当前位置:首页>文档>2010年高考数学试卷(理)(新课标)(海南宁夏)(空白卷)_数学历年高考真题_新·PDF版2008-2025·高考数学真题_数学(按试卷类型分类)2008-2025_全国卷·数学(2008-2025)

2010年高考数学试卷(理)(新课标)(海南宁夏)(空白卷)_数学历年高考真题_新·PDF版2008-2025·高考数学真题_数学(按试卷类型分类)2008-2025_全国卷·数学(2008-2025)

  • 2026-03-22 06:14:35 2026-02-11 23:57:15

文档预览

2010年高考数学试卷(理)(新课标)(海南宁夏)(空白卷)_数学历年高考真题_新·PDF版2008-2025·高考数学真题_数学(按试卷类型分类)2008-2025_全国卷·数学(2008-2025)
2010年高考数学试卷(理)(新课标)(海南宁夏)(空白卷)_数学历年高考真题_新·PDF版2008-2025·高考数学真题_数学(按试卷类型分类)2008-2025_全国卷·数学(2008-2025)
2010年高考数学试卷(理)(新课标)(海南宁夏)(空白卷)_数学历年高考真题_新·PDF版2008-2025·高考数学真题_数学(按试卷类型分类)2008-2025_全国卷·数学(2008-2025)
2010年高考数学试卷(理)(新课标)(海南宁夏)(空白卷)_数学历年高考真题_新·PDF版2008-2025·高考数学真题_数学(按试卷类型分类)2008-2025_全国卷·数学(2008-2025)
2010年高考数学试卷(理)(新课标)(海南宁夏)(空白卷)_数学历年高考真题_新·PDF版2008-2025·高考数学真题_数学(按试卷类型分类)2008-2025_全国卷·数学(2008-2025)
2010年高考数学试卷(理)(新课标)(海南宁夏)(空白卷)_数学历年高考真题_新·PDF版2008-2025·高考数学真题_数学(按试卷类型分类)2008-2025_全国卷·数学(2008-2025)
2010年高考数学试卷(理)(新课标)(海南宁夏)(空白卷)_数学历年高考真题_新·PDF版2008-2025·高考数学真题_数学(按试卷类型分类)2008-2025_全国卷·数学(2008-2025)
2010年高考数学试卷(理)(新课标)(海南宁夏)(空白卷)_数学历年高考真题_新·PDF版2008-2025·高考数学真题_数学(按试卷类型分类)2008-2025_全国卷·数学(2008-2025)
2010年高考数学试卷(理)(新课标)(海南宁夏)(空白卷)_数学历年高考真题_新·PDF版2008-2025·高考数学真题_数学(按试卷类型分类)2008-2025_全国卷·数学(2008-2025)
2010年高考数学试卷(理)(新课标)(海南宁夏)(空白卷)_数学历年高考真题_新·PDF版2008-2025·高考数学真题_数学(按试卷类型分类)2008-2025_全国卷·数学(2008-2025)
2010年高考数学试卷(理)(新课标)(海南宁夏)(空白卷)_数学历年高考真题_新·PDF版2008-2025·高考数学真题_数学(按试卷类型分类)2008-2025_全国卷·数学(2008-2025)

文档信息

文档格式
pdf
文档大小
0.343 MB
文档页数
7 页
上传时间
2026-02-11 23:57:15

文档内容

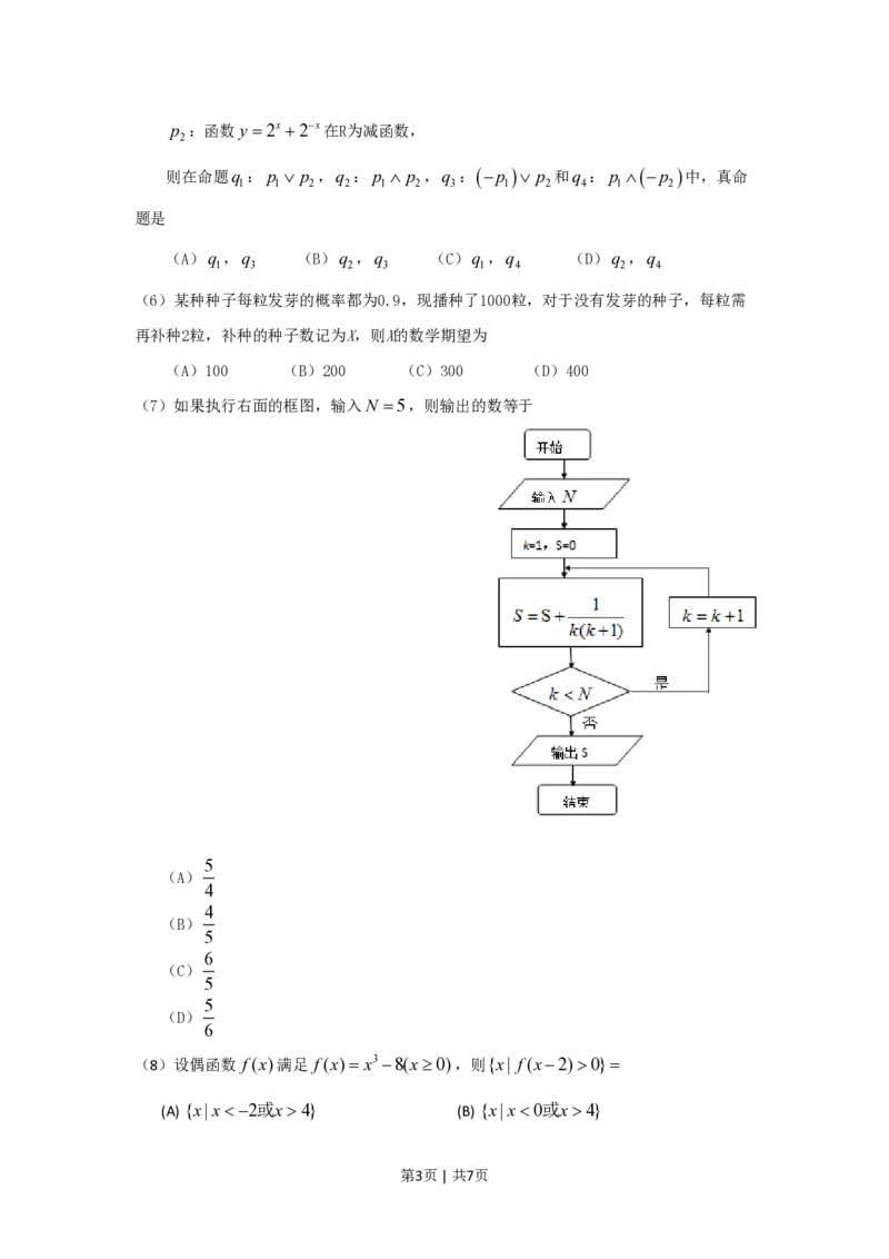
2010年海南高考理科数学试题 本试卷分第I卷(选择题)和第II卷(非选择题)两部分,其中第II卷第(22)- (24)题为选考题,其他题为必考题。考生作答时,将答案答在答题卡上,在本试卷上答 题无效。 考试结束后,将本试卷和答题卡一并交回。 注意事项: 1、答题前,考生务必先将自己的姓名,准考证号填写在答题卡上,认真核对条形码上 的姓名、准考证号,并将条形码粘贴在答题卡的指定位置上。 2、选择题答案使用2B铅笔填涂,如需改动,用橡皮擦干净后,再选涂其他答案的标号 ,非选择题答案使用0.5毫米的黑色中性(签字)笔或碳素笔书写,字体工整,笔迹清楚。 3、请按照题号在各题的答题区域(黑色线框)内作答,超出答题区域书写的答案无效 。 4、保持卷面清洁,不折叠,不破损。 5、做选考题时,考生按照题目要求作答,并用2B铅笔在答题卡上把所选题目对应的题 号涂黑。 参考公式: 样本数据x ,x , x 的标准差 锥体体积公式 1 2  n 1 1 s = [(x -x)2 +(x -x)2 + +(x -x)2] V = Sh n 1 2  n 3 其中x为样本平均数 其中S为底面面积,h为高 柱体体积公式 球的表面积,体积公式[来源:Z。xx。k.Com] 4 V =Sh S = 4pR2 V = pR3 3 其中S为底面面积,h为高 其中R为球的半径 第1页 | 共7页第I卷 一、选择题:本大题共12小题,每小题5分,在每小题给出的四个选项中,只有一项是符合 题目要求的。 (1)已知集合A={|x|£2,xÎR}},B={x| x £4,xÎZ},则AÇB= (A)(0,2) (B)[0,2] (C){0,2] (D){0,1,2} 3+i (2)已知复数z = ,z是z的共轭复数,则z·z= (1- 3i)2 1 1 A. B. C.1 D.2 4 2 x (3)曲线y = 在点(-1,-1)处的切线方程为 x+2 (A)y=2x+1 (B)y=2x-1 C y=-2x-3 D.y=-2x-2 (4)如图,质点P在半径为2的圆周上逆时针运动,其初始位置为P ( 2 ,- 0 2 ),角速度为1,那么点P到x轴距离d关于时间t的函数图像大致为 (5)已知命题 p :函数y =2x -2-x在R为增函数, 1 第2页 | 共7页p :函数y =2x +2-x在R为减函数, 2 则在命题q : p Ú p ,q : p Ù p ,q :-p Ú p 和q : p Ù-p 中,真命 1 1 2 2 1 2 3 1 2 4 1 2 题是 (A)q ,q (B)q ,q (C)q ,q (D)q ,q 1 3 2 3 1 4 2 4 (6)某种种子每粒发芽的概率都为0.9,现播种了1000粒,对于没有发芽的种子,每粒需 再补种2粒,补种的种子数记为X,则X的数学期望为 (A)100 (B)200 (C)300 (D)400 (7)如果执行右面的框图,输入N =5,则输出的数等于 5 (A) 4 4 (B) 5 6 (C) 5 5 (D) 6 (8)设偶函数 f(x)满足 f(x)= x3-8(x³0),则{x| f(x-2)>0}= (A) {x|x<-2或x>4} (B) {x|x<0或x>4} 第3页 | 共7页(C) {x|x<0或x>6} (D) {x|x<-2或x>2} a 1+tan 4 2 (9)若cosa=- ,a是第三象限的角,则 = 5 a 1-tan 2 1 1 (A) - (B) (C) 2(D) -2 2 2 (10)设三棱柱的侧棱垂直于底面,所有棱长都为a,顶点都在一个球面上,则该球的表 面积为 7 11 (A) pa2 (B) pa2 (C) pa2 (D) 5pa2 3 3 ì|lgx|,0< x£10, ï (11)已知函数 f(x)=í 1 若a,b,c互不相等,且 f(a)= f(b)= f(c),则 - x+6,x>10. ï î 2 abc的取值范围是 (A) (1,10) (B) (5,6) (C) (10,12) (D) (20,24) (12)已知双曲线E的中心为原点,P(3,0)是E的焦点,过F的直线l与E相交于A,B两 点,且AB的中点为N(-12,-15),则E的方程式为 x2 y2 x2 y2 (A) - =1 (B) - =1 3 6 4 5 x2 y2 x2 y2 (C) - =1 (D) - =1 6 3 5 4 第Ⅱ卷 本卷包括必考题和选考题两部分,第(13)题~第(21)题为必考题,每个试题考生都 必须做答,第(22)题~第(24)题为选考题,考试根据要求做答。 二、填空题:本大题共4小题,每小题5分。 (13)设y = f(x)为区间[0,1]上的连续函数,且恒有0£ f(x)£1,可以用随机模拟方法 1 近似计算积分ò f(x)dx,先产生两组(每组N个)区间[0,1]上的均匀随机数x ,x ,… x 1 2 N 0 和y ,y ,… y ,由此得到N个点(x ,y )(i =1,2,… ,N),再数出其中满足 1 2 N 1 1 第4页 | 共7页1 y £ f(x )(i =1,2,… ,N)的点数N ,那么由随机模拟方案可得积分ò f(x)dx的近似值为 1 1 1 0 。 (14)正视图为一个三角形的几何体可以是______(写出三种) (15)过点A(4,1)的圆C与直线x-y-1=0相切于点B(2,1),则圆C的方程为____ 1 (16)在△ABC中,D为边BC上一点,BD= DC,ÐADB=120°,AD=2,若△ADC的面积为 2 3- 3,则ÐBAC=_______ 三,解答题:解答应写出文字说明,正明过程和演算步骤 (17)(本小题满分12分) 设数列a 满足a =2,a -a =3 22n-1 n 1 n+1 n g (1) 求数列a 的通项公式; n (2) 令b =na ,求数列的前n项和S n n n (18)(本小题满分12分) 如图,已知四棱锥P- ABCD的底面为等腰梯形,ABPCD,AC^BD,垂足为 H,PH是四棱锥的高 ,E为AD中点 (1) 证明:PE^BC (2) 若ÐAPB=ÐADB=60°,求直线PA与平面PEH所成角的正弦值 (19)(本小题12分) 为调查某地区老人是否需要志愿者提供帮助,用简单随机抽样方法从该地区调查了500位老 年人,结果如下: 是否需要志愿 性别 男 女 需要 40 30 不需要 160 270 (1) 估计该地区老年人中,需要志愿者提供帮助的老年人的比例; (2) 能否有99%的把握认为该地区的老年人是否需要志愿者提供帮助与性别有关? (3) 根据(2)的结论,能否提供更好的调查方法来估计该地区老年人,需要志愿帮助 的老年人的比例?说明理由 第5页 | 共7页附: (20)(本小题满分12分) x2 y2 设F,F 分别是椭圆E: + =1(a >b>0)的左、右焦点,过F 斜率为1的直线i 1 2 a2 b2 1 与E相交于A,B两点,且 AF , AB , BF 成等差数列。 2 2 (1)求E的离心率; (2) 设点 p(0,-1)满足 PA = PB ,求E的方程 (21)(本小题满分12分) 设函数 f(x)=ex -1-x-ax2。 (1) 若a=0,求 f(x)的单调区间; (2) 若当x³0时 f(x)³0,求a的取值范围 请考生在第(22)、(23)、(24)三题中任选一题作答,如果多做,则按所做的第 一题记分。做答时用2B铅笔在答题卡上把所选题目的题号涂黑。 (22)(本小题满分10分)选修4-1:几何证明选讲 如图,已经圆上的弧 ,过C点的圆切线与BA的延长线交于E点,证明: (Ⅰ)∠ACE=∠BCD; (Ⅱ)BC2=BF×CD。 第6页 | 共7页(23)(本小题满分10分)选修4-4:坐标系与参数方程 ìx =1+tcosa ìx =cosq 已知直线C í (t为参数),C í (q为参数), 1 îy =tsina 2 îy =sinq p (Ⅰ)当a= 时,求C 与C 的交点坐标; 1 2 3 (Ⅱ)过坐标原点O做C的垂线,垂足为 ,P为OA中点,当a变化时,求P点的轨迹的参数 1 方程,并指出它是什么曲线。 (24)(本小题满分10分)选修4-5,不等式选项 设函数 f(x)=2x-4l+1 (Ⅰ)画出函数y = f(x)的图像 (Ⅱ)若不等式 f(x)≤ax的解集非空,求a的取值范围。 第7页 | 共7页