当前位置:首页>文档>新教材精创2.2城镇化同步练习(1)(原卷版)_E015高中全科试卷_地理试题_必修2_2.同步练习_同步练习(第二套)_新教材精创2.2城镇化同步练习(1)-人教版高中地理必修第二册

新教材精创2.2城镇化同步练习(1)(原卷版)_E015高中全科试卷_地理试题_必修2_2.同步练习_同步练习(第二套)_新教材精创2.2城镇化同步练习(1)-人教版高中地理必修第二册

  • 2026-04-08 13:33:28 2026-02-15 16:22:34

文档预览

新教材精创2.2城镇化同步练习(1)(原卷版)_E015高中全科试卷_地理试题_必修2_2.同步练习_同步练习(第二套)_新教材精创2.2城镇化同步练习(1)-人教版高中地理必修第二册
新教材精创2.2城镇化同步练习(1)(原卷版)_E015高中全科试卷_地理试题_必修2_2.同步练习_同步练习(第二套)_新教材精创2.2城镇化同步练习(1)-人教版高中地理必修第二册
新教材精创2.2城镇化同步练习(1)(原卷版)_E015高中全科试卷_地理试题_必修2_2.同步练习_同步练习(第二套)_新教材精创2.2城镇化同步练习(1)-人教版高中地理必修第二册
新教材精创2.2城镇化同步练习(1)(原卷版)_E015高中全科试卷_地理试题_必修2_2.同步练习_同步练习(第二套)_新教材精创2.2城镇化同步练习(1)-人教版高中地理必修第二册

文档信息

文档格式
docx
文档大小
0.285 MB
文档页数
4 页
上传时间
2026-02-15 16:22:34

文档内容

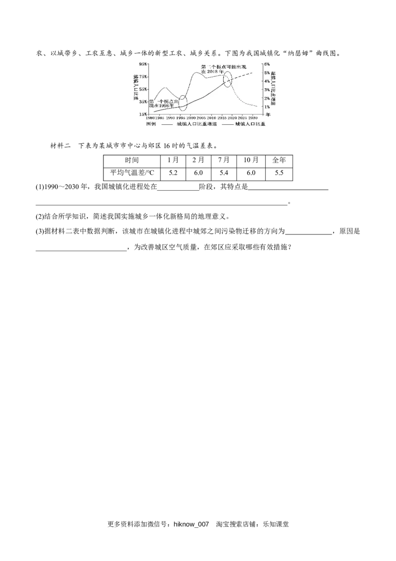
第二章 乡村和城镇 第二节 城镇化 人口城镇化分为“城化”和“镇化”两部分,人口“城化”是指人口向各类城市的城区集中的自然历 史过程,而人口“镇化”是指人口向小城镇的镇区集中的自然历史过程。为测定镇区人口集聚程度及其对 人口城镇化发展的贡献,将镇区总人口占城镇总人口的比例称为“城镇人口镇化水平”,将某一时期内某 区域的镇区人口增长量占城镇总人口增长量的比例称为“城镇人口镇化贡献率”。下图示意我国部分省级 行政区2000-2005年和2010-2015年两个时段的城镇人口镇化贡献率柱状分布。据此回答1~3题。 1.推测M省级行政区最可能是( ) A.辽宁 B.上海 C.湖南 D.安徽 2.2000-2005年,吉林省的( ) A.镇区人口呈现负增长B.城镇人口总数下降C.城区人口呈现正增长 D.镇区人口总数上升 3.图示时期,关于重庆与陕西城化贡献率叙述正确的是( ) A.重庆一直高于陕西 B.陕西一直高于重庆 C.2000-2005年重庆城化贡献率高于陕西D.2010-2015年重庆城化贡献率高于陕西 网约车是出租汽车的一种形式。据统计,一辆出租车或网约车占用城市道路资源相当于15~20辆私人 出行小汽车,一辆公共汽车占用城市道路面积65平方米,而运能相当的60辆小汽车占用1600平方米城市 道路。结合下表回答4~5题。 佛山市2014~2016年前3个季度通勤日晚高峰交通情况 2014年 2015年 2016年 拥堵指数 6.43 6.76 6.95 平均时速 24.93 km 22.95 km 21.73 km 4.结合题中材料分析,下列表述不正确的是( ) A.公共汽车比私人小汽车运能大,灵活性更好 B.网约车占用道路资源比私人小汽车大 C.近3年来佛山通勤日晚高峰交通拥堵日益严重 更多资料添加微信号:hiknow_007 淘宝搜索店铺:乐知课堂D.近3年来佛山通勤日晚高峰交通拥堵可能与网约车有关 5.为了更好地解决佛山的城市拥堵状况,下列做法不可行的是( ) A.公共汽车占用道路资源少,应优先发展公共交通B.鼓励私人小汽车以“拼车”方式出行 C.合理规划道路,建设立体交通枢纽 D.大力发展网约车,以便充分利用城市的道路资源 下图中箭头表示人口移动状况,读图,回答6~7题。 6.甲图表示的是( ) A.逆城市化 B.城镇化 C.郊区城市化 D.再城市化 7.乙图表示的是( ) A.逆城市化 B.城镇化C.郊区城市化 D.再城市化 读下图,完成8~9题。 8.上图中四条曲线分别代表发展中国家城镇化水平、发达国家城镇化水平、发展中国家城镇人口和发达国 家城镇人口,它们对应的曲线分别是( ) A.①②③④ B.④③②① C.②①③④ D.②④③① 9.从上图中能得到的结论是( ) A.发达国家城镇化速度在加快B.发展中国家城镇化速度始终高于发达国家 C. 2010年世界城镇人口比例不到一半D.2010年发展中国家城镇人口数量是发达国家的两倍多 交通拥堵指数又称交通运行指数,是综合反映道路网畅通或拥堵的概念性数值,其数值越高,表明交 通拥堵状况越严重。北京市交通拥堵成本一直高居首位。据此完成10~11题。 10.北京市交通拥堵成本一直高居首位,与其密切相关的有( ) ①平均通勤距离短 ②网约车大量出现 ③机动车保有量多 ④实行单双号限行政策 更多资料添加微信号:hiknow_007 淘宝搜索店铺:乐知课堂A.①③ B.①④ C.②③ D.②④ 11.2017年青岛、广州、深圳等城市下榜,这些城市为缓解交通拥堵而采取的措施中不包括( ) A.大力推广共享单车 B.开通或多建高铁 C.合理规划城市道路 D.加强城市交通疏导 下图所示为城镇化进程中产生的问题之一。读图,完成12~13题。 12.图中反映的问题是( ) A.城市内涝 B.城市热岛效应 C.城市风 D.城市空气污染 13.下列既可行又能减轻这一问题的措施是( ) A.扩大绿地面积 B.破墙透绿 C.完善排水系统 D.多建高楼 某地理课外活动小组制作专题地图,运用地理信息技术打开河流、城镇两个图层(下图),图层中十字星的 经纬度相同。读图,完成14~15题。 14.如果将两个图层叠加,所得地图为下图中的( ) 15.图层叠加后进行的专题研究可能是( ) A.计算城市水域面积 B.规划区域公路选线 C.了解城市地域结构变化 D.预测区域洪涝灾害发生频次 16.读材料,完成下列问题。 材料一 中国共产党第十八次全国代表大会上明确指出:加快完善城乡发展一体化机制,着力在城乡 规划、基础设施、公共服务等方面推进一体化,促进城乡要素平等交换和公共资源均衡配置,形成以工促 更多资料添加微信号:hiknow_007 淘宝搜索店铺:乐知课堂农、以城带乡、工农互惠、城乡一体的新型工农、城乡关系。下图为我国城镇化“纳瑟姆”曲线图。 材料二 下表为某城市市中心与郊区16时的气温差表。 时间 1月 2月 7月 10月 全年 平均气温差/℃ 5.2 6.0 5.4 6.0 5.5 (1)1990~2030年,我国城镇化进程处在____________阶段,其特点是 ________________________________________________________________________。 (2)结合所学知识,简述我国实施城乡一体化新格局的地理意义。 (3)据材料二表中数据判断,该城市在城镇化进程中城郊之间污染物迁移的方向为 ,原因是 __________________________,为改善城区空气质量,在郊区应采取哪些有效措施? 更多资料添加微信号:hiknow_007 淘宝搜索店铺:乐知课堂