当前位置:首页>文档>数学(九省新高考新结构卷02)(全解全析)_2024高考押题卷_62024学科网全系列_24学科网高考押题预测卷_2024年高考数学押题预测卷

数学(九省新高考新结构卷02)(全解全析)_2024高考押题卷_62024学科网全系列_24学科网高考押题预测卷_2024年高考数学押题预测卷

  • 2026-04-08 12:38:41 2026-02-22 05:51:31

文档预览

数学(九省新高考新结构卷02)(全解全析)_2024高考押题卷_62024学科网全系列_24学科网高考押题预测卷_2024年高考数学押题预测卷
数学(九省新高考新结构卷02)(全解全析)_2024高考押题卷_62024学科网全系列_24学科网高考押题预测卷_2024年高考数学押题预测卷
数学(九省新高考新结构卷02)(全解全析)_2024高考押题卷_62024学科网全系列_24学科网高考押题预测卷_2024年高考数学押题预测卷
数学(九省新高考新结构卷02)(全解全析)_2024高考押题卷_62024学科网全系列_24学科网高考押题预测卷_2024年高考数学押题预测卷
数学(九省新高考新结构卷02)(全解全析)_2024高考押题卷_62024学科网全系列_24学科网高考押题预测卷_2024年高考数学押题预测卷
数学(九省新高考新结构卷02)(全解全析)_2024高考押题卷_62024学科网全系列_24学科网高考押题预测卷_2024年高考数学押题预测卷
数学(九省新高考新结构卷02)(全解全析)_2024高考押题卷_62024学科网全系列_24学科网高考押题预测卷_2024年高考数学押题预测卷
数学(九省新高考新结构卷02)(全解全析)_2024高考押题卷_62024学科网全系列_24学科网高考押题预测卷_2024年高考数学押题预测卷
数学(九省新高考新结构卷02)(全解全析)_2024高考押题卷_62024学科网全系列_24学科网高考押题预测卷_2024年高考数学押题预测卷
数学(九省新高考新结构卷02)(全解全析)_2024高考押题卷_62024学科网全系列_24学科网高考押题预测卷_2024年高考数学押题预测卷
数学(九省新高考新结构卷02)(全解全析)_2024高考押题卷_62024学科网全系列_24学科网高考押题预测卷_2024年高考数学押题预测卷
数学(九省新高考新结构卷02)(全解全析)_2024高考押题卷_62024学科网全系列_24学科网高考押题预测卷_2024年高考数学押题预测卷
数学(九省新高考新结构卷02)(全解全析)_2024高考押题卷_62024学科网全系列_24学科网高考押题预测卷_2024年高考数学押题预测卷
数学(九省新高考新结构卷02)(全解全析)_2024高考押题卷_62024学科网全系列_24学科网高考押题预测卷_2024年高考数学押题预测卷
数学(九省新高考新结构卷02)(全解全析)_2024高考押题卷_62024学科网全系列_24学科网高考押题预测卷_2024年高考数学押题预测卷
数学(九省新高考新结构卷02)(全解全析)_2024高考押题卷_62024学科网全系列_24学科网高考押题预测卷_2024年高考数学押题预测卷
数学(九省新高考新结构卷02)(全解全析)_2024高考押题卷_62024学科网全系列_24学科网高考押题预测卷_2024年高考数学押题预测卷
数学(九省新高考新结构卷02)(全解全析)_2024高考押题卷_62024学科网全系列_24学科网高考押题预测卷_2024年高考数学押题预测卷
数学(九省新高考新结构卷02)(全解全析)_2024高考押题卷_62024学科网全系列_24学科网高考押题预测卷_2024年高考数学押题预测卷

文档信息

文档格式
docx
文档大小
2.441 MB
文档页数
19 页
上传时间
2026-02-22 05:51:31

文档内容

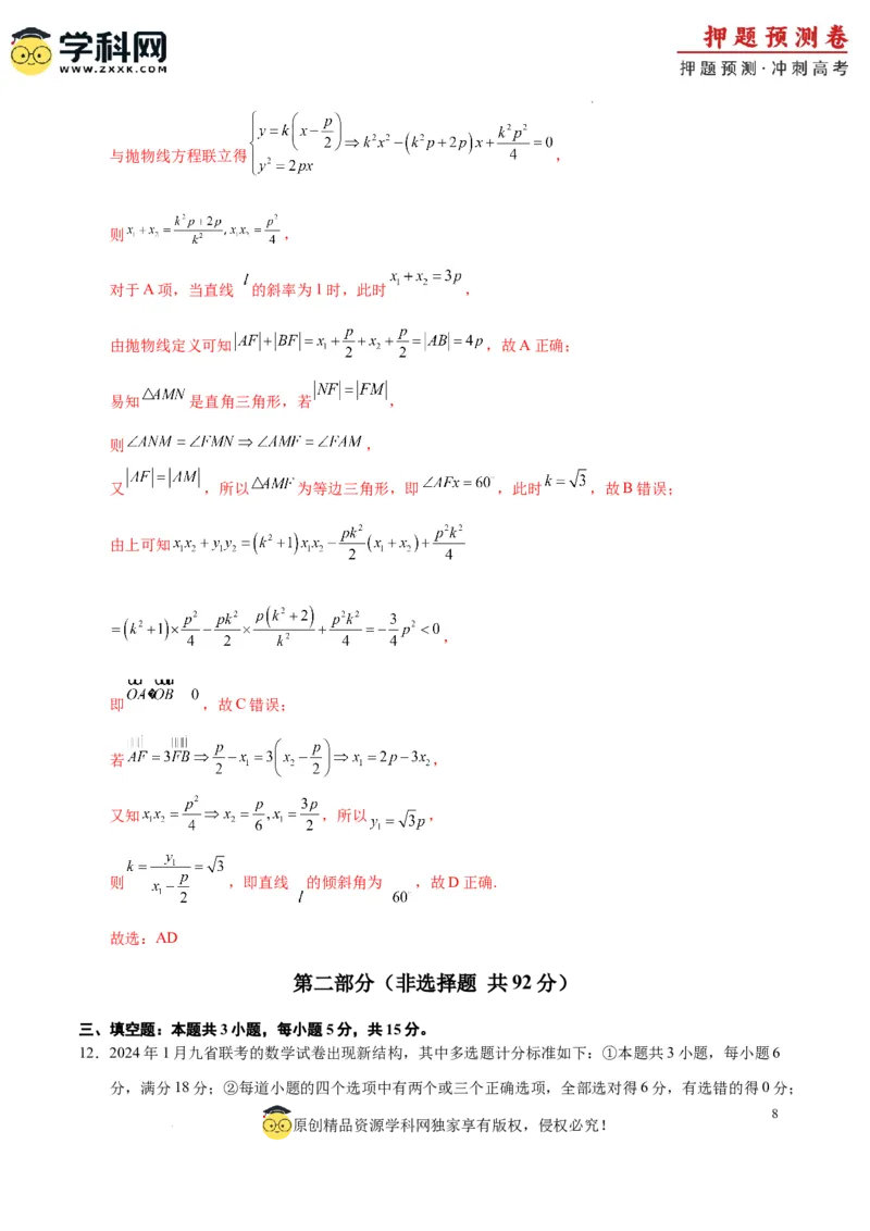
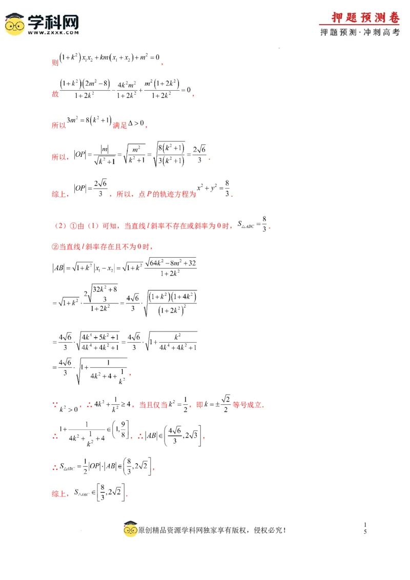
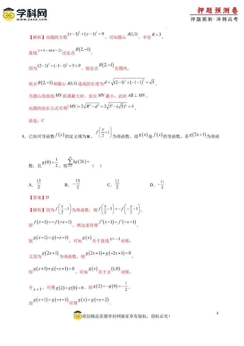
2024 年高考押题预测卷 02【新九省卷】 数 学 (考试时间:120分钟 试卷满分:150分) 注意事项: 1.答卷前,考生务必将自己的姓名、准考证号填写在答题卡上。 2.回答选择题时,选出每小题答案后,用铅笔把答题卡上对应题目的答案标号涂黑。如需改动,用 橡皮擦干净后,再选涂其他答案标号。回答非选择题时,将答案写在答题卡上。写在本试卷上无效。 3.考试结束后,将本试卷和答题卡一并交回。 第一部分(选择题 共58分) 一、选择题:本题共8小题,每小题5分,共40分。在每小题给出的四个选项中,只有一项是符合题目要 求的。 1.已知集合 ,则 ( ) A. B. C. D. 【答案】D 【解析】 ,则 ,故选D 2.若 ,则 ( ) A. B. C. D. 【答案】B 【解析】由 ,得 , ,故选B. 3.已知 , ,若 ,则 ( ) 1 原创精品资源学科网独家享有版权,侵权必究! 学科网(北京)股份有限公司A.1 B. C. D. 【答案】A 【解析】因为 , , ,所以 ,解得 ,故选A. 4.若 ,则 ( ) A.100 B.110 C.120 D.130 【答案】C 【解析】在 中, , , 所以 ,故选C 5.已知等差数列 的前 项和为 ,且 , ,则 ( ) A.14 B.16 C.18 D.20 【答案】D 【解析】设数列 的公差为 ,由 , , 得 ,解得 , 所以 ,故选D. 6.折扇是我国古老文化的延续,在我国已有四千年左右的历史,“扇”与“善”谐音,折扇也寓意“善 良”“善行”.它常以字画的形式体现我国的传统文化,也是运筹帷幄、决胜千里、大智大勇的象征 (如图1).图2是一个圆台的侧面展开图(扇形的一部分),若两个圆弧DE,AC所在圆的半径分别是 3和6,且 ,则该圆台的体积为( ) 2 原创精品资源学科网独家享有版权,侵权必究! 学科网(北京)股份有限公司A. B. C. D. 【答案】D 【解析】设圆台上下底面的半径分别为 ,由题意可知 ,解得 , ,解得: ,作出圆台的轴截面,如图所示: 图中 , , 过点 向 作垂线,垂足为 ,则 , 所以圆台的高 , 则上底面面积 , ,由圆台的体积计算公式可得: ,故选 . 7.已知直线 与圆 相交于M,N两点.则 的最小值为( ) A. B. C.4 D.6 【答案】C 3 原创精品资源学科网独家享有版权,侵权必究! 学科网(北京)股份有限公司【解析】由圆的方程 ,可知圆心 ,半径 , 直线 过定点 , 因为 ,则定点 在圆内, 则点 和圆心 连线的长度为 , 当圆心到直线 距离最大时,弦长 最小,此时 , 由圆的弦长公式可得 , 故选:C 8.已知可导函数 的定义域为 , 为奇函数,设 是 的导函数,若 为奇函 数,且 ,则 ( ) A. B. C. D. 【答案】D 【解析】因为 为奇函数,则 , 即 ,两边求导得 , 则 ,可知 关于直线 对称, 又因为 为奇函数,则 , 即 ,可知 关于点 对称, 令 ,可得 ,即 , 由 可得 , 4 原创精品资源学科网独家享有版权,侵权必究! 学科网(北京)股份有限公司由 ,可得 ,即 , 可得 ,即 , 令 ,可得 ; 令 ,可得 ; 且 ,可知8为 的周期, 可知 , 所以 . 故选:D. 二、选择题:本题共3小题,每小题6分,共18分.在每小题给出的选项中,有多项符合题目要求.全部 选对的得6分,部分选对的得部分分,有选错的得0分. 9.已知复数z,下列说法正确的是( ) A.若 ,则z为实数 B.若 ,则 C.若 ,则 的最大值为2 D.若 ,则z为纯虚数 【答案】AC 【解析】设 ,则 , 若 ,即 ,即 ,则z为实数,故A正确; 若 ,即 , 化简可得 ,即 ,即 , 当 时, , ,此时不一定满足 , 当 时, , ,此时不一定满足 ,故B错误; 5 原创精品资源学科网独家享有版权,侵权必究! 学科网(北京)股份有限公司若 ,即 , 所以 ,即 表示以 为圆心,以 为半径的圆上的点, 且 表示圆上的点到原点的距离,所以 的最大值为2,故C正确; 若 ,即 , ,即 , 化简可得 ,则 且 , 此时 可能为实数也可能为纯虚数,故D错误; 故选:AC 10.已知函数 的图象在y轴上的截距为 , 是该函数的最小正零点, 则( ) A. B. 恒成立 C. 在 上单调递减 D.将 的图象向右平移 个单位,得到的图象关于 轴对称 【答案】AC 【解析】函数 的图象在y轴上的截距为 , 所以 ,因为 ,所以 .故A正确; 又因为 是该函数的最小正零点, 6 原创精品资源学科网独家享有版权,侵权必究! 学科网(北京)股份有限公司所以 ,所以 , 解得 ,所以 , , 所以 ,故B错误; 当 时, ,故C正确; 将 的图象向右平移 个单位,得到 , 是非奇非偶函数,图象不关于 轴对称,故D错误. 故选:AC. 11.如图,已知抛物线 的焦点为 ,抛物线 的准线与 轴交于点 ,过点 的 直线 (直线 的倾斜角为锐角)与抛物线 相交于 两点(A在 轴的上方, 在 轴的下 方),过点 A作抛物线 的准线的垂线,垂足为 ,直线 与抛物线 的准线相交于点 ,则 ( ) A.当直线 的斜率为1时, B.若 ,则直线 的斜率为2 C.存在直线 使得 D.若 ,则直线 的倾斜角为 【答案】AD 【解析】易知 ,可设 ,设 , 7 原创精品资源学科网独家享有版权,侵权必究! 学科网(北京)股份有限公司与抛物线方程联立得 , 则 , 对于A项,当直线 的斜率为1时,此时 , 由抛物线定义可知 ,故A正确; 易知 是直角三角形,若 , 则 , 又 ,所以 为等边三角形,即 ,此时 ,故B错误; 由上可知 , 即 ,故C错误; 若 , 又知 ,所以 , 则 ,即直线 的倾斜角为 ,故D正确. 故选:AD 第二部分(非选择题 共92分) 三、填空题:本题共3小题,每小题5分,共15分。 12.2024年1月九省联考的数学试卷出现新结构,其中多选题计分标准如下:①本题共3小题,每小题6 分,满分18分;②每道小题的四个选项中有两个或三个正确选项,全部选对得6分,有选错的得0分; 8 原创精品资源学科网独家享有版权,侵权必究! 学科网(北京)股份有限公司③部分选对得部分分(若某小题正确选项为两个,漏选一个正确选项得3分;若某小题正确选项为三 个,漏选一个正确选项得4分,漏选两个正确选项得2分).已知在某次新结构数学试题的考试中, 小明同学三个多选题中第一小题确定得满分,第二小题随机地选了两个选项,第三小题随机地选了一 个选项,则小明同学多选题所有可能总得分(相同总分只记录一次)的中位数为 . 【答案】11 【解析】由题意得小明同学第一题得6分; 第二题选了2个选项,可能得分情况有3种,分别是得0分、4分和6分; 第二题选了1个选项,可能得分情况有3种,分别是得0分、2分和3分; 由于相同总分只记录一次,因此小明的总分情况有:6分、8分、9分、10分、12分、13分、14分、 15分共8种情况, 所以中位数为 , 13.在直三棱柱 中, , ,过 作该直三棱柱外接球的截面,所 得截面的面积的最小值为 . 【答案】 【解析】由直三棱柱 可知, 平面 , 又 ,所以 两两垂直, 设直三棱柱 外接球的半径为R, 通过构造长方体可知该三棱柱的外接球与以 为边长的长方体外接球相同; 过 作该直三棱柱外接球的截面,当 为所截圆的直径时截面面积最小, 因为 , 9 原创精品资源学科网独家享有版权,侵权必究! 学科网(北京)股份有限公司则所求截面面积最小值为 . 14.在 中,内角 , , 所对的边分别为 , , ,已知 ,则 = ;若 ,则 面积的最大值为 . 【答案】 【解析】因为 ,由正弦定理得 , 因为 ,则有 , 所以 ,得 ,即 ,故 ; 因 , ,故 ,可得 , 由 ,解得 ,得 , 由余弦定理得, ,所以 , 由 ,当且仅当 时等号成立,可得 , ,即 面积的最大值为 . 四、解答题:本题共5小题,共77分。解答应写出文字说明、证明过程或演算步棸。 15.(本小题满分13分)已如曲线 在 处的切线与直线 垂 直. (1)求 的值; (2)若 恒成立,求 的取值范围. 【解】(1)由于 的斜率为 ,所以 , 1 原创精品资源学科网独家享有版权,侵权必究! 0 学科网(北京)股份有限公司又 ,故 ,解得 , (2)由(1)知 ,所以 , 故当 时, 单调递增, 当 时, 单调递减, 故当 时, 取最小值 , 要使 恒成立,故 ,解得 , 故 的取值范围为 16.(本小题满分15分)为促进全民阅读,建设书香校园,某校在寒假面向全体学生发出“读书好、读好 书、好读书”的号召,并开展阅读活动.开学后,学校统计了高一年级共1000名学生的假期日均阅读 时间(单位:分钟),得到了如下所示的频率分布直方图,若前两个小矩形的高度分别为0.0075, 0.0125,后三个小矩形的高度比为3:2:1. (1)根据频率分布直方图,估计高一年级1000名学生假期日均阅读时间的平均值(同一组中的数据用 该组区间的中点值为代表); (2)开学后,学校从高一日均阅读时间不低于60分钟的学生中,按照分层抽样的方式,抽取6名学生 作为代表分两周进行国旗下演讲,假设第一周演讲的3名学生日均阅读时间处于[80,100)的人数记 为 ,求随机变量 的分布列与数学期望. 【解】(1)由题知:各组频率分别为:0.15,0.25,0.3,0.2,0.1, 日均阅读时间的平均数为: (分钟) (2)由题意,在[60,80),[80,100),[100,120]三组分别抽取3,2,1人 1 原创精品资源学科网独家享有版权,侵权必究! 1 学科网(北京)股份有限公司的可能取值为:0,1,2 则 所以 的分布列为: 0 1 2 17.(本小题满分15分)如图,在四棱锥 中,底面 是边长为2的正方形, , 点 在 上,点 为 的中点,且 平面 . (1)证明: 平面 ; (2)若 ,求平面 与平面 夹角的余弦值. 【解】(1)连接 交 与点 ,连接 ,可得平面 与平面 的交线为 , 因为 平面 , 平面 ,所以 , 又因为 为 的中点,所以点 为 的中点, 取 的中点 ,连接 ,可得 且 , 又因为 为 的中点,可得 且 , 所以 且 ,所以四边形 为平行四边形,所以 , 又因为 平面 ,且 平面 ,所以 平面 . 1 原创精品资源学科网独家享有版权,侵权必究! 2 学科网(北京)股份有限公司(2)取 的中点 ,连结 , 因为 ,可得 ,且 , 又因为 ,且 , 所以 ,所以 , 又因为 ,且 平面 ,所以 平面 , 以 为坐标原点,建立如图所示的空间直角坐标系 , 可得 , 因为 为 的中点, 为 的中点,可得 , 则 , 设 是平面 的法向量,则 , 取 ,可得 ,所以 , 设 是平面 的法向量,则 , 取 ,可得 ,所以 ; 设平面 与平面 的夹角为 ,则 , 即平面 与平面 的夹角的余弦值为 . 1 原创精品资源学科网独家享有版权,侵权必究! 3 学科网(北京)股份有限公司18.(本小题满分17分)已知椭圆 ,直线 与椭圆 交于A、B两点, 为坐标原点,且 , ,垂足为点 . (1)求点 的轨迹方程; (2)求 面积的取值范围. 【解】(1)①当直线l斜率不存在时,由椭圆的对称性,不妨设直线l在y轴右侧, 直线OA的方程为 , 由 ,解得 , ,所以, , 所以,直线AB的方程为 ,此时 . 同理,当直线l在y轴左侧时, . ②当直线l斜率存在时,设直线l的方程为 , , , 由 消去y整理得, , ∴ ,且 , , 又∵ ,∴ 即: , 所以, , 1 原创精品资源学科网独家享有版权,侵权必究! 4 学科网(北京)股份有限公司则 , 故 , 所以 满足 , 所以, . 综上, ,所以,点P的轨迹方程为 . (2)①由(1)可知,当直线l斜率不存在或斜率为0时, . ②当直线l斜率存在且不为0时, , ∵ ,∴ ,当且仅当 ,即 等号成立. ∴ ,∴ , ∴ , 综上, . 1 原创精品资源学科网独家享有版权,侵权必究! 5 学科网(北京)股份有限公司19.(本小题满分17分)置换是代数的基本模型,定义域和值域都是集合 的函数称 为 次置换.满足对任意 的置换称作恒等置换.所有 次置换组成的集合记作 .对于 ,我们可用列表法表示此置换: ,记 . (1)若 ,计算 ; (2)证明:对任意 ,存在 ,使得 为恒等置换; (3)对编号从1到52的扑克牌进行洗牌,分成上下各26张两部分,互相交错插入,即第1张不动,第 27张变为第2张,第2张变为第3张,第28张变为第4张,......,依次类推.这样操作最少重复几次就 能恢复原来的牌型?请说明理由. 【解】(1) , 由题意可知 ; (2)解法一:①若 ,则 为恒等置换; 1 原创精品资源学科网独家享有版权,侵权必究! 6 学科网(北京)股份有限公司②若存在两个不同的 ,使得 ,不妨设 ,则 . 所以 ,即 为恒等置换; ③若存在唯一的 ,使得 ,不妨设 ,则 或 . 当 时,由(1)可知 为恒等置换; 同理可知,当 时, 也是恒等置换; ④若对任意的 , 则情形一: 或 或 ; 情形二: 或 或 或 或 或 ; 对于情形一: 为恒等置换; 对于情形二: 为恒等置换; 综上,对任意 ,存在 ,使得 为恒等置换; 解法二:对于任意 ,都有 , 所以 中,至少有一个满足 , 1 原创精品资源学科网独家享有版权,侵权必究! 7 学科网(北京)股份有限公司即使得 的 的取值可能为 . 当 分别取 时,记使得 的 值分别为 , 只需取 为 的最小公倍数即可. 所以对任意 ,存在 ,使得 为恒等置换; (3)不妨设原始牌型从上到下依次编号为1到52,则洗牌一次相当于对 作一次如下置换: ,即 其中 . 注意到各编号在置换中的如下变化: , , , , , , , , , 所有编号在连续置换中只有三种循环:一阶循环2个,二阶循环2个,八阶循环48个, 注意到 的最小公倍数为8,由此可见,最少8次这样的置换即为恒等置换, 1 原创精品资源学科网独家享有版权,侵权必究! 8 学科网(北京)股份有限公司故这样洗牌最少8次就能恢复原来的牌型. 1 原创精品资源学科网独家享有版权,侵权必究! 9 学科网(北京)股份有限公司