当前位置:首页>文档>2024届武汉市高三九调数学答案_2023年9月_01每日更新_8号_2024届湖北省武汉市高三九月调研考试_2024届湖北省武汉市高三九月调研考试数学

2024届武汉市高三九调数学答案_2023年9月_01每日更新_8号_2024届湖北省武汉市高三九月调研考试_2024届湖北省武汉市高三九月调研考试数学

  • 2026-03-29 17:07:10 2026-02-12 12:28:53

文档预览

2024届武汉市高三九调数学答案_2023年9月_01每日更新_8号_2024届湖北省武汉市高三九月调研考试_2024届湖北省武汉市高三九月调研考试数学
2024届武汉市高三九调数学答案_2023年9月_01每日更新_8号_2024届湖北省武汉市高三九月调研考试_2024届湖北省武汉市高三九月调研考试数学
2024届武汉市高三九调数学答案_2023年9月_01每日更新_8号_2024届湖北省武汉市高三九月调研考试_2024届湖北省武汉市高三九月调研考试数学
2024届武汉市高三九调数学答案_2023年9月_01每日更新_8号_2024届湖北省武汉市高三九月调研考试_2024届湖北省武汉市高三九月调研考试数学
2024届武汉市高三九调数学答案_2023年9月_01每日更新_8号_2024届湖北省武汉市高三九月调研考试_2024届湖北省武汉市高三九月调研考试数学
2024届武汉市高三九调数学答案_2023年9月_01每日更新_8号_2024届湖北省武汉市高三九月调研考试_2024届湖北省武汉市高三九月调研考试数学
2024届武汉市高三九调数学答案_2023年9月_01每日更新_8号_2024届湖北省武汉市高三九月调研考试_2024届湖北省武汉市高三九月调研考试数学
2024届武汉市高三九调数学答案_2023年9月_01每日更新_8号_2024届湖北省武汉市高三九月调研考试_2024届湖北省武汉市高三九月调研考试数学

文档信息

文档格式
pdf
文档大小
0.419 MB
文档页数
4 页
上传时间
2026-02-12 12:28:53

文档内容

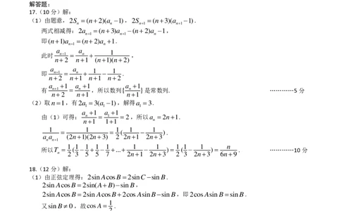
武汉市 2024 届部分学校高三年级九月调研考试 数学试卷参考答案及评分标准 选择题: 题号 1 2 3 4 5 6 7 8 9 10 11 12 答案 B C D B A C C B ABD BC AD ACD 填空题: 13. − 4 0 14. (x+1)2+(y−2)2 =5 15. 4−2ln2 16.(1) 12 14 ;(2) 19 [ 4 − ( − 12 ) n ] 解答题: 17.(10分)解: (1)由题意, 2 S n = ( n + 2 ) ( a n − 1 ) , 2 S n + 1 = ( n + 3 ) ( a n + 1 − 1 ) . 两式相减得: 2 a n + 1 = ( n + 3 ) a n + 1 − ( n + 2 ) a n − 1 , 即(n+1)a =(n+2)a +1. n+1 n 此时 a n n+ + 12 = n a n+ 1 + ( n + 1 1) ( n + 2 ) , a a 1 1 即 n+1 = n + − . n+2 n+1 n+1 n+2 a +1 a +1 有 n+1 = n ,所以数列 n+2 n+1 { a n n + + 1 1 } 是常数列. …………5分 (2)取 n = 1 ,有 2 a 1 = 3 ( a 1 − 1 ) ,解得 a 1 = 3 . a +1 a +1 由(1)可得: n = 1 =2,所以 n+1 1+1 a n = 2 n + 1 . a n 1a n + 1 = ( 2 n + 1 1) ( 2 n + 3 ) = 12 ( 2 n 1 + 1 − 2 n 1 + 3 ) . 所以 T n = 12 ( 13 − 15 + 15 − 17 + . .. + 2 n 1 + 1 − 2 n 1 + 3 ) = 12 ( 13 − 2 n 1 + 3 ) = 6 n n+ 9 . …………10分 18.(12分)解: (1)由正弦定理得:2sinAcosB=2sinC−sinB. 2sinAcosB=2sin(A+B)−sinB, 2 s i n A c o s B = 2 s i n A c o s B + 2 c o s A s i n B − s i n B ,即2cosAsinB=sinB. 又 s i n B  0 1 ,故cosA= . 2  所以A= . …………6分 3 (2)ABC面积 S = 12 b c s i n A = 12 ( a + b + c ) r . 代入 a = 7  和A= ,整理得: 3 b c = 2 ( b + c ) + 1 4 .① 由余弦定理: a 2 = b 2 + c 2 − 2 b c c o s A ,得:b2+c2−bc=49. bc−14 即(b+c)2 −3bc=49,代入①,得:( )2 −3bc=49. 2 解得:bc=40. 1 所以S = bcsinA=10 3. …………12分 219.(12分)解: (1)由题意,第一组的频率/组距为: 1 10 − m − 0 .0 4 − 0 .0 2 5 − 0 .0 1 = 0 .0 2 5 − m . 样本平均数的估计值为: 1 0  [ ( 0 .0 2 5 − m )  5 5 + m  6 5 + 0 .0 4  7 5 + 0 .0 2 5  8 5 + 0 .0 1  9 5 ] = 7 4 .5 + 1 0 0 m . 样本中位数的估计值为: 7 0 + 1 0  0 . 0 5 0 −. 0 04 . 0 2 5 = 7 6 . 2 5 . 所以 7 4 . 5 + 1 0 0 m = 7 6 . 2 5 ,解得: m = 0 . 0 1 7 5 . …………6分 (2)总的成绩优秀人数为: 2 0 0  1 0  ( 0 .0 2 5 + 0 .0 1 ) = 7 0 . 得到列联表为: 测试成绩 性别 合计 优秀 不优秀 男生 45 65 110 女生 25 65 90 合计 70 130 200 χ 2 = 2 0 01 1 (0 4 5 9 0 6 5 7 −0 2 51 3 60 5 ) 2 = 2 66 09 03  3 . 7 5  3 . 8 4 1 . 所以根据小概率值 0 . 0 5  = 的独立性检验,认为男生和女生的优秀率没有差异. …………12分 20.(12分)解: (1)如图,连接 A C , B D 交于点 O ,取 O D 中点 F ,连接 E F , C F , A F . 由 A B = C B , A D = C D ,所以 B D 垂直平分 A C . 由ABO=45,且AB= 2, 有 A O = B O = C O = 1 , 且DO= AD2 −AO2 =2. 所以 BF FD = PE ED = 2 ,有EF∥ P B , 因为 P B  平面 P A B , E F  平面 P A B ,所以EF∥平面 P A B . 又点 O 平分线段 B F 和 A C ,所以四边形 A B C F 是平行四边形, 有 C F ∥AB. 因为 A B  平面 P A B , C F  平面 P A B ,所以 C F ∥平面 P A B . 由EF CF =F,有平面 C E F ∥平面 P A B . 又CE平面 C E F ,所以直线 C E ∥平面 P A B . …………6分 (2)连接PO,在POB和POD中,由 c o s  P O B = − c o s  P O D , PO2 +BO2 −PB2 PO2 +DO2 −PD2 PO2 +1−5 PO2 +4−8 有 =− ,即 =− . 2POBO 2PODO 2PO 4PO 解得:PO=2,满足PO2 +BO2 =PB2,所以 P O ⊥ B D . 又 P A = P C ,所以 P O ⊥ A C ,由 A C B D = O ,所以PO⊥平面ABCD,满足 P O , C O , D O 两两垂直. 以O为原点,OC,OD,OP所在直线分别为 x 轴、 y 轴、z 轴,建立如图所示的空间直角坐标系. 有P(0,0,2), B ( 0 , − 1 , 0 ) , C ( 1 , 0 , 0 ) , E ( 0 , 43 , 23 ) . B P = ( 0 , 1 , 2 ) , C P = ( − 1 , 0 , 2 ) . 设平面PBC的法向量n=(x,y,z),由  n n   B C P P = = 0 0 y+2z =0 ,得 ,取n=(2,−2,1). −x+2z =0 8 2 |−2− + | 4 2 |nCE| 3 3 4 29 又CE =(−1, , ),故所求角的正弦值为|cosn,CE |= = = . 3 3 |n||CE| 29 29 9 9 4 29 所以直线CE与平面PBC所成角的正弦值为 . …………12分 2921.(12分)解: (1)由题意, | A B |= 2 a = 4 ,得: a = 2 . a2 −b2 3 离心率e= = ,得: a 2 b = 1 . 所以椭圆 E 的标准方程为 x4 2 + y 2 = 1 . …………3分 (2)设 C ( x C , y C ) , D ( x D , y D ) . 点 A ( − 2 , 0 ) ,直线 A T 1 1 的方程为y =  (x+2),即 2 t+2 x = 2 ( t + 2 ) y − 2 . 与椭圆方程联立得: ( t 2 + 4 t + 5 ) y 2 − 2 ( t + 2 ) y = 0 ,解得: y C = t 22 ( + t + 4 t 2 + ) 5 . 点B(2,0),直线 B T 的方程为x=2(t−2)y+2. 与椭圆方程联立得: ( t 2 − 4 t + 5 ) y 2 + 2 ( t − 2 ) y = 0 −2(t−2) ,解得:y = . D t2 −4t+5 三角形面积比 S S   C A D B T T = 1212   | C | A T T |  | |  | D B T T | |   s s i n i n   C A T T D B = || CA TT ||  || DB TT || = y C 12 − − 12 0  y D 12 − − 12 0 = ( 2 y C − 1 ) ( 2 y D − 1 ) 又因为 S  A B T = 12  4  12 = 1 , 所以 S  C D T = ( 2 y C − 1 ) ( 2 y D − 1 ) = ( t 2 4+ t +4 t 8+ 5 − 1 ) ( t −2 4− t4 +t 8+ 5 − 1 ) = ( t 2 ( + t 2 5 − ) 2 3 − ) 2 1 6 t 2 . 由题意, ( t 2 ( + t 2 5 − ) 2 3 − ) 2 1 6 t 2 = 1 17 ,整理得t4 −6t2 +8=0,解得:t2 =2或t2 =4. 又由点T 在椭圆内部,故 t 2 = 2 ,即 t =  2 . …………12分 22.(12分)解: (1) m = n = 0 时, f ( x ) = x 2 e x . f '( x ) = ( x 2 + 2 x ) e x = x ( x + 2 ) e x . 令 f '( x ) = 0 ,得 x = − 2 或x=0. 当x−2或 x  0 时, f '( x )  0 , f ( x ) 单调递增; 当 − 2  x  0 时, f '( x )  0 , f(x)单调递减. 综上所述: f ( x ) 在 ( −  , − 2 ) 和 ( 0 , +  ) 上单调递增,在 ( − 2 , 0 ) 单调递减. …………5分 (2) f '(x)=[x2 +(m+2)x+m+n]ex. 令 f '(x)=0,得 x 2 + ( m + 2 ) x + m + n = 0 . 由题意, x 1 , x 2 是关于x的方程 x 2 + ( m + 2 ) x + m + n = 0 的两个实根. 所以 x 1 + x 2 = − ( m + 2 ) ,x x =m+n. 1 2 由x2 +(m+2)x +m+n=0,有 1 1 x 1 2 = − ( m + 2 ) x 1 − m − n . 所以 f ( x 1 ) = ( x 1 2 + m x 1 + n ) e x1 = ( − 2 x 1 − m ) e x1 ,将m=−x −x −2代入, 1 2 得 f(x )=(x −x +2)ex 1,同理可得: f(x )=(x −x +2)ex 2 . 1 2 1 2 1 2 f(x )− f(x ) (x −x +2)ex 2 −(x −x +2)ex 1 (x −x −2)ex 2 −x 1 +(x −x +2) 所以 2 1 = 1 2 2 1 =− 2 1 2 1 . ex 2 −ex 1 ex 2 −ex 1 ex 2 −x 1 −1令x −x =t(t 0),上式为 2 1 − ( t − 2 ) e e t t + − 1 ( t + 2 ) . (t−2)et +(t+2) 设g(t)=− (t 0),此时 et −1 g ( t ) = − t ( e e t t + − 1 1 ) + 2 . g '( t ) = − e 2 t ( −e t 2− t e1 t ) −2 1 . 记 h ( t ) = e 2 t − 2 t e t − 1 , h '( t ) = 2 e t ( e t − t − 1 ) . 记(t)=et −t−1, t  0 时, '( t ) e t 1 0  = −  , ( t )  单调递增,所以 ( t ) ( 0 ) 0    = . 所以h'(t)0,h(t)单调递增,h(t)h(0)=0. 所以 g '( t )  0 , g ( t ) 在 ( 0 , +  ) 单调递减. 又 t 2 = ( x 2 − x 1 ) 2 = ( x 2 + x 1 ) 2 − 4 x 1 x 2 = m 2 − 4 n + 4 . 此时 t 2 = ( a + b + 2 ) 2 − 4 ( a 2 + b 2 + 2 ) + 4 = − 3 a 2 − 3 b 2 + 2 a b + 4 a + 4 b . t 2 = − 3 a 2 + ( 2 b + 4 ) a − 3 b 2 + 4 b = − 3 ( a − b +3 2 ) 2 − 83 b 2 + 1 63 b + 43  − 83 b 2 + 1 63 b + 43 = − 83 ( b − 1 ) 2 + 4  4 . 当且仅当 a − b +3 2 = 0 且 b − 1 = 0 ,即 a = b = 1 时,t2取到最大值 4 ,即t的最大值为2. 所以 f ( x e 2x ) 2 − − f e ( x1 x 1 ) −4 的最小值为g(2)= . …………12分 e2 −1