。”,武汉长江大桥已经成为新中国的国家记忆。 新中国成立以来,我们的国家发生了翻天覆地的变化,创造了一个又一个人类发展史上的伟大奇迹, 无论是中国历史上,还是世界历史上,都是一部感天动地的奋斗史诗。 结合史实阐释一则新中国的“国家记忆”。(要求:体现国家意义,观点正确,史论结合,逻辑严谨。) 1.(2022年重庆卷)1949年11月30日重庆解放后,重庆市军管会在接管城市时明确要求:对旧政权人 员一概不许称伪人员,对企业生产机关必要时可冠以“原”字,对学校除需要更改名称的外,仍称原名。 这些要求( ) A.体现了民主集中的工作原则 B.贯彻了团结建国的精神 C.落实了爱国统一战线的方针 D.适应了三大改造的需要 2.(2022年天津卷)近代以来,不同时期对华贷款最多的国家不断变化,1840~1911年是英国, 1911~1927年是日本,1927~1949年是美国,1949~1960年是苏联。对上述变化理解最全面的是( ) A.中国国家实力与经济发展水平的变化 B.世界上主要国家对华政策性质的变化 C.近代以来中国对外援依赖程度的变化 D.国际局势影响下中国国际地位的变化 3.(2022年江苏卷)1951年3月18日,毛泽东致函邓小平等领导同志:“民主人士及大学教授愿意去看 土改的,应放手让他们去看……吴景超、朱光潜等去西安附近看土改,影响很好,要将这样的事例教育我 们的干部。”在这里,毛泽东指示( ) A.应赋予人大代表以充分的权力 B.贯彻“长期共存,互相监督”方针 C.为建立人民民主政权进行调研 D.为政治协商、参政议政树立典型 4.(2022年辽宁卷)1950年9月,中共中央将《关于东北工厂迁移问题的意见》下发到东北局,10月初, 东北南部地区以重工业为主兼有部分轻工业的23家工厂正式向北迁移,一个月之内相关设备和人员全部到 位。这一举措是为了( ) A.平衡地区差异 B.调整工业结构 C.应对朝鲜战争 D.恢复国民经济 5.(2022年海南卷)1952年,以反细菌战为目的的爱国卫生运动在全国展开;到1956年,“除四害”(四害指老鼠、蚊子等病媒虫害)成为该运动的新内容。在整个过程中,群众是主体力量,既是参与者也 是服务对象。这充分反映了( ) A.新民主主义革命胜利 B.群众运动取得了成效 C.中国历史进入新纪元 D.人民生活条件的改善 6.(2022年广东卷)1954年7月,中共中央政治局举行会议,周恩来汇报参加日内瓦会议和出访印度、 缅甸情况时,毛泽东指出:“门要关死已经不可能了,而且很有一种有利的局势,需要我们走出去。缓和 国际紧张局势,不同制度的国家可以和平相处。”这说明 A.国内建设需要调整“一边倒”政策 B.支持民族解放运动提升中国影响力 C.“求同存异”促进亚非各国了解中国 D.不结盟运动兴起改变了世界政治格局 7.(2022年浙江卷1月)20世纪50年代中期,周恩来在印度尼西亚举行的某国际会议上强调中国代表团 是来求团结而不是来吵架的”,会议最终通过了《关于促进世界和平和合作宣言》这次会议上,周恩来作 出的重要贡献有 A.鲜明地提出了“求同存异”的方针 B.就印度支那停止敌对行动提出六点建设性意见 C.首次提出了“和平共处五项原则” D.阐述了以结伴而不结盟为核心的新型国家关系 8.(2022年山东卷)阅读材料,回答问题。 历史的透视:一幅宣传画 结合所学知识,以“《工人新村》赏析"为题写一则历史短文。(要求:表述成文,叙述完整;立论正确, 史论结合;逻辑严密,条理清晰) 9.(2022年重庆卷)阅读材料,回答问题。 材料一 中国古代各民族在长期的碰撞与交融中,逐渐形成独具特色的民族观念。《史记》运用先秦 以来的典籍资料,广泛搜集各地传说,梳理、创建了一个支系庞大而主线清晰的族谱体系。在该体系中,传说中的黄帝是夷夏各族共同的始祖。 至明代,云南哈尼族传说认为先祖躲入葫芦中逃脱大洪水后生下五子,分别成为哈尼、彝、汉、傣和 瑶族的祖先。南甸土司自其十六世祖开始有“呈祥”“守忠”“定国”等汉化名字出现。云南乡式名额也 由洪熙元年(1425)的10名,增至万历末期的47名。沐英镇滇十年,“练兵劝农,兴学化俗”“民知草 长养老而兴其孝弟矣”。 ——《明代云南地区的民族融合》 材料二 1938年10月,东南亚48埠华侨齐聚新加坡,宣告南洋华侨筹赈祖国难民代表大会成立。陈 嘉庚作为主席发表演讲:“吾侨均为炎黄子孙,素有‘革命之母’之名誉、爱国精神)见重寰宇;七七以 来,与我四万万同胞敌忾同仇,输财纾难,统计不下一万万元……盖国家之大患一日不除,则国民之大责 一日不能卸……愿我八百万侨胞……作我政府后盾,踊跃慷慨,加紧出钱出力……使我物力愈充,使我战 力愈强,使国家得籍吾人血汗一洗百年之奇耻,使民族得精吾人力物力一报九世之仇,抗战胜利必属我 国。” ——《赤子丰碑》 材料三 1949年,中国共产党通过多种渠道动员海外人士回国参加建设。青年核物理学家朱光亚听到 中华人民共和国成立的消息后,毅然决定放弃在美国的优厚待遇,回到祖国,用自己的科学知识投身于新 中国建设。他起草了《给留美同学的一封公开信》,动员更多的留学生回国参加建设。他说:“我们都是 靠千千万万终日劳动的中国工农大众的血汗供养长大的。现在他们渴望我们,我们还不该赶快回去,把自 己的一技之长,献给祖国的人民吗?”回到祖国去,成为当时广大留美中国学生的追求和选择!1950年4 月,朱光亚历尽艰辛回到祖国怀抱。他把毕生所学献给了祖国,为中国的国防科技事业作出了卓越的贡献。 朱光亚作为“两弹一星”功勋科学家名列“感动中国”2011年度获奖者榜首。 ——《朱光亚传》 (1)根据材料一,指出《史记》中民族观念的核心内涵,并归纳明代云南少数民族认同汉文化的表现。 (2)根据材料二,概括陈嘉庚演讲的主要内容。 (3)根据材料三并结合所学知识,说明以朱光亚为代表的海外赤子毅然回国参加建设的缘由。 (4)综合上述材料,谈谈你对中华民族命运共同体的认识。 10.(2022年浙江卷6月)人地关系,是人类社会一个永恒的话题。阅读材料,回答问题。 材料一 思想 观点 家 老子 人法地,地法天,天法道,道法自然。(《老子》) 庄子 天下莫大于秋毫之末,而泰山为小。(《庄子》) 天有其时,地有其财,人有其治,夫是之谓能参。 荀子 (《荀子》) 材料二 马克思说:“土地是人类伟大的实验场所”。……每当一个国家或者民族要着手来表述他们 自己历史的时候,人们总是把这种环绕着土地而引发的人与土地的关系以及人与人之间的关系,作为分析 和处理其他历史现象的一条脊骨。案例举证:秦“用商鞅之法,改帝王之制”“富者田连阡陌”;汉为护农计,令“贾人毋得衣锦绣绮 縠絺纻罽,操兵,乘骑马。”“重租税以困辱之”;在政府政令的号召下,情愿离开“狭乡”远涉关山去 到“宽乡”落户的人们,是北魏的自耕农;至唐前期,狭乡不足者,听于宽乡遥授。为了改变“千年田八 百主”的小生产状态,中国共产党在“改地换天”的过程中,成功地找到了一条对农业进行社会主义改造 的道路。 ——编自《赵俪生文集》、金冲及《二十世纪中国史纲》等 材料三 草在结它的籽,风在摇它的叶。……“我不把天理解为天命,也不把人理解为人生;我认为 天就是大自然,人就是我们人类。”(季羡林语) 徜徉于中国皖南古村落——宏村,仿佛置身于绿波清秀的山水画卷。从高处望去,宏村就像一只昂首 奋蹄的大水牛,背倚黄山余脉,四周山水与粉墙青瓦融为一体,反映出中国古代对人地关系认识的哲学高 度,堪称文化与环境协调融合的典范佳构。 ——节自《世界遗产在中国》等 (1)人地关系,也是天人关系。阅读材料一,结合所学,指出荀子在天人关系上的思想主张。在老子看来, 天地人关系中的“有”和“无”“难”和“易”“福”和“祸”都可以相互转化,其据以分析的方法论是 什么?请说明庄子“齐物”追求的精神境界。 (2)在人地关系的图景中,古往今来许多政治家或政党通过田制改革,调整人地关系。根据材料二,结合所 学,分析指出商鞅于“帝王之制”“改”的是什么?说明北魏至唐前期田制的变化。为了改变小生产状态, “改地换天”的新中国,开展了对农业的社会主义改造,请用一句话概括“改造”的内涵。 (3)阅读材料一二三,有两点认识可供选择讨论:①对人地关系的认知,产生出不同的思想主张和政策面向, 影响最大者莫过于“重农抑商”。结合所学,阐述这一为历代王朝所推行的经济政策在汉代商业领域的具 体表现及其影响。②从人地关系的认识出发,分析说明人类与自然的关系。安徽宏村被誉为“科学与诗意 最完美结合”的古村落,结合所学,说一说其巧夺天工的“中华一绝”是什么?试对其背山面水、错落有 致的卧牛形村落布局予以描述。 11.(2022年湖南卷)阅读材料,完成下列要求。 材料一 1949~1978年,中国共产党面临的一个重大问题是如何解决农业快速发展并为工业化奠定基础 和提供保障。中国共产党认为只有工业化才能最终解决贫穷落后,才能最终解决农民问题。为此,中国共 产党逐步建立起农业支持工业、农村支持城市的体制。农业为工业和城市的发展提供农业剩余产品,降低 了工业发展成本。1953~1957年国家预算收入中,由农业及副产品收购、加工、销售、运输等利润和税收 间接构成的财政收入约占全国财政收入的40%。经过二十多年的努力,我国建立起独立的、比较完整的工 业体系和国民经济体系,为国民经济的进一步发展打下了坚实基础。 材料二 1978年后,城乡关系进入新的历史时期,政府不再完全通过计划的手段来调节城乡关系,但 农业支持工业、农村支持城市的趋向并没有立即改变。当农副产品在20世纪80年代前期已能够满足城市 需求的条件下,农民和农村主要通过直接投资(乡镇企业)、提供劳动力等方式,为工业和城市的发展提 供强大动力。2006年,国家取消了农业税。“十一五”期间(2006-2010年),中央财政“三农”投入累 计近3万亿元,年均增幅超过23%。我国工农关系、城乡关系进入了新的历史阶段。 ——以上材料改编自武力《1949-2006年城乡关系演变的历史分析》等 (1)根据材料一并结合所学知识,分析中华人民共和国成立初期实行“农业支持工业、农村支持城市”政策 的条件。(2)根据材料一、二并结合所学知识,阐述中华人民共和国成立以来城乡关系的变化。 1.(2021年河北卷)中华人民共和国成立之初,中共中央把“国防第一,稳定市场第二,其他第三”的 财经工作方针,转变为“边打、边稳、边建”的财经工作方针。这一变化 A.促进了有计划的经济建设的开展 B.体现了优先发展重工业的方针 C.适应了全面建设社会主义的需要 D.加速了社会主义改造的完成 2.(2021年江苏卷)东北机器制造厂尉风英曾被授予“毛主席的好工人”称号。她回忆:“在五六十年 代,大搞技术革新时,我们简直入了迷、着了魔。从1953年到1965年这12年的时间里,我共实现技术革 新177项。”他们的技术革新 A.是为了提升产品市场竞争力 B.体现了工人阶级主人翁精神 C.提高了劳动妇女的社会地位 D.有利于东北经济的均衡发展 3.(2021年江苏卷)如图《通不过去》(图中有“和平之路”“战争之路”“五项基本原则”及排队情 形)意在说明,新中国的外交政策有利于 A.提升不结盟运动的影响力 B.推动社会主义阵营的扩大 C.阻止两极格局的最终形成 D.遏制帝国主义的战争图谋 4.(2021年海南卷)中华人民共和国成立之初,苏南行署的工作人员主要来自苏北与山东,他们对当地 的方言、生活习惯存在隔膜感。苏南行署通过各级民政机关执行苏南区党委制定的抚恤措施,还通过发动 社会力量,以多种方式对解放战争中牺牲军人的家属提供经济补助,解决他们的生活困难。这体现了 A.新民主主义革命取得基本胜利 B.中国特色民主政治的初步形成 C.社会主义改造和建设同步进行 D.马克思主义理论的创造性运用 5.(2021年湖北卷)1957年,外国专家沙博理参观西安时,获悉城市人口从解放初不足50万增加到150万。在访问已建成的六家国营纺织厂中的一家时,他得知“该厂使用的每一件机器都是中国自造的”。他 由此感到这座古城“重新兴盛起来了”。这说明 A.“一五”计划初步改变社会面貌 B.西安成为内地省会开放城市 C.社会主义市场经济体制完全建立 D.城市经济体制改革全面展开 6.(2021年辽宁卷)1954年4月15日,由中华全国总工会主办,历时三个月的鞍钢技术革新展览会在北 京举行。展览会展示了鞍钢技术革新和基本建设的成就,会上劳模张明山、王崇伦等7人还建议在全国开 展技术革新运动,各地纷纷赴京参观学习,由此推动了全国性生产热潮。这表明当时我国 A.国民经济调整任务基本完成 B.学习苏联经验开展技术革新运动 C.初步建立了独立的工业体系 D.工业化建设激发劳动者生产热情 7.(2021年北京卷)1950年,中央人民政府派出的西南民族访问团在当地开办民族干部训练班,召开民 族代表座谈会,帮助少数民族筹备自治区。《人民日报》对此发表社论:“各民族人民团结一致,共同努 力,发展各民族人民大众的经济和文化教育事业。”该团旨在 ①清除国民党政权在边疆地区的军事存在 ②落实《共同纲领》制定的相关民族政策 ③消除历史形成的国内各民族之间的隔阂 ④检查人民代表大会组织机构的设置情况 A.②③ B.①④ C.①② D.③④ 8.(2021年山东卷)1954年8月,毛泽东在接见英国工党代表团时指出:“我们这类国家,如中国和苏 联,主要依靠国内市场,而不是国外市场。这并不是说不要国外联系,不做生意。不,需要联系,需要做 生意,不要孤立。”他意在强调中国 A.需要学习和借鉴西方经验 B.经济建设要坚持自力更生 C.应逐步放弃“一边倒”政策 D.愿意开展对外经济交流 9.(2021年浙江卷6月)1949年,毛泽东在人民政协第一届全体会议上指出:这次“会议是在完全新的 基础上召开的,它具有代表全国人民的性质,它获得全国人民的信任和拥护。”会议通过的《共同纲领》 A.标志着新民主主义革命的胜利 B.成为中华人民共和国中央人民政府施政纲领 C.以根本法的形式确定了“依法治国”的方略 D.强调国家的根本任务是集中力量进行社会主义现代化建设 10.(2021年湖南卷)如表所列活动 时间 活动名 主要获奖或展演(展出)作品 《广陵散》《阳关三叠》《嘉陵江号子》《祖国颂》《长征大合唱》 1956年8月 第一届全国音乐周 等 第一次群众性电影 1957年1月 《董存瑞》《家》《为了和平》《平原游击队》《祝福》 评奖 第一届全国摄影艺 292位作者的321幅作品,有的反映人民群众现实生活,有的反映祖 1957年12 术展 国江山秀丽、欣欣向荣,还有的以人像、静物、花卉及鸟、兽、鱼、月 虫等为题材 A.凸显新中国的经济社会发展成就 B.推动“双百”方针的提出 C.表明文艺领域出现“左”的倾向 D.反映我国传统文化仍占主流 11.(2021年全国乙卷)1957年,国家统计局《工人阶级队伍情况的调查报告》中有1950年及其后参加 工作的职工社会出身情况,如表所示,据如表可知 职工社会出身情况表(%) 转业军 工人 劳动农民 个体劳动者及一般市民 学生 资本家 人 上 35.52 12.95 2.69 18.75 16.08 5.94 海 天 39.13 14.27 3.27 12.29 19.44 3.70 津 陕 26.26 27.99 8.32 8.67 22.95 0.52 西 新 16.16 25.47 23.19 18.18 19.05 0.23 疆 A.内地与沿海原有工业基础差距大 B.西部地区工商业改造不彻底 C.我国的社会主义工业化基本实现 D.沿海地区工业发展更为迅速 12.(2021年浙江卷1月)一次国际会议的公报包括经济合作、文化合作、人权和自决、附属地人民问题、 关于促进世界和平和合作的宣言等七部分。公报声明:“确认人民遭受外国的征服、统治和剥削是对基本 人权的否定,是对联合国宪章的违反,是对于促进世界和平和合作的一种障碍。”这次会议是 A.万隆会议 B.巴黎和会 C.日内瓦会议 D.第26届联合国大会 13.(2021年重庆卷)阅读材料,回答问题 材料一 四川古代交通闭塞,“蜀道之难难于上青天”。盆地内多山地、丘陵,将广袤的地域分隔成 众多的小平坝(即小盆地),一平坝到另一平坝并不方便。四川人民为了消除空间阻隔,不断开拓交通路 线。至两宋时期,由于都城都在四川东面,唯以长江水路为主体的峡路横贯东西,是四川与中央政府的唯 一通途,成为四川最重要的交通路线。峡路是转输蜀布帛、粮草、川盐和纲马的重要漕运路线,也是军事 上的重要通道。但峡路转输成本高昂,民困不支,且水路险恶,事故频发。 ——据蓝勇《四川古代交通路线史》等整理 材料二1904年,川人设立川汉铁路公司,着手筹办铁路。虽尝试过官办、商办、官商合办等多种方式, 但至1910年,该公司只筹到所需路款的约十分之一,开工日期一推再推。1911年,清政府宣布“铁路国 有”,通过向四国银行团借款官办,剥夺了川汉铁路公司的筑路权,保路运动随即发生。民国成立后,北洋政府、国民政府屡有兴工之议,但至解放前,未能铺设一寸铁轨。 ——据宓汝成《近代中国铁路史资料》《中华民国铁路史资料》整理 材料三为实现西南人民自清末以来40余年的愿望,展示中国共产党领导下新生人民政权的力量,成渝 铁路于1950年6月15日正式开工修建。1952年7月1日,也即中国共产党成立31周年纪念日,新中国第 一条由自己设计、自己建造,材料零件全部为国产的成渝铁路在重庆、成都两地同时举行隆重的全线通车 庆祝大会。它的建成,是中国筑路史上的一个伟大创举。 ——摘编自俞荣根等《当代重庆简史》 (1)根据材料一并结合所学知识,指出四川古代交通状况,说明四川峡路交通在宋代的地位与作用。 (2)根据材料二并结合所学知识,分析清末川汉铁路在筹办过程中为何充满曲折。 (3)根据材料三并结合所学知识,概括成渝铁路修建的历史意义。 14.(2021年全国甲卷)阅读材料,完成下列要求 材料一 中华人民共和国成立前夕,美国制定了严格管制对华贸易的政策。尽管英国也要“防止共产 主义的扩张”,但由于香港是东亚的转口贸易中心,英国不愿对除军火外的其他物资实行严格控制。1950 年12月,美国对中国大陆、香港、澳门实行全面禁运。在美国一再施压下,英国同意对战略物资实行有选 择的禁运。中美朝鲜战争结束后,包括英国在内的盟国要求放松对华贸易管制,但美国这一政策在艾森豪 威尔政府任内一直保持下来。 ——摘编自陶文钊等《中美关系史》 材料二 1955年,对外贸易部部长讲道,五年多来,我们在中央和毛主席正确领导下,贯彻了和继续 贯彻着下列基本政策:进口与出口政策必须贯彻发展生产促进国家工业化的原则;稳步发展同苏联和各人 民民主国家的贸易,同时根据平等互利的原则采取争取利用与斗争、分化相结合的策略,积极开展对资本 主义国家的贸易;加强国营对外贸易企业,实行对私营进出口商的社会主义改造。 ——摘编自《中华人民共和国经济档案资料选编》 材料三 中国进出口贸易总额计划完成情况单位:亿元, 第一个五年计划时期 1950 1952 1953 1954 1955 1956 1957 进出口国别总额合计 41.54 64.61 80.92 84.72 109.80 108.65 104.50 13.94 52.50 62.44 69.39 90.16 81.60 77.00 苏联及人民民主国家其中:苏 联 12.86 40.44 47.82 49.07 68.02 57.91 51.86 27.60 12.11 18.48 15.33 19.64 27.05 27.50 亚非及西方国家其中:西方国 家 14.87 1.59 7.08 5.01 7.42 9.69 11.37 ——据《中华人民共和国经济档案资料选编》 (1)根据材料一、二并结合所学知识,分析20世纪50年代前期美英对华贸易政策存在异、同的原因。 (2)根据材料三,概括1950—1957年中国进出口贸易的特征。 (3)根据材料并结合所学知识,评价20世纪50年代前期中国的对外贸易政策。1.(2020年海南卷)下表中农民货币收入的变化主要得益于1949~1952年农民货币收入情况 A.第一个五年计划实行 B.农业合作化在全国基本实现 C.土地改革的全面开展 D.社会主义公有制的基本确立 2.(2020年海南卷)1949年春夏之间,当中国革命战争即将胜利时,毛泽东为制定新中国的外交政策先 后提出了三条方针,其中,“另起炉灶”外交方针所回答的问题是 A.如何对待苏联和其他社会主义国家 B.如何着手建立自己的外交关系 C.如何处理好世界和平与发展的关系 D.如何对待美国和其他帝国主义 3.(2020年北京卷)建国初期,为改变民间拜神祈福的旧习俗,国家鼓励创作新年画。如图《拖拉机》 在1950年全国新年画评奖中获甲等奖。该画“新”在 ①选用了年画创作的新题材 ②表现出移风易俗的新气象 ③展示了合作化运动的新成就 ④描绘出农业机械化的新愿景 A.①②④ B.②③④ C.①③④ D.①②③ 4.(2020年江苏卷)建国初期,一位老大爷谈到种痘运动说:“现在的国家真好,共产党毛主席处处关 心我们,中华人民共和国成立后,没听说哪个地方闹天花,也看不见有麻子的孩子啦。我家的四个孩子, 要是在过去请‘花先生’栽‘花',顶少也得一石来粮。”这则材料作为例证,可用来说明( ) A.社会主义改造成效显著 B.新中国获得民众政治认同 C.民主政治建设扎实推进 D.卫生防疫体系的全面建立 5.(2020年天津卷)20世纪50年代,我国在经济极其落后的基础上,开始大规模工业建设,各行各业掀 起劳动建设高潮。1955年3月,天津制表业的工人们在缺少资金设备、没有图纸资料的情况下,奋战数月,研制出第一块国产手表,用智慧的双手结束了“中国只能修表,不能造表”的历史。由此可以看到当时 四名工人在简陋的条件下研制手表 A.国民经济恢复的重要成果 B.工业综合实力的全面提升 C.勤俭节约的优良传统 D.艰苦奋斗的时代精神 6.(2020年全国Ⅰ卷)1949年5月,中共中央发出指示:“只强调和资本家斗争,而不强调联合愿意和 我们合作的资本家……这是一种实际上立即消灭资产阶级的倾向”“和党的方针政策是在根本上相违反 的”。这一指示有利于当时 A.在经济领域实行公私合营 B.接管城市后生产的恢复发展 C.确立国营经济的主导地位 D.对新民主主义政策进行调整 7.(2020年浙江卷1月)中国人民政治协商会议第一届全国委员会提出的,经中央人民政府委员会通过 的国徽图案具有丰富的象征意义,其中齿轮和麦稻穗象征着 A.国家民主政治建设的内涵得到充分体现 B.人民民主统一战线进入到一个新的发展阶段 C.帝国主义、封建主义、官僚资本主义长期压迫人民的历史结束 D.工人阶级领导的以工农联盟为基础的人民民主专政的新中国的诞生 8.(2020年浙江卷1月)下为1950年10月1日《人民日报》广告截图,仔细阅读相关信息,结合所学分 析判断①自50年代开始中国有了自己的自行车制造厂 ②“大批供应市场”和“大众化”说明中国开始成为“自行车王国” ③“抗衡舶来”表明自行车系中国制造 ④自行车从此成为主要的代步工具 A.①③ B.②④ C.①②③ D.②③④ 1.(2019年海南卷)1953年,中共中央发布指示,指出社会上流行颇广的“技术一边倒”口号“是不恰 当的”,“技术问题和政治问题不同,并没有阶级和阵营的分别,技术本身是能够同样地为各个阶级和各 种制度服务的”。这一指示 A.推动了“一边倒”外交政策的调整 B.为“科教兴国”战略的施行指明方向 C.旨在提高科技工作者的社会地位 D.有利于纠正学习苏联的教条化倾向 2.(2019年江苏卷)第一个五年计划期间,“全国同时开展了一万多个工矿建设单位的施工……从而使 我国的社会经济结构和国民经济面貌发生了重大变化”。对此“变化”表述正确的是 A.初步完成了社会主义工业化 B.开始改变我国工业落后面貌 C.促进了我国国民经济迅速恢复 D.实现了农轻重各部门协调发展 3.(2019年江苏卷)1949年10月3日,《解放日报》发表张乐平的新闻漫画《大旗招展全球》(见下 图),对这幅漫画所含信息理解不正确的是A.新中国奉行和平外交政策 B.国民党政权统治已被推翻 C.人民翻身成为国家的主人 D.国际社会普遍承认新中国 4.(2019年天津卷)毛泽东在一次会议上说:“古代有封建的土地所有制,现在被我们废除了,或者即 将被废除……在今后一个相当长的时期内,我们的农业和手工业,就其基本形态说来,还将是分散的和个 体的,即是说,同古代近似的。”这次会议是 A.中共七大 B.中共七届二中全会 C.第一届全国人民代表大会 D.中共八大 5.(2019年全国Ⅲ卷)下图是1953年创作的年画。该作品 《数他劳动强》 A.继承了中国传统文人画作的基本风格 B.描绘了农民参与社会主义生产的场景 C.体现了“双百”方针提倡的创作精神 D.倡导了适应国家建设需要的社会新风 6.(2019年全国Ⅰ卷)据统计,1954年1月到4月,中国科学院图书馆上海分馆俄文书刊借阅总数为 1953年同期的5倍,为1952年同期的50倍,东北各研究所俄文书刊借阅量也大幅增加。这表明当时 A.科学研究已与国际前沿接轨 B.科教兴国战略已展开 C.对苏联经验的反思蔚然成风 D.工业化建设需求迫切 7.(2019年北京卷)毛泽东在中共七届二中全会上指出:“我党同党外民主人士长期合作的政策,必须 在全党思想上和工作上确定下来。我们必须把党外大多数民主人士看成和自己的干部一样,同他们诚恳地 坦白地商量和解决那些必须商量和解决的问题。”能体现这一思想的是 ①《共同纲领》 ②人民代表大会制度 ③政治协商制度 ④民主集中制A.①② B.③④ C.①③ D.②④ 8.(2019年浙江卷4月)请看下图报影,下列选项中对该报章内容解读正确的是 A.北京这个千年古都成为人民政权的首都 B.北京市人大、政协等相关政权组织已经产生 C.北京市人民政府于1949年10月1日正式成立 D.该消息标志着“北平”正式更名为“北京” 9.(2019年浙江卷4月)阅读材料,回答问题。 材料一 中印两国的谈判在(1953年)12月的最后一天,开始了。周恩来说道:“中印两国的关系会 一天一天地好起来。某些成熟的、悬而未决的问题一定会顺利地解决的。新中国成立后就确立了处理中印 两国关系的原则”。 周恩来指出:中国政府“对于目前正在它的邻邦进行的战争和战争扩大的危险,不能不加以密切的注 意。中国人民认为:朝鲜战争停止了,现在,印度支那战争同样应该停止。” 周恩来指出,亚非国家要从解除殖民主义痛苦和灾难中找共同基础,而非互相疑虑和恐惧,互相排斥 和对立。亚非会议公报指出:“自由和和平是相互依靠的,自决的权利必须为一切人民所享有,自由和独 立必须尽可能不迟延地给予现在仍旧是附属地人民的人们。” ——摘自裴坚章《中华人民共和国外交史》(1949——1956)等 材料二 20世纪80年代,邓小平指出:“过去有一段时间,针对苏联霸权主义的威胁,我们搞了‘一 条线’的战略,就是从日本到欧洲一直到美国这样的‘一条线’。现在我们改变了这个战略”。这一改变 的突出特点就是不再强调与美国结成共同抗苏的战略关系,但同时也并非重建中苏同盟。这个重要转变对 中国内政、外交的发展都具有重大的意义。第一,使中国能够真正把重点转到经济建设上来。第二,使中 国独立自主的和平外交政策特点更加鲜明。 ——摘自孙大力等《中华人民共和国发展史》(第4卷)(1)根据材料一和所学知识,简述共和国初期外交工作所取得的成效,指出亚非会议公报对各自国家制 度和生活方式所表明的立场。 (2)结合所学,指出材料二中“一条线”的战略下,20世纪70年代中国外交取得突破的主要表现。新时 期中国外交政策的转变,推动了对外开放格局的形成,请对此加以概括。 1.(2018年全国Ⅱ卷)到1952年底,新中国已建立多所俄文专科学校,北京大学、清华大学等多所高校 和一批中学开设了俄文课程,许多中小城镇也掀起了学习俄语的热潮。这是我国当时( ) A.外交政策转变的需要 B.计划经济体制的需要 C.文化教育改革的需要 D.国家发展战略的需要 2.(2018年浙江卷11月)1954年,毛泽东会见尼赫鲁,阐述了中印等国拥有的共同点:都曾遭受过帝国 主义、殖民主义的侵略和压迫。他主张平等互利,共同努力防止战争,争取持久的和平。毛泽东阐述的这 个“共同点”及其谈话精神,在后来的一次国际会议上得到了体现。会议形成的共识被誉为 A.“不结盟” B.“万隆精神” C.“单极―多极化”D.“日内瓦精神” 3.(2018年江苏卷)1984年10月,邓小平指出:“处理国与国之间的关系,和平共处五项原则是最好的 方式。其他方式,如‘大家庭’方式,‘集团政治’方式,‘势力范围’方式,都会带来矛盾,激化国际 局势。”邓小平得出上述论断,是因为和平共处五项原则 A.体现了国与国一律平等的理念 B.开创了中苏两国友好的局面 C.消除了国与国之间的矛盾分歧 D.推动了上海合作组织的建立 4.(2018年北京卷)抗美援朝战争进入对峙阶段后,1951年6月,苏联提议,五大国(苏联、法国、英 国、美国、中华人民共和国)缔结和平公约。新中国政府也表示,如今国际上任何重大问题,如果没有苏 联和新中国参加都无法解决。随后,美国同意和谈。这表明 A.抗美援朝极大地提高了新中国的国际地位 B.社会主义阵营放弃与西方国家的冷战对峙 C.上述五大国在联合国中开始发挥决定作用 D.五大国缔结和约,实现了朝鲜半岛的统一 5.(2018年全国Ⅱ卷)图为1956年的一副漫画《两把尺》(画中字:“奶奶的尺--量布做新衣。阿姨的 尺--测量祖国,建设社会主义。”)该漫画反映了A.社会主义建设以工业化为中心 B.女性成为国家建设的重要力量 C.人民公社化运动蓬勃开展 D.城乡差别发生根本性改变 6.(2018年全国Ⅰ卷)下图是1953年的一幅漫画,描绘了资源勘探队员来到深山,手持“邀请函”叩响 山洞大门的情景。这反映了当时我国 A.已经初步改变工业落后局面 B.开始进行对矿产资源的开采 C.国民经济调整任务基本完成 D.大规模的经济建设正在展开 1.(2017年江苏卷)20世纪50年代的某外交声明称:“两国总理承认,在亚洲及世界各地存在着不同的 社会制度和政治制度。然而,如果接受上述原则并按照这些原则办事……就会缓和目前存在于世界上的紧 张局势。”新中国与该声明密切相关的外交事宜是: A.提出和平共处五项原则 B.参加万隆会议 C.出席日内瓦会议 D.签订《中苏友好同盟互助条约》 2.(2017年浙江卷11月)有记者报道某次会议时,写道:周恩来的演讲提出,大家应“从解除殖民主义 痛苦和灾难中找共同基础”。他的通情达理、心平气和,化解了演讲前一些国家对新中国的误解和攻击。 该次会议是 A.日内瓦会议 B.万隆会议 C.第一次不结盟运动会议 D.第26届联合国大会3.(2017年全国Ⅲ卷)下图为1954年某画家创作的《婆媳上冬学》,这一作品 A.继承了传统文人画的特点 B.受同期西方流行画派影响 C.体现了现实主义绘画风格 D.注重表现作者的艺术想象 4.(2017年全国Ⅲ卷)1949年,渡江战役即将发起时,英国军舰擅自闯入长江人民解放军防线。人民解 放军奋起反击,毙伤英军百余人,并要求英、美、法等国的武装力量“迅速撤离中国的领水、领海、领土、 领空”。人民解放军的这一行动( ) A.是对列强在华特权的否定 B.有利于巩固社会主义阵营 C.切断了西方国家对国民党的军事援助 D.反映出“另起炉灶”外交政策的确立 5.(2017年浙江卷11月)2017年内蒙古自治区成立70周年。新中国成立后,依据宪法规定,其它四个 民族自治区相继建立。观察下图,指出其成立的先后顺序( ) A.①③②④ B.②①③④ C.②④①③ D.④③②① 6.(2017年全国Ⅲ卷)1953年苏共中央决定,改变集体农庄劳动报酬发放办法,由以前每年发放一次物 质报酬改为按季度或者按月发放,同时在一些集体农庄试行工资制度,农民可以像工人一样每月领取工资。 这一措施旨在 A.消除城乡之间的差别 B.改变计划经济管理体制 C.调动农民生产积极性 D.推动农民走集体化道路7.(2017年海南卷)如图是创作于1950年的宣传画《拖拉机》,该作品反映出 A.农村开始走上人民公社化道路 B.农业机械化已在农村得到普及 C.农业生产方式将发生巨大变化 D.农村掀起社会主义改造的高潮 8.(2017年全国Ⅱ卷)阅读材料,完成下列要求。 材料一 雍正时期,各地奏请开矿,清廷经常以“开矿聚集亡命,为地方隐忧”为由,下达“严行封禁” “永远封禁”等命令;对一批朝廷获利甚多的矿产,则由朝廷和地方官府严加控制。1872年,李鸿章在一份奏 折中指出,上海各工厂“曰需外洋煤铁”极多,“可忧孰甚”。他建议清政府“设法劝导官督商办,但借用洋器 洋法,而不准洋人代办……于富国强兵之计殊有关系”。清政府采纳李鸿章建议,决定先在部分地区试办 “开采煤铁事宜”。 ——摘编自戴逸主编《简明清史》等 材料二 新中国“一五”计划指出:“矿产资源的勘探和它的勘探进度,资源供应的保证程度,是合理地 分布生产力、建立新工业基地、正确地规定工业建设计划的先决条件。”为此,国家要求“有计划地展开全 国矿产的普查工作”,“加强对某些从前没有发现或者很少发现的和目前特别缺乏的资源(例如石油)以及在地 区上不平衡的资源的普查工作和勘探工作”。 ——据《建国以来重要文献选编》 (1)根据材料一并结合所学知识,分析清政府在雍正年间与19世纪70年代矿业政策的差异及原因。 (2)根据材料并结合所学知识,说明与清代矿业政策相比,新中国“一五”计划期间矿业政策的特点,并简析其 意义。 9.(2017年全国Ⅲ卷)(2017年新课标卷Ⅲ)阅读材料,回答问题。 材料中华人民共和国成立后,部分城市通货膨胀严重,少数商人投机,哄抬物价。政务院副总理陈云 很快将上海局势稳定下来,进而稳定了全国经济形势。面对工业化建设资金短缺等问题,陈云提出对粮食 等主要农副产品实行计划收购和计划供应,即统购统销,被中央采纳实施。他在中共八大上系统地提出了 改进经济体制的“三个主体、三个补充”的设想,即在工商业经营方面,国家经营和集体经营为主补充一 定的个体经营;在生产计划方面,计划生产为主补充一定的自由生产;在市场方面,国家市场为主补充一 定范围的自由市场。1979年春,陈云指出:“六十年来,无论苏联或中国的计划工作制度中出现的缺点: 只有有计划按比例这一条,没有在社会主义制度下还必须有市场调节这一条”,他提出整个社会主义时期 经济必须有计划经济部分和市场调节部分。 ——摘编自金冲及等主编《陈云传》等 (1)根据材料,概括陈云的主要经济思想,并结合所学知识指出其形成的时代背景。(2)根据材料并结合所学知识,简述陈云对新中国经济建设的贡献。 10.(2017年浙江卷4月)阅读材料,回答问题。 材料一 1955年,亚非国家政府首脑在万隆举行会议。面对复杂的国际形势,绝大多数国家作出了求 同存异的努力。会议提出著名的“万隆十项原则”,主张“不使用集体防御的安排来为任何一个大国的特 殊利益服务”。决议“在实际可行的最大程度上互相提供技术援助”,并接受扩大多边贸易和支付范围的 原则,稳定本区域商品贸易。倡议亚洲各国人民“在现代世界的范围内恢复他们旧有的文化接触和发展新 的文化接触”。当时舆论普遍认为,这次会议“将作为一件世界大事载入史册”。 ——摘编自王绳祖《国际关系史》等 材料二 20世纪80年代后期以来,世界经济区域集团化的势头有了迅猛发展。1994年亚太经合组织发 表《茂物宣言》,确定发达成员不晚于2010年,发展中成员不晚于2020年实现贸易投资自由化。1996年, 在各成员提交的计划中,澳大利亚承诺到2000年关税总水平分阶段降低到0-5%,2004年,该国的简单 平均关税税率降至4.25%;中国承诺到2000年以前简单平均关税率降到大致15%,到2004年,中国的简 单平均关税税率已降到10.4%。亚太经合组织的发展,助推了亚洲国家的经济活力。 ——据《区域经济组织研究》等整理 (1)根据材料一并结合所学,概括指出亚非国家在合作发展方面的诉求,简述上述诉求提出的时代背景。 (2)根据材料二,概括亚太经合组织运行方式的特点。综合材料一、二,结合所学知识,简要指出亚洲 国家合作发展的有益经验。 1.(2016年全国Ⅱ卷)“一五”计划期间,我国住宅建设占基本建设投资额的比重不断减少,其他非生 产性建设投资也开始受到抑制。这表明我国 A.致力于奠定工业化基础 B.国民经济结构臻于平衡 C.大力压缩基本建设投资规模 D.城市化的进程趋于缓慢 2.(2016年海南卷)1949年12月,中央人民政府政务院颁布《关于统一发布中央人民政府及其所署名机 关重要新闻的暂行办法》,规定所有公告和公告性新闻均由新华通讯社统一发布.这一举措的目的在于 A.建立起高效的新闻宣传网络 B.实现信息传播业的结构性调整 C.便于及时通报国内国际形势 D.建立集中统一的新闻宣传制度 3.(2016年江苏卷)对于即将参加的某国际会议,中国代表团定下的外交基调是:争取越南南北以北纬 16度线为界实现停战,促使法军撤出,反对美国干涉.这次国际会议是 A.日内瓦会议 B.万隆会议 C.第一届不结盟政府首脑会议 D.第26届联合国大会 4.(2016年江苏卷)下图是我国“一五”计划期间为配合大规模建设而绘制的宣传海报。对其解读正确的是 A.远处的工厂寓意工业化基本实现 B.图下的文字宣传了绿色环保观念 C.往来的船只说明交通运输业基础良好 D.工作的场景展现工人投身建设的热情 5.(2016年全国Ⅰ卷)1965年,中国大陆与西方国家的贸易额在进出口中所占的比重,由1957年的 17.9%上升到52.8%,这种变化的外交背景是,我国 A.实现了与西方国家的正常化 B.调整了与苏联的外交政策 C.推行了全方位的外交政策 D.打破了欧美对华经济制裁 6.(2016年天津卷)阅读材料,回答问题。 材料一 农民在乡里造反,搅动了绅士们的酣梦……我初到长沙时,会到各方面的人,听到许多的街谈巷 议。从中层以上社会至国民党右派,无不一言以蔽之曰:“糟得很。”……“糟得很”,明明是站在地主 利益方面打击农民起来的理论,明明是地主阶级企图保存封建旧秩序,阻碍建设民主新秩序的理论……一 切革命同志须知:国民革命需要一个大的农村变动。辛亥革命没有这个变动……现在有了这个变动,乃是 革命完成的重要因素。 ——《毛泽东选集》第一卷 材料二 中国共产党不是以空话,而是以领导农民进行土地改革的事实,使他们迅速看清是谁代表着他们 的利益,应该跟着谁走。……中国革命的军事斗争同土地制度的改革是不能分开的……没有土地制度的改 革,没有广大农民的全力支持,军事斗争也会失去力量源泉而不可能战胜强大的敌人。 ——金冲及《二十世纪中国史纲》 材料三 中华人民共和国成立后农民对于个体经济的积极性是不可避免的。党充分地了解了农民这种小私 有者的特点,并提出不能忽视和粗暴地挫折农民这种个体经济的积极性。 但是,党中央从来认为要克服很多农民在分散经营中所发生的困难,要使广大贫困的农民能够迅速地增加 生产而走上丰衣足食的道路……就必须提倡“组织起来”,按照自愿和互利的原则,发展农民劳动互助的 积极性。这种劳动互助……发展前途就是农业集体化或社会主义化。——《中共中央关于农业生产互助合作的决议(草案)》(1951年12月) (1)材料一出自毛泽东哪篇文章?毛泽东批判了哪种错误态度?他对农民运动是如何认识的? (2)依据材料二,指出解放战争时期中国共产党是怎样代表农民利益的?农民又是怎样“全力支持”解 放战争的? (3)材料三中,农民的生产积极性表现在哪些方面?中共中央对此有何基本方针? (4)综上,概括中国共产党与农民的密切关系。 1.(2015年上海卷)“亚非绝大多数国家和人民自近代以来都曾经受过、并且现在仍在受着殖民主义所 造成的灾难和痛苦。……从解除殖民主义痛苦和灾难中找共同基础,我们就很容易互相了解和尊重、互相 同情和支持……”这段话的主旨是 A.反对美苏争霸 B.开展全方位外交 C.倡导求同存异 D.重组大国关系 2.(2015年上海卷)“中华人民共和国为新民主主义即人民民主主义的国家,实行工人阶级领导的、以 工农联盟为基础的、团结各民主阶级和国内各民族的人民民主专政。”这段话出自 A.《中华民国临时约法》 B.《论联合政府》 C.《共同纲领》 D.《上海公报》 3.(2015年江苏卷)周恩来在万隆会议期间透露,中国愿同美国谈判,也准备同蒋介石谈判,以便能用 和平方式解放台湾。同时,毛泽东也主动通过外国来访者表示,台湾问题可以用谈判来解决,中国尤其希 望和美国签订和平条约。材料表明( ) A.和平统一祖国的方针已正式确定 B.和平共处五项原则得以正式确立 C.中国已成为世界外交舞台的强国 D.台湾问题已牵涉到中美外交问题 4.(2015年广东卷)下表反映了中国某时期与各国贸易的情况,据此推出符合史实的结论是( ) 表 中国对外贸易总额的国家构成(%) 年份 苏联 美国 其他国家 第一 30 21 49 年 第二 41.3 0.4 58.3 年 第三 0. 51.759 48.238 年 003 A.抗日战争胜利,中苏贸易激增 B.实行“一边倒”政策,中美贸易剧减C.改革开放初见成效,中国对外贸易蓬勃发展 D.不结盟运动兴起,中国与发展中国家贸易往来密切 5.(2015年福建卷)下图为中国1952——1960年工农业总产值变化图,对此分析符合史实的是( ) A.“过渡时期”农业总产值始终超过工业总产值 B.“三大改造期间”工业总产值均高于农业总产值 C.“一五”计划完成时工农业总产值都大幅度的提高 D.大跃进使工农业总产值增长呈现背离状态 6.(2015年山东卷)1950年1月,英国宣布承认新中国;1954年6月,中英互派代办;1972年3月,中 英关系升格为大使级外交关系。在这一进程中,起决定性作用的因素是( ) A.中美关系的发展演变 B.冷战背景下中英两国的现实需要 C.欧共体对华政策的变化 D.中英两国意识形态对抗的逐渐消失 7.(2015年安徽卷)有学者评价:“它凝结了毛泽东为代表的中国共产党人、民主党派和无党派民主人 士的心血,又经过反复讨论、修改,所以得到了全国各方面人士的一致拥护。”据此判断,“它”是指( ) A.《双十协定》 B.《论联合政府》 C.《共同纲领》 D.《论十大关系》 8.(2015年海南卷)1971~1978年,我国共援助37个第三世界国家建成了470个项目,超过1955~1970 年建成的援外项目总和,对外经济援助的支出为前16年总和的109%。这反映了( ) A.中国综合国力迅速提升 B.经济全球化和一体化趋势不断加强 C.世界殖民体系彻底瓦解 D.经济援助成为中国外交的重要手段 9.(2015年浙江卷)学习历史,重在培养史料分析和历史思维能力。阅读材料,回答问题。 材料一 领事裁判权发生于条约之中,欲去领事裁判权,必先改正条约……非先编订完全之法律,断不能 达改正条约之望。条约不改正,则领事裁判权永无撇废之日,我国国权,亦永无恢复之时矣。 ——杨廷栋《论改正条约与编订法律有连结之关系》(1902年) 材料二 在国内反帝爱国运动的压力下,华盛顿会议上,中国代表据理力争,达成山东问题之解决。随后,会议通过的《九国公约》又规定:“施用各种之权势,以期切实设立并维持各国在中国全境之商务实业机 会均等之原则。” ——摘编自齐世荣《世界史:现代史编(上)》 材料三 中央人民政府决定,西方国家如果要同新中国建立外交关系,就得按平等原则。 ……保留香港作 为大陆的国际通道。……为进一步解决历史遗留问题,邓小平提出,在一个中国前提下,国家的主体坚持 社会主义制度,港澳台作为特别行政区保持原有制度和生活方式不变。 ——据金冲及《二十世纪中国史纲》等整理 (1)阅读材料一,指出作者的核心观点,并写出列强最早在中国取得领事裁判权的时间与影响。 (2)根据材料二,结合所学知识,分析中国代表“据理力争”的背景及其结果,揭示《九国公约》的实 质。 (3)根据材料三和所学知识,概述新中国成立后,为解决殖民主义的历史遗留问题,先后采取了怎样的 方针和主张?简析上述方针和主张的影响。 (4)综上,请用一句话概括三则材料所贯穿的主题。 10.(2015年四川卷)阅读材料,回答问题。 材料一美利坚合众国宪法第五条国会遇两院各三分之二人数认为必要时,得提出本宪法之修正案,成 立全国三分之二阁议会之请求,得召集会议以提出修正案…… 表:美国宪法修正案节选 ——据《美国宪法修及其正案》(朱曾汶译) (1)据材料一,结合所学知识,指出促成美国“修宪”的因素;归纳上表中美国宪法修正案的两个 基本方面,并选取相关条款分别给予说明。 材料二高三学生小颂收到外国朋友罗伯特的邮件,他想了解“中国共产党的多党合作与政治协商制 度”,希望小颂予以介绍。以下是小颂对相关内容的整理(部分): ①1945年4月,抗日战争暨世界反法西斯即将胜利,中共七大通过《论联合政府》的报告,建议成立 包括各党派、民主团体和无党派在内的联合性质的民主政府,将中国建设成为独立、自由、民主、统一和 富强的新国家。这是中国共产党对战后中国的设想。 ②1948年5月,解放战争进入战略反攻阶段,中共中央发出召开新政治协商会议的“五一号召”,各 民主党派和无党派民主人士热烈响应。新政协筹备会两次全体会议的召开,揭开了中国共产党与各民主党 派团结合作、共同为建立新中国而奋斗的历史新篇章。③1949年9月,中国人民政治协商会议第一届全体会议召开。 ④1954年12月,中国人民政治协商会议第二届全国委员会第一次会议召开。 (2)参照①、②,帮助小颂同学完成对③、④的整理和陈述。 (3)综合材料一、二,指出政治文明建设历程中的共同经验,并举其他相关史实证明。 1.(2014年重庆卷)1989年,邓小平会见来访的苏共领导人时,充分肯定了苏联对中国的帮助,认为 “苏联帮助我们搞了一个工业基础”。这里的“工业基础”初步建立于新中国的 A.国民经济恢复时期 B.“一五”计划时期 C.“大跃进”时期 D.国民经济调整时期 2.(2014年全国Ⅰ卷)“一五”计划期间,我国实行粮食计划供应制度,各地根据国家粮食计划供应的 相关规定,以户籍为依据确定粮食供应的对象与数量。这一制度的实行 A.有利于资本主义工商业改造 B.保障了工业化战略实施 C.缓解了灾害造成的粮食短缺 D.加速了国民经济的恢复 3.(2014年海南卷)1950年,东北人民政府规定在大区范围内对煤炭、钢材等多种生产资料统一分配, 随后,东北地区计划分配的物资种类逐年增加。从1953年起,计划分配调拨体制开始在全国铺开。这反映 了中国计划经济体制 A.是新生国家政权的基础 B.随着行政区域的扩大逐步建立 C.是在宪法原则下建立的 D.随着工业化建设的进行而建立 4.(2014年江苏卷)美国前国务卿杜勒斯说,如果亚非国家养成一种在西方缺席的情况下经常开会的习惯, 由于有众多的人口,印度和中国无疑将控制局面,这可能最终形成一个反对西方的集团。他希望 这次会议开不起来。杜勒斯针对的是 A.倡导和平共处五项原则的中印会谈 B.和平解决印度支那问题的日内瓦会议 C.以“求同存异”促进会议成功的万隆会议 D.恢复中国在联合国合法席位的“联大”会议 5.(2014年全国Ⅱ卷)1953年10月,中共中央决定在全国范围内实行粮食的统购统销,在农村向全部农 户实行粮食计划收购的政策,由国家严格控制粮食市场。粮食的统购统销 A.加快了我国农村经济的恢复和发展 B.有力地促进了各地农村的政权建设 C.将农民经济生活纳入国家计划体制 D.为国家工业化建设提供劳动力资源 6.(2014年江苏卷)1953 年6 月24 日《人民日报》报道:当选的代表李长凤老大娘笑着说话了,“ 旧社 会妇女在街上说话都不行,哪有妇女的选举权。……今后大家有什么意见告诉我,我一定给大家带上去。”该新闻报道说明当时 ( ) A.人民民主原则得到落实 B.人民代表大会制建立 C.政治协商制度覆盖面广 D.民主政治建设法制化 7.(2014年广东卷)在二战后非殖民化浪潮中。亚非拉出现了一大批新兴的民族国家中,中国共产党认 为这是对新中国“有利的局势”,基于此判断,新中国 A.提出“另起炉灶”方针 B.倡导和平共处五项原则 C.放弃“一边倒”政策 D.坚持“打扫干屋子再请客” 8.(2014年北京卷)“单干邀伴变互助,小组联起变大组,大组变做合作社,领导要靠党支部。”这首 歌谣反映了 A.人民公社化运动 B.家庭(联产)承包责任制 C.农业社会主义改造 D.中共八大经济方针 9.(2014年安徽卷)一位农民在日记中写道:“由于单家独户的经营经不起天灾人祸的袭击,有的贫农 家薄,缺资金,仍不能大翻身,困难不少,出现了个别卖地卖牲口、出卖劳动力的现象。政府号召组织起 来,在搭工帮工的基础上成立互助组。我是青年团员,还是乡上的人民代表,我能落后吗?”其描述反映 的是 A.农业合作化 B.“三年经济困难”时期 C.人民公社化 D.家庭联产承包责任制 10.(2014年天津卷)1952年我国高校进行院系调整,如调整后的天津大学下设土木建筑、电信、机械等 7个工程系,20个专业和13个专修科,从综合型大学转变为多科性工业大学。这种调整主要是为了 A.促进国民经济的恢复 B.培养经济建设专门人才 C.提升国民的科技素养 D.推动天津经济建设发展 考点 02 社会主义建设在探索中曲折发展 1.(2023年山东卷)1956年,毛泽东在谈到国家与工厂的关系时指出:“统一性和独立性是对立的统一, 要有统一性,也要有独立性。……各个生产单位部要有一个与统一性相联系的独立性,才会发展得更加活 泼。”毛泽东强调的是( ) A.适当提高工厂的生产经营自主权 B.适度发挥市场的调节作用 C.平衡工商企业改造中的公私关系 D.鼓励个体私营经济的发展 2.(2023年浙江卷1月)中华人民共和国成立后,中国的交通事业迅速发展。下列两幅图片所示相关成 就是( )A.我国在两极格局下自力更生、艰苦奋斗的建设成果 B.我国交通事业在“一五”计划期间取得的重大成果 C.“四个现代化”建设目标激发广大人民自主创新的见证 D.国家实行“科教兴国””发展战略结出的硕果 3.(2023年浙江卷1月)尽管全球从20世纪50年代开始推广疟疾消灭计划,但它依然在制造令人难以想 象的苦难。1967年,为治疗疟疾,中国启动专项计划。经过艰苦努力,终于取得了“一种挽救全球数百万 生命的医学进步,特别是对于发展中国家而言”。这种“医学进步”是指创制出( ) A.人痘接种法 B.青霉素 C.牛痘接种法 D.青蒿素 1.(2022年江苏卷)据袁隆平回忆,位于井冈山南麓的桂东县是全国率先推广种植杂交水稻的地区之一。 1975年全县仅试种水稻98.88亩,次年便在全县迅速推开。当地民谣传唱:“层层梯田持山腰,银河两 岸种杂交。”这反映了( ) A.当地提高粮食产量的迫切愿望 B.地方政府以经济建设为中心 C.杂交水稻试种成败取决于环境 D.桂东县率先实现了粮食自给 2.(2022年江苏卷)赵国明《中国的立场》一诗写道:“万国(联合国)旗帜欲添丁,孤岛、红旗都有 名。山姆(美国)阴谋如获胜,不教公使到西京(纽约)。”该诗佐证了,中华人民共和国( ) A.与美国的关系趋向紧张 B.在联合国行使否决权 C.抵制美国构建单极世界 D.反对“双重代表权”案 3.(2022年北京卷)下列史料涉及的历史事件,按时序排列正确的是( ) ①“三国之宗旨,在剥夺日本自从1914年第一次世界大战开始后在太平洋上所夺得或占领之一切岛屿;在 使日本所窃取于中国之领土……归还中华民国。” ②“(八日)彼得格勒戍军与劳动社会己推翻克伦斯基政府(注:资产阶级临时政府)。” ③“(中美)两国人民之间的来往中断了二十多年。现在,经过中美双方的共同努力,友好来往的大门终 于打开了。” ④“捷克斯洛伐克政府将被责成履行撤退……德国军队将分阶段占领德意志人(在数量上)占优势的领 土。” A.①②③④ B.②④①③ C.②①④③ D.④②③①4.(2022年湖北卷)1960年,我国科研经费支出比1952年增长近60倍,全国全民所有制单位科技人员 达196.9万人,平均每万人中有科技人员30名,比1952年增长3倍。上述变化的直接原因是( ) A.苏联对中国的援助 B.海外科研人员归国 C.“双百”方针的提出 D.两个五年计划实施 5.(2022年浙江卷1月)20世纪50年代中期,周恩来在印度尼西亚举行的某国际会议上强调中国代表团 是来求团结而不是来吵架的”,会议最终通过了《关于促进世界和平和合作宣言》这次会议上,周恩来作 出的重要贡献有 A.鲜明地提出了“求同存异”的方针 B.就印度支那停止敌对行动提出六点建设性意见 C.首次提出了“和平共处五项原则” D.阐述了以结伴而不结盟为核心的新型国家关系 6.(2022年全国乙卷)阅读材料,完成下列要求。 材料一 20世纪50年代,日本颁布“外资法”等一系列法规,加强对技术引进的管理,政府有关部门 根据不同时期经济发展的需要,列出鼓励进口和限制进口的技术项目,对私人企业的技术引进加以指导, 其后,日本政府逐渐放宽引进技术的管理和审查标准,企业决定引进方式和内容,并承担引进过程中的一 切风险,所引进的技术主要来自欧美。1962年到1966年,在企业提出的技术引进申请中,有90.4%获得了 批准。 ——摘编自王永生《技术进步及其组织——日本的经验与中国的实践》等 材料二 新中国成立后即确立发展科技的方针。1956年,国家制定12年科技规划,明确提出在进行科 学研究时,应该首先掌握世界现有的先进科学成就,在开展国际科学合作时应力求自力更生,在技术引进 方面,50年代,由苏联援建、成套供应设备的项目共计304项;由东欧各国援建、成套供应设备的建设项 目共116项、引进成套设备的同时,还重视引进科学技术、人才、资金和管理经验。1960年,苏联政府决 定撤走全部在华专家,这以后,我国完全依靠自己的力量发展国防尖端科学技术。 ——摘编自杨德才等《二十世纪中国科学技术史稿》等 材料三 20世纪五六十年代,中国面对着严峻的国际形势、党中央果断决定研制“两弹一星”重点突 破国防尖端技术,中央确定我国国防尖端科技的发展,要坚持自力更生为主、力争外援和利用资本主义国 家已有的科学成果的方针,强调把立足点放在自力更生的基础上,通过自己的科学研究和实践,培养人才, 掌握技术。 ——据中共中央党史研究室《中国共产党历史》 (1)根据材料一、二,概括20世纪五六十年代中日两国技术引进的特点。 (2)根据材料并结合所学知识,分析中日技术引进呈现不同特点的背景。 (3)根据材料并结合所学知识,简析20世纪五六十年代中国科技发展的历史经验。 7.(2022年北京卷)毛泽东思想的独创性 在革命斗争中,以毛泽东同志为主要代表的中国共产党人,把马克思列宁主义基本原理同中国具体实 际相结合,对经过艰苦探索、付出巨大牺牲积累的一系列独创性经验作了理论概括……创立了毛泽东思想, 为夺取新民主主义革命胜利指明了正确方向。 毛泽东同志提出把马克思列宁主义基本原理同中国具体实际进行“第二次结合”,以毛泽东同志为主要代表的中国共产党人,结合新的实际丰富和发展毛泽东思想,提出关于社会主义建设的一系列重要思 想……这些独创性理论成果至今仍有重要指导意义。 ——《中共中央关于党的百年奋斗重大成就和历史经验的决议》(2021年11月11日) 阅读材料并结合所学,从新民主主义革命(1919—1949)、社会主义建设(1956—1978)两个时期中各选 一个实例,阐述毛泽东思想的独创性。 要求:观点正确,史论结合,论证充分,逻辑清晰。 1.(2021年江苏卷)某记者在回忆录中写道:“现在农村的确‘活’了,农业生产不断发展,各种副业 欣欣向荣。看来,包产到户、包产到劳等责任制,确已行之有效,是搞活经济的不二法门,城市里的企业 管理,也在开始推行这种精神了。”这表明当时 A.城乡改革互相促进 B.全面整顿初见成效 C.逐步开展经济体制改革 D.倡导建立市场经济体制 2.(2021年江苏卷)东北机器制造厂尉风英曾被授予“毛主席的好工人”称号。她回忆:“在五六十年 代,大搞技术革新时,我们简直入了迷、着了魔。从1953年到1965年这12年的时间里,我共实现技术革 新177项。”他们的技术革新 A.是为了提升产品市场竞争力 B.体现了工人阶级主人翁精神 C.提高了劳动妇女的社会地位 D.有利于东北经济的均衡发展 3.(2021年海南卷)《红色娘子军》是刘文韶在海南工作时基于真实的革命斗争而创作的报告文学, 1960年改编为同名电影,1963年底又改编为芭蕾舞剧,次年在人民大会堂首演成功后,受到了各地群众的 喜爱。该作品 A.表明文艺创作是社会经济发展的保证 B.凸显了革命性、艺术性与人民性的统一 C.说明革命斗争是文艺创作的唯一源泉 D.体现了抽象性、科学性与本土性的结合 4.(2021年湖北卷)1981年,中国女排经过顽强拼搏勇夺第三届世界杯冠军。亿万人民通过电视机、收 音机收看、收听了这一盛况。女排夺冠后,很快收到数万件海内外的贺信、贺电。全国各地群众纷纷表示, 要以女排为榜样,为社会主义现代化建设做出贡献。由此可见 A.电视机在家庭普及 B.女排精神激励国人 C.排球运动推广全国 D.体育强国梦想实现 5.(2021年辽宁卷)1980年国家农委的一份农村调查报告中写道:“‘尖头户站,滑头户看,老实户气 得不愿干’的现象没有了”,“‘干到腊月二十九,吃了饺子就动手’的一年到头打疲劳战的现象也没有 了”。这反映出 A.生产关系调整初见成效 B.农村社会风俗的改变 C.农村温饱问题得到解决 D.人民公社制度的取消 6.(2021年辽宁卷)1954年4月15日,由中华全国总工会主办,历时三个月的鞍钢技术革新展览会在北 京举行。展览会展示了鞍钢技术革新和基本建设的成就,会上劳模张明山、王崇伦等7人还建议在全国开展技术革新运动,各地纷纷赴京参观学习,由此推动了全国性生产热潮。这表明当时我国 A.国民经济调整任务基本完成 B.学习苏联经验开展技术革新运动 C.初步建立了独立的工业体系 D.工业化建设激发劳动者生产热情 7.(2021年天津卷)1962年下半年起,我国国民经济开始稳步增长。1963年,国家在财力尚有困难的情 况下,积极改善职工待遇;全民所有制工业企业全员劳动生产率连续三年分别提高26.7%、20.1%和 22.5%。这反映了我国 A.落后面貌的彻底改变 B.调整发展的重要成果 C.经济体制的全面改革 D.市场经济的显著作用 8.(2021年湖南卷)如表所列活动 时间 活动名 主要获奖或展演(展出)作品 《广陵散》《阳关三叠》《嘉陵江号子》《祖国颂》《长征大合 1956年8月 第一届全国音乐周 唱》等 第一次群众性电影 1957年1月 《董存瑞》《家》《为了和平》《平原游击队》《祝福》 评奖 292位作者的321幅作品,有的反映人民群众现实生活,有的反映祖 第一届全国摄影艺 1957年12月 国江山秀丽、欣欣向荣,还有的以人像、静物、花卉及鸟、兽、 术展 鱼、虫等为题材 A.凸显新中国的经济社会发展成就 B.推动“双百”方针的提出 C.表明文艺领域出现“左”的倾向 D.反映我国传统文化仍占主流 9.(2021年全国乙卷)1957年,国家统计局《工人阶级队伍情况的调查报告》中有1950年及其后参加工 作的职工社会出身情况,如表所示,据如表可知 职工社会出身情况表(%) 转业军 工人 劳动农民 个体劳动者及一般市民 学生 资本家 人 上 35.52 12.95 2.69 18.75 16.08 5.94 海 天 39.13 14.27 3.27 12.29 19.44 3.70 津 陕 26.26 27.99 8.32 8.67 22.95 0.52 西新 16.16 25.47 23.19 18.18 19.05 0.23 疆 A.内地与沿海原有工业基础差距大 B.西部地区工商业改造不彻底 C.我国的社会主义工业化基本实现 D.沿海地区工业发展更为迅速 10.(2021年浙江卷1月)新中国成立时,科技人员不足五万人,除地质学、生物学等学科开展了一些研 究工作外,其他学科的科研几乎一片空白。20世纪五十到七十年代,取得了一批标志性成果。这得益于 ①自力更生的发展方针确立②中央与地方各种专业性研究机构设立 ③“863计划”“火炬计划”等重大科技规划实施④一批身居海外的知识分子冲破重重阻挠回到祖国 A.①② B.③④ C.①②④ D.①②③④ 11.(2021年全国甲卷)阅读材料,完成下列要求 材料一 中华人民共和国成立前夕,美国制定了严格管制对华贸易的政策。尽管英国也要“防止共产 主义的扩张”,但由于香港是东亚的转口贸易中心,英国不愿对除军火外的其他物资实行严格控制。1950 年12月,美国对中国大陆、香港、澳门实行全面禁运。在美国一再施压下,英国同意对战略物资实行有选 择的禁运。中美朝鲜战争结束后,包括英国在内的盟国要求放松对华贸易管制,但美国这一政策在艾森豪 威尔政府任内一直保持下来。 ——摘编自陶文钊等《中美关系史》 材料二 1955年,对外贸易部部长讲道,五年多来,我们在中央和毛主席正确领导下,贯彻了和继续 贯彻着下列基本政策:进口与出口政策必须贯彻发展生产促进国家工业化的原则;稳步发展同苏联和各人 民民主国家的贸易,同时根据平等互利的原则采取争取利用与斗争、分化相结合的策略,积极开展对资本 主义国家的贸易;加强国营对外贸易企业,实行对私营进出口商的社会主义改造。 ——摘编自《中华人民共和国经济档案资料选编》 材料三 中国进出口贸易总额计划完成情况单位:亿元, 第一个五年计划时期 1950 1952 1953 1954 1955 1956 1957 进出口国别总额合计 41.54 64.61 80.92 84.72 109.80 108.65 104.50 13.94 52.50 62.44 69.39 90.16 81.60 77.00 苏联及人民民主国家其中:苏 联 12.86 40.44 47.82 49.07 68.02 57.91 51.86 27.60 12.11 18.48 15.33 19.64 27.05 27.50 亚非及西方国家其中:西方国 家 14.87 1.59 7.08 5.01 7.42 9.69 11.37 ——据《中华人民共和国经济档案资料选编》 (1)根据材料一、二并结合所学知识,分析20世纪50年代前期美英对华贸易政策存在异、同的原因。 (2)根据材料三,概括1950—1957年中国进出口贸易的特征。 (3)根据材料并结合所学知识,评价20世纪50年代前期中国的对外贸易政策。1.(2020年海南卷)中国共产党领导中国人民在社会主义革命和建设的伟大实践中,凝聚成了井冈山精 神、长征精神、延安精神、大庆精神等各具特色的时代精神。其中,大庆精神产生于20世纪 A.一二十年代 B.三四十年代 C.五六十年代 D.七八十年代 2.(2020年江苏卷)下图是创作于1964年的宣传画。该作品旨在( ) A.宣传党开展合作化运动的方针政策 B.表达农业服务国家工业建设的诉求 C.倡导投身社会主义建设的社会风尚 D.说明青年成为农村建设的主导力量 3.(2020年天津卷)20世纪50年代,我国在经济极其落后的基础上,开始大规模工业建设,各行各业掀 起劳动建设高潮。1955年3月,天津制表业的工人们在缺少资金设备、没有图纸资料的情况下,奋战数月, 研制出第一块国产手表,用智慧的双手结束了“中国只能修表,不能造表”的历史。由此可以看到当时 四名工人在简陋的条件下研制手表 A.国民经济恢复的重要成果 B.工业综合实力的全面提升 C.勤俭节约的优良传统 D.艰苦奋斗的时代精神 1.(2019年海南卷)1963~1965年,中国农业总产值平均年增长约11%;轻工业产值从404亿元增加到703亿元;燃料、原材料工业建设的步伐加快。上述变化反映了 A.经济所有制结构发生重大改变 B.国民经济调整取得了显著成就 C.合作化运动促进了生产力发展 D.计划经济体制的弊端逐步解决 2.(2019年全国Ⅰ卷)【历史选修4:中外历史人物评说】 材料 刘源张(1925~2014),全国劳动模范,中国工程院院士,被誉为“中国质量管理之父”。20世 纪50年代,留学美国的刘源张冲破美国政府阻挠回到祖国。回国后,他投入到工业化建设中,将所学的质 量管理理论方法运用到生产实践,影响很大,被称为“工厂大夫”。1976年后,他倡导并积极推动建立严 格的全面质量管理制度,在第二汽车制造厂等企业所取得的经验,经国务院采纳在全国企业推广,产生重 大影响。1989年起他主持了“中国工业生产率管理理论和方法研究”项目,提出工业企业定额制定准则, 在企业应用中取得较好的经济效益。他提出的有关质量管理的理论曾获奖。他参与了2012年国务院颁布的 《质量发展纲要》的起草和定稿工作,该《纲要》明确规定:“推动建设质量强国”。 ——摘编自方莉等《少壮常怀强国志华巅犹抱济时心》等 (1)根据材料并结合所学知识,概括刘源张对中国现代化建设的贡献。 (2)根据材料并结合所学知识,说明刘源张、李四光等先进人物体现的时代精神。 1.(2018年江苏卷)《我国经济建设的历史经验》文章中提到:“中国的经验第一条就是自力更生为主。 我们很多东西是靠自己搞出来的……这样,就可以振奋起整个国家奋发图强的精神。”改革开放以来我国 取得的科技成就中,能印证这一观点的是 A.首颗人造卫星发射成功 B.掌握载人航天技术 C.第一颗原子弹爆炸成功 D.成功培育杂交水稻 2.(2018年江苏卷)20世纪50年代后期,北京市向知识分子发放“高脑油”(高级脑力劳动者补助油)。 关于发放的时间和定量,有以下记述: 据此可知,关于“高脑油”的发放 A.展览的文字介绍真实可靠 B.两部经济著作的记述完全一致 C.馆藏的原始文件更为可信 D.现有史料无法证明其是否实行 3.(2018年全国Ⅲ卷)1956年,刘少奇在中共八大政治报告中指出:“我们目前在国家工作中的迫切任 务之一,是着手系统地制定比较完备的法律,健全我们国家的法制。”这反映了当时 A.法制建设开始迈向制度化B.法制工作围绕组建新政权展开 C.法制建设与国内主要矛盾的变化密切相关 D.政治体制改革推动了依法治国的全面实行 4.(2018年全国Ⅱ卷)图为1956年的一副漫画《两把尺》(画中字:“奶奶的尺--量布做新衣。阿姨的 尺--测量祖国,建设社会主义。”)该漫画反映了 A.社会主义建设以工业化为中心 B.女性成为国家建设的重要力量 C.人民公社化运动蓬勃开展 D.城乡差别发生根本性改变 5.(2018年海南卷)1956年12月,《人民日报》刊文指出:能否正确的认识和对待斯大林的错误,已经 成为影响许多国家共产党及党与党相互团结的重大问题;对斯大林的错误应该批评,但必须在肯定和维护 他正确方面的前提下进行。与此直接相关的重大事件是 A.万隆会议召开 B.越南战争爆发 C.苏共“二十大”召开 D.朝鲜战争停战 1.(2017年上海卷)1971年,“乒乓外交”以小球转动大球成为中美关系史上的佳话,紧接着发生的重 大外交事件是 A.日内瓦会议召开 B.中国提出和平共处五项原则 C.《上海公报》发表 D.中国加入世贸组织 1.(2016年浙江卷1月)新中国成立时,世界已进入核时代。曾长期领导核科学事业的聂荣臻元帅回忆 道:“我们国家很大,不可能靠购买武器来支撑国防……唯一的出路只有尽可能吸取国外先进成果,走自 己研制的道路。”中国跨入原子能时代开始于A.20世纪40年代 B.20世纪50年代 C.20世纪60年代 D.20世纪70年代 2.(2016年江苏卷)下图是我国“一五”计划期间为配合大规模建设而绘制的宣传海报。对其解读正确 的是 A.远处的工厂寓意工业化基本实现 B.图下的文字宣传了绿色环保观念 C.往来的船只说明交通运输业基础良好 D.工作的场景展现工人投身建设的热情 3.(2016年上海卷)如图所示,新中国成立后外交史上出现过三次建交高潮,引发第三次高潮的主要原 因是( ) A.中美关系正常化 B.中国提出和平共处五项原则 C.中国加入世界贸易组织 D.中日建交 4.(2016年全国Ⅱ卷)“一五”计划期间,我国住宅建设占基本建设投资额的比重不断减少,其他非生 产性建设投资也开始受到抑制。这表明我国 A.致力于奠定工业化基础 B.国民经济结构臻于平衡 C.大力压缩基本建设投资规模 D.城市化的进程趋于缓慢1.(2015年上海卷)下面的新闻出自那一时期? A.“大跃进”时期 B.土地改革时期 C.“文化大革命”时期 D.改革开放时期 2.(2015年海南卷)1957年底到1960年,我国职工人数从3101万猛增至5969万。这主要是因为( ) A.第一个五年计划顺利完成 B.“大跃进”中大办工矿企业 C.公私合营后国营企业职工大增 D.人口增长造成大量劳动力剩余 3.(2015年浙江卷10月)周恩来说:“我们注意到尼克松总统来华前的讲话中也谈到,‘我们必须做的 事情是寻找某种办法使我们可以有分歧而又不成为战争中的敌人。’我们希望……两国的关系能够有一个 新的开始。”这个“新的开始”发生在 A.20世纪50年代 B.20世纪60年代 C.20世纪70年代 D.20世纪80年代 4.(2015年北京卷)以下是四幅新中国不同时期的宣传画。该画中主题体现的时间先后顺序,排列正确 的是( ) A.①②③④ B.②③①④ C.③①②④ D.④②③① 5.(2015年广东卷)1961年,中共中央农村工作部的一份报告指出:现在部分干部和农民对集体生产信 心不足,以致发展到变相恢复单干,有的地方出现了“父子队”“兄弟队”式家庭作业。这则材料作为例 证,可用于说明( )A.当时土地所有制发生改革 B.农业合作化运动的历史背景 C.当时国民经济调整成效显著 D.家庭联产承包责任的起源 6.(2015年安徽卷)联合国大会关于“恢复中国在联合国的合法席位”议案表决通过后,美国驻联合国 首席代表布什感叹:“任何人都不能回避这样一个事实——虽然这可能是令人不快的,刚刚投票的结果实 际上确实代表着大多数联合国会员国的看法。”由此可见( ) A.西方的“冷战”政策彻底破产 B.中美两国关系已经实现了正常化 C.大多数联合国会员国反对美国 D.国际社会需要中国发挥应有作用 7.(2015年海南卷)1956年,浙江温州有合作社曾实行包产到户,到1957年温州地区实行包产的农户占 入社农户的15%,与此同时,四川、广东、安徽等省一些农业社也先后实行了包产到户。此后直到70年代, 仍有一些地方曾实行包产到户。这一现象反映了( ) A.农村基层政权管理体制薄弱 B.市场经济在农户经营中起重要作用 C.基层的探索为农村经济体制改革奠定基础 D.农村经济体制改革基本上是自下而上推进 8.(2015年福建卷)下图为中国1952——1960年工农业总产值变化图,对此分析符合史实的是( ) A.“过渡时期”农业总产值始终超过工业总产值 B.“三大改造期间”工业总产值均高于农业总产值 C.“一五”计划完成时工农业总产值都大幅度的提高 D.大跃进使工农业总产值增长呈现背离状态 9.(2015年福建卷)阅读下列材料,回答问题。 材料一 1969年1月,共和党人尼克松就任美国总统。当时正值美国面临着自二战结束以来最为严峻的形 势。越南战争的沉重负担,国内政治、经济以及社会危机的加深。使美国在苏联争霸中,日益处于不利的 地位。1971年6月尼克松又在堪萨斯的一次讲话中提出今天世界上有“五个力量中心”(美国、苏联、西 欧、中国和日本)的看法。为了适应这种新的形势,并改善美国同苏联争霸中的不利处境,尼克松决定要 在中国“为自己找一个可以依靠的有利地位”。 ——摘编自方连庆《战后国际关系史》 材料二 1972年2月尼克松访华,跨出了改善中美关系的第一步。2月28日,中美双方在上海发表了《联合公报》,这是中美关系的一个重要转折点。标志着中美两国关系进入了一个新时期,这对世界形势的发 展产生了深远的影响。此后,双方的贸易、科技和文化往来逐渐增多。与此同时,为进一步促进两国关系 的正常化,中美双方政府官员也在进行不断接触。 ——摘编自谢益罡《中国外交史》 材料三 二战结束后,日本政府长期执行追随美国、歧视中国的政策。50年代以来,随着中日两国民间贸 易和人员往来的增多,日本各界人士要求恢复中日邦交的呼声越来越高。1972年2月,尼克松访华对日本 产生极大的震动。日本把美国的这种举动视为“越顶外交”。1972年9月29日,中日两国建立外交关系。 ——摘编自王圣心《当代国际关系》 材料四 田中首相来我国访问,解开了中日关系史上新的一页。在我们两国的历史上,有着两千年来的油 耗往来和文化交流••••••值得我们珍视。但是,自从1894年以来的半个世纪中,由于日本军国主义者侵略 中国,使得中国人民遭受重大灾难,日本人民也深受其害。前事不忘,后事之师,这样的经验教训,我们 应该牢牢记住 ——摘自《周恩来政论选》 (1)据材料一,概括尼克松决定要在中国“为自己找一个可以依靠的有利地位”的原因。 (2)据材料二并结合所学知识,指出中美关系走向正常化的关键问题是什么?怎样理解《联合公报》的 发表是中美关系发展的一个重要转折点? (3)就材料三并结合所学知识,日本对美国“越顶外交”的举动作何反应?分析日本对华政策为什么会 出现这样的重大改变? (4)综合材料三、四并结合甲午战争以来中国百年史,试从日、中两方面解释周恩来所指出的“前事不 忘,后事之师”的含义。 1.(2014年福建卷)图为1972—1978年中美进出口总额示意图。它表明 A.中美贸易随着两国关系发展变化出现过波折 B.中美关系正常化导致双边贸易始终保持增长 C.文革结束以后中美贸易随即进入了发展阶段 D.中国重返联合国消除了中美贸易的持续波动 2.(2014年北京卷)“单干邀伴变互助,小组联起变大组,大组变做合作社,领导要靠党支部。”这首 歌谣反映了 A.人民公社化运动 B.家庭(联产)承包责任制 C.农业社会主义改造 D.中共八大经济方针 3.(2014年全国Ⅱ卷)1953年10月,中共中央决定在全国范围内实行粮食的统购统销,在农村向全部农户实行粮食计划收购的政策,由国家严格控制粮食市场。粮食的统购统销 A.加快了我国农村经济的恢复和发展 B.有力地促进了各地农村的政权建设 C.将农民经济生活纳入国家计划体制 D.为国家工业化建设提供劳动力资源 4.(2014年海南卷)改革开放后,中共中央明确将中共八大作为探索中国社会主义建设道路的开端。这 是因为中共八大 A.客观分析了当时的国内形势与主要矛盾的变化 B.实现了工作重心向社会主义现代化建设的转变 C.明确提出社会主义初级阶段的理论 D.全面总结了新民主主义革命的经验 5.(2014年山东卷)如图为商务印书馆1978年12月出版的《现代汉语词典》中的一个词条。它反映出 当时 A.对“大跃进”运动有了客观认识 B.“拨乱反正”工作取得了重大进展 C.“左”倾思想影响依然比较严重 D.确立了实事求是的思想路线 6.(2014年上海卷)如图是某一时期的宣传画,它宣传的是 A.土地改革 B.“文化大革命” C.粉碎“四人帮” D.“多快好省地建设社会主义”