当前位置:首页>文档>数学(全国甲卷理科)(参考答案)_2023高考押题卷_学易金卷-2023学科网押题卷(各科各版本)_2023学科网押题卷-学易金卷-数学_数学(全国甲卷理科)-学易金卷:2023年高考考前押题密卷

数学(全国甲卷理科)(参考答案)_2023高考押题卷_学易金卷-2023学科网押题卷(各科各版本)_2023学科网押题卷-学易金卷-数学_数学(全国甲卷理科)-学易金卷:2023年高考考前押题密卷

  • 2026-03-30 21:40:13 2026-02-22 06:32:33

文档预览

数学(全国甲卷理科)(参考答案)_2023高考押题卷_学易金卷-2023学科网押题卷(各科各版本)_2023学科网押题卷-学易金卷-数学_数学(全国甲卷理科)-学易金卷:2023年高考考前押题密卷
数学(全国甲卷理科)(参考答案)_2023高考押题卷_学易金卷-2023学科网押题卷(各科各版本)_2023学科网押题卷-学易金卷-数学_数学(全国甲卷理科)-学易金卷:2023年高考考前押题密卷
数学(全国甲卷理科)(参考答案)_2023高考押题卷_学易金卷-2023学科网押题卷(各科各版本)_2023学科网押题卷-学易金卷-数学_数学(全国甲卷理科)-学易金卷:2023年高考考前押题密卷
数学(全国甲卷理科)(参考答案)_2023高考押题卷_学易金卷-2023学科网押题卷(各科各版本)_2023学科网押题卷-学易金卷-数学_数学(全国甲卷理科)-学易金卷:2023年高考考前押题密卷
数学(全国甲卷理科)(参考答案)_2023高考押题卷_学易金卷-2023学科网押题卷(各科各版本)_2023学科网押题卷-学易金卷-数学_数学(全国甲卷理科)-学易金卷:2023年高考考前押题密卷
数学(全国甲卷理科)(参考答案)_2023高考押题卷_学易金卷-2023学科网押题卷(各科各版本)_2023学科网押题卷-学易金卷-数学_数学(全国甲卷理科)-学易金卷:2023年高考考前押题密卷
数学(全国甲卷理科)(参考答案)_2023高考押题卷_学易金卷-2023学科网押题卷(各科各版本)_2023学科网押题卷-学易金卷-数学_数学(全国甲卷理科)-学易金卷:2023年高考考前押题密卷
数学(全国甲卷理科)(参考答案)_2023高考押题卷_学易金卷-2023学科网押题卷(各科各版本)_2023学科网押题卷-学易金卷-数学_数学(全国甲卷理科)-学易金卷:2023年高考考前押题密卷
数学(全国甲卷理科)(参考答案)_2023高考押题卷_学易金卷-2023学科网押题卷(各科各版本)_2023学科网押题卷-学易金卷-数学_数学(全国甲卷理科)-学易金卷:2023年高考考前押题密卷
数学(全国甲卷理科)(参考答案)_2023高考押题卷_学易金卷-2023学科网押题卷(各科各版本)_2023学科网押题卷-学易金卷-数学_数学(全国甲卷理科)-学易金卷:2023年高考考前押题密卷
数学(全国甲卷理科)(参考答案)_2023高考押题卷_学易金卷-2023学科网押题卷(各科各版本)_2023学科网押题卷-学易金卷-数学_数学(全国甲卷理科)-学易金卷:2023年高考考前押题密卷

文档信息

文档格式
docx
文档大小
0.933 MB
文档页数
11 页
上传时间
2026-02-22 06:32:33

文档内容

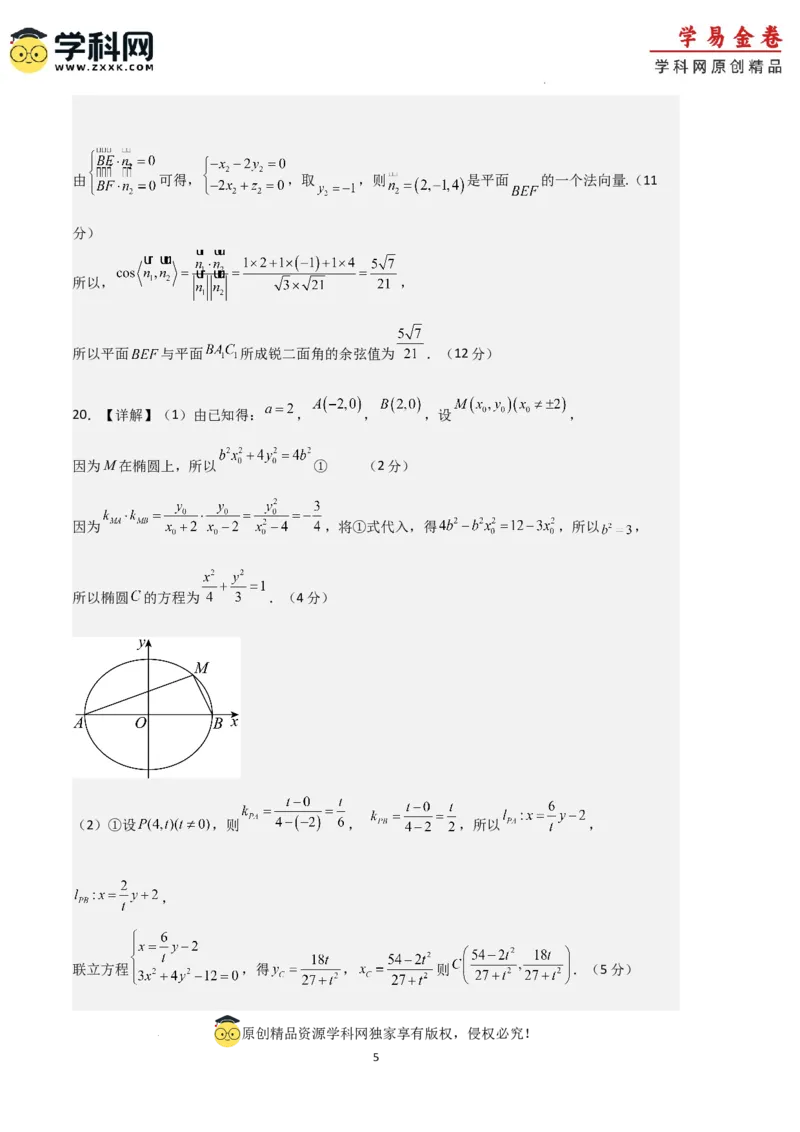
2023 年高考考前押题密卷(全国甲卷) 数学(理科)·参考答案 1 2 3 4 5 6 7 8 9 10 11 12 B A C A A D D B C C D B 13.【答案】 14.【答案】 . 15.【答案】 16.【答案】 或 三、解答题:共70分.解答应写出文字说明、证明过程或演算步骤.第17~21题为必考题,每个 试题考生都必须作答.第22、23题为选考题,考生根据要求作答. (一)必考题:共60分. 17.【详解】(1)选择条件①, , 在 中,由余弦定理得 ,(2分) 整理得 ,则 ,又 ,所以 .(5分) 选择条件②, ,于是 , 在 中,由正弦定理得, ,(2分) 因为 ,则 ,即 ,(3分) 因为 ,因此 ,即 ,又 ,所以 .(5分) 选择条件③, , 在 中,因为 ,即 ,(2分) 则 ,又 ,即有 ,则 ,所以 .(5分) 原创精品资源学科网独家享有版权,侵权必究! 1 学科网(北京)股份有限公司(2)由(1)知, ,有 ,(6分) 而 与 的平分线交于点 ,即有 ,于是 ,(7分) 设 ,则 ,且 ,(8分) 在 中,由正弦定理得, , 所以 , ,(9分) 所以 的周长为 ,(10分) 由 ,得 ,则当 ,即 时, 的周长取得最大值 , 所以 周长的最大值为 .(12分) 18.【详解】(1)根据表中数据可知增加的速度逐渐变快, 所以回归方程 适宜预测未来几年我国区块链企业总数量;(2分) (2)对 两边取自然对数,得 ,令 ,得 ,(3 分) 由于 , , ,(4分) 原创精品资源学科网独家享有版权,侵权必究! 2 学科网(北京)股份有限公司则 , ,(6 分) ∴ 关于 的回归直线方程为 ,则 关于 的回归方程为 ;(7分) (3)对于首场比赛的选择有以下三种情况:A:甲与乙先赛;B:甲与丙先赛;C:丙与乙先赛, 由于在每场比赛中,甲胜乙的概率为 ,甲胜丙的概率为 ,乙胜丙的概率为 ,(8分) 则甲公司获胜的概率分别是 ,(9分) ,(10分) ,(11分) 由于 ,∴甲与丙两公司进行首场比赛时,甲公司获得“优胜公司”的概率最大.(12 分) 19.【详解】(1)如图1,取 中点 ,连接 . 原创精品资源学科网独家享有版权,侵权必究! 3 学科网(北京)股份有限公司因为 分别是 的中点,所以 ,且 ,(1分) 所以 是平行四边形,所以 .因为 ,所以 .(3分) 又 ,所以 ,所以 是 的中点.(5分) 又因为 是 的中点,所以 ,所以 ,所以 四点共面.(6分) (2)如图2,以点 为坐标原点,分别以 为 轴,建立空间直角坐标系, 则 , , , , , , , 所以 , , , .(7分) 设平面 的一个法向量为 , 由 可得, ,取 ,则 是平面 的一个法向量.(9分) 设平面 的一个法向量为 , 原创精品资源学科网独家享有版权,侵权必究! 4 学科网(北京)股份有限公司由 可得, ,取 ,则 是平面 的一个法向量.(11 分) 所以, , 所以平面 与平面 所成锐二面角的余弦值为 .(12分) 20.【详解】(1)由已知得: , , ,设 , 因为M在椭圆上,所以 ① (2分) 因为 ,将①式代入,得 ,所以 , 所以椭圆 的方程为 .(4分) (2)①设 ,则 , ,所以 , , 联立方程 ,得 , 则 .(5分) 原创精品资源学科网独家享有版权,侵权必究! 5 学科网(北京)股份有限公司联立方程 ,得 , ,则 ,(6分) 椭圆的右焦点为 , , ,(7分) 因为 ,说明C,D, 三点共线,即直线CD恒过 点.(8 分) ②因为直线CD恒过 点,所以 的周长为 , 设 内切圆的半径为 ,所以 的面积 , 所以 ,即 ,(9分) 若内切圆的面积最大,即r最大,也就是 最大, 因为 三点不共线,所以直线CD的斜率不为0,设直线CD的方程为 , 代入 得: ,可得 , , 又因为 令 ,(*)式化为: , (11分) 因为函数 在 上单调递增,所以当 ,即 时,(*)式取最大值 3, 原创精品资源学科网独家享有版权,侵权必究! 6 学科网(北京)股份有限公司所以 ,故 ,所以得到 内切圆面积的最大值为 ,当 时取得.(12分) 21.【详解】(1)由题意, 有两个不相等正根, 所以 有两个不相等正根,即 有两个不相等正根,(1分) 记函数 ,则 , 令 ,得 ,令 ,得 ,令 ,得 , 所以函数 的单调递增区间为 ,单调递减区间为 ,(3分) 令 得 ,且 ,x无限趋近于0时,函数值无限趋向于0, 作出函数 的图象,如图 (4分) 要使 有两个不相等正根,则函数 与函数 有两个交点, 由图知 ,故实数a的取值范围 .(5分) (2)函数 定义域为 , 当 时, , 在 上单调递增,不符合题意; 原创精品资源学科网独家享有版权,侵权必究! 7 学科网(北京)股份有限公司当 时,若 时, , 在 上单调递减, 若 时, , 在 上单调递增,(7分) 由题意,不妨设 ,先证明 .要证 ,即证 ; 因为 ,且 在 上单调递增,故只需证明 ,(8分) 令 , 则 ,所以 在 上单调递增,(9分) 所以当 时, ,则有 , 因为 ,所以 ,则 ,故 ; 再证 ,即证 .因为 ,且 在 上单调递增,(10分) 只需证明 ,即证 , 因为 ,所以 , 所以只需证明 ,令 ,(11分) 则 .令 , 当 时, ,所以 在 上单调递增, 原创精品资源学科网独家享有版权,侵权必究! 8 学科网(北京)股份有限公司当 时, ,于是 , 从而可得 在 上单调递减,故 , 所以 成立,故 .综上, .(12分) (二)选考题:共10分.请考生在第22、23题中任选一题作答.如果多做,则按所做的第一题计 分. [选修4-4:坐标系与参数方程] 微信搜索“高中试卷君”公众号 领取押题卷联考卷 22【详解】(1)设A、B两点的极坐标分别为 、 ,(2分) 则 , ,因此, ;(5分) (2)根据对称性,不妨设 、 , .(8分) ∵ ,则 , 所以当 时,即 , 时, .(10分) [选修4-5:不等式选讲] 23.【详解】(1)当 时, , 原创精品资源学科网独家享有版权,侵权必究! 9 学科网(北京)股份有限公司解 ,即 ,解得 ; 当 时, , 解 ,即 ,解得 ,无解; 当 时, , 解 ,即 ,解得 .(4分) 综上所述,不等式 的解集为 . (5分) (2)由(1)可知, . 当 时, ; 当 时, ; 当 时, ,(7分) 所以函数 的最小值为2,所以 ,所以 .(8分) 由柯西不等式可得, ,(9分) 当且仅当 时,等号成立.所以 ,所以 。(10分) 原创精品资源学科网独家享有版权,侵权必究! 10 学科网(北京)股份有限公司原创精品资源学科网独家享有版权,侵权必究! 11 学科网(北京)股份有限公司