当前位置:首页>文档>第二套数学试卷参考答案_2024年5月_01按日期_10号_2024届辽宁省高考扣题(二)_2024届辽宁省高考扣题卷(二)数学试题

第二套数学试卷参考答案_2024年5月_01按日期_10号_2024届辽宁省高考扣题(二)_2024届辽宁省高考扣题卷(二)数学试题

  • 2026-05-06 10:30:07 2026-02-18 05:01:06

文档预览

第二套数学试卷参考答案_2024年5月_01按日期_10号_2024届辽宁省高考扣题(二)_2024届辽宁省高考扣题卷(二)数学试题
第二套数学试卷参考答案_2024年5月_01按日期_10号_2024届辽宁省高考扣题(二)_2024届辽宁省高考扣题卷(二)数学试题
第二套数学试卷参考答案_2024年5月_01按日期_10号_2024届辽宁省高考扣题(二)_2024届辽宁省高考扣题卷(二)数学试题
第二套数学试卷参考答案_2024年5月_01按日期_10号_2024届辽宁省高考扣题(二)_2024届辽宁省高考扣题卷(二)数学试题
第二套数学试卷参考答案_2024年5月_01按日期_10号_2024届辽宁省高考扣题(二)_2024届辽宁省高考扣题卷(二)数学试题
第二套数学试卷参考答案_2024年5月_01按日期_10号_2024届辽宁省高考扣题(二)_2024届辽宁省高考扣题卷(二)数学试题
第二套数学试卷参考答案_2024年5月_01按日期_10号_2024届辽宁省高考扣题(二)_2024届辽宁省高考扣题卷(二)数学试题
第二套数学试卷参考答案_2024年5月_01按日期_10号_2024届辽宁省高考扣题(二)_2024届辽宁省高考扣题卷(二)数学试题
第二套数学试卷参考答案_2024年5月_01按日期_10号_2024届辽宁省高考扣题(二)_2024届辽宁省高考扣题卷(二)数学试题
第二套数学试卷参考答案_2024年5月_01按日期_10号_2024届辽宁省高考扣题(二)_2024届辽宁省高考扣题卷(二)数学试题

文档信息

文档格式
pdf
文档大小
0.770 MB
文档页数
10 页
上传时间
2026-02-18 05:01:06

文档内容

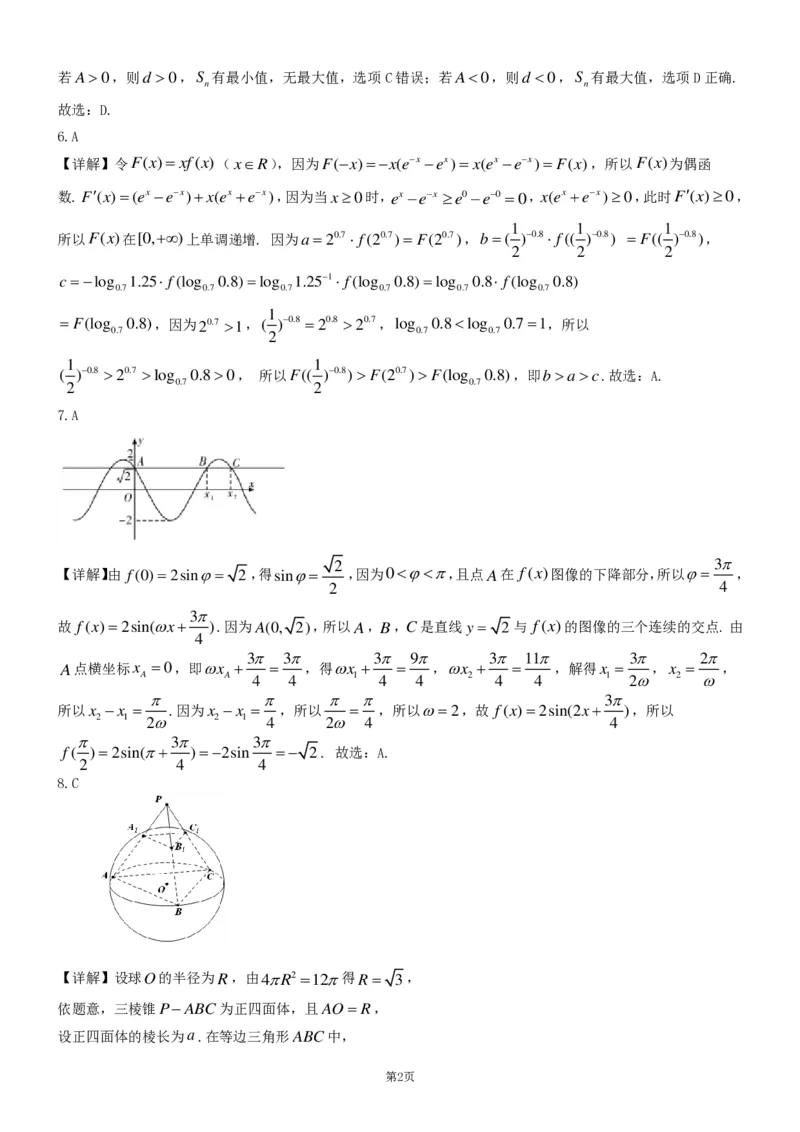
2024 年辽宁高考扣题卷(二) 数学参考答案 一、单选题: 1.B 2.D 3.B 4.C 5.D 6.A 7.A 8.C 二、多项选择题: 9.ABD 10.BCD 11.BC 三、填空题: 71 12.m3 13. 14.7560 125 1.B 【解析】当0ab时,对数无意义;反之,由lnalnb,得ab0,则ab成立. 故“ab”是 “lnalnb”的必要不充分条件. 故选:B 2.D y2 x2 【详解】因为双曲线C的焦点为(0,2),所以0,且双曲线C方程 − =1满足(−)+(−)=22,故 − − =−2,则C的方程为y2 −x2 =2.故选:D. 3.B 【详解】|z−i|=1的几何意义是复数z对应的点Z 到点A(0,1)的距离为1,即点Z 在以点A(0,1)为圆心,1为 半径的圆上,|z− 3| 的几何意义是点Z 到点B( 3,0)的距离.故|z− 3| =| AB|−1=2−1=1. 故选:B. min 4.C uuur uuur uuur 【详解】设AP= xAB+ yAD(x,yR),则:当0x+y1时,点P在点A和直线BD之间,故选项A错 误;当x+y=1时,点P在直线BD上,故选项B错误;当1x+y2时,点P在点C和直线BD之间,又 2 3 选项C中x = ,y = ,此时点P在BCD的内部,故选项C正确;当x+y=2时,点P在过点C且与直线 3 4 BD平行的直线上,故选项D错误.故选:C. 5.D 1 1 1 【详解】因为等差数列a 的前n项和S =na + n(n−1)d = dn2 +(a − d)n(d 为公差),所以nN*, n n 1 2 2 1 2 1 1 1 1 点(n,S )在函数y = dx2 +(a − d)x的图像上,故在 f(x)中,A= d,B=a − d,C =0.所以C0 =00 n 2 1 2 2 1 2 无意义,选项A错误;若A=0,则d =0,S =na ,当a 0时,不存在n N*,使S 最大,选项B错误; n 1 1 0 n 第1页 {#{QQABRYSEggggQIBAARhCQQ0yCAKQkBEACKoOAAAEMAAASBFABCA=}#}若A0,则d 0,S 有最小值,无最大值,选项C错误;若A0,则d 0,S 有最大值,选项D正确. n n 故选:D. 6.A 【详解】令F(x)=xf(x)(xR),因为F(−x)=−x(e−x −ex)= x(ex −e−x)=F(x),所以F(x)为偶函 数.F(x)=(ex −e−x)+x(ex +e−x),因为当x0时,ex −e−x e0−e−0 =0,x(ex +e−x)0,此时F(x)0, 1 1 1 所以F(x)在[0,+)上单调递增. 因为a=20.7 f(20.7)= F(20.7),b=( )−0.8 f(( )−0.8) = F(( )−0.8), 2 2 2 c=−log 1.25 f(log 0.8)=log 1.25−1 f(log 0.8)=log 0.8 f(log 0.8) 0.7 0.7 0.7 0.7 0.7 0.7 1 = F(log 0.8),因为20.7 1,( )−0.8 =20.8 20.7,log 0.8log 0.7=1,所以 0.7 2 0.7 0.7 1 1 ( )−0.8 20.7 log 0.80, 所以F(( )−0.8)F(20.7)F(log 0.8),即bac.故选:A. 2 0.7 2 0.7 7.A 2 3 【详解】由 f(0)=2sin= 2 ,得sin= ,因为0,且点A在 f(x)图像的下降部分,所以= , 2 4 3 故 f(x)=2sin(x+ ).因为A(0, 2),所以A,B,C是直线y = 2 与 f(x)的图像的三个连续的交点. 由 4 3 3 3 9 3 11 3 2 A点横坐标x =0,即x + = ,得x + = ,x + = ,解得x = ,x = , A A 4 4 1 4 4 2 4 4 1 2 2      3 所以x −x = .因为x −x = ,所以 = ,所以=2,故 f(x)=2sin(2x+ ),所以 2 1 2 2 1 4 2 4 4  3 3 f( )=2sin(+ )=−2sin =− 2. 故选:A. 2 4 4 8.C 【详解】设球O的半径为R,由4R2 =12得R= 3, 依题意,三棱锥P−ABC为正四面体,且AO= R, 设正四面体的棱长为a.在等边三角形ABC中, 第2页 {#{QQABRYSEggggQIBAARhCQQ0yCAKQkBEACKoOAAAEMAAASBFABCA=}#}a a =2R =2 3 由正弦定理可得  ,即 3 ,解得a=3. sin 3 2 因为PO⊥平面ABC, 所以PO⊥ AO,所以PO= PA2−AO2 = a2−R2 = 32 −( 3)2 = 6 . POAO 6 3 作OH ⊥PA,垂足为H,在RtPAO中,由OHPA=POAO,得OH = = = 2 , PA 3 所以在RtAHO中,AH = AO2 −OH2 = ( 3)2−( 2)2 =1. 因为OA=OA = R,OH ⊥PA,所以H为线段AA 的中点,所以AA =2AH =2,所以PA =1. 1 1 1 1 依题意,多面体ABC −ABC为正三棱台, 1 1 1 V PA 1 1 所以 P−A 1 B 1 C 1 =( 1)3 = ,即V = V ,所以正三棱台ABC −ABC的体积为 V PA 27 P−A 1 B 1 C 1 27 P−ABC 1 1 1 P−ABC 26 13 2 V −V = V = .故选:C. P−ABC P−A 1 B 1 C 1 27 P−ABC 6 二、多项选择题:本大题共3小题,每小题6分,共18分.在每小题给出的四个选项中,有多项符合题目要求. 全部选对的得6分,部分选对的得部分分,有选错的得0分. 9.ABD 【详解】2023年第一季度全市居民人均消费支出为2084+453+1435+356+791+583+528+163=6393(元),故A正 确; 易知居住及食品烟酒两项的人均消费支出总和为2084+1435=3519(元),占总人均消费支出的 3519 100%55.0%50%,故B正确: 6393 7924 4388 依题意可得2022年第一季度城乡居民人均消费支出的差额为 − 3519(元),2023年第一季度城 1.044 1.078 乡居民人均消费支出的差额为7924-4388=3536(元),由于3519<3536,故C错误; 528+791 医疗保健与教育文化娱乐两项人均消费支出总和占总人均消费支出的 100%20.6%,故D正确. 6393 故选ABD. 10.BCD p x=my+1 【详解】依题意,− =−1, p=2,焦点F(1,0),设直线l方程为x=my+1,由 得 2  y2 =4x y2 −4my−4=0,所以y + y =4m,y y =−4,所以x x =1,故A错误; 1 2 1 2 1 2 1 3 由|MF|=3,得x +1=3,所以x =2,又x x =1,得x = ,所以|NF |= x +1= ,故B正确; 1 1 1 2 2 2 2 2 |MF||NF|=(x +1)(x +1)= x +x +x x +1= x +x +2 2 x x +2=4,当且仅当x = x =1时等号成 1 2 1 2 1 2 1 2 1 2 1 2 立,所以|MF||NF|的最小值为4,故C正确; 第3页 {#{QQABRYSEggggQIBAARhCQQ0yCAKQkBEACKoOAAAEMAAASBFABCA=}#}uuuur uuur y + y y −y y + y y −y 因为QM =(x +1,y − 1 2)=(x +1, 1 2),QN =(x +1,y − 1 2)=(x +1, 2 1),所以 1 1 2 1 2 2 2 2 2 2 uuuur uuur y −y y −y 1 QM QN =(x +1)(x +1)+ 1 2  2 1 =(my +2)(my +2)− (y2 + y2 −2y y ) 1 2 2 2 1 2 4 1 2 1 2 1 1 =m2y y +2m(y + y )+ 4 − (y2 + y 2 −2y y )=[m2y y +2m(y + y )+4]− [(y + y )2 −4y y ] 1 2 1 2 4 1 2 1 2 1 2 1 2 4 1 2 1 2 uuuur uuur 1 =m2(−4)+2m(4m)+4− [(4m)2 −4(−4)]=0,所以QM ⊥QN 即MQN =90o,故D正确.故选BCD. 4 11.BC 【详解】在 f(1+2x)=4− f(1−2x)中,令1+2x=t,则有 f(t)+ f(2−t)=4,即 f(x)+ f(2−x)=4,所 1 以 f(x)的图像关于点(1,2)对称,将 f(x)图像上各点的横坐标变为原来的 倍,可得 f(2x)的图像关于点 2 1 ( ,2)对称,且无法确定 f(2x)的图像关于点(1,2)对称,故选项A错误;由 f(x)+ f(2−x)=4,得 2 [g(x)−2x]+[g(2−x)−2(2−x)]=4,即g(x)+g(2−x)=8,所以g(x)的图像关于点(1,4)对称,又因为g(x) 的图像关于直线x=2对称,所以g(x)的一个周期为4,且g(1)=4,故选项B,C正确;若 f(2)=1且 f(x)的 图像关于点(1,2)对称,则 f(0)=3,所以g(0)= f(0)=3,所以g(2024)=g(0)=3,所以 f(2024)=g(2024)−22024=−4045,故选项D错误.故选BC. 三、填空题:本大题共3小题,每小题5分,共15分. 12.m3 【详解】因为AI B= A,所以A B,则m3.故答案为:m3. 71 13. 125 π 10 2 2 10 2 5 【解析】由cos(+ )= ,得 cos− sin= 即cos−sin= ,两边平方得 4 5 2 2 5 5 20 1 1−2sincos= ,得sin2= ,所以sin6=sin(4+2)=sin4cos2+cos4sin2 25 5 =2sin2cos22+(1−2sin22)sin2=2sin2(1−sin22)+sin2−2sin32=3sin2−4sin32 71 71 = .故答案为: . 125 125 14.7560 1 1 1 1 【详解】因为(abc+abd +acd +bcd)10 =a10b10c10d10( + + + )10 a b c d 第4页 {#{QQABRYSEggggQIBAARhCQQ0yCAKQkBEACKoOAAAEMAAASBFABCA=}#}1 1 1 1 1 1 1 1 1 1 1 1 =a10b10c10d10( + + + )( + + + )L ( + + + ) a b c d a b c d a b c d 1 4 4 4 4 4 4 4 442 4 4 4 4 4 4 4 4 43 共10项 1 1 1 1 所以a8b5c9d8项为a10b10c10d10C2 ( )2C5( )5C1( )1C2( )2,其系数为C2C5C1C2 =7560.故答案为:7560. 10 a 8 b 3 c 2 d 10 8 3 2 四、解答题:本大题共5小题,共77分.解答应写出文字说明,证明过程或演算步骤. 15.(本小题满分13分) 1 解:(Ⅰ)因为 f(x)=2ax−a− , x 所以 f(1)=a−1, f(1)=0, 所以曲线 f(x)在x=1处的切线方程为y−0=(a−1)(x−1),即y=(a−1)x+(1−a),………3分 m=a−1 所以 ,得a=−1,m=−2, …………………………5分 2=1−a (Ⅱ)令F(x)= f(x)+ax−a, 依题意,F(x)=ax2 −a−lnx0对x1恒成立, 1 2ax2 −1 因为F(x)=2ax− = ,x1 x x 1°当a0时,F(x)0,此时F(x)在[1,+)上单调递减, 所以x1时,F(x)F(1)=0,不符题意,舍去. …………………………7分 1 1 2a(x+ )(x− ) 2a 2a 2°当a0时,F(x)= ,x1 x 1 1 1 ①当 1,即0a 时,由F(x)0,得1x , 2a 2 2a 1 所以F(x)在[1, )上单调递减, 2a 1 故x(1, )时,F(x)F(1)=0,不符题意,舍去. …………………………10分 2a 1 1 ②当0 1,即a 时,F(x)0, 2a 2 所以F(x)在[1,+)上单调递增, 1 所以x1时,F(x)F(1)=0,符合题意,所以a . …………………………12分 2 1 综上,a . …………………………13分 2 16.(本小题满分15分) 解:(Ⅰ)依题意补全列联表如下: 跳绳个数不少于170个 跳绳个数不足170个 合计 第5页 {#{QQABRYSEggggQIBAARhCQQ0yCAKQkBEACKoOAAAEMAAASBFABCA=}#}每周跳绳的累计时间不少于2小时 40 10 50 每周跳绳的累计时间不足2小时 15 35 50 合计 55 45 100 ……………………………2分 100(4035−1510)2 因为2 = 25.25310.828, ……………………………5分 55455050 所以有99.9%的把握认为“2022级学生的测试成绩与学生每周跳绳的累计时间有关”. ……………………………6分 (Ⅱ)对评定为“良好”和“优秀”按分层抽样抽取11人,其中被评定为“良好”的有9人,被评定为“优秀” 的有2人,则X 的可能值为0,1,2. ……………………………8分 C3 C2C1 24 C1C2 3 P(X =0)= 9 =,P(X =1)= 9 2 = ,P(X =2)= 9 2 = , …………………………11分 C3 C3 55 C3 55 11 11 11 所以X 的分布列为: X 0 1 2 P 28 24 3 55 55 55 …………………………13分 28 24 3 6 X 的数学期望E(X)=0 +1 +2 = . …………………………15分 55 55 55 11 17.(本小题满分15分) 解:(Ⅰ)依题意,AO⊥平面ABC,OB⊥AC,且AO=OB= 3, 1 1 uuur uuur uuur 以O为原点,OB,OC,OA 的方向分别为x轴,y轴,z轴的正方向,建立如图所示的空间直角坐标系, 1 …………………………1分 则O(0,0,0),A(0,−1,0),B( 3,0,0),C(0,1,0),A(0,0, 3),C (0,2, 3), 1 1 第6页 {#{QQABRYSEggggQIBAARhCQQ0yCAKQkBEACKoOAAAEMAAASBFABCA=}#}uuuur uuuur 则AC =(0,3, 3),BC =(− 3,2, 3), …………………………2分 1 1 因为AB //AB,AB 平面ABC ,AB平面ABC , 1 1 1 1 1 1 所以AB //平面ABC , 1 1 1 所以点P到平面ABC 的距离等于点A到平面ABC 的距离, …………………………3分 1 1 1 r 设n=(x,y,z)为平面ABC 的一个法向量, 1 r uuuur  nAC =0   3y+ 3z =0 由r uuuur1 ,得 ,  nBC =0 − 3x+2y+ 3z =0 1  1 x= z   3 r uuur 所以 ,取z =3,得n=(1,− 3,3),且AA =(0,1, 3), …………………………5分 3 1  y =− z  3 uuur r | AA n| 2 3 2 39 所以点A到平面ABC 的距离d = r1 = = , 1 1 |n| 13 13 2 39 故点P到平面ABC 的距离为 . …………………………7分 1 13 uuur uuuur (Ⅱ)设AP=AB ,[0,1], 1 1 1 uuur uuur uuur uuur uuur 则AP= AA +AP= AA +AB=(0,1, 3)+( 3,1,0)=( 3,1+, 3), …………………………8分 1 1 1 uuur 因为AP⊥平面,所以AP为平面的一个法向量, 设直线BC 与平面所成角为,则 1 uuuur uuur uuuur uuur |BC AP| |− 3 3+2(1+)+ 3 3| 5− sin=|cos BC ,AP|= uuuur1 uuur = = , 1 |BC || AP| 10 ( 3)2 +(1+)2 +3 2 5 22 ++2 1 …………………………11分 令t =5−,则=5−t,t[4,5], t t 1 1 sin= = = = 则 2 5 2(5−t)2 +(5−t)+2 2 5 2t2 −21t+57 21 57 1 7 5 , 2 5 2− + 2 5 57( − )2 + t t2 t 38 76 …………………………13分 1 1 1 1 7 5 2 5 1 7 5 2 10 5 因为t[4,5],所以 [ , ],所以57( − )2 + [ , ],2 5 57( − )2 + [ , ], t 5 4 t 38 76 25 16 t 38 76 5 2 2 10 所以sin[ , ], 5 4 2 10 故直线BC 与平面所成角的正弦值的取值范围是[ , ]. …………………………15分 1 5 4 第7页 {#{QQABRYSEggggQIBAARhCQQ0yCAKQkBEACKoOAAAEMAAASBFABCA=}#}18.(本小题满分17分) 解:(Ⅰ)设P(x,y),A(x ,0),B(0,y ), 0 0  2 x = x uuur 2 uuur 3 uuur 2 3 2 3   3 0 由OP= OA+ OB= (x ,0)+ (0,y )=( x , y ),得 , 3 3 3 0 3 0 3 0 3 0  3 y = y  3 0  3 x = x 所以 0 2 , …………………………3分  y = 3y  0 因为正方形ABCD的面积为| AB|2=9,即x2+ y2 =9, 0 0 3 x2 y2 所以( x)2 +( 3y)2 =9,整理可得 + =1, 2 4 3 x2 y2 因此C的轨迹方程为 + =1. …………………………6分 4 3 (Ⅱ)依题意,直线l存在斜率,设l:y−1=k(x−4),即y=kx+1−4k, 设点Q(x ,y ),M(x ,y ),N(x ,y )(x  x  x ), 0 0 1 1 2 2 1 0 2 y=kx+1−4k 由 ,消y得3x2 +4(kx+1−4k)2 =12, 3x2 +4y2 =12 即(3+4k2)x2 +8k(1−4k)x+4(1−4k)2 −12=0, 8k(1−4k) 4(1−4k)2 −12 可得x +x =− ,x x = , …………………………9分 1 2 3+4k2 1 2 3+4k2 uuuur uuuur uuuur uuur uuuur uuur |QM | |EM | 由|EM ||QN|=|QM ||EN|,得 uuur = uuur , |QN| |EN| x −x 4−x 所以 0 1 = 1 , x −x 4−x 2 0 2  8k(1−4k) 4(1−4k)2 −12 4 − −2 4(x +x )−2x x   3+4k2     3+4k2   2+4k 可得x = 1 2 1 2 = = ,………………………14分 0 8−(x +x )  8k(1−4k) 3+k 1 2 8− −   3+4k2   3−9k 所以y =kx +1−4k = , 0 0 3+k 6+12k 3−9k 因为3x + y = + =3, …………………………16分 0 0 3+k 3+k 所以点Q在定直线上,定直线方程为3x+y−3=0. …………………………17分 19.(本小题满分17分) 第8页 {#{QQABRYSEggggQIBAARhCQQ0yCAKQkBEACKoOAAAEMAAASBFABCA=}#}2 1 在直角坐标平面内,将函数 f(x)=2− 及g(x)= 在第一象限内的图像分别记作C ,C ,点 x+1 3x 1 2 P(a , f(a ))(nN*)在C 上.过P 作平行于x轴的直线,与C 交于点Q ,再过点Q 作平行于y轴的直线, n n n 1 n 2 n n 与C 交于点P . 1 n+1 1 (Ⅰ)若a = ,请直接写出a ,a 的值; 1 3 2 3  1 a − 1  n 2  (Ⅱ)若0a  ,求证: 是等比数列; 1 2 1 a +   n 3 1 4 (Ⅲ)若a = ,求证: a −a + a −a ++ a −a  . 1 3 2 1 3 2 n+1 n 3 2 5 解:(Ⅰ)a = ,a = . …………………………2分 2 3 3 12 (Ⅱ)依题意,由P(a , f(a ))可得Q (a , f(a )) n n n n n+1 n 1 2 因为Q 在C 上,所以 f(a )= ,且 f(a )= 2− , n 2 n 3a n a +1 n+1 n 2 1 1 1 所以2− = ,整理可得a = + , …………………………5分 a +1 3a n+1 6 6a n n+1 n 1 1 −2(a − ) 3(a + ) 1 n 2 1 n 3 所以a − = ①,且a + = ②, n+1 2 6a n+1 3 6a n n 1 1 a − a − n+1 2 2 n 2 由①②得 =−  , …………………………8分 1 3 1 a + a + n+1 3 n 3 1 a − 1 1 2 又由0a  ,得 0, …………………………9分 1 2 1 a + 1 3 1 1 a − a − 1 n 2 1 2 2 1 2 (Ⅲ)若a = ,由(Ⅱ)得 = (− )n−1 =− (− )n−1, 1 3 1 1 3 4 3 a + a + n 3 1 3 1 a − 2n−1 2 1 2 1 因为 =− (− )2n−2 0,所以0a  , 1 4 3 2n−1 2 a + 2n−1 3 1 a − 2n 2 1 2 1 因为 =− (− )2n−1 0,所以a  a 0, …………………………11分 1 4 3 2n 2 2n−1 a + 2n 3 第9页 {#{QQABRYSEggggQIBAARhCQQ0yCAKQkBEACKoOAAAEMAAASBFABCA=}#}1 1 1 1 7a +1 a = + = + = 2n−1 又因为 2n+1 6 6a 6 1 1 6(a +1), 2n 6( + ) 2n−1 6 6a 2n−1 1 −2(a − )(3a +1) 所以 7a +1 2n−1 2 2n−1 a −a = 2n−1 −a = 0 2n+1 2n−1 6(a +1) 2n−1 6(a +1) 2n−1 2n−1 1 1 所以a  a a a ,从而a a = , …………………………14分 2n 2 2n−1 2n−3 1 n 1 3 |a −a | |a −a | 1 1 1 1 |a −a | = n+1 n = n+1 n 所以|a −a |=|( + )−( + )|= n+1 n 1 1 a +1 n+2 n+1 6 6a 6 6a 6a a 6a ( + ) n n+1 n n n+1 n 6 6a n |a −a | 3  n+1 n = |a −a | a +1 4 n+1 n 1 3 3 3 1 3 从而|a −a | |a −a |( )2 |a −a |( )n−1|a −a |= ( )n−1 n+1 n 4 n n−1 4 n−1 n−2 4 2 1 3 4 1 3 3 3 所以|a −a |+|a −a |+|a −a |++|a −a | [1+ +( )2++( )n−1] 2 1 3 2 4 3 n+1 n 3 4 4 4 3 1−( )n 1 4 3 4 4 =  = [1−( )n] …………………………17分 3 3 3 4 3 1− 4 第10页 {#{QQABRYSEggggQIBAARhCQQ0yCAKQkBEACKoOAAAEMAAASBFABCA=}#}