当前位置:首页>文档>专题练:水的运动-2022-2023学年高二地理课后培优分级练(人教版2019选择性必修1)_E015高中全科试卷_地理试题_选修1_2.同步练习_课后培优练2023年-第1套

专题练:水的运动-2022-2023学年高二地理课后培优分级练(人教版2019选择性必修1)_E015高中全科试卷_地理试题_选修1_2.同步练习_课后培优练2023年-第1套

  • 2026-03-22 01:12:30 2026-02-15 12:29:12

文档预览

专题练:水的运动-2022-2023学年高二地理课后培优分级练(人教版2019选择性必修1)_E015高中全科试卷_地理试题_选修1_2.同步练习_课后培优练2023年-第1套
专题练:水的运动-2022-2023学年高二地理课后培优分级练(人教版2019选择性必修1)_E015高中全科试卷_地理试题_选修1_2.同步练习_课后培优练2023年-第1套
专题练:水的运动-2022-2023学年高二地理课后培优分级练(人教版2019选择性必修1)_E015高中全科试卷_地理试题_选修1_2.同步练习_课后培优练2023年-第1套
专题练:水的运动-2022-2023学年高二地理课后培优分级练(人教版2019选择性必修1)_E015高中全科试卷_地理试题_选修1_2.同步练习_课后培优练2023年-第1套
专题练:水的运动-2022-2023学年高二地理课后培优分级练(人教版2019选择性必修1)_E015高中全科试卷_地理试题_选修1_2.同步练习_课后培优练2023年-第1套
专题练:水的运动-2022-2023学年高二地理课后培优分级练(人教版2019选择性必修1)_E015高中全科试卷_地理试题_选修1_2.同步练习_课后培优练2023年-第1套
专题练:水的运动-2022-2023学年高二地理课后培优分级练(人教版2019选择性必修1)_E015高中全科试卷_地理试题_选修1_2.同步练习_课后培优练2023年-第1套

文档信息

文档格式
docx
文档大小
4.009 MB
文档页数
7 页
上传时间
2026-02-15 12:29:12

文档内容

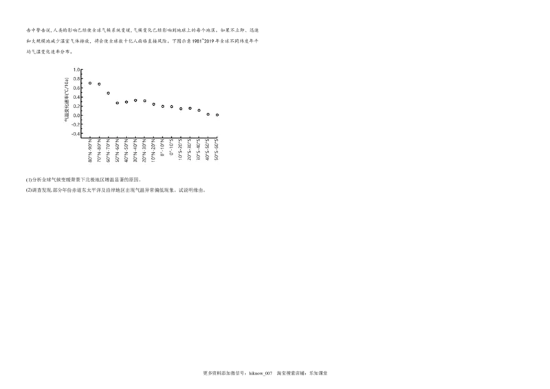
4.甲、乙、丙三个城市降水的共同特征是( ) 课后培优练:人教(2019)选择性必修一 A.夏季多,冬季少 B.冬季多,夏季少 水的运动 专题练 C.全年降水多,且季节分配均匀 D.全年降水集中分布于秋季 5.夏季冰岛南部发生火山喷发时,火山灰多飘向( ) 一、选择题:本题共16小题,每小题3分,共48分。在每小题给出的四个选项中,只有一项是符合题目要求 A.西南方向 B.西北方向 C.东北方向 D.东南方向 的。 6.图示①河流( ) 鄱阳湖湖口水龄(水龄指湖水从入湖流到出湖的时间)受气候变化和人类活动影响而发生变化。2003年三 A.冬季冰封期长 B.河水含沙量大 C.自东南流向西北 D.水位季节变化较大 峡工程蓄水,对其下游河床的冲淤产生影响,下表为2003年前后鄱阳湖湖口多年各月水龄平均值(单位: 下图为世界某区域地理事物分布图,其中甲、乙、丙、丁示意不同的气候类型。据此完成下面小题。 天)。据此完成下面小题。 月份 1 2 3 4 5 6 7 8 9 10 11 12 平均 1956-2002 12.9 12.1 11.6 11.3 12.9 15.7 22.7 36.5 39.2 39.5 25.5 13.9 21.21 2003-2016 10.3 11.2 9.6 8.9 10.5 13.5 22.6 31.5 27.1 25.8 14.1 10.6 16.36 1.鄱阳湖湖口水龄夏季较大,主要是因为此时( )A.鄱阳湖流域降水多 B.长江干流水位高 C.鄱阳湖面蒸发旺盛 D.长江干流流速快 2.2003年后鄱阳湖湖口各月水龄均变小,反映了三峡工程( ) A.拦沙作用明显 B.防洪效果明显 C.抗旱效果明显 D.改善水质明显 7.图中雾区的成因是( ) 3.三峡工程对鄱阳湖湖口水龄影响最大的季节及原因是( ) A.暖湿气流遇暖流,水汽蒸发成雾 B.冷湿气流遇暖流,水汽蒸发成雾 A.春季三峡放水 B.夏季三峡泄洪 C.暖湿气流遇寒流,水汽凝结成雾 D.冷湿气流遇寒流,水汽凝结成雾 C.秋季三峡蓄水 D.冬季三峡发电 8.图示区域中的甲气候类型与北半球同类气候相比( ) 下图为欧洲甲、乙、丙三个城市地理位置和降水曲线变化图。据此完成下面小题。 A.年降水量较少、气温年较差较大 B.年降水量较多、气温年较差较小 C.年降水量较少、气温年较差较小 D.年降水量较多、气温年较差较大 下图示意某沿海地区甲洋流流经区域等温线T1和T2的分布状况。据此完成下面小题。 更多资料添加微信号:hiknow_007 淘宝搜索店铺:乐知课堂9.若甲洋流所处的纬度是30°,下列洋流中能与其构成完整洋流系统的是( ) ①本格拉寒流②千岛寒流③秘鲁寒流④西风漂流⑤南赤道暖流 ⑥东澳大利亚暖流⑦阿拉斯加暖流⑧巴西暖流⑨北太平洋暖流 A.甲→②→⑨→① B.⑧→①→⑤→甲 C.③→甲→⑦→② D.⑥→④→甲→⑤ 10.若甲洋流的性质属于暖流,则甲洋流的地理位置在( ) A.(10°W,61°N) B.(150°W,4°S) C.(157°E,28°S) D.(143°E,32°N) 图中实线表示黄土高原局部等高线(单位:m),虚线表示黄土底面(基岩表面)等高线(单位:m),据 此完成下面小题。 13.拉尼娜现象发生时( ) A.甲、乙海区温差增大,沃克环流增强,印尼降水增多,热带经济作物增产 B.甲、乙海区温差增大,沃克环流减弱,秘鲁沿海海域水温升高,渔业减产 C.甲、乙海区温差变小,沃克环流增强,太平洋东岸降水增多,洪涝灾害多 D.甲、乙海区温差变小,沃克环流减弱,对大西洋没影响 14.拉尼娜导致今冬我国中东部偏冷的原因是( ) A.东北信风增强,日本暖流减弱 B.东北信风减弱,日本暖流减弱 C.甲处低压增强,对冬季风吸引增强 D.甲处低压减弱,对冬季风吸引增强 下图为太平洋8月表层海水多年平均温度分布图(单位:℃)。读图,据此完成下面小题。 11.关于图中地理现象的描述正确的是( ) A.图示区域基岩表面中间高四周低 B.图中四地甲地的黄土厚度可能最大 C.图中乙地和丁地黄土层的厚度不可能相同 D.图示区域降暴雨后冲刷最严重的是丙地 12.某日在乙地能看到太阳从地平线上升起,下列叙述最有可能的是( ) A.波斯湾去往新加坡的油轮顺水行驶 B.南极附近海面上漂浮着很多冰山 C.该地日影越来越长,昼开始变短 D.地中海沿岸的游人正在沙滩上进行日光浴 2021年10月25日,国家气象中心确认,10月份已进入拉尼娜状态,导致2021年冬季我国中东部将偏冷。 沃克环流是指赤道附近太平洋东岸和西岸海温存在差异而形成的热力环流,其强弱变化是评判气候异变的重要 依据。如图示意沃克环流及典型拉尼娜年的海温距平分布,据此完成下面小题。 15.当厄尔尼诺现象发生时,甲海区海水等温线( ) A.数值增大,向北弯曲幅度加大 B.数值增大,向北弯曲幅度减小 更多资料添加微信号:hiknow_007 淘宝搜索店铺:乐知课堂C.数值减小,向南弯曲幅度加大 D.数值减小,向南弯曲幅度减小 16.西北太平洋沿岸的乙海区,等温线密集是因为( ) A.夏季太阳直射点北移 B.寒暖流在此海区交汇 C.海陆热力差异更显著 D.上升补偿流导致降温 二、非选择题:共3小题,共52分。 17.阅读材料,回答下列问题。 材料一:河套平原是我国最大的灌区,也是我国重要的商品粮生产基地,黄河水经农田灌溉后,汇入乌梁 素海。受自然和人为因素影响,河套灌区土壤次生盐碱化比较严重。 材料二:河套地区每年小麦在3月份种植,7月中下旬收获,而秋霜冻一般在9月28日-10月2日才来临。 向日葵为一年生草本植物,栽培简单、生长周期短,耐盐耐旱耐瘠薄。近年来,该地采用先育苗再麦后移植复 种向日葵技术,不仅降低了土壤盐碱化程度,而且提高了当地农民种粮积极性。 材料三:河套灌区图 (1)描述井灌区和黄灌区的分布特征,并分析原因。 (2)分析河套灌区土壤盐碱化的形成过程。 (3)分析当地采用春小麦——向日葵复种技术的原因。 (1)根据海陆热力性质差异,判断图一中虚线与实线分别表示的月份并说明理由。 (4)分析春小麦向日葵复种技术能够降低土壤盐碱的原因。 (2)根据图一,推测图二中甲、乙洋流分别出现在什么季节。 18.阅读图文材料,完成下列要求。 (3)请根据图二中所给的信息,分析方框内表层海水水龄较大的原因。 巴斯海峡位于澳大利亚大陆和塔斯马尼亚岛之间,其海水流动受风的影响具有明显的季节变化。下图一是 (4)图二方框内海洋水龄大,分析其对水质的影响。 澳大利亚1月、7月等压线分布图,图二是巴斯海峡洋流季节分布图。海水的水龄(海水在一处停滞的时间) 19.阅读图文材料,完成下列要求。 与海域水体的流动性密切相关,深层海水的水龄一般大于表层。研究表明,巴斯海峡东南部(图二中方框范 IPCC(政府间气候变化专门委员会)是评估与气候变化相关科学的国际机构。IPCC在2021年公布的一份报 围)海水水龄较大,对水质和海洋生物造成一定影响。根据图文资料,问答问题 更多资料添加微信号:hiknow_007 淘宝搜索店铺:乐知课堂告中警告说,人类的影响已经使全球气候系统变暖,气候变化已经影响到地球上的每个地区。如果不立即、迅速 和大规模地减少温室气体排放,将会使全球数十亿人面临直接风险。下图示意1981~2019年全球不同纬度年平 均气温变化速率分布。 (1)分析全球气候变暖背景下北极地区增温显著的原因。 (2)调查发现,部分年份赤道东太平洋及沿岸地区出现气温异常偏低现象。试说明缘由。 更多资料添加微信号:hiknow_007 淘宝搜索店铺:乐知课堂参考答案: 流,根据地理位置,可知,(10°W,61°N)是北大西洋暖流流经的位置。阿拉斯加暖流大致流经(140°W, 1.B 2.A 3.C 50°N-70°N)附近海域,BCD错误,故选A。 【解析】1.根据材料可知水龄指湖水从入湖流到出湖的时间,夏季长江流域降水较多,导致长江干流水位高, 11.B 12.B 鄱阳湖水不容易流出湖口,导致湖水从入湖流到出湖的时间的变长,水龄较大,B正确;鄱阳湖流域降水多、 【解析】11.读图,根据等值线数值可知,基岩表面西高东低,A错误;图中等高距是5米,甲地海拔为 长江干流流速快以及鄱阳湖面蒸发旺盛都不是导致鄱阳湖夏季水龄较大的主要原因,A、C、D错误。故选B。 830~835m,黄土底面高度为800~805m,黄土厚度为25~35m,乙地海拔为825~830m,黄土底面高度为 2.水龄变小,说明湖水从入湖流到出湖的时间的变短,三峡工程拦蓄河流中的泥沙,导致三峡工程下游河道 805~810m,黄土厚度为15~25m,丙地海拔为835~840m,黄土底面高度为810~815m,黄土厚度为20~30m, 的泥沙含量减小,水位降低,鄱阳湖水更容易汇入长江干流,水龄变短,故A正确;水龄变短并不能反映三峡 丁地海拔为820~825m,黄土底面高度为800~805m,黄土厚度为15~25m,因此,甲地的黄土厚度可能最大,B 工程的防洪效果、抗旱效果和改善水质的效果,故B、C、D错误。故选A。 正确;乙地与工地黄土厚度可能相同,C错误;丙地为山脊,是分水岭,等高线不是最密集的地方,暴雨冲刷 3.对表格中2003年之前和2003年之后的水龄数据可知,三峡水库蓄水后,秋季(9—11月)水龄的变化最明 不是最严重的,D错误。故选B。 显,水龄明显变短。故三峡工程对鄱阳湖湖口水龄影响最大的季节是秋季,其主要原因是三峡秋季蓄水,导致 12.某日在乙地看到太阳从地平线上升起,根据乙地的位置,太阳应是从东南方向升起(乙地东南方向地势开 三峡工程下游河流水位明显降低,鄱阳湖水体可以快速注入河流,导致水龄降低,故C正确;三峡工程蓄水后 阔,东北方向有地形阻挡,因此东南方向才有可能看到太阳从地平面升起),此时北半球是冬季。北印度洋盛 (2003年以后),鄱阳湖春、夏、冬三季节水龄的变化幅度均不如秋季明显,故A、B、D错误。故选C。 行东北季风,洋流呈逆时针方向流动,波斯湾去往新加坡的油轮逆风逆水行驶 ,A错误;此时南极地区是夏 4.B 5.C 6.C 季,气温较高,南极大陆冰川边缘融化跌落,附近海面上漂浮着很多冰山,B正确;无法判定太阳直射点的移 【解析】4.由左图可知,甲、乙、丙三个城市位于位于30°~40°的大陆西岸,属于地中海气候;由右图可知, 动方向,日影和昼长变化无法判断,C错误;地中海沿岸冬季多雨,游人在岸边沙滩上进行日光浴是在夏季, 是三个城市冬季受西风控制,温和多雨,夏季受副热带高压带控制,炎热干燥,B正确,ACD错误。故选B。 D错误。故选B。 5.冰岛位于北半球盛行西风带,风向是西南风,火山喷发的火山灰多飘向东北方向,C正确,ABD错误。故 13.A 14.C 选C。 【解析】13.由材料可知,拉尼娜是指赤道附近中东太平洋海面温度异常降低;结合沃克环流及典型拉尼娜年 6.图示①河流是多瑙河,主要流经温带海洋性气候区,冬季气温温和,河流不结冰,A错误;植被覆盖率较 的海温距平分布图可以看出,太平洋海面东部温度偏低,由于近地面冷热不均引起了大气的运动,赤道太平洋 高,河流含沙量较小,B错误;河流从东南流向西北,注入大西洋,C正确;流域内降水均匀,水位季节变化 地区东部气温低,空气垂直方向表现为下沉;同理太平洋海面西部空气垂直方向上上升;空气的垂直运动导致 较小,D错误。故选C。 了同一水平面产生气压差,使得同一水平面上气流由高压指向低压,即近洋面东侧流向西侧,高空反之,形成 7.C 8.A 了顺时针流动的大气环流。因此,拉尼娜现象发生时甲、乙海区温差增大,沃克环流增强,西部海平面增高并 【解析】7.由所学知识可知,世界上最强大的寒流—秘鲁寒流流经该区域,寒流导致海水温度低,造成海洋 且海水温度增高,上升气流增强,印尼降水增多,有利于热带经济作物增产,A正确,BCD错误。故选A。 表层气温也低,当遇到暖空气时,冷暖空气交汇,水汽容易凝结形成海雾。 C正确,ABD错误,故选C。 14.根据材料,当赤道附近中东太平洋海面温度异常降低,空气冷却下沉加强,导致气压升高,进而会使东南 8.由所学知识可知,云雨多的地方,气温日、年较差小于云雨少的地方。甲气候类型为温带海洋性气候,受 信风增强,将表面被太阳晒热的海水吹向太平洋西部,从而使西部海平面增高并且海水温度增高,受其影响, 秘鲁寒流降温减湿影响;与北半球同类气候区相比,甲地晴朗天数较多,年降水量较少,气温调节能力差,气 我国东部沿海气温是应该偏高,因此冬季东部沿海气压比往年低,造成我国冬季亚洲高压和东部沿海低压间的 温年较差较大。A正确,BCD错误,故选A。 气压差增加,所以受偏北风的影响更大,因为偏北风来自高纬度地区,因此我国东部也就更冷了,C正确,D 9.D 10.A 错误。当赤道附近中东太平洋海面温度异常降低,空气冷却下沉加强,导致气压升高,进而会使东北信风增强, 【解析】9.甲洋流所处的纬度是30°,那么说明甲处于副热带海区,北半球副热带海区洋流为顺时针,南半球 日本暖流增强,AB错误。故选C。 副热带海区洋流为逆时针,如果是北半球太平洋海区,甲处应为暖流,构成此环流圈的洋流应当是北赤道暖流, 15.B 16.B 日本暖流,北太平洋暖流,加利福尼亚寒流;如果是南半球太平洋海区,甲处应为秘鲁寒流,构成此环流圈的 【解析】15.由图可知,甲海区位于南美洲西海岸。当厄尔尼诺现象发生时,甲海域海水温度异常升高,甲处 洋流应当是东澳大利亚暖流,西风漂流,秘鲁寒流,南赤道暖流,即⑥→④→甲→⑤,D符合题意。故选D。 海水等温线数值会增大,排除C、D选项。甲处海水温度偏高时该地的离岸风东南信风较弱,导致流经该地的 10.若甲为暖流,则处于北半球,又因为甲处位于大陆西岸,所以最有可能是北大西洋暖流或者是阿拉斯加暖 更多资料添加微信号:hiknow_007 淘宝搜索店铺:乐知课堂自南向北流动的秘鲁寒流减弱,则海水等温线向北弯曲幅度减小,B正确,A错误。故选B。 【分析】本题以澳大利亚1月、7月等压线分布图为材料,涉及等压线判断、世界洋流分布示意图、自然地理 16.由图可知,乙海区位于日本北海道岛的东部,该地位于千岛寒流和日本暖流的交汇处,水温差异大,等温 环境整体性等相关内容,考查学生调动和运用相关知识点解决问题的能力。 线密集,B正确。该地等温线四季都较密集,与太阳直射点北移无关,A错误。日本沿岸地区海陆热力差异均 (1)由于海陆热力性质差异不同,此地为南半球,1月为夏季,陆地气温高,海洋气温低,陆地为低压中心; 显著,差异不大,C错误。乙海区为寒暖流交汇,不是上升补偿流为主,D错误。故选B。 7月为冬季,陆地气温低,海洋气温高,陆地为高压中心。故虚线为1月,实线为7月。 17.(1)黄灌区在南侧,面积大;井灌区在北侧,面积小;黄灌区靠近黄河,地势低,可以利用地势,由南向北 (2)此地为南半球,1月为夏季,陆地气温高,海洋气温低,7月为冬季,陆地气温低,海洋气温高,受海陆 灌溉;井灌区靠近山地,地势高,可利用地下水灌溉。 热力性质差异及地转偏向力影响,夏季吹东南风,洋流自东向西流,冬季吹西北风,洋流自西向东流,故甲为 (2)当地降水少;蒸发旺盛;不合理的灌溉导致地下水位上升,盐分在地表积累,导致土壤次生盐碱化。 夏季洋流,乙为冬季洋流。 (3)河套地区热量条件不足,不能满足春小麦和向日葵一年两季种植;充分利用气候和土地资源(或向日葵生长 (3)由于该地夏季吹东南风,方框东侧有岛屿阻挡,表层海水受离岸风影响,流动性差;从图中可以看到, 周期短,耐盐耐旱耐瘠薄);打破传统耕作模式,提高种植收益;保障粮食主产区的粮食产量,维护国家粮食 方框附近,冬季洋流受地转偏向力影响,向东北流动,对巴斯海峡东南部影响弱;东澳大利亚暖流进入本区后, 安全。 受西风带影响,向东流动且受岛屿阻挡。故方框内表层海水流动性差,水龄较大。 (4)麦收后向日葵的种植,需要灌溉,可以将表层盐碱带至深层,而降低表层盐碱化;向日葵的种植增加了地表 (4)由于方框内表层海水流动性差,水龄较大,不利于水体更新净化,水质变差。 覆盖,减弱了蒸发量;向日葵为耐盐碱作物,可吸收、利用较多的盐碱,具有一定的脱盐的作用。 19.(1)全球气候变暖,导致北极地区冰雪融化(或冰雪面积缩小);下垫面反射率降低,吸收太阳辐射增多;大 【分析】(1)分布特征:井灌区分布在河套平原北部,面积较小;黄灌区分布在河套平原中部和南部地区, 气湿度增大,保温作用增强。 面积较大。原因:河套平原南部和中部距离黄河近,可借助地势,引黄河水自流灌溉;北部地区,一方面地势 (2)(东南)信风异常增强,导致赤道东太平洋海域上升补偿流加强,上升补偿流带来的冷海水,使海表温度和沿 较高,不利于自流灌溉,另一方面因灌溉水盐度不断升高,不再利于灌溉,又位于阴山山麓,冲积扇地区地下 岸地区气温异常偏低。 水较丰富,因此通过抽取地下水进行井灌。 【分析】(1)结合所学可知,全球气候变暖,导致北极地区冰雪融化,北极地区冰雪面积缩小,下垫面对太 (2)河套平原灌溉区可借助地势,引黄河水自流灌溉,往往采用大水漫灌,从而造成地下水位抬升,盐分被 阳辐射的反射率降低,冰面反射的太阳辐射减少,吸收太阳辐射增多,北极地区升温。冰雪融化,大气中水汽 地下水带到土壤表面,又因当地降水少,气候干旱,蒸发强烈,水分不断被带走,而盐分物质则不断在土壤表 含量增加。大气湿度增大,大气逆辐射增加,保温作用增强。 面聚集,导致土壤盐碱化。 (2)结合所学可知,赤道东太平洋及沿岸地区受东南信风影响,部分年份东南信风异常增强,导致赤道东太 (3)据材料可知,春小麦—向日葵复种技术增加了一季作物种植,改变了原来由于热量条件不足只能种植一 平洋海域表层海水离岸水流增加,底层海水上升补偿加强,上升补偿流带来的冷海水,对沿岸地区起到降温减 季作物的耕作制度,提高了复种指数,提高了气候资源利用率,提升了土地生产率;材料表明降低土壤盐碱化 湿效果,使海表温度和沿岸地区气温异常偏低。 程度,有改良土壤的作用;两季作物提高了种植收益,增加了农民收入,提高了当地农民种粮积极性;进而保 障粮食主产区的粮食产量,维护国家粮食安全。 (4)小麦收割后,复种向日葵,增加了秋后土壤的荫蔽程度,降低了土壤蒸发,减弱土壤水盐运动,从而降 低了盐碱化程度;向日葵是一种耐盐、耐旱、耐贫瘠的草本植物,通过生物作用吸收、利用较多的盐碱,对盐 碱土地有改良作用,降低了盐碱化程度;麦收后种植向日葵,还需要灌溉,会将表层盐碱带至深层,从而降低 表层土壤盐碱化。 18.(1)虚线为1月,实线为7月;海陆热力性质差异不同。 (2)甲为夏季洋流,乙为冬季洋流,受海陆热力性质差异及地转偏向力影响,夏季吹东南风,冬季吹西北风。 (3)夏季吹东南风,受离岸风影响,冬季洋流受地转偏向力影响对巴斯海峡东南部影响弱,东澳大利亚暖流进入 西风带后东流且受岛屿阻挡。 (4)不利于水体更新净化。 更多资料添加微信号:hiknow_007 淘宝搜索店铺:乐知课堂更多资料添加微信号:hiknow_007 淘宝搜索店铺:乐知课堂