当前位置:首页>文档>数学(答案及评分标准)_2024-2026高三(6-6月题库)_2025年07月试卷_2025年高三数学秋季开学摸底考_2025年高三数学秋季开学摸底考(浙江专用)

数学(答案及评分标准)_2024-2026高三(6-6月题库)_2025年07月试卷_2025年高三数学秋季开学摸底考_2025年高三数学秋季开学摸底考(浙江专用)

  • 2026-04-09 11:47:22 2026-02-19 15:17:10

文档预览

数学(答案及评分标准)_2024-2026高三(6-6月题库)_2025年07月试卷_2025年高三数学秋季开学摸底考_2025年高三数学秋季开学摸底考(浙江专用)
数学(答案及评分标准)_2024-2026高三(6-6月题库)_2025年07月试卷_2025年高三数学秋季开学摸底考_2025年高三数学秋季开学摸底考(浙江专用)
数学(答案及评分标准)_2024-2026高三(6-6月题库)_2025年07月试卷_2025年高三数学秋季开学摸底考_2025年高三数学秋季开学摸底考(浙江专用)
数学(答案及评分标准)_2024-2026高三(6-6月题库)_2025年07月试卷_2025年高三数学秋季开学摸底考_2025年高三数学秋季开学摸底考(浙江专用)
数学(答案及评分标准)_2024-2026高三(6-6月题库)_2025年07月试卷_2025年高三数学秋季开学摸底考_2025年高三数学秋季开学摸底考(浙江专用)
数学(答案及评分标准)_2024-2026高三(6-6月题库)_2025年07月试卷_2025年高三数学秋季开学摸底考_2025年高三数学秋季开学摸底考(浙江专用)

文档信息

文档格式
docx
文档大小
0.514 MB
文档页数
6 页
上传时间
2026-02-19 15:17:10

文档内容

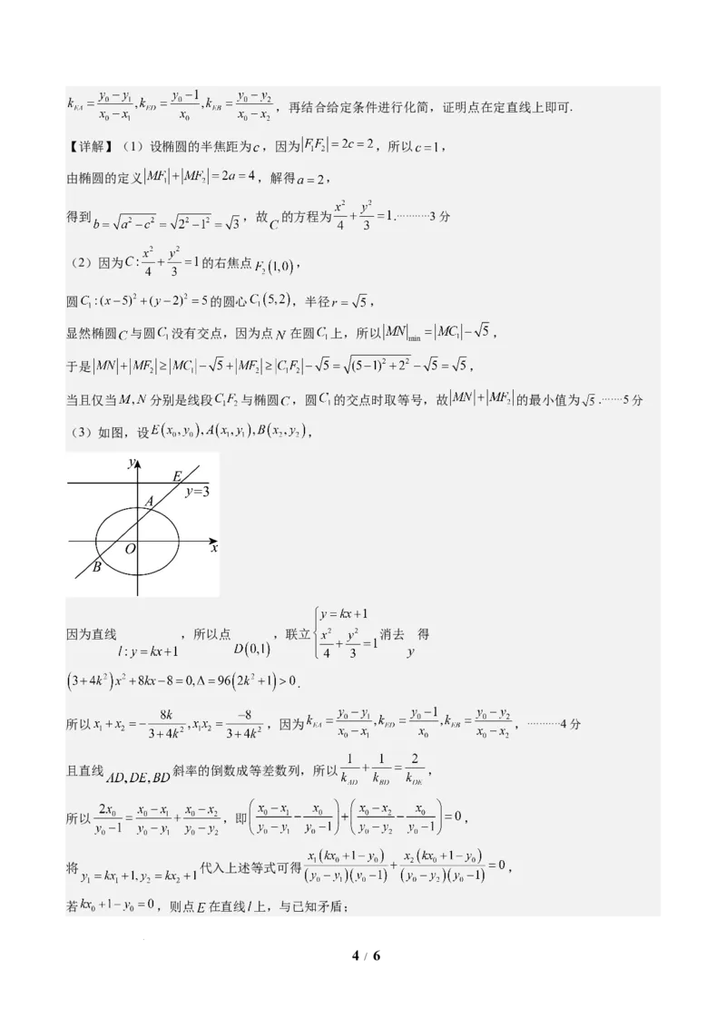
2025 年秋季高三开学摸底考试模拟卷 数学·答案及评分参考 一、选择题:本题共8小题,每小题5分,共40分。在每小题给出的四个选项中,只有一项是符合题目要 求的. 1 2 3 4 5 6 7 8 B A D A B A A C 二、选择题:本题共3小题,每小题6分,共18分.在每小题给出的选项中,有多项符合题目要求.全部 选对的得6分,部分选对的得部分分,有选错的得0分. 9 10 11 AD ACD BCD 三、填空题:本题共3小题,每小题5分,共15分. 12.【答案】 ; 13.【答案】 ; 14.【答案】 四、解答题:本题共5小题,共77分。解答应写出文字说明、证明过程或演算步骤. 15.【详解】解:(1)易得: 购买华为 购买其他 总计 年轻用户 12 28 40 非年轻用户 24 36 60 总计 36 64 100 表格填对:···········4分 由列表可得 ············3分 故没有 的把握认为购买手机时选择华为与年龄有关系. ···········1分 (2)利用分层抽样抽取6个购买华为手机的用户,易知其中有2个年轻用户,4个非年轻用户,不妨用 , 表示两个年轻用户,用 , , , 表示非年轻用户, 现从中任选两人,则共有 , , , , , , , , , , , , , , ,15种可能, 其中满足要求的有6种,由古典概型可知 .···········5分 1 / 6 学科网(北京)股份有限公司16.(15分)【答案】(1) ;(2) 【分析】(1)由 , 的关系即可求解, (2)通过求导确定通项公式,再由错位相减法、等比数列求和公式即可求解; 【详解】(1)当 时, ,整理得 ,当 时,有 . 数列 是以 为公比,以 为首项的等比数列, 所以 .···········4分 (2)当 时, ,所以 ,···········3分 所以 ,···········2分 令 ,其前 项和为 , ∴ ① ∴ ②···········3分 得: .···········2分 ∴ .令 ,其前 项和易知为: ,···········1分 所以 17.(15分)【答案】(1)证明见解析;(2) ;(3) . 【分析】(1)证明 与 垂直,则得线面垂直,然后可得面面垂直; (2)以 为 轴建立空间直角坐标系,用向量法求异面直线所成的角; (3)设 ,这样求得平面 和平面 的法向量,用向量法求二面角,从而求得 ,可得 的长. 【详解】(1)证明:∵ , , 为 的中点,∴四边形 为平行四边形,∴ ∵ ,∴ ,即 ∵平面 平面 ,平面 平面 , 平面 , ∴ 平面 ,∵ 平面 ,∴平面 平面 ···········5分 (2)∵ , 为 的中点,∴ ∵平面 平面 ,且平面 平面 , 平面 , ∴ 平面 ,如图,以 为原点建立空间直角坐标系, 2 / 6 学科网(北京)股份有限公司则 , , , , ∵ 是 的中点,∴ , , 设异面直线 与 所成角为 , , ∴异面直线 与 所成角的余弦值为 .···········5分 (3)解:由(2)知平面 的法向量为 , 设 ,且 ,从而有 , 又 ,设平面 法向量为 , 由 及 , ,可取 .···········3分 ∵二面角 为 ,∴ ,∴ ,∴ .···········2分 18.(17分)【答案】(1) ;(2) ;(3)证明见解析, 【分析】(1)利用椭圆的定义和焦距的性质求出基本量,得到椭圆方程即可. (2)利用圆的性质得到 ,再结合三角形两边之和大于第三边的性质进行放缩求解最值 即可. (3)联立方程组结合韦达定理得到 ,进而表示出 3 / 6 学科网(北京)股份有限公司,再结合给定条件进行化简,证明点在定直线上即可. 【详解】(1)设椭圆的半焦距为 ,因为 ,所以 , 由椭圆的定义 ,解得 , 得到 ,故 的方程为 .···········3分 (2)因为 的右焦点 , 圆 的圆心 ,半径 , 显然椭圆 与圆 没有交点,因为点 在圆 上,所以 , 于是 , 当且仅当 分别是线段 与椭圆 ,圆 的交点时取等号,故 的最小值为 .·······5分 (3)如图,设 , 因为直线 ,所以点 ,联立 消去 得 . 所以 ,因为 ,···········4分 且直线 斜率的倒数成等差数列,所以 , 所以 ,即 , 将 代入上述等式可得 , 若 ,则点 在直线 上,与已知矛盾; 4 / 6 学科网(北京)股份有限公司故 , 整理可得 , 可得 ,即 , 即 对任意的 恒成立, 得到 ,解得 或 ,由于 的斜率不为0,得到 ,故 , 故点 在定直线 上. ···········5分 19.(17分)【答案】(1) ;(2) ;证明见解析. 【分析】(1)利用分类讨论,再求导研究单调性,即可求出最小值 ,从而可求解 的取值范围; (2)(i)利用常规求导来判断函数的单调性,即可求得最小值; (ii)利用第(i)问的结论 ,从而把要证明的不等式转化为 ,再作差构造函数求导来 证明即可. 【详解】(1)因为函数 的定义域为 , 当 时, 恒成立, 当 时, ,所以此时 不恒成立, 当 时,求导得 , 当 时, ,所以 在 上单调递减; 当 时, ,所以 在 上单调递增; 所以 , 即不等式 恒成立,等价于 , 综上, 的取值范围为 .···········5分 (2)(i)当 时, ,则 , 当 时, ,所以 在 上单调递减; 5 / 6 学科网(北京)股份有限公司当 时, ,所以 在 上单调递增;所以 ,·····4分 (ii)由 ,则要证明 ,只需要证明 ,···········3分 构造 ,则 , 所以 在 上单调递增,即 ,所以有 , 即 成立.···········5分 6 / 6 学科网(北京)股份有限公司