当前位置:首页>文档>3.4全球气候变化与国家安全-2022-2023学年高二地理课后培优分级练(人教版2019选择性必修3)(原卷版)_E015高中全科试卷_地理试题_选修3_2.同步练习_课后培优练2023年(第一套)

3.4全球气候变化与国家安全-2022-2023学年高二地理课后培优分级练(人教版2019选择性必修3)(原卷版)_E015高中全科试卷_地理试题_选修3_2.同步练习_课后培优练2023年(第一套)

  • 2026-04-08 23:15:19 2026-02-15 01:45:58

文档预览

3.4全球气候变化与国家安全-2022-2023学年高二地理课后培优分级练(人教版2019选择性必修3)(原卷版)_E015高中全科试卷_地理试题_选修3_2.同步练习_课后培优练2023年(第一套)
3.4全球气候变化与国家安全-2022-2023学年高二地理课后培优分级练(人教版2019选择性必修3)(原卷版)_E015高中全科试卷_地理试题_选修3_2.同步练习_课后培优练2023年(第一套)
3.4全球气候变化与国家安全-2022-2023学年高二地理课后培优分级练(人教版2019选择性必修3)(原卷版)_E015高中全科试卷_地理试题_选修3_2.同步练习_课后培优练2023年(第一套)
3.4全球气候变化与国家安全-2022-2023学年高二地理课后培优分级练(人教版2019选择性必修3)(原卷版)_E015高中全科试卷_地理试题_选修3_2.同步练习_课后培优练2023年(第一套)
3.4全球气候变化与国家安全-2022-2023学年高二地理课后培优分级练(人教版2019选择性必修3)(原卷版)_E015高中全科试卷_地理试题_选修3_2.同步练习_课后培优练2023年(第一套)
3.4全球气候变化与国家安全-2022-2023学年高二地理课后培优分级练(人教版2019选择性必修3)(原卷版)_E015高中全科试卷_地理试题_选修3_2.同步练习_课后培优练2023年(第一套)
3.4全球气候变化与国家安全-2022-2023学年高二地理课后培优分级练(人教版2019选择性必修3)(原卷版)_E015高中全科试卷_地理试题_选修3_2.同步练习_课后培优练2023年(第一套)
3.4全球气候变化与国家安全-2022-2023学年高二地理课后培优分级练(人教版2019选择性必修3)(原卷版)_E015高中全科试卷_地理试题_选修3_2.同步练习_课后培优练2023年(第一套)
3.4全球气候变化与国家安全-2022-2023学年高二地理课后培优分级练(人教版2019选择性必修3)(原卷版)_E015高中全科试卷_地理试题_选修3_2.同步练习_课后培优练2023年(第一套)
3.4全球气候变化与国家安全-2022-2023学年高二地理课后培优分级练(人教版2019选择性必修3)(原卷版)_E015高中全科试卷_地理试题_选修3_2.同步练习_课后培优练2023年(第一套)
3.4全球气候变化与国家安全-2022-2023学年高二地理课后培优分级练(人教版2019选择性必修3)(原卷版)_E015高中全科试卷_地理试题_选修3_2.同步练习_课后培优练2023年(第一套)
3.4全球气候变化与国家安全-2022-2023学年高二地理课后培优分级练(人教版2019选择性必修3)(原卷版)_E015高中全科试卷_地理试题_选修3_2.同步练习_课后培优练2023年(第一套)

文档信息

文档格式
docx
文档大小
4.899 MB
文档页数
12 页
上传时间
2026-02-15 01:45:58

文档内容

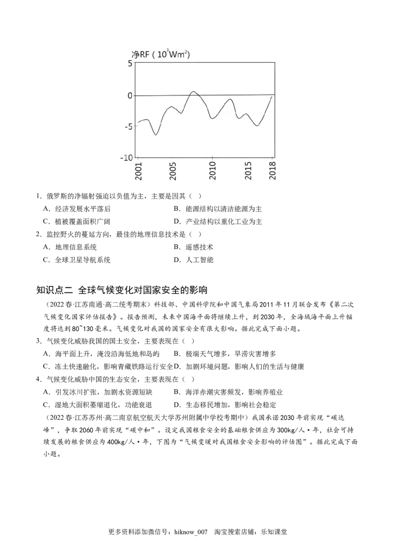
3.4 全球气候变化与国家安全 1.全球气候变化与人为碳排放 近现代全球气候变化:以____为突出特征。工业革命以来,____是全球变暖的主要原因。碳循环:自然界 的碳循环过程维持了大气中二氧化碳等温室气体含量的相对稳定。大气温室效应不断增强的原因。工业 革命以来,人类活动主要通过____和____两种方式极大地改变了全球碳循环过程,使大气中二氧化碳含 量不断增加。 2.全球气候变化对国家安全的影响 全球气候变暖的危害:危害自然环境的各种____,甚至威胁人类____、生产活动和社会经济正常运转。对 国家安全的影响:____是气候变化对国家安全最为严重的影响。加剧____或自然灾害影响国家安全。激 化国家间的____而影响国家安全。受其他国家波及而间接影响国家安全。 3.应对全球气候变化 采取减缓措施:减少碳排放(减排):降低能耗、____、改善产业结构、征收碳税、____等。增加碳汇 (增汇,即吸收碳排放):减少森林破坏、____、将二氧化碳封存到地下或海洋等。 适应措施:提高适应能力,如采取预防措施、建设____工程、开展灾害保险业务、改种高热量资源需求 的作物类型或品种等。世界各国开展有效和公平的国际合作:各国都要基于“公平原则”和“共同但有 区别的责任”原则,采取____的减排行动,特别是对全球变暖负主要责任的发达国家要率先减排,以实 现减缓气候变化的目标。发展中国家需要发达国家提供资金、技术转让和能力建设支持。各国需要通过 ____,协商解决各国对减排、适应与经济发展诉求的分歧,建立国际共同应对的机制。国际减排合作中 ____应承担更大的责任。 培优第一阶——基础知识对点练知识点一 全球气候变化与人为碳排放 (2022秋·江西宜春·高二校考阶段练习)CO2通量是指单位时间内某区域释放或吸收CO2的量;辐射强 迫(RF)是对某气候强迫因子改变“地球——大气”系统能量收支平衡影响程度的度量,是强迫因子作 用于气温变化的一个指标。正强迫使地球表面增暖,负强迫则使其降温。右图示意某时段俄罗斯辐射强 迫对当年CO2通量变化的响应结果,化石燃料燃烧和野火是俄罗斯大气中CO2的主要来源。据此完成下 面小题。 更多资料添加微信号:hiknow_007 淘宝搜索店铺:乐知课堂1.俄罗斯的净辐射强迫以负值为主,主要是因其( ) A.经济发展水平落后 B.能源结构以清洁能源为主 C.植被覆盖面积广阔 D.产业结构以重化工业为主 2.监控野火的蔓延方向,最佳的地理信息技术是( ) A.地理信息系统 B.遥感技术 C.全球卫星导航系统 D.人工智能 知识点二 全球气候变化对国家安全的影响 (2022春·江苏南通·高二统考期末)科技部、中国科学院和中国气象局2011年11月联合发布《第二次 气候变化国家评估报告》。报告预测,未来中国海平面将继续上升,到2030年,全海域海平面上升幅 度将达到80~130毫米。气候变化对我国的国家安全有很大影响。据此完成下面小题。 3.气候变化威胁我国的国土安全,主要表现在( ) A.海平面上升,淹没沿海低地和岛屿 B.极端天气增多,旱涝灾害增多 C.冻土快速融化,影响青藏铁路运行安全D.加剧环境问题,影响人们的生活与健康 4.气候变化威胁中国的生态安全,主要表现在( ) A.引发冰川扩张,加剧水资源短缺 B.海洋赤潮灾害频发,影响养殖业 C.湿地大面积萎缩退化,功能衰退 D.生态移民增加,影响社会稳定 (2022春·江苏苏州·高二南京航空航天大学苏州附属中学校考期中)我国承诺2030年前实现“碳达 峰”,争取2060年前实现“碳中和”。设定我国粮食安全的基础粮食供应为300kg/人·年,社会可持 续发展的粮食供应为400kg/人·年,下图为“气候变暖对我国粮食安全影响的评估图”。据此完成下面 小题。 更多资料添加微信号:hiknow_007 淘宝搜索店铺:乐知课堂5.关于各情形下评估依据的判断正确的是( ) A.甲—中低排放且无CO 肥效作用 B.乙—中低排放且有CO 肥效作用 2 2 C.丙—高排放且有CO 肥效作用 D.丁—高排放且有CO 肥效作用 2 2 6.下列措施中对保障我国粮食安全作用较为显著的是( ) ①加强土地管理与基本农田保护 ②实施清洁生产,促进碳零排放 ③改造利用盐碱地,推广海水稻 ④农业生产严禁使用农药、化肥 A.①② B.①③ C.②③ D.③④ 知识点三 应对全球气候变化的措施 (2022春·山东泰安·高二统考期末)2020年9月22日,我国在联合国大会上提出,二氧化碳排放力争于 2030年前达到峰值,2060年前实现碳中和。“碳中和”指通过植树造林、节能减排、产业调整等形 式,抵消自身产生的二氧化碳排放量。据此完成下面小题。 7.实现“碳中和”的核心问题是( ) A.能源结构 B.减少排放 C.人为抵消 D.收集封存 8.关于我国实现“碳中和”的相关做法不正确的是( ) A.打造中西部地区新能源基地,调整能源消费结构 更多资料添加微信号:hiknow_007 淘宝搜索店铺:乐知课堂B.摆脱对国际能源供给的依赖,提升国家能源安全 C.加大清洁能源结构占比,实现二氧化碳零排放 D.提高钢铁、铝和塑料等高耗能产品回收利用率 (2022春·吉林长春·高二长春十一高校考阶段练习)下图是“环境中煤和其他化石燃料的形成过程”示 意图。读图,完成下面小题。 9.化石燃料( ) A.天然气是森林被掩埋在地下形成 B.煤炭多在近海,埋藏浅,易开发 C.在沉积岩层中呈均匀、连续分布 D.大规模使用可能改变全球碳循环 10.可以采取的固碳措施有( ) ①增加植树造林面积②减少能源的消费量③将CO2封存到海洋④建立碳交易市场 A.①② B.③④ C.①③ D.②④ 培优第二阶——核心知识重点练 (2022秋·江苏南通·高二统考期中)图为2010~2018年江苏省碳排放结构图。据此完成下面小题。 更多资料添加微信号:hiknow_007 淘宝搜索店铺:乐知课堂1.2010~2018年期间,江苏省碳排放所占比重下降的是( ) A.生活消费 B.第一产业 C.第二产业 D.第三产业 2.为减少碳排放总量,江苏省应采取的主要措施是( ) A.优化农业生产结构 B.控制农作物种植面积 C.大力发展绿色交通 D.限制第三产业的发展 (2022春·河南南阳·高二校联考期末)碳排放是对各种温室气体排放的总称。下图示意2020年世界主要 国家能源消费结构。据此完成下面小题。 3.图示国家2020年的能源消费( ) A.以煤炭为主 B.以化石能源为主 C.以可再生能源为主 D.以清洁能源为主 4.图示国家中( ) A.南非碳排放量最大 B.日本和澳大利亚的碳排放量基本相同 C.法国能源利用技术先进 D.荷兰和墨西哥的能源消费量基本相同 5.世界各国能源消费结构存在差异的主要影响因素有( ) ①能源资源禀赋 ②经济技术水平 ③能源消费政策 ④人口结构 A.①②③ B.①②④ C.①③④ D.②③④ (2023秋·重庆沙坪坝·高二重庆八中校考期末)泥炭地约占全球陆地表面的3%,却储存了全球约1/3的 土壤碳。泥炭地开发利用方式的不同会导致碳排放量的差异。下图示意泥炭地开发利用的两种生产模式 (a和b)。(假定:a模式产出的“畜产品”恰好可满足该模式需求;b模式中的“畜产品”与a模式 更多资料添加微信号:hiknow_007 淘宝搜索店铺:乐知课堂中的等量,但从非泥炭地牧场中获取。)据此完成下面小题。 6.两种生产模式碳排放量的差值为( ) A.6.7 B.52.1 C.18 D.15.8 7.泥炭地是湿地环境,在泥炭地推广香蒲生产模式( ) A.能够通过香蒲大量吸收二氧化碳 B.增加耕地数量保障国家粮食安全 C.扩大湿地面积维持生态平衡 D.会占用大量泥炭地破坏生态 (2023春·山东枣庄·高二枣庄市第三中学校考阶段练习)进入“十四五”时期,各行各业都面临碳减排 的现实挑战,尤其是钢铁企业急需变被动为主动,系统地对企业全流程进行碳排放核查,以此推动技术 进步、管理优化,提高能源管理水平,达到节能减排的目标。下图是某钢铁企业生产流程及碳排放示意 图。据此完成下面小题。 更多资料添加微信号:hiknow_007 淘宝搜索店铺:乐知课堂8.通过核算,该钢铁企业的碳排放量为( ) A.E1+E2+E3-E4+E5+E6 B.E2+E3+E4+E5+E6-E1 C.E1+E2+E3+E4-E5+E6 D.E2+E3+E4-E5+E6-E1 9.研究发现钢铁企业提高副产品利用率可以减少碳排放,比如( ) ①用高炉煤气和转炉煤气代替部分天然气 ②减少燃气锅炉发电量,增加外购电量 ③减少固碳副产品的生产和销售 ④将生产过程中产生的废热循环再利用 A.①② B.②③ C.③④ D.①④ (2023春·山西忻州·高二山西省定襄县定襄中学校校联考阶段练习)下图示意我国某城市2005~2020年 能源相关碳排放情况,其中碳排放强度是指单位GDP的二氧化碳排放量。读图,完成下面小题。 更多资料添加微信号:hiknow_007 淘宝搜索店铺:乐知课堂10.该城市是( ) A.三亚市 B.北京市 C.大庆市 D.攀枝花市 11.根据碳排放总量变化,推测该市的人口和产业疏解政策开始于( ) A.2005年 B.2013年 C.2017年 D.2020年 12.碳排放强度的下降说明该市( ) A.能源消费量下降B.能源利用率下降 C.产业结构持续优化D.高耗能产业崛起 (2023春·江西宜春·高二校考阶段练习)融池是极地的冰盖或巨型冰川表面的冰融化后,流水汇聚而成 的水池。南极冰盖绝大部分分布在南极圈内,约占南极大陆面积的98%。南极地区融池主要分布在冰盖 边缘,冰面河与融池组成了冰盖边缘的水系。随着全球气候变暖,南极地区融池数量增多趋势明显,融 池的出现加速了南极冰盖边缘的崩解。下图示意某年航拍的融池景观。据此完成下面小题。 13.南极地区融池主要分布在冰盖边缘,其主要影响因素是( ) A.距海远近 B.洋流性质 C.风力大小 D.纬度高低 14.融池能加速南极冰盖边缘崩解,主要是因为融池水的( ) A.蒸发 B.冰面流动 C.下渗 D.盐度高 15.融池增多导致南极地区( ) A.海水的盐度降低B.海冰变厚 C.地面反射率增大 D.生态改善 (2022春·河南驻马店·高二统考期末)2021年11月13日,联合国气候变化大会在英国格拉斯哥闭幕, 更多资料添加微信号:hiknow_007 淘宝搜索店铺:乐知课堂就《巴黎协定》实施细则达成共识,一百多个国家宣布加入《关于森林和土地利用的格拉斯哥领导人宣 言》,承诺在2030年前停止和扭转毁林现象。绝大多数国家已表态将在2050年前后实现“碳中和”。 澳大利亚、俄罗斯和印度三大碳排放国家此前强烈抵制“双碳”政策,经多方协调,终于在本届联合国 气候大会上正式宣布了碳中和时间表,三个国家承诺分别将于2050年、2060年和2070年实现碳中和。 至此,全球主要经济体均已公布了“碳中和”的时间表。据此完成下面小题。 16.能够吸收碳的自然过程包括( ) A.岩石圈的沉积过程 B.绿色植物的呼吸过程 C.大气圈的受热过程 D.地下煤层的自燃过程 17.要实现“碳中和”,我国需要( ) A.主导国际石油交易市场 B.循环使用淡水资源 C.调整优化能源消费结构 D.停止使用化石燃料 18.在实现“碳中和”过程中,我国能源企业发挥着重要的作用,对于此类企业,下列“碳中和”措施中 见效最慢的是( ) A.大力发展清洁能源 B.购买碳汇植树造林 C.降低能源生产能耗 D.降低化石能源依赖 19.(2023秋·北京海淀·高二统考期末)雀儿山是四川省境内高山,主峰海拔6168米,冰川广布。阅读图 文资料,回答下列问题。 (1)说明上图中西部山区河流的水系特征。 (2)读下图左、下图右概括近30年间雀儿山地区的冰川面积变化特征。 更多资料添加微信号:hiknow_007 淘宝搜索店铺:乐知课堂(3)分析冰川面积变化对当地自然地理环境的影响。 20.阅读图文材料,完成下列问题。 冰冻圈是地球系统中水体处于冻结状态的负温圈层,主要分布在地球两极和部分高山地区,是体现气候 变化最为敏感和明显的证据。它为人类提供淡水资源供给、水文和生态调节等各种惠益,也带来雪崩、 泥石流等严峻挑战。随着全球变暖和温室效应现象的出现,冰冻圈范围正在发生变化,这不仅影响自然 系统,也将对全球的人文、经济、社会产生深刻影响。下图表示1979-2019年北极海冰和南极海冰范围 的变化图。 (1)地球各圈层间存在密切的物质循环和能量交换关系。说出与冰冻圈联系密切的圈层名称。 (2)分析地球北极、南极海冰范围变化的特点。 (3)冰冻圈范围变化是温室效应导致气候变暖而造成的。从大气受热过程和人类活动影响角度分析其形成机 制。 (4)为保障人类的可持续发展,倡议实施低能耗、低污染、低排放的经济模式。简述可采取的措施。 培优第三阶——高考真题实战练 (2014·福建·高考真题)下图示意1972~2011年我国西北地区某流域不同朝向冰川面积的变化(单 位:km2)。读图,完成第下面小题。 更多资料添加微信号:hiknow_007 淘宝搜索店铺:乐知课堂1.造成该流域冰川面积变化的主要原因是( ) A.气候变暖 B.地壳抬升 C.流水搬运 D.风力侵蚀 2.若该流域冰川面积变化趋势不变,将导致( ) A.冰蚀作用增强 B.绿洲面积增大 C.干旱程度加剧 D.流域面积扩大 3.(2022·湖南·统考高考真题)阅读图文材料,完成下列要求。 土壤有机质包括腐殖质、生物残体等,大多以有机碳的形式存在。土壤有机碳密度是指单位面积内一定 深度的土壤有机碳储量。海南岛某自然保护区内保存着较完整的热带山地雨林,此地常受台风影响。下 图示意该保护区内一块样地的地形及该样地内部分点位土壤表层(0~10cm)的有机碳密度(单位: kg/m2)。 (1)指出该样地山脊与山谷土壤表层有机碳密度的差异,并分析其原因。 (2)该地森林固碳能力比长白山更强,请说明理由。 (3)森林固碳是降低大气二氧化碳浓度的重要途径,提出增强当地森林碳吸收能力的主要措施。 更多资料添加微信号:hiknow_007 淘宝搜索店铺:乐知课堂更多资料添加微信号:hiknow_007 淘宝搜索店铺:乐知课堂