当前位置:首页>文档>辽宁省实验中学2023-2024学年度高考适应性测试(一)数学参考答案_2023年10月_01每日更新_30号_2024届辽宁省实验中学高三上学期高考适应性测试(一)

辽宁省实验中学2023-2024学年度高考适应性测试(一)数学参考答案_2023年10月_01每日更新_30号_2024届辽宁省实验中学高三上学期高考适应性测试(一)

  • 2026-04-20 14:25:29 2026-02-13 16:59:18

文档预览

辽宁省实验中学2023-2024学年度高考适应性测试(一)数学参考答案_2023年10月_01每日更新_30号_2024届辽宁省实验中学高三上学期高考适应性测试(一)
辽宁省实验中学2023-2024学年度高考适应性测试(一)数学参考答案_2023年10月_01每日更新_30号_2024届辽宁省实验中学高三上学期高考适应性测试(一)
辽宁省实验中学2023-2024学年度高考适应性测试(一)数学参考答案_2023年10月_01每日更新_30号_2024届辽宁省实验中学高三上学期高考适应性测试(一)
辽宁省实验中学2023-2024学年度高考适应性测试(一)数学参考答案_2023年10月_01每日更新_30号_2024届辽宁省实验中学高三上学期高考适应性测试(一)
辽宁省实验中学2023-2024学年度高考适应性测试(一)数学参考答案_2023年10月_01每日更新_30号_2024届辽宁省实验中学高三上学期高考适应性测试(一)
辽宁省实验中学2023-2024学年度高考适应性测试(一)数学参考答案_2023年10月_01每日更新_30号_2024届辽宁省实验中学高三上学期高考适应性测试(一)
辽宁省实验中学2023-2024学年度高考适应性测试(一)数学参考答案_2023年10月_01每日更新_30号_2024届辽宁省实验中学高三上学期高考适应性测试(一)
辽宁省实验中学2023-2024学年度高考适应性测试(一)数学参考答案_2023年10月_01每日更新_30号_2024届辽宁省实验中学高三上学期高考适应性测试(一)
辽宁省实验中学2023-2024学年度高考适应性测试(一)数学参考答案_2023年10月_01每日更新_30号_2024届辽宁省实验中学高三上学期高考适应性测试(一)
辽宁省实验中学2023-2024学年度高考适应性测试(一)数学参考答案_2023年10月_01每日更新_30号_2024届辽宁省实验中学高三上学期高考适应性测试(一)

文档信息

文档格式
docx
文档大小
0.471 MB
文档页数
6 页
上传时间
2026-02-13 16:59:18

文档内容

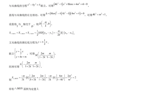
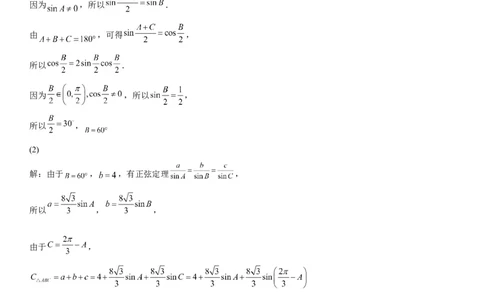
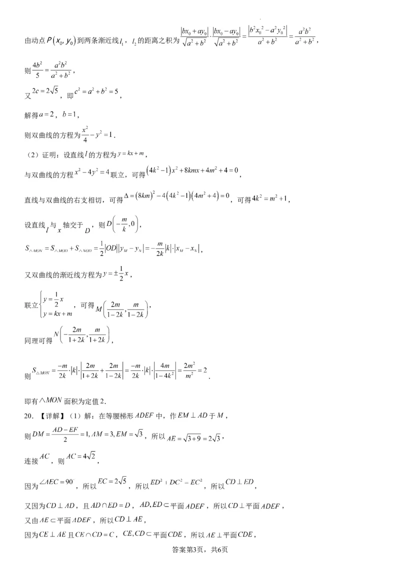
辽宁省实验中学 2023-2024 学年度高考适应性测试(一) 数学参考答案 一、单选题(每题只有一个选项是正确答案,每题5分,共40分) 1 2 3 4 5 6 7 8 C A C B C D B B 二、多选题(每题至少有一个选项为正确答案,少选且正确得3分,每题5分,共20分) 9 10 11 12 AD AC ABD BC 三、填空题(每题5分,共20分) 13. 14.540 15. 16. 四、解答题(17题10分,其余每题12分,共70分) 17.【详解】(1)取 的中点 ,连接 、 , 根据中位线定理, ,且 , 又 ,所以 , ,则四边形 为平行四边形,∴ , ∵ 平面 , 平面 ,∴ 平面 ; (2)以 为原点, 、 、过 且垂直底面的直线分别为 、 、 轴建立空间直角坐标系, 设 ,则 、 、 、 ,设 , 由 , , , 上面联立解方程组得 , , , 故点 ,所以 ,得到 , 平面 的法向量为 ,由 . 故直线 与平面 所成角的正弦值为 . 答案第1页,共6页 学科网(北京)股份有限公司18.【详解】(1) 解:由正弦定理得 . 因为 ,所以 . 由 ,可得 , 所以 . 因为 ,所以 , 所以 , (2) 解:由于 , ,有正弦定理 , 所以 , , 由于 , 因为 ,所以 . 因此 19.【详解】解:(1)双曲线 ( , )的渐近线方程为 和 , 答案第2页,共6页由动点 到两条渐近线 , 的距离之积为 , 则 , 又 ,即 , 解得 , , 则双曲线的方程为 . (2)证明:设直线 的方程为 , 与双曲线的方程 联立,可得 , 直线与双曲线的右支相切,可得 ,可得 , 设直线 与 轴交于 ,则 , , 又双曲线的渐近线方程为 , 联立 ,可得 , 同理可得 , 则 . 即有 面积为定值2. 20.【详解】(1)解:在等腰梯形 中,作 于 , 则 ,所以 , 连接 ,则 , 因为 ,所以 ,所以 ,所以 , 又因为 ,且 , 平面 ,所以 平面 , 又由 平面 ,所以 , 因为 且 , 平面 ,所以 平面 , 答案第3页,共6页 学科网(北京)股份有限公司又因为 平面 ,所以 , 因为 ,所以 就是二面角 的平面角, 在直角 中, , 所以二面角 的余弦值为 . (2)解:取 的中点 ,连接 ,可得证四边形 、 均为平行四边形, 所以 ,所以 为等腰梯形 的外心, 取 的中点 ,连接 ,可得 , 因为 平面 ,所以 平面 , 又因为 ,所以 为四棱锥 外接球的球心, 所以球的半径为 ,所以 . 21.【详解】(1)令 ,即 , 解得 或 ,所以 的定义域为 , 而 , 所以 为奇函数. (2)令 ,则 , 答案第4页,共6页又 , 设 ,且 , 则 因为 ,且 , 所以 , , 因此 ,即 在 上单调递增, 又因为 在 上单调递增, 所以 在 上单调递增. 22.【详解】(1)解:因为数列 为等差数列, , , 所以数列 的公差为 , , 则 ,又 , ,故数列 为等差数列. (2)证明:假设数列 中存在不同三项构成等比数列, 不妨设 、 、 ( 、 、 均不相等)成等比数列,即 , 由数列 的通项公式可得 , 将此式展开可得 , 所以有 ,即 , 答案第5页,共6页 学科网(北京)股份有限公司所以, ,所以, , 化简整理得 , ,与假设矛盾, 故数列 中任意三项均不能构成等比数列. 答案第6页,共6页