当前位置:首页>文档>2013年高考数学试卷(文)(安徽)(空白卷)_历年高考真题合集_数学历年高考真题_新·Word版2008-2025·高考数学真题_数学(按省份分类)2008-2025_2012-2025·(安徽)数学高考真题

2013年高考数学试卷(文)(安徽)(空白卷)_历年高考真题合集_数学历年高考真题_新·Word版2008-2025·高考数学真题_数学(按省份分类)2008-2025_2012-2025·(安徽)数学高考真题

  • 2026-04-16 16:22:28 2026-01-26 06:14:12

文档预览

2013年高考数学试卷(文)(安徽)(空白卷)_历年高考真题合集_数学历年高考真题_新·Word版2008-2025·高考数学真题_数学(按省份分类)2008-2025_2012-2025·(安徽)数学高考真题
2013年高考数学试卷(文)(安徽)(空白卷)_历年高考真题合集_数学历年高考真题_新·Word版2008-2025·高考数学真题_数学(按省份分类)2008-2025_2012-2025·(安徽)数学高考真题
2013年高考数学试卷(文)(安徽)(空白卷)_历年高考真题合集_数学历年高考真题_新·Word版2008-2025·高考数学真题_数学(按省份分类)2008-2025_2012-2025·(安徽)数学高考真题
2013年高考数学试卷(文)(安徽)(空白卷)_历年高考真题合集_数学历年高考真题_新·Word版2008-2025·高考数学真题_数学(按省份分类)2008-2025_2012-2025·(安徽)数学高考真题
2013年高考数学试卷(文)(安徽)(空白卷)_历年高考真题合集_数学历年高考真题_新·Word版2008-2025·高考数学真题_数学(按省份分类)2008-2025_2012-2025·(安徽)数学高考真题
2013年高考数学试卷(文)(安徽)(空白卷)_历年高考真题合集_数学历年高考真题_新·Word版2008-2025·高考数学真题_数学(按省份分类)2008-2025_2012-2025·(安徽)数学高考真题
2013年高考数学试卷(文)(安徽)(空白卷)_历年高考真题合集_数学历年高考真题_新·Word版2008-2025·高考数学真题_数学(按省份分类)2008-2025_2012-2025·(安徽)数学高考真题
2013年高考数学试卷(文)(安徽)(空白卷)_历年高考真题合集_数学历年高考真题_新·Word版2008-2025·高考数学真题_数学(按省份分类)2008-2025_2012-2025·(安徽)数学高考真题
2013年高考数学试卷(文)(安徽)(空白卷)_历年高考真题合集_数学历年高考真题_新·Word版2008-2025·高考数学真题_数学(按省份分类)2008-2025_2012-2025·(安徽)数学高考真题
2013年高考数学试卷(文)(安徽)(空白卷)_历年高考真题合集_数学历年高考真题_新·Word版2008-2025·高考数学真题_数学(按省份分类)2008-2025_2012-2025·(安徽)数学高考真题
2013年高考数学试卷(文)(安徽)(空白卷)_历年高考真题合集_数学历年高考真题_新·Word版2008-2025·高考数学真题_数学(按省份分类)2008-2025_2012-2025·(安徽)数学高考真题

文档信息

文档格式
doc
文档大小
0.575 MB
文档页数
7 页
上传时间
2026-01-26 06:14:12

文档内容

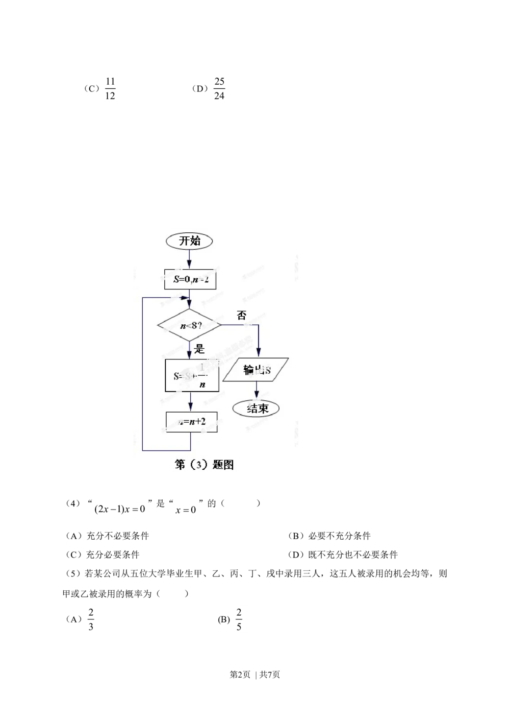
本试卷分第Ⅰ卷(选择题)和第Ⅱ卷(非选择题)两部分。第Ⅰ卷 1至2页,第Ⅱ卷3至4页。全 卷满分150分。考试用时120分钟。 考生注意事项: 1. 答题前,务必在试题卷、答题卡规定的地方填写自己的姓名、座位号,并认真核对答题卡上所 粘帖的条形码中姓名、座位号与本人姓名、座位号是否一致。务必在答题卡背面规定的地方填写 姓名和座位号后两位。 2. 答第Ⅰ卷时,每小题选出答案后,用2B铅笔把答题卡上对应题目的答案标号涂黑,如需改动, 用橡皮擦干净后,再选涂其他答案标号。 3. 答第Ⅱ卷时,必须用0.5毫米黑色墨水签字笔在答题卡上书写,要求字体工整、笔迹清晰。作图 题时可先用铅笔在答题卡规定的位置绘出,确认后用0.5毫米的黑色墨水签字笔描清楚。必须在题 号所指示的答题区域作答,超出答题区域书写的答案无效,在试题卷、草稿纸上答题无效。 4. 考试结束,务必将试题卷和答题卡一并上交。 第Ⅰ卷(选择题 共50分) 一、 选择题:本大题共10小题。每小题5分,共50分。在每个小题给出的四 个选项中,只有一项是符合题目要求的。 10 (1)设i是虚数单位,若复数a (aR)是纯虚数,则a的值为( ) 3i (A)-3 (B)-1 (C)1 (D)3 (2)已知 Ax|x10,B2,1,0,1,则 (C A)B  ( ) R (A)2,1 (B)2 (C)1,0,1 (D)0,1 (3)如图所示,程序据图(算法流程图)的输出结果为( ) 3 1 (A) (B) 4 6 第1页 | 共7页11 25 (C) (D) 12 24 (4)“ ”是“ ”的( ) (2x1)x0 x0 (A)充分不必要条件 (B)必要不充分条件 (C)充分必要条件 (D)既不充分也不必要条件 (5)若某公司从五位大学毕业生甲、乙、丙、丁、戌中录用三人,这五人被录用的机会均等,则 甲或乙被录用的概率为( ) 2 2 (A) (B) 3 5 第2页 | 共7页3 9 (C) (D) 5 10 (6)直线 被圆 截得的弦长为( ) x2y5 5 0 x2  y2 2x4y 0 (A)1 (B)2 (C)4 (D) 4 6 S (7)设 n为等差数列a 的前n项和 , S 4a ,a 2,则a =( ) n 8 3 7 9 (A)6 (B)4 (C)2 (D)2 (8) 函数 y  f(x) 的图像如图所示,在区间a,b上可找到 n(n2) 个不同的数 x ,x ,,x , 使 1 2 n f(x ) f(x ) f(x ) 得 ,则 的取值范围为( ) 1  2  n n x x x 1 2 n (A) 2,3 (B) 2,3,4 (C) 3,4 (D) 3,4,5 (9) 设 的内角 所对边的长分别为 ,若 ,则角 =( ABC A,B,C a,b,c bc2a,3sin A5sinB C )  2 (A) (B) 3 3 第3页 | 共7页3 5 (C) (D) 4 6 (10)已知函数 有两个极值点 ,若 ,则关于 的方 f(x) x3ax2 bxc x ,x f(x ) x  x x 1 2 1 1 2 程 的不同实根个数为( ) 3(f(x))2 2af(x)b0 (A)3 (B) 4 (C) 5 (D) 6 第Ⅱ卷(非选择题 共100分) 考生注意事项: 请用0.5毫米黑色墨水签字笔在答题卡上作答,在试题卷上答题无效。 二.填空题:本大题共5小题,每小题5分,共25分。把答案填在答题卡的相应位置。 1 (11) 函数y ln(1 ) 1x2 的定义域为_____________. x x y1 (12)若非负数变量x,y满足约束条件  ,则x y 的最大值为__________. x2y4    (13)若非零向量 a,b 满足 a 3b  a2b ,则 a,b 夹角的余弦值为_______. (14)定义在 上的函数 满足 .若当 时。 , 则当 R f(x) f(x1)2f(x) 0 x1 f(x) x(1x) 时, =________________. 1 x0 f(x) (15)如图,正方体 的棱长为1, 为 的中点, 为线段 上的动点, ABCDABC D P BC Q CC 1 1 1 1 1 过点 的平面截该正方体所得的截面记为 ,则下列命题正确的是 (写出所有正 A,P,Q S 确命题的编号)。 第4页 | 共7页1 ①当0CQ 时,S 为四边形 2 1 ②当CQ 时,S 为等腰梯形 2 3 1 ③当CQ 时,S 与C D 的交点R满足C R  4 1 1 1 3 3 ④当 CQ1时,S 为六边形 4 ⑤当 时, 的面积为 6 CQ1 S 2 三.解答题 (16)(本小题满分12分)  设函数 f(x)sinxsin(x ). 3 (Ⅰ)求 的最小值,并求使 取得最小值的 的集合; f(x) f(x) x (Ⅱ)不画图,说明函数 的图像可由 的图象经过怎样的变化得到. y  f(x) y sinx (17)(本小题满分12分) 为调查甲、乙两校高三年级学生某次联考数学成绩情况,用简单随机抽样,从这两校中各抽 取30名高三年级学生,以他们的数学成绩(百分制)作为样本,样本数据的茎叶图如下: 第5页 | 共7页(Ⅰ)若甲校高三年级每位学生被抽取的概率为0.05,求甲校高三年级学生总人数,并估计甲校高 三年级这次联考数学成绩的及格率(60分及60分以上为及格); (Ⅱ)设甲、乙两校高三年级学生这次联考数学平均成绩分别为 ,估计 的值. x ,x x x 1 2 1 2 (18)(本小题满分12分) 如 图 , 四 棱 锥 的 底 面 是 边 长 为 2 的 菱 形 , . 已 知 PABCD ABCD BAD60 . PB PD2,PA 6 (Ⅰ)证明:PC  BD (Ⅱ)若E为PA的中点,求三菱锥PBCE的体积. (19)(本小题满分13分) 设数列a 满足 a 2 , a a 8 ,且对任意 nN* ,函数 n 1 2 4  f(x)(a a a )xa cosx-a sinx 满足 f '( )0 n n1 n2 n1 n2 2 第6页 | 共7页(Ⅰ)求数列a 的通项公式; n 1 (Ⅱ)若b (2 a  ),求数列 b  的前n项和S . n n 2a n n n (20)(本小题满分13分) 设函数 f(x)ax(1a2)x2 ,其中 a0 ,区间 I x| f(x)0. (Ⅰ)求 的长度(注:区间 的长度定义为 ; I (,)  (Ⅱ)给定常数 k0,1,当 1k a1k 时,求 I 长度的最小值. (21)(本小题满分13分) 已知椭圆 x2 y2 的焦距为4,且过点 . C:  1(a b0) P( 2,3) a2 b2 (Ⅰ)求椭圆C的方程; (Ⅱ)设 为椭圆 上一点,过点 作 轴的垂线,垂足为 。取点 Q(x ,y )(x y 0) C Q x E 0 0 0 0 A(0,2 2) ,连接 AE ,过点 A 作 AE 的垂线交 x 轴于点 D 。点 G 是点 D 关于y轴的对称点,作直 线 ,问这样作出的直线 是否与椭圆C一定有唯一的公共点?并说明理由. QG QG 第7页 | 共7页