当前位置:首页>文档>人教版(2019)高中地理必修第二册第一章《人口》检测题(含答案)_E015高中全科试卷_地理试题_必修2_1.单元测试_单元测试(第二套)

人教版(2019)高中地理必修第二册第一章《人口》检测题(含答案)_E015高中全科试卷_地理试题_必修2_1.单元测试_单元测试(第二套)

  • 2026-03-18 21:51:17 2026-02-15 12:56:36

文档预览

人教版(2019)高中地理必修第二册第一章《人口》检测题(含答案)_E015高中全科试卷_地理试题_必修2_1.单元测试_单元测试(第二套)
人教版(2019)高中地理必修第二册第一章《人口》检测题(含答案)_E015高中全科试卷_地理试题_必修2_1.单元测试_单元测试(第二套)
人教版(2019)高中地理必修第二册第一章《人口》检测题(含答案)_E015高中全科试卷_地理试题_必修2_1.单元测试_单元测试(第二套)
人教版(2019)高中地理必修第二册第一章《人口》检测题(含答案)_E015高中全科试卷_地理试题_必修2_1.单元测试_单元测试(第二套)
人教版(2019)高中地理必修第二册第一章《人口》检测题(含答案)_E015高中全科试卷_地理试题_必修2_1.单元测试_单元测试(第二套)
人教版(2019)高中地理必修第二册第一章《人口》检测题(含答案)_E015高中全科试卷_地理试题_必修2_1.单元测试_单元测试(第二套)
人教版(2019)高中地理必修第二册第一章《人口》检测题(含答案)_E015高中全科试卷_地理试题_必修2_1.单元测试_单元测试(第二套)
人教版(2019)高中地理必修第二册第一章《人口》检测题(含答案)_E015高中全科试卷_地理试题_必修2_1.单元测试_单元测试(第二套)
人教版(2019)高中地理必修第二册第一章《人口》检测题(含答案)_E015高中全科试卷_地理试题_必修2_1.单元测试_单元测试(第二套)

文档信息

文档格式
docx
文档大小
0.452 MB
文档页数
9 页
上传时间
2026-02-15 12:56:36

文档内容

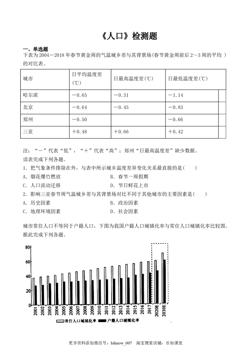
《人口》检测题 一、单选题 下表为2004-2018年春节黄金周的气温城乡差与其背景场(春节黄金周前后2~3周的平均 ) 的对比表。 日平均温度差 城市 日最高温度差(℃) 日最低温度差(℃) (℃) 哈尔滨 -0.65 -0.31 -1.14 北京 -0.64 -0.45 -0.83 郑州 -0.50 -0.66 三亚 +0.48 +0.66 +0.42 注:“-”代表“低”,“+”代表“高”;郑州“日最高温度差”缺少数据。 读表完成下列各题。 1.把气象条件排除在外,与表中所示城乡温度差异变化关系最直接的是( ) A.烟花爆竹燃放 B.春节一周假期 C.人口流动迁移 D.节日鲜花上市 2.影响三亚春节周气温城乡差与其背景场对比不同于其他城市的主要因素是( ) A.历史因素 B.政治因素 C.地理环境因素 D.社会因素 城市常住人口不等同于户籍人口,下图为我国户籍人口城镇化率与常住人口城镇化率比较图。 据此完成下列各题。 更多资料添加微信号:hiknow_007 淘宝搜索店铺:乐知课堂3.导致两类城镇化率差异的直接原因是 A.城市用地规模的不断扩大 B.进城务工人员的不断增多 C.城市商品房价格的不断上涨 D.城乡收入差距的不断缩小 4.缩小我国户籍人口城镇化率与常住人口城镇化率的差距,将有益于 A.抑制城市房价上涨 B.增加城市居民的就业机会 C.减轻政府的财政负担 D.提高更多人口的公共服务待遇 5.自2014年开始,两类城镇化率差异呈减小趋势,其原因可能是 A.回乡再就业等政策实施 B.城镇内就业机会减少 C.农村人均耕地增多 D.户籍管理趋严 人口迁移率是一定时期、一定地区人口迁入、迁出的绝对量与该时期、该地区的平 均人口总数之比,下图为2009年中国和美国人口迁移年龄分布图。 读图完成下面小题。 6.有关美国人口迁移的叙述,正确的是( ) A.影响美国人口迁移的主要因素是政治因素 B.美国老年人口的迁移方向主要是自东北向西向南 C.20岁中美两国人口迁移数量大致相同 D.除1—10岁外,中美两国人口迁移率大致相同 7.有关中国人口迁移的叙述,正确的是( ) A.与美国相比,中国老年人口迁移更活跃 B.20—30岁人口迁移的主要目的是就业 C.1—20岁人口迁移与城市发展无关 D.本地资源的开发导致人口平均迁移距离增加 常住人口是指一个行政区域内实际居住的人口,户籍人口是指具有该省行政户籍的 人口。下表是我国东南某省2000-2015年人口统计表。 据此完成下列各题。 2000年 2010年 2015年 常住人口/万人 4677 5443 5539 户籍人口/万人 4501 4748 4883 更多资料添加微信号:hiknow_007 淘宝搜索店铺:乐知课堂8.影响该省2000-2010年人口数量变化最主要的因素是 A.生育政策 B.养老保障制度 C.工业发展 D.气候条件 9.据表推测,2010-2015年间该省的人口 A.接近环境人口容量 B.死亡率大幅度上升 C.增长模式为传统型 D.净迁入人口为负值 10.根据人口变化可推知,该省目前 A.城市化问题较为突出 B.劳动力素质比较低 C.以劳动力密集型产业为主 D.已经进入逆城市化阶段 下图为2017年我国外出农民工地区分布及构成统计(单位:万人)。据此完成下列 各题 11.与中、西部地区比较,东部地区外出农民工总量较少,主要原因是东部地区 A.发展水平高 B.人口总量少 C.老龄化严重 D.人口容量大 12.中、西部地区同为外出农民工主要源地,但外出农民工的构成差异明显,主要影响因素 是 A.人口数量 B.经济发展水平 C.矿产资源 D.与东部距离 20世纪80年代以前,我国城市市民普遍为修车难、理发难、买菜难、婴幼儿和老人 照料难等一系列难题而发愁。80年代以来,随着大量流动人口进入城市,他们在城市从事和 经营饮食、服装、修理、房屋装修、蔬菜和水果的贩运及家政服务,极大地缓解了城市居民 的生活服务矛盾。 据此回答下面小题。 13.80年代我国大量民工流向城市,其主要原因是( ) A.城市收入高于农村 B.城市空气清新 C.交通便利D.国家政策 14.大量流动人口涌入城市,可能带来的后果是( ) ①缓解了城市的人地矛盾 ②给城市生态环境带来巨大压力 ③延缓了城市人口的老龄化速度 ④降低了城市人口的自然增长率 更多资料添加微信号:hiknow_007 淘宝搜索店铺:乐知课堂A.①③ B.②④ C.②③ D.①④ 360大数据中心基于9亿用户春运前夕至除夕的迁徙态势,发布了2019年春节“空 城指数”,全面展示了春运期间的国民迁徙路。广东的东莞、佛山、广州和深圳等四个城市 “空城指数”位列前五。而江西、湖南、河南等成为春节前流入人口最多的省份,江西堪称 最“拼”省份。 据此回答下列各题 15.广东省城市“空城指数”高的主要原因 ①环境优美 ②工资水平高 ③就业机会多 ④自然资源丰富 A.①② B.①③ C.②③ D.②④ 16.最“拼”省份江西省,因为“拼”而对江西省带来的影响最可能是 A.人地矛盾加剧 B.就业压力加重 C.人口老龄化严重 D.城市化水平降低 17.上海市减少的外来常住人口多流向周边中小城市,主要原因是这些中小城市( ) ①服务设施齐全 ②承接了上海市转移的产业 ③适宜就业机会多 ④生态环境好 A.①③ B.①④ C.②③ D.②④ 图示的西伯利亚地区是俄罗斯的一个重要开发区,这里针叶林广布……。读图完成下面小题。 18.该地区有许多大河,但航运价值不高,其主要原因是 ①河流结冰期较长 ②河流流向与主要货流方向不一致 ③河流沿岸人烟稀少、资源匮乏 ④内河航运量小,运费高 A.①② B.①③ C.②④ D.③④ 19.20世纪后期以来,该地区内部呈现人口由南向北的迁移趋势,这主要是由于北部 A.人口密度低 B.市场广阔 C.交通改善 D.新资源开发 “候鸟老人”是随季节变化而迁移居住地的老人。据统计,每年在海南省越冬的 更多资料添加微信号:hiknow_007 淘宝搜索店铺:乐知课堂“候鸟老人”已超百万人,主要来自东北三省、北京市和长三角地区。 读图,完成下面小题。 20.海南省吸引“候鸟老人”的首要因素是 A.经济因素 B.养老设施 C.婚姻家庭 D.气候条件 21.海南省的“候鸟老人”集中居住于海口、三亚两地,会促使当地 A.资源消耗降低 B.第三产业发展 C.环境承载力提高 D.人口合理容量增加 人口迁移受许多因素影响,有些来自迁出地,有些来自迁入地,还有些是来自中间 障碍因素。同时人口的迁移过度可能会给迁入地带来巨大的压力,产生一系列环境问题。读 “影响人口迁移的主要因素示意图”。 回答下列各题。 22.我国东南沿海地区吸引大量民工迁入而有很多科技工作人员迁往西部地区的主要原因分 别是( ) A.①② B.②③ C.③④ D.④⑥ 23.近些年来,叙利亚居民大量外迁的主要原因是( ) A.① B.② C.④ D.⑤ 更多资料添加微信号:hiknow_007 淘宝搜索店铺:乐知课堂24.导致美国老年人口从东北部向西部、南部迁移的主要原因是( ) A.① B.② C.④ D.⑥ 读东南亚略图,完成下面小题。 25.巴厘岛不具有的自然旅游风光是( ) A.热带雨林葱郁 B.温暖的海水和海浪 C.奇特的火山群 D.蜿蜒曲折的峡湾海岸 26.印度尼西亚鼓励A岛向B岛移民,其主要原因不正确的是( ) A.促进B岛经济开发与发展 B.缓解A岛的人口压力 C.实现本国区域经济平衡发展 D.提高B岛人口自然增长率 二、综合题 27.阅读图表资料,完成下列要求。 郴州地形以低山丘陵为主,农业生产条件优越;有色金属矿产分布广,以此为原料的传 统工矿业发达。据不完全统计,郴州外出务工人员集中分布在广东省。近年随着郴州经济的 发展,在政府引导下,部分外出务工人员返郴创业。 (1)结合郴州第一、二产业的特征,分析郴州城市化水平低的原因。 (2)从区位角度,分析部分外出务工人员返郴创业的原因。 28.阅读图文资料,完成下列要求。 义乌是浙江中部山区的一个县级市,20世纪70年代末在全国率先建立小商品市场,经过 40多年的发展,已建成全球最大的小商品集散中心、制造中心。“义新欧”国际班列、“义 更多资料添加微信号:hiknow_007 淘宝搜索店铺:乐知课堂甬舟”出海通道、“义乌购”电商平台等举措为义乌发展再添新动力。义乌外来人口占总人 口的37%,印度人是义乌外国人中最大的群体。义乌城市规模不断扩张,2018年义乌市政府 出台了“亩产论英雄”的工业评价体系,主要指标有亩产税收、研发经费占比、单位产值能 耗等,淘汰一批企业,引进一批企业。 (1)分析义乌建成全球最大小商品集散中心的优势条件。 (2)从自然条件分析图中宁波至加尔各答冬季运费不同于夏季的原因。 (3)说明义乌吸引大量印度人流人的主要原因。 (4)评价义乌T业实行“亩产论英雄”的影响。 29.阅读材料,回答下列问题。 材料一 春运被西方人称为“全球最大的时段性人口迁移”,2017年春运从1月13日— 2月21日,为期40天。 材料二 1949年以来我国国内人口迁移的主要流向图。 更多资料添加微信号:hiknow_007 淘宝搜索店铺:乐知课堂(1)说明现阶段我国人口大规模流动在主要流向和原因。 (2)结合材料,试分析目前我国人口大规模流动产生的影响。 参考答案 1.C 2.C 3.B 4.D 5.A 6.B 7.B 8.C 9.D 10.A 11.A 12.D 13.A 14.C 15.C 16.C 17.C 18.A 19.D 20.D 21.B 22.C 23.D 24.A 25.D 26.D 27.(1)郴州第一产业比重较高,地形以低山丘陵为主,家庭生产规模小,机械化水平低, 劳动生产效率低;农村剩余劳动力有限。郴州第二产业以传统工矿业为主,多属原料指向型, 且布局分散,提供的就业岗位有限。 (2)郴州经济逐步发展,发展机会增多;与广东(及其他发达地区)相比,郴州的生产生活 成本较低,劳动力资源丰富,能源、原料充足;郴州政策优惠,交通等基础设施改善;返乡 人员掌握了技术、市场信息,积累了资金,具有乡土情感。(从①郴州发展机会;②郴州创 业成本;③郴州创业环境;④返郴人员优势四个方面划分得分点;从广东省创业的劣势作答 亦可) 28.(1)国际市场广阔;商品来源广,商品生产规模大;交通便利、通信互联网等基础设施 完善;起步早,产业基础好(相关产业集聚);政策支持等。 (2)(冬季运费低于夏季)盛行偏北风,顺洋流,节约能源(节省运输时间);海上台风 (飓风、热带气旋、热带风暴)少,航行更加安全。 (3)印度人口多,小商品市场广阔,贸易额(最)大;较高的经济收入;较好的生活条件等。 (4)利:利于产业转型升级;利于企业创新,提升品质;利于增加税收,提高经济效益;缓 解城市建设用地紧张局面;利于改善生态环境质量。不利:普通劳动者就业机会减少等。 29.(1)流向:从经济欠发达地区流向经济发达地区。 原因:东部经济发达地区的收入水平优于西部经济欠发达地区;就业机会优于西部经济欠发 达地区;生活环境优于西部经济欠发达地区。 (2)对于流入区:有利:弥补劳动力不足,提高城市化水平。不利:造成交通拥挤。就业困 难等问题。对于流出区:有利缓解人地矛盾,获取大量资金,加强与外界联系。不利:同时 更多资料添加微信号:hiknow_007 淘宝搜索店铺:乐知课堂造成劳动力流失。 更多资料添加微信号:hiknow_007 淘宝搜索店铺:乐知课堂