文档内容
运城市 $%$& ’$%$( 学年第一学期期末调研测试
高二化学试题
$%$()"
本试题满分"%% 分!考试时间*( 分钟" 答案一律写在答题卡上"
注意事项!
"+答题前!考生务必先将自己的姓名#准考证号填写在答题卡上!认真核对条形码上的姓
名#准考证号!并将条形码粘贴在答题卡的指定位置上"
$+答题时使用%+( 毫米的黑色中性$签字%笔或碳素笔书写!字体工整#笔迹清楚"
,+请按照题号在各题的答题区域$黑色线框%内作答!超出答题区域书写的答案无效"
&+保持卡面清洁!不折叠!不破损"
可能用到的相对原子质量#-$"!.$"$!/$"0!12$$,!.3$,()(!.4$0&!56$"%#
一"选择题#本题共!" 小题$每小题# 分$共$" 分% 在每小题列出的四个选项中$只有一项是
符合题目要求的&
")齐国的工艺官书%考工记&中载有’涑帛(的方法)即利用’灰(!草木灰"和’蜃(!贝壳高温
分解形成的灰"混合加水所得液体来洗涤丝帛* 下列说法错误的是
5)草木灰与铵态氮肥不可混合施用!!7)’蜃(的主要成分属于电解质
.)’灰(和’蜃(的水溶液都显碱性!! 8)’灰(和’蜃(混合加水发生化合反应
$)生产生活中处处有化学)下列有关说法正确的是
5)天然硬水呈碱性的原因是其中含有较多的96$:+.2$:等离子
7)./+/ 与人体血液中的血红蛋白!-;"建立平衡#./:-;/ !"-;./:/)当 ./中毒
$ $ $
时)应将中毒患者转移至高压氧仓吸氧
.)明矾中的铝离子可在水中形成胶体)用于水体净化与消毒
8)铁表面镀锌可以增强其抗腐蚀性)镀层局部破损后不再具有防护作用
,)下列方程式书写正确的是
5)硫化氢的水溶液显酸性#-"!".2./!=" :$’!2>"
& , , &
.)泡沫灭火器工作原理#$53,::,./$’:,-/?$53!/-" #:,./$
, $ , $
8)铅酸蓄电池充电时阴极的反应#@;/ :$’:&-::$A’?@; :$-/
$ & & $
高二化学试题!第!!!!"页!共# 页"
{#{QQABIYAEggCAAgAAABgCQQ1wCEKQkAACAQgGQAAQMAIAyAFABAA=}#}
书书书&)关于下列实验装置的说法正确的是
5)甲装置可制备氢氧化铁胶体
7)乙装置可用来测定稀盐酸和12/-溶液中和反应的反应热
.)丙装置测定一定时间内生成- 的反应速率
$
8)丁装置可用于粗铜的精炼
()室温下)下列各组离子在指定溶液中能大量共存的是
5)某透明的溶液中#9B/’+12:+1/’+$’
& , &
7)使酚酞变红的溶液中#12:+C:+DA,:+./$’
,
!
.) E ?%)" FG3,H’"的溶液中#1-:+12:+< /$’+96$:
"!/-’" & $ ,
8)53.3溶液中#1-:+C:+$’+<$’
, & &
0)下列说法不能用勒夏特列原理解释的是
5)对于./!6" :1/!6"!"./!6" :1/!6")增大压强!减小容器的容积"可使气体颜色变深
$ $
7)工业生产硫酸时)通入过量氧气提高二氧化硫的转化率
.)向C.I/ 溶液中滴加12/-溶液后溶液由橙色逐渐变为黄色
$ $ *
8)12!"" :C.3!3"!"$12.3!3" :C!6")工业上将钾蒸气从反应混合体系中分离出来)以
制备金属钾
*)下列溶液中各微粒的浓度关系错误的是
5)%)" FG3,H’" DA.3溶液#"!.3’" J,"!DA,:"
,
7)室温下)K-?* 的1-.3+1-,-/混合溶液#"!.3’" ?"!1-:"
& , $ &
.).-.//12与.-.//-的混合液溶液可能存在#
, ,
"!.-.//’" J"!12:" J"!/-’" J"!-:"
,
8)%)" FG3,H’" 12./ 溶液与%)" FG3,H’" -.3溶液等体积混合后)所得溶液中#
$ $ &
"!12:" ?"!.3’" :"!./$’" :"!-./’" :"!-./"
$ & $ & $ $ &
#)# 为阿伏加德罗常数的值* 下列说法正确的是
5
5)常温下)" HK-?"$ 的72!/-" 溶液中水电离出的-:数目为"%’"$#
$ 5
7)将%)%( FG356.3投入"H水中)所得溶液中有%)%(# 个56:
5
.)%)" FG3- 和%)" FG3L于密闭容器中充分反应后)容器中分子总数小于%)$#
$ $ 5
8)电解精炼铜时)阳极质量减少0&6)则电路中通过的电子数目为$#
5
高二化学试题!第!!!!$页!共# 页"
{#{QQABIYAEggCAAgAAABgCQQ1wCEKQkAACAQgGQAAQMAIAyAFABAA=}#}M)铋基催化剂对./ 电化学还原制取 -.//-具有高效选择性* 其反应历程与能量变化如
$
图所示)其中吸附在催化剂表面的物种用’%(标注*
下列说法正确的是
5)使用7N催化剂更有利于./ 的吸附
$
7)./ 电化学还原制取-.//-的反应!$J%
$
.)使用不同铋基催化剂)最大能垒!活化能"不相等)但反应热相等
8)%./’生成%-.//’的反应为%./’:-./’&&&%./$’:%-.//’
$ $ , ,
"%)在@O.3$.4.3作催化剂和适宜的温度条件下)/ 可将-.3氧化为.3)反应的热化学方程
$ $
式为&-.3!6" :/!6"!"$.3!6" :$-/!6"!!$?’""()0PQ,FG3’")下列说法正确的是
$ $ $
5)反应物所含化学键的键能之和大于生成物所含化学键的键能之和
7)加入@O.3$.4.3作催化剂)能增大反应速率和化学平衡常数
%!/"
.)增大起始时 $ 的值)可提高-.3的平衡转化率
%!-.3"
8)升高温度)该反应的速率一定加快
"")下列实验过程可以达到实验目的的是
实验目的 实验过程
说明 12./ 溶液中存 向含有酚酞的 12./ 中加入少量 72.3固体)溶液红色
$ , $ , $
5
在水解平衡 变浅
比 较 .-.//- 和 用K-试纸分别测等物质的量浓度的.-.//12和12.3/
, ,
7
-.3/的!大小 溶液的K-
2
向盛有$ FH%)" FG3,H’"561/ 溶液的试管中滴加$ 滴
比较!的大小# ,
=K
. %)" FG3,H’" 12.3溶液)充分反应后)再向其中滴加& 滴
!!56.3" J!!56L"
=K =K
%)" FG3,H’" CL溶液
将装有1/ 和 1/ 混合气体的两个烧瓶分别浸入冷水
$ $ &
探究温度对化学反应
8 和热水中)浸泡在热水中的气体颜色变深)在冷水中的气
速率的影响
体颜色变浅
高二化学试题!第!!!!,页!共# 页"
{#{QQABIYAEggCAAgAAABgCQQ1wCEKQkAACAQgGQAAQMAIAyAFABAA=}#}"$)某密闭容器中充入" FG3./和$ FG3- 发生反应#./!6" :$-!6"!".-/-!6" !$R%)
$ $ ,
平衡时测得混合气体中 .-/-的物质的量分数 !!.-/-"与温度!&"+压强!’"之间的
, ,
关系如图所示* 下列说法正确的是
5)2点和;点对应的温度&J&
" $
7)2点./的物质的量分数为&%S
.)恒温恒容时)混合气体的密度不随时间变化而变化说明反
应达到化学平衡状态
8)若达平衡后)再充入" FG3./和$ FG3-)./的转化率可能增大
$
",)科学家利用垃圾渗透液研发出新型环保电池)其利用微生物在碱性环境下实现发电+环保
一体化装置如图* 当该装置工作时)下列说法错误的是
5)该电池不宜在高温条件下使用
7)T极电势高于U极电势
.)T极电极反应式为
$1/’:"%A’:"$-:&&&1$:0-/
, $ $
8)电路中通过 ,)*( FG3电子时)产生 1 的体积为
$
$$)& H!标准状况"
"&)$(V)取浓度均为%)" FG3,H’"的W/-溶液和-U溶液各$% FH)分别用%)" FG3,H’"的
盐酸+%)" FG3,H’"的12/-溶液进行滴定* 滴定过程中溶液的 K-随滴加溶液的体积变
化关系如图所示* 下列说法正确的是
5)-U为弱酸)W/-为强碱
7)曲线" X?"% FH时溶液中#"!12:" ?"!U’" :"!-U"
.)滴定前)W/-溶液中#"!W/-" J"!/-’" J"!W:" J"!-:"
8)滴定至 X?&% FH的过程中)两种溶液中由水电离出的
"!-:","!/-’"始终保持不变
"()常温下)YB<和@;<的沉淀溶解关系如图所示)其中 ! !YB<" ?")0 Z"%’$&+! !@;<" ?
=K =K
,)$ Z"%’$#)K9表示’36"!9$:")9为YB或@;* 下列说法正确的是
5)曲线#代表的是YB<
7)若(?"&)则)?")0 Z"%’"%
.)7点为@;<的不饱和溶液
"!YB$:"
8)在YB<和@;<同时沉淀的浊液中) ?( Z"%,
"!@;$:"
高二化学试题!第!!!!&页!共# 页"
{#{QQABIYAEggCAAgAAABgCQQ1wCEKQkAACAQgGQAAQMAIAyAFABAA=}#}二"非选择题#本题共& 小题$共(( 分&
"0)!"( 分"我们把电解饱和食盐水的工业生产叫做氯碱工业)氯碱工业是最基本的化学工业
之一)它的产品广泛应用于制肥皂+制含氯漂白剂+工业生产盐酸+金属冶炼等领域*
!""我国的氯碱工业主要采用隔膜法和离子交换膜法两种生产工艺)用离子交换膜法工艺
制得的产品浓度大+纯度高)而且能耗低)它是最先进的生产工艺* 离子交换膜法电解
饱和食盐水的原理如图所示#
#电解饱和食盐水的总反应的离子方程式是!!
!!!!!!!!!!!!!!!!!!!*
$该装置中的离子交换膜是!!!!!!!!!
!填’阳离子交换膜(或’阴离子交换膜("*
!$"已知室温下)-./+-.3/的电离平衡常数如下表#
$ ,
-./ -.3/
$ ,
!2 &)( Z"%’* &)% Z"%’#
"
!2 &)* Z"%’"" [
$
#室温下)将少量./ 通入12.3/溶液中)发生反应的化学方程式为\\\\\\\\\\\\\*
$
$室温下)某12./ 溶液的K-?",)则由水电离出的"!/-’" ?\\\\\\\-用 12./
$ , $ ,
溶液清洗油污时)加热可以增强去污效果)原因是\\\\\\\\\\\\\\\\!用离子方程式和
文字说明"*
!,"某化学兴趣小组用%)"%%% FG3,H’" 12/-标准溶液滴定食用白醋)测定白醋中醋酸
的含量!6["%%FH"*
#滴定达到终点时的标志是\\\\\\\\\\\\\\\\\\\\\\\\\\\\*
$下列操作中可能使所测食用白醋的浓度数值偏高的是\\\\\\\\\\\!填字母"*
2)盛放白醋溶液的锥形瓶用蒸馏水洗净后没有干燥
;)碱式滴定管未用%)"%%% FG3,H’" 12/-标准溶液润洗)直接注入溶液
])碱式滴定管在滴定前尖嘴处没有气泡)滴定后有气泡
%平行滴定, 次)平均消耗%)"%%% FG3,H’" 12/-标准溶液的体积"()%% FH)则该白
醋中醋酸的含量是\\\\\\6["%%FH
高二化学试题!第!!!!(页!共# 页"
{#{QQABIYAEggCAAgAAABgCQQ1wCEKQkAACAQgGQAAQMAIAyAFABAA=}#}"*)!"$ 分"某班同学用如下实验探究DA$:+DA,:的性质* 回答下列问题#
!""甲组同学取$ F3%)" FG3,H’" DA 溶液)加入%)( F3煤油)再于液面下依次加入几
&
滴氯水和" 滴C<.1溶液)溶液变红)说明.3可将DA$:氧化* 煤油的作用是 *
$
!$"乙组同学取"% F3%)" FG3,H’" CL溶液)加入0 F3%)%( FG3,H’" DA!" 溶液混
$ & ,
合)充分反应后)分别取$F3此溶液于, 支试管中进行如下实验#
#第一支试管中加入" F3..3充分振荡+静置)..3层显紫色-
& &
$第二支试管中加入" 滴C.DA!.1" /溶液)生成蓝色沉淀-
, 0
%第三支试管中加入" 滴C<.1溶液)溶液变红*
实验#和%说明#在L’过量的情况下)溶液中仍含有 !填离子符号")由此可以
证明该氧化还原反应为可逆反应)其离子方程式为 *
!,"丙组同学利用DA 溶液+DA!" 溶液+561/ 溶液)采用下图装置进行实验#利
& $ & , ,
用反应56::DA$:!"56:DA,:)说明离子
的氧化能力与离子浓度有关*
#一段时间后)观察到的现象为#56电极上
有银白色固体析出)检流计指针向右偏转)
一段时间后指针归零)说明此时反应达到平衡状态* 根据实验现象可知#2为
溶液!填化学式")盐桥中的阴离子进入 电极溶液中!填’银(或’石
墨(")石墨电极的电极反应式为 * 因此说明氧化性#56: DA,:
!填’ J(或者’ R()下同"*
$再向右侧烧杯中滴加较浓的 溶液)观察到的现象为#56电极上的银白色固体
减少)检流计指针向左偏转)一段时间后指针归零)说明此时反应达到平衡状态* 因此
说明氧化性#56: DA,:*
"#)!"& 分"草酸钴用途广泛)可用于指示剂和催化剂的制备)一种利用含钴废料!主要成分为
.G/)含少量DA/+53/+.2/+96/+碳及有机物等"制取.G./ 的工艺流程如下#
$ , $ , $ , $ &
高二化学试题!第!!!!0页!共# 页"
{#{QQABIYAEggCAAgAAABgCQQ1wCEKQkAACAQgGQAAQMAIAyAFABAA=}#}已知##经过’净化除杂"(步骤后)滤液中钴元素以.G$:形式存在*
$部分阳离子以氢氧化物形式沉淀时溶液的K-见下表#
离子 DA,: DA$: .G$: 53,: 96$: .2$:
开始沉淀时的K- $)* *)% *)0 &)% M)0 $
完全沉淀时的K- ,)* M)0 M)$ ()$ "")" "$
!""’((%V焙烧(的作用是 *
!$"’碱浸(后)用稀硫酸将’浸出液(调为中性)生成沉淀* 写出生成沉淀的离子方程式#
*
!,"’钴浸出(过程中加入的12 能还原的金属离子有 *
$ ,
!&"’净化除杂"(过程中)先加入 -/ 溶液)其作用是 !用离子方
$ $
程式表示"-再加入.G/)调节溶液的K-)应控制溶液K-范围为 *
!("’净化除杂$(过程中)可将.2$:+96$:转化为.2D+96D沉淀* 当加入过量的12D溶
$ $
液后)若所得滤液中"!.2$:" ?()% Z"%’0 FG3,H’")则滤液中 "!96$:"为 *
.已知#!!96D" ?*),( Z"%’""+!!.2D" ?")%( Z"%’"%/
=K $ =K $
!0"该工艺中用到的主要分离操作是 *
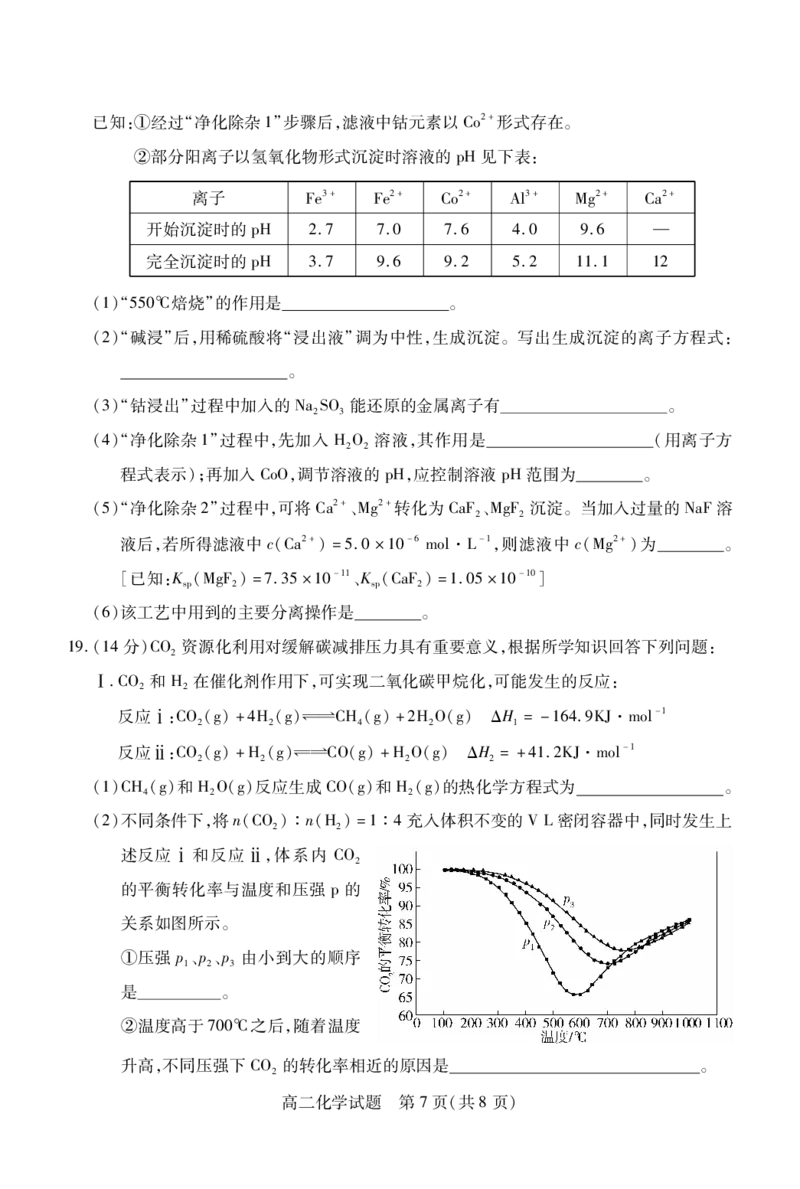
"M)!"& 分"./ 资源化利用对缓解碳减排压力具有重要意义)根据所学知识回答下列问题#
$
&)./ 和- 在催化剂作用下)可实现二氧化碳甲烷化)可能发生的反应#
$ $
反应’#./!6" :&-!6"!".-!6" :$-/!6"!!$ ?’"0&)MCQ,FG3’"
$ $ & $ "
反应(#./!6" :-!6"!"./!6" :-/!6"!!$ ?:&")$CQ,FG3’"
$ $ $ $
!"".-!6"和-/!6"反应生成./!6"和-!6"的热化学方程式为 !*
& $ $
!$"不同条件下)将%!./"0%!-" ?"0& 充入体积不变的XH密闭容器中)同时发生上
$ $
述反应’和反应()体系内 ./
$
的平衡转化率与温度和压强 K 的
关系如图所示*
#压强 ’+’+’由小到大的顺序
" $ ,
是 *
$温度高于*%%V之后)随着温度
升高)不同压强下./ 的转化率相近的原因是 *
$
高二化学试题!第!!!!*页!共# 页"
{#{QQABIYAEggCAAgAAABgCQQ1wCEKQkAACAQgGQAAQMAIAyAFABAA=}#}%当温度为,%%V时)下列叙述能判断上述反应体系达到化学平衡状态的是 *
5)消耗./ 的速率与消耗.- 的速率相等
$ &
7)混合气体的密度不再发生变化
.)容器内气体的压强不再发生变化
")./ 和- 在催化剂作用下可制备甲醇)其反应的化学方程式为
$ $
./!6" :,-!6"!".-/-!6" :-/!6"*
$ $ , $
!,"某恒温条件下)将" FG3./ 和, FG3- 充入体积不变的$ H密闭容器中)发生上述反
$ $
应)测得不同时刻反应前后的压强关系如下表所示#
时间[^ " $ , & ( 0
’
后 %)M% %)#( %)#, %)#" %)#% %)#%
’
前
#用./ 表示的前$^的平均反应速率*!./" ? *
$ $
$该温度下)- 的平衡转化率为 *
$
!&"在,%%V+# 9@2下)将./ 和- 按物质的量之比"0, 通入一恒压密闭容器中发生上
$ $
述反应)达到平衡时)测得 ./ 的平衡转化率为 (%S)则该反应条件下的平衡常数
$
!K? !9@2"’$!结果用分数表示)用平衡分压代替平衡浓度计算)分压 ?总
压Z物质的量分数"*
高二化学试题!第!!!!#页!共# 页"
{#{QQABIYAEggCAAgAAABgCQQ1wCEKQkAACAQgGQAAQMAIAyAFABAA=}#}