当前位置:首页>文档>3.2地区产业结构变化-2022-2023学年高二地理课后培优分级练(人教版选择性必修第二册)(原卷版)_E015高中全科试卷_地理试题_选修2_2.同步练习_课后培优练2023年(第一套)

3.2地区产业结构变化-2022-2023学年高二地理课后培优分级练(人教版选择性必修第二册)(原卷版)_E015高中全科试卷_地理试题_选修2_2.同步练习_课后培优练2023年(第一套)

  • 2026-04-09 06:49:44 2026-02-15 01:11:22

文档预览

3.2地区产业结构变化-2022-2023学年高二地理课后培优分级练(人教版选择性必修第二册)(原卷版)_E015高中全科试卷_地理试题_选修2_2.同步练习_课后培优练2023年(第一套)
3.2地区产业结构变化-2022-2023学年高二地理课后培优分级练(人教版选择性必修第二册)(原卷版)_E015高中全科试卷_地理试题_选修2_2.同步练习_课后培优练2023年(第一套)
3.2地区产业结构变化-2022-2023学年高二地理课后培优分级练(人教版选择性必修第二册)(原卷版)_E015高中全科试卷_地理试题_选修2_2.同步练习_课后培优练2023年(第一套)
3.2地区产业结构变化-2022-2023学年高二地理课后培优分级练(人教版选择性必修第二册)(原卷版)_E015高中全科试卷_地理试题_选修2_2.同步练习_课后培优练2023年(第一套)
3.2地区产业结构变化-2022-2023学年高二地理课后培优分级练(人教版选择性必修第二册)(原卷版)_E015高中全科试卷_地理试题_选修2_2.同步练习_课后培优练2023年(第一套)
3.2地区产业结构变化-2022-2023学年高二地理课后培优分级练(人教版选择性必修第二册)(原卷版)_E015高中全科试卷_地理试题_选修2_2.同步练习_课后培优练2023年(第一套)
3.2地区产业结构变化-2022-2023学年高二地理课后培优分级练(人教版选择性必修第二册)(原卷版)_E015高中全科试卷_地理试题_选修2_2.同步练习_课后培优练2023年(第一套)
3.2地区产业结构变化-2022-2023学年高二地理课后培优分级练(人教版选择性必修第二册)(原卷版)_E015高中全科试卷_地理试题_选修2_2.同步练习_课后培优练2023年(第一套)
3.2地区产业结构变化-2022-2023学年高二地理课后培优分级练(人教版选择性必修第二册)(原卷版)_E015高中全科试卷_地理试题_选修2_2.同步练习_课后培优练2023年(第一套)
3.2地区产业结构变化-2022-2023学年高二地理课后培优分级练(人教版选择性必修第二册)(原卷版)_E015高中全科试卷_地理试题_选修2_2.同步练习_课后培优练2023年(第一套)

文档信息

文档格式
docx
文档大小
1.584 MB
文档页数
10 页
上传时间
2026-02-15 01:11:22

文档内容

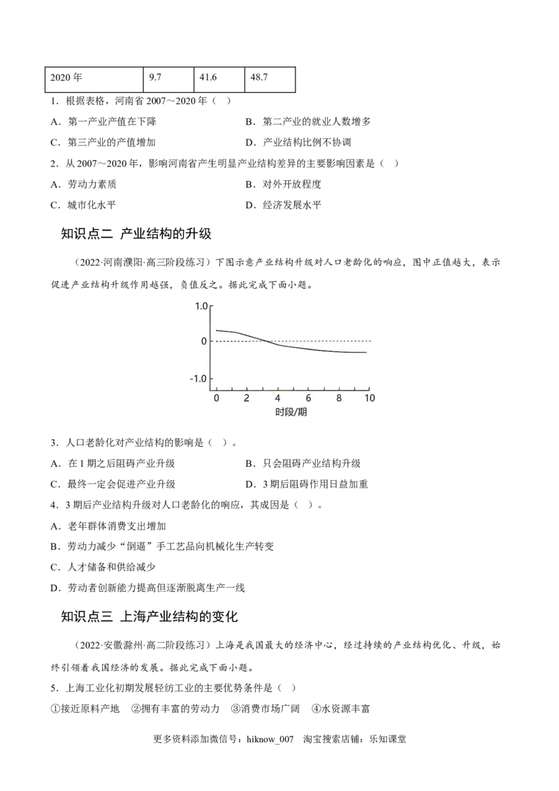
3.2 地区产业结构变化 自预习试一试 一、判断 (1)一个国家或地区经济的发展过程实际上是产业结构不断变化升级的过程。( ) (2)纺织、服装、玩具、皮革、家具等制造业属于技术密集型产业。( ) (3)今后,作为全国最大的经济中心,上海依托自身的经济实力和全球影响力,将逐步建 设成为国际经济、金融、贸易、航运、科技创新中心和国际文化大都市。 二、思考 深圳的产业结构发生了怎样的变化?是哪些原因影响了深圳的产业结构升级转换? 答案自查 一、判断 (1)√ (2)× (3)√ 二、思考 改革开放以前,深圳是以农业为主的渔村;改革开放以后,受国家政策的引导,深圳从 以第一产业为主转向以第二产业为主;现在,由于比较优势的变化,深圳的产业结构由以劳 动密集型加工制造业为主,升级为以高新技术产业和金融服务业为主。 课后培优练级 练 培优第一阶——基础知识对点练 知识点一 地区产业结构 (2022·山西·朔州市平鲁区李林中学高二阶段练习)读河南省产业结构比重变化数据表,完成下面小 题。 产业结构比重(%) 第一产 第二产业 第三产业 业 年份 2007年 15.7 55.0 29.3 更多资料添加微信号:hiknow_007 淘宝搜索店铺:乐知课堂2020年 9.7 41.6 48.7 1.根据表格,河南省2007~2020年( ) A.第一产业产值在下降 B.第二产业的就业人数增多 C.第三产业的产值增加 D.产业结构比例不协调 2.从2007~2020年,影响河南省产生明显产业结构差异的主要影响因素是( ) A.劳动力素质 B.对外开放程度 C.城市化水平 D.经济发展水平 知识点二 产业结构的升级 (2022·河南濮阳·高三阶段练习)下图示意产业结构升级对人口老龄化的响应,图中正值越大,表示 促进产业结构升级作用越强,负值反之。据此完成下面小题。 3.人口老龄化对产业结构的影响是( )。 A.在1期之后阻碍产业升级 B.只会阻碍产业结构升级 C.最终一定会促进产业升级 D.3期后阻碍作用日益加重 4.3期后产业结构升级对人口老龄化的响应,其成因是( )。 A.老年群体消费支出增加 B.劳动力减少“倒逼”手工艺品向机械化生产转变 C.人才储备和供给减少 D.劳动者创新能力提高但逐渐脱离生产一线 知识点三 上海产业结构的变化 (2022·安徽滁州·高二阶段练习)上海是我国最大的经济中心,经过持续的产业结构优化、升级,始 终引领着我国经济的发展。据此完成下面小题。 5.上海工业化初期发展轻纺工业的主要优势条件是( ) ①接近原料产地 ②拥有丰富的劳动力 ③消费市场广阔 ④水资源丰富 更多资料添加微信号:hiknow_007 淘宝搜索店铺:乐知课堂A.①②③ B.①②④ C.②③④ D.①③④ 6.20世纪90年代以后,上海重点发展( ) ①高新技术产业 ②重化工业 ③金融服务业 ④纺织工业 A.①③ B.②④ C.①④ D.③④ 7.推动上海产业结构不断升级的根本原因是( ) A.政策引导 B.交通改善 C.技术创新 D.人口增加 培优第二阶——核心知识重点练 (2022·上海·华师大二附中高一期中)20世纪60-70年代,“三转一响”(海鸥牌手表、飞鸽牌自行 车、牡丹牌缝纫机、长城牌收音机)代表着精致和美好的“天津制造”。如今,飞机、海洋工程等正塑造 着“天津制造”的新辉煌。据此完成下面小题。 1.20世纪60-70年代,天津生产“三转一响”的主要区位条件不包括( ) A.工业基础好 B.市场需求大 C.土地价格低 D.劳动力丰富 2.据材料所示,从产业结构优化角度考虑,当前天津重点发展的产业部门是( ) A.高端制造业 B.观光型农业 C.优质旅游业 D.国际金融业 (2022·浙江·玉环市玉城中学高二阶段练习)读地理要素三角坐标统计图,完成下面小题。 3.若a、b、c分别表示一、二、三产业,甲、乙、丙分别代表某区域不同发展阶段的产业结构特征,一般 而言其发展的先后顺序应是( ) A.甲→乙→丙 B.甲→丙→乙 C.乙→甲→丙 D.丙→甲→乙 4.根据上题分析,甲代表的产业结构地区应如何可持续发展( ) 更多资料添加微信号:hiknow_007 淘宝搜索店铺:乐知课堂A.扩大企业规模,提供高经济效益 B.发展资源密集型产业,加速城市化发展 C.积极鼓励人口外迁,疏散城市职能 D.实施产业转型,发展第三产业 5.若a、b、c分别表示原料、市场、技术,则甲最有可能的工业部门是( ) A.水产品加工 B.糕点制作 C.飞机制造 D.电子装配 (2022·浙江·高三开学考试)在2010年-2020年期间,广东某村镇的第一产业用地显著减少,第二、 三产业用地快速增加。该村镇属于粤港澳大湾区范围内。下图是该村镇2020年主要收入来源情况。完成下 面小题。 6.该村镇第一产业用地显著减少的原因,可能是( ) ①农业产值低②土壤污染重③土地撂荒多④建设占地广 A.①② B.③④ C.①④ D.②③ 7.为改善该村镇居民收入结构,合理的途径是( ) ①扩大外出人员的比重②发展乡村农家乐③建设大型商业综合体④创办乡镇办企业 A.①② B.③④ C.①③ D.②④ (2022·黑龙江·铁人中学模拟预测)北京电影产业的分工协作已跨越地理空间界限,形成基于产业联 系的城市网络。下图示意北京电影产业分工协作城市的联系强度指数。据此完成下面小题。 更多资料添加微信号:hiknow_007 淘宝搜索店铺:乐知课堂8.下列城市中,M城市最可能是( ) A.东莞 B.沈阳 C.香港 D.澳门 9.北京电影产业联系城市网络中的城市( ) A.总体上经济较发达 B.电影产业成本低 C.联系强度指数差异小 D.当地电影市场小 10.为疏解北京电影产业部分环节,推动京津冀电影产业协同发展,建议( ) ①石家庄发展影片剪辑 ②石家庄主要从事电影创意设计 ③天津重点发展电影人才培养 ④天津承接部分电影的发行推广 A.①③ B.①④ C.②③ D.②④ 11.(2022·安徽·高三开学考试)阅读图文材料,完成下列要求。 淮北市是因煤炭工业而发展起来的资源型城市,计划经济时期,产业结构单一,矿区、城区以及农村 地区缺乏有效的产业互动,形成“城·矿·乡”分离。2000年以后,经济体制改革,资源产业内部升级, 产业体系向多样化结构演变。“城·矿·乡”协调,单中心集聚发展阶段。2009年被确定为资源枯竭型城 市转型后,获得国家优惠政策和资金支持,产业转型速度加快,从煤炭工业城市向现代化综合服务城市转 变,郊区发展加快,“城·矿·乡”融合,圈层扩散发展阶段。下图为1985—2017年淮北市主要工业行业 产值占比演变示意图。 更多资料添加微信号:hiknow_007 淘宝搜索店铺:乐知课堂(1)与1985年相比,简述2017年淮北市工业结构变化的特点。 (2)结合材料,说明淮北市城市化进程的特点。 (3)简析2010年以后淮北市经济结构转型的条件。 培优第三阶——高考真题实战练 (2022·山东·高考真题)嘉峪关地处河西走廊中部,1955年该地区发现铁矿,1958年依托国家“一 五”计划重点项目建立钢铁厂,1965年设嘉峪关市。随着钢铁工业的发展,嘉峪关市逐步形成了以冶金为 主的工业体系。2019年,该市三次产业结构为1.7:62.8:35.5。据此完成下面小题。 1.2005~2010年该市65岁及以上老年人口数量迅速增加,主要原因是( ) A.人口惯性的影响 B.环境条件的改善 C.青壮年人口迁出 D.康养产业的发展 2.该市第一产业比重较低的主要影响因素是( ) A.交通运输 B.自然资源 C.市场需求 D.劳动力 3.该市在推进工业结构优化过程中宜重点发展( ) A.造纸工业 B.纺织工业 C.食品加工工业 D.装备制造工业 更多资料添加微信号:hiknow_007 淘宝搜索店铺:乐知课堂(2021·福建·高考真题)科隆自贸区和新太平洋自贸区(下图)对我国实施“一带一路”倡议具有重 要意义。为了改变经济落后状况,1948年,巴拿马建立科隆自贸区,发展转口贸易(从各国进口商品再批 发到拉美地区)。20世纪70年代,拉美地区陆续建立新自贸区。20世纪80年代以来,科隆自贸区以运河 航运为基础发展金融、保险、通讯等产业。2007年,以高端制造业为核心的新太平洋自贸区建立。据此完 成下面小题。 4.20世纪70年代后期,科隆自贸区陷入困境的主要原因是( ) A.劳动力的成本上升 B.地理位置优势弱化 C.制造业的比例增加 D.市场份额逐渐下降 5.巴拿马建立新太平洋自贸区可直接( ) A.缩小东西部经济差异 B.增加国内就业机会 C.缓解生态环境的压力 D.提升运河转运能力 6.与新太平洋自贸区相比,中国首选科隆自贸区作为中拉贸易投资平台的主要影响因素是( ) A.产业结构 B.经济腹地 C.基础设施 D.地理位置 7.(2022·江苏·高考真题)阅读图文材料,回答下列问题。 材料一:江苏地势低平,河湖密布,以平原为主,可以概括为“一山二水七分田”。广东除珠江三角 洲外,其余地区以山地和丘陵为主,可以概括为“七山一水二分田”。下图为“江苏地形图”。 更多资料添加微信号:hiknow_007 淘宝搜索店铺:乐知课堂材料二:2020年,广东和江苏国内生产总值(GDP)居全国第一、第二位。下图为“2020年江苏和广 东各地级市GDP统计图”。 (2)在与广东比较的基础上,概括江苏区域经济发展水平的整体特征。 (3)为进一步推进江苏区域协调发展,从产业发展的角度提出合理建议。 8.(2021·海南·高考真题)阅读图文材料,完成下列要求。 材料一:为应对全球气候变化,中国政府承诺力争2030年前实现碳达峰、2060年前实现碳中和。大 兴是北京新的产业集聚区,承担疏解中心城区人口和公共服务等功能。国际氢能示范区(图左)是大兴区 和清华大学等科研机构的共建项目,旨在建设氢能产业创新中心,探索氢燃料电池汽车在公交、环卫等服 务领域的应用。 材料二:新能源的广泛使用是我国实现碳达峰和碳中和目标的主要途径,海南省作为中国改革开放示 范新标杆,对生态环境有更高的要求。关于现代产业体系,《海南自由贸易港建设总体方案》中提出“坚 持生态优先、绿色发展”“围绕生态环保、生物医药、新能源汽车、智能汽车等壮大先进制造业”。 更多资料添加微信号:hiknow_007 淘宝搜索店铺:乐知课堂材料三:轨道交通是都市居民日常出行的高效方式。为了亦庄新城居民出行更加便捷,交通部门设计 了沿宏达路和荣华路的两条轨道线路,每条线路均有地下方案和高架方案(图右)。 (1)分析北京氢能示范区落户大兴产业集聚区的区位条件。 (2)简述大兴氢能示范区的创建对海南自由贸易港产业发展的启示。 更多资料添加微信号:hiknow_007 淘宝搜索店铺:乐知课堂更多资料添加微信号:hiknow_007 淘宝搜索店铺:乐知课堂