当前位置:首页>文档>精品解析:湖南省张家界市2020年中考数学试题(解析版)_中考真题_2.数学中考真题2015-2024年_2020全国多省多地中考数学真题126份

精品解析:湖南省张家界市2020年中考数学试题(解析版)_中考真题_2.数学中考真题2015-2024年_2020全国多省多地中考数学真题126份

  • 2026-03-26 08:31:09 2026-02-23 10:11:10

文档预览

精品解析:湖南省张家界市2020年中考数学试题(解析版)_中考真题_2.数学中考真题2015-2024年_2020全国多省多地中考数学真题126份
精品解析:湖南省张家界市2020年中考数学试题(解析版)_中考真题_2.数学中考真题2015-2024年_2020全国多省多地中考数学真题126份
精品解析:湖南省张家界市2020年中考数学试题(解析版)_中考真题_2.数学中考真题2015-2024年_2020全国多省多地中考数学真题126份
精品解析:湖南省张家界市2020年中考数学试题(解析版)_中考真题_2.数学中考真题2015-2024年_2020全国多省多地中考数学真题126份
精品解析:湖南省张家界市2020年中考数学试题(解析版)_中考真题_2.数学中考真题2015-2024年_2020全国多省多地中考数学真题126份
精品解析:湖南省张家界市2020年中考数学试题(解析版)_中考真题_2.数学中考真题2015-2024年_2020全国多省多地中考数学真题126份
精品解析:湖南省张家界市2020年中考数学试题(解析版)_中考真题_2.数学中考真题2015-2024年_2020全国多省多地中考数学真题126份
精品解析:湖南省张家界市2020年中考数学试题(解析版)_中考真题_2.数学中考真题2015-2024年_2020全国多省多地中考数学真题126份
精品解析:湖南省张家界市2020年中考数学试题(解析版)_中考真题_2.数学中考真题2015-2024年_2020全国多省多地中考数学真题126份
精品解析:湖南省张家界市2020年中考数学试题(解析版)_中考真题_2.数学中考真题2015-2024年_2020全国多省多地中考数学真题126份
精品解析:湖南省张家界市2020年中考数学试题(解析版)_中考真题_2.数学中考真题2015-2024年_2020全国多省多地中考数学真题126份
精品解析:湖南省张家界市2020年中考数学试题(解析版)_中考真题_2.数学中考真题2015-2024年_2020全国多省多地中考数学真题126份
精品解析:湖南省张家界市2020年中考数学试题(解析版)_中考真题_2.数学中考真题2015-2024年_2020全国多省多地中考数学真题126份
精品解析:湖南省张家界市2020年中考数学试题(解析版)_中考真题_2.数学中考真题2015-2024年_2020全国多省多地中考数学真题126份
精品解析:湖南省张家界市2020年中考数学试题(解析版)_中考真题_2.数学中考真题2015-2024年_2020全国多省多地中考数学真题126份
精品解析:湖南省张家界市2020年中考数学试题(解析版)_中考真题_2.数学中考真题2015-2024年_2020全国多省多地中考数学真题126份
精品解析:湖南省张家界市2020年中考数学试题(解析版)_中考真题_2.数学中考真题2015-2024年_2020全国多省多地中考数学真题126份
精品解析:湖南省张家界市2020年中考数学试题(解析版)_中考真题_2.数学中考真题2015-2024年_2020全国多省多地中考数学真题126份
精品解析:湖南省张家界市2020年中考数学试题(解析版)_中考真题_2.数学中考真题2015-2024年_2020全国多省多地中考数学真题126份
精品解析:湖南省张家界市2020年中考数学试题(解析版)_中考真题_2.数学中考真题2015-2024年_2020全国多省多地中考数学真题126份
精品解析:湖南省张家界市2020年中考数学试题(解析版)_中考真题_2.数学中考真题2015-2024年_2020全国多省多地中考数学真题126份
精品解析:湖南省张家界市2020年中考数学试题(解析版)_中考真题_2.数学中考真题2015-2024年_2020全国多省多地中考数学真题126份
精品解析:湖南省张家界市2020年中考数学试题(解析版)_中考真题_2.数学中考真题2015-2024年_2020全国多省多地中考数学真题126份

文档信息

文档格式
doc
文档大小
1.536 MB
文档页数
23 页
上传时间
2026-02-23 10:11:10

文档内容

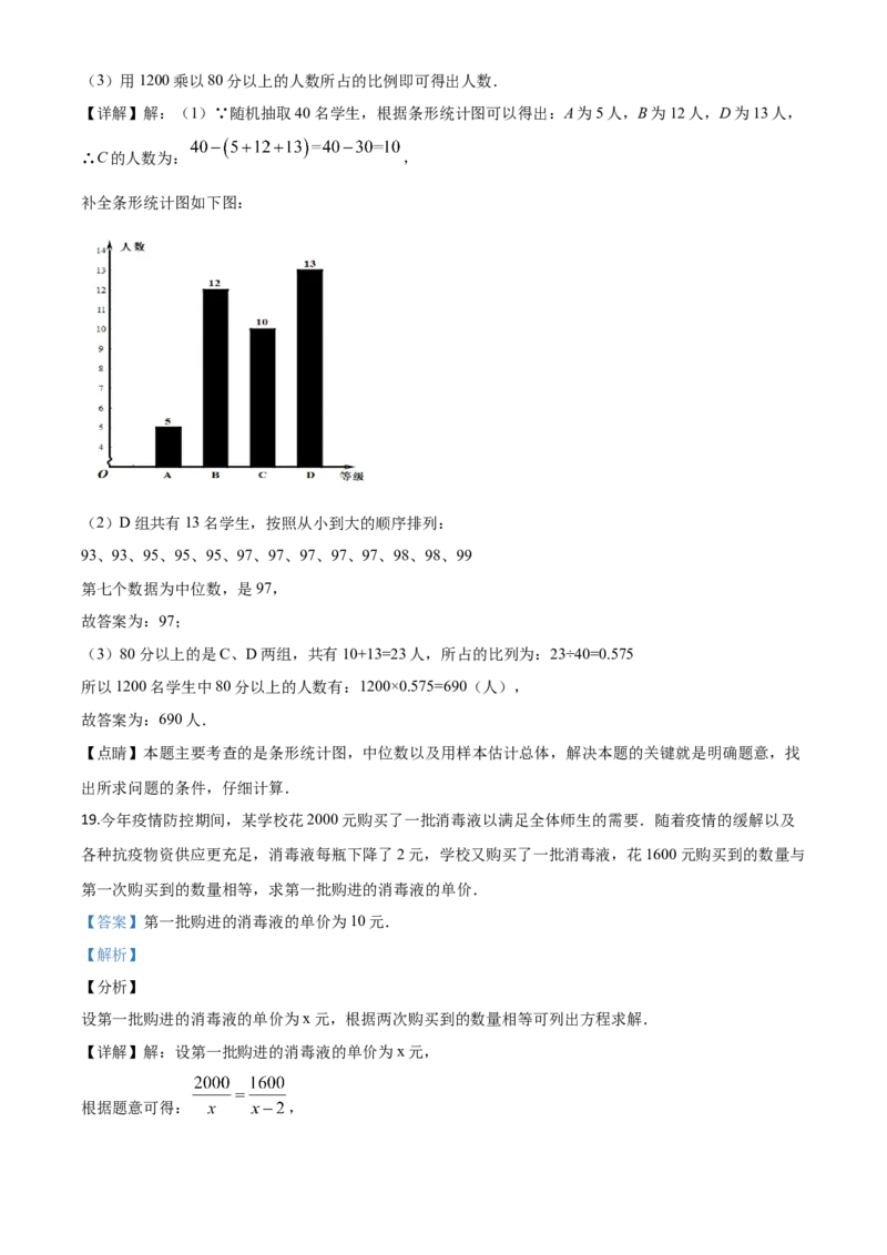
湖南省张家界市 2020 年中考数学 一、选择题 1. 的倒数是( ) A. B. C. D. 【答案】C 【解析】 【分析】 根据倒数的定义解答即可. 【详解】解:∵ ×2020=1, ∴ 的倒数是2020. 故答案为C. 【点睛】本题主要考查了倒数的定义:若两个数的乘积是1,我们就称这两个数互为倒数. 的 2.如图是由5个完全相同 小正方体组成的立体图形,则它的主视图是( ) A. B. C. D. 【答案】A 【解析】 【分析】 根据从正面看得到的图形是主视图,可得答案. 【详解】从正面看有三列,从左到右依次有2、1、1个正方形,图形如下:故选A. 【点睛】本题考查了简单组合体的三视图,解题时注意从正面看得到的图形是主视图. 3.下列计算正确的是( ) A. B. C. D. 【答案】D 【解析】 【分析】 根据合并同类项、幂的乘方、完全平方公式和平方差公式逐一进行判断即可 【详解】解:A、 ,故原式错误; B、 ,故原式错误; C、 ,故原式错误; D、 ,故原式正确, 故选:D. 【点睛】此题考查了合并同类项、幂的乘方、完全平方公式和平方差公式,熟练掌握公式及法则是解本题 的关键. 4.下列采用的调查方式中,不合适的是( ) A. 了解澧水河的水质,采用抽样调查. B. 了解一批灯泡的使用寿命,采用全面调查. C. 了解张家界市中学生睡眠时间,采用抽样调查. D. 了解某班同学的数学成绩,采用全面调查. 【答案】B 【解析】 【分析】 根据调查对象的特点,结合普查得到的调查结果比较准确,但所费人力、物力和时间较多,而抽样调查得 到的调查结果接近准确数值,从而可得答案. 【详解】解:了解澧水河的水质,采用普查不太可能做到,所以采用抽样调查,故A合适, 了解一批灯泡的使用寿命,不宜采用全面调查,因为调查带有破坏性,故B不合适,了解张家界市中学生睡眠时间,工作量大,宜采用抽样调查,故C合适, 了解某班同学的数学成绩,采用全面调查.合适,故D合适, 故选B. 【点睛】本题考查的是抽样调查和全面调查的区别,选择普查还是抽样调查要根据所要考查的对象的特征 灵活选用,一般来说,对于具有破坏性的调查、无法进行普查、普查的意义或价值不大,应选择抽样调查, 对于精确度要求高的调查,事关重大的调查往往选用普查. 5.如图,四边形 为 的内接四边形,已知 为 ,则 的度数为( ) A. B. C. D. 【答案】C 【解析】 【分析】 根据圆内接四边形的性质求出∠A,根据圆周角定理计算,得到答案. 【详解】解:∵四边形ABCD是⊙O的内接四边形, ∴∠A=180°−∠BCD=60°, 由圆周角定理得,∠BOD=2∠A=120°, 故选:C. 【点睛】本题考查的是圆内接四边形的性质,掌握圆内接四边形的对角互补是解题的关键. 6.《孙子算经》中有一道题,原文是:今有三人共车,一车空:二人共车,九人步,问人与车各几何?译 文为:今有若干人乘车,每3人共乘一车,最终剩余2辆车:若每2人共乘一车,最终剩余9个人无车可 乘,问共有多少人,多少辆车?设共有x人,可列方程( ) A. B. C. D. 【答案】B 【解析】 【分析】 设有x人,根据车的辆数不变,即可得出关于x的一元一次方程,此题得解.【详解】解:设有x人,根据车的辆数不变列出等量关系, 每3人共乘一车,最终剩余2辆车,则车辆数为: , 每2人共乘一车,最终剩余9个人无车可乘,则车辆数为: , ∴列出方程为: . 故选:B. 【点睛】本题考查了由实际问题抽象出一元一次方程,找准等量关系,正确列出一元一次方程是解题的关 键. 7.已知等腰三角形的两边长分别是一元二次方程 的两根,则该等腰三角形的底边长为( ) A. 2 B. 4 C. 8 D. 2或4 【答案】A 【解析】 【分析】 解一元二次方程求出方程的解,得出三角形的边长,用三角形存在的条件分类讨论边长,即可得出答案. 【详解】解:x2-6x+8=0 (x-4)(x-2)=0 解得:x=4或x=2, 当等腰三角形的三边为2,2,4时,不符合三角形三边关系定理,此时不能组成三角形; 当等腰三角形的三边为2,4,4时,符合三角形三边关系定理,此时能组成三角形, 所以三角形的底边长为2, 故选:A. 【点睛】本题考查了等腰三角形的性质,三角形的三边关系,解一元二次方程,能求出方程的解并能够判 断三角形三边存在的条件是解此题的关键. 8.如图所示,过y轴正半轴上的任意一点P,作x轴的平行线,分别与反比例函数 和 的图象 交于点A和点B,若点C是x轴上任意一点,连接 ,则 的面积为( )A. 6 B. 7 C. 8 D. 14 【答案】B 【解析】 【分析】 根据两平行直线之间共底三角形的面积相等可知,当C点位于O点是,△ABC的面积与△ABO的面积相等, 由此即可求解. 【详解】解:∵AB∥x轴,且△ABC与△ABO共底边AB, ∴△ABC的面积等于△ABO的面积, 连接OA、OB,如下图所示: 则 . 故选:B. 【点睛】本题考查了反比例函数的图形和性质,熟练掌握反比例函数上一点向坐标轴作垂线,与原点构成 的矩形的面积为 这个结论. 二、填空题9.因式分解: _____. 【答案】 【解析】 【分析】 根据公式法进行因式分解即可. 【详解】解: , 故答案为: . 【点睛】本题考查用公式法因式分解,熟练掌握公式法并灵活应用是解题的关键. 10.今年夏季我国南方多地连降暴雨,引发了严重的洪涝灾害,给国家和人民的财产造成了严重的损失,为 支持地方各级政府组织群众进行抗灾自救,国家发展改革委员会下达了211000000元救灾应急资金支持暴 雨洪涝灾区用于抗洪救灾,则211000000元用科学记数法表示为___________元. 【答案】2.11×108 【解析】 【分析】 科学记数法的表示形式为a×10n的形式,其中1≤|a|<10,n为整数.确定n的值时,要看把原数变成a时, 小数点移动了多少位,n的绝对值与小数点移动的位数相同.当原数绝对值≥10时,n是正整数;当原数的 绝对值<1时,n是负整数. 【详解】211000000的小数点向左移动8位得到2.11, 所以211000000用科学记数法表示为2.11×108, 故答案为:2.11×108. 【点睛】本题考查科学记数法的表示方法.科学记数法的表示形式为a×10n的形式,其中1≤|a|<10,n为整 数,表示时关键要正确确定a的值以及n的值. 11.如图, 的一边 为平面镜, ,一束光线(与水平线 平行)从点C射入经平 面镜反射后,反射光线落在 上的点E处,则 的度数是_______度.【答案】76° 【解析】 【分析】 根据平行线的性质可得∠ADC的度数,由光线的反射定理可得∠ODE的度数,在根据三角形外角性质即 可求解. 【详解】解:∵DC∥OB, ∴∠ADC=∠AOB=38°, 由光线的反射定理易得,∠ODE=∠ACD=38°, ∠DEB=∠ODE+∠AOB =38°+38°=76°, 故答案为:76°. 【点睛】本题考查平行线的性质、三角形外角性质和光线的反射定理,掌握入射角=反射角是解题的关键. 12.新学期开学,刚刚组建的七年级(1)班有男生30人,女生24人,欲从该班级中选出一名值日班长, 任何人都有同样的机会,则这班选中一名男生当值日班长的概率是_____. 【答案】 【解析】 【分析】 先求出全班的学生数,再根据概率公式进行求解即可. 【详解】全班共有学生30+24=54(人), 其中男生30人,则这班选中一名男生当值日班长的概率是 = , 故答案为: . 【点睛】本题考查了简单的概率计算,如果一个事件有n种可能,而且这些事件的可能性相同,其中事件 A出现m种结果,那么事件A的概率P(A)= .13.如图,正方形 的边长为1,将其绕顶点C按逆时针方向旋转一定角度到 位置,使得点B 落在对角线 上,则阴影部分的面积是______. 【答案】 【解析】 【分析】 如下图所示,△ENC、△MPF为等腰直角三角形,先求出 MB=NC= ,证明△PBC≌△PEC ,进而得到 EP=BP,设MP=x,则EP=BP= ,解出x,最后阴影部分面积等于2倍△BPC面积即可求解. 【详解】解:过E点作MN∥BC交AB、CD于M、N点,设AB与EF交于点P点,连接CP,如下图所示, ∵B在对角线CF上,∴∠DCE=∠ECF=45°,EC=1, 为 ∴△ENC 等腰直角三角形, ∴MB=CN= EC= , 又BC=AD=CD=CE,且CP=CP,△PEC和△PBC均为直角三角形, ∴△PEC≌△PBC(HL),∴PB=PE, 又∠PFB=45°,∴∠FPB=45°=∠MPE, ∴△MPE为等腰直角三角形, 设MP=x,则EP=BP= , ∵MP+BP=MB, ∴ ,解得 , ∴BP= , ∴阴影部分的面积= . 故答案为: . 【点睛】本题考查了正方形的性质及旋转的性质,本题关键是能想到过E点作BC的平行线,再证明 △ENC、△MPF为等腰直角三角形进而求解线段长. 14.观察下面的变化规律: ,…… 根据上面的规律计算: __________. 【答案】 【解析】 【分析】 本题可通过题干信息总结分式规律,按照该规律展开原式,根据邻项相消求解本题. 【详解】由题干信息可抽象出一般规律: ( 均为奇数,且 ). 故故答案: . 【点睛】本题考查规律的抽象总结,解答该类型题目需要准确识别题干所给的例子包含何种规律,严格按 照该规律求解. 三、解答题 15.计算: . 【答案】 【解析】 【分析】 根据绝对值的性质,特殊角的三角函数值,零次幂,负整数指数幂进行运算即可. 【详解】 【点睛】本题考查了绝对值的性质,特殊角的三角函数值,零次幂,负整数指数幂,熟知以上运算是解题 的关键. 16.如图,在矩形 中,过对角线 的中点O作 的垂线 ,分别交 于点 . (1)求证: ;(2)若 ,连接 ,求四边形 的周长. 【答案】(1)证明过程见解析;(2)25 【解析】 【分析】 (1)根据矩形的性质可得 , , ,即可证的两个三角形全等; (2)设 ,根据已知条件可得 ,由(1)可推得 ,可得ED=EB,可证 得四边形EBFD是菱形,根据勾股定理可得BE的长,即可求得周长; 【详解】(1)∵四边形ABCD是矩形, ∴ , , ∴ , 又∵ , ∴ , 在△DOE和△BOF中, , ∴ . (2)由(1)可得, , , ∴四边形BFDE是平行四边形, 在△EBO和△EDO中, , ∴ , ∴ , ∴四边形BFDE是菱形,根据 ,设 ,可得 , 在Rt 中,根据勾股定理可得: , △ABE 即 , 解得: , ∴ , ∴四边形 的周长= . 【点睛】本题主要考查了矩形的性质应用,结合菱形的判定与性质、全等三角形的判定进行求解是解题的 关键. 17.先化简,再求值: ,其中 . 【答案】 ,1. 【解析】 【分析】 括号内后面的分式分子、分母先分解因式,约分后进行分式的减法运算,然后再进行分式的除法运算进行 化简,最后把x的值代入进行计算即可. 【详解】 = = == , 当 时,原式= =1. 【点睛】本题考查了分式的混合运算——化简求值,涉及了二次根式的运算,分式的约分,分式的除法运 算、减法运算等,熟练掌握各运算的运算法则是解题的关键. 18.为保障学生的身心健康和生命安全,政府和教育职能部门开展“安全知识进校园”宣传活动.为了调查学 生对安全知识的掌握情况,从某中学随机抽取40名学生进行了相关知识测试,将成绩(成绩取整数)分为 “A:69分及以下,B:70~79分,C:80~89分,D:90~100分”四个等级进行统计,得到右边未画完整的 统计图: D组成绩的具体情况是: 分数(分) 93 95 97 98 99 人数(人) 2 3 5 2 1 根据以上图表提供的信息,解答下列问题: (1)请补全条形统计图; (2)D组成绩的中位数是_________分; (3)假设该校有1200名学生都参加此次测试,若成绩80分以上(含80分)为优秀,则该校成绩优秀的 学生人数约有多少人? 【答案】(1)见解析;(2)97;(3)690人. 【解析】 【分析】 (1)用总人数减去A、B、D三组的人数和即可得出C组的人数,然后补全条形统计图即可; (2)D组共有13人,把数据按照从小到大(从大到小)的顺序排列,找到中间第七个数据即可;(3)用1200乘以80分以上的人数所占的比例即可得出人数. 【详解】解:(1)∵随机抽取40名学生,根据条形统计图可以得出:A为5人,B为12人,D为13人, ∴C的人数为: , 补全条形统计图如下图: (2)D组共有13名学生,按照从小到大的顺序排列: 93、93、95、95、95、97、97、97、97、97、98、98、99 第七个数据为中位数,是97, 故答案为:97; (3)80分以上的是C、D两组,共有10+13=23人,所占的比列为:23÷40=0.575 所以1200名学生中80分以上的人数有:1200×0.575=690(人), 故答案为:690人. 【点睛】本题主要考查的是条形统计图,中位数以及用样本估计总体,解决本题的关键就是明确题意,找 出所求问题的条件,仔细计算. 19.今年疫情防控期间,某学校花2000元购买了一批消毒液以满足全体师生的需要.随着疫情的缓解以及 各种抗疫物资供应更充足,消毒液每瓶下降了2元,学校又购买了一批消毒液,花1600元购买到的数量与 第一次购买到的数量相等,求第一批购进的消毒液的单价. 【答案】第一批购进的消毒液的单价为10元. 【解析】 【分析】 设第一批购进的消毒液的单价为x元,根据两次购买到的数量相等可列出方程求解. 【详解】解:设第一批购进的消毒液的单价为x元, 根据题意可得: ,解得:x=10, 经检验,x=10是原方程的根, 答:第一批购进的消毒液的单价为10元. 【点睛】本题考查分式方程的应用,解题的关键是根据题中等量关系列出方程,分式方程要记得验根. 20.阅读下面的材料: 对于实数 ,我们定义符号 的意义为:当 时, ;当 时, ,如: . 根据上面的材料回答下列问题: (1) ______; (2)当 时,求x的取值范围. 【答案】(1)﹣1 ;(2)x≥ 【解析】 【分析】 (1)比较大小,即可得出答案; (2)根据题意判断出 解不等式即可判断x的取值范围. 【详解】解:(1)由题意得 ﹣1 故答案为:﹣1; (2)由题意得: 3(2x-3)≥2(x+2) 6x-9≥2x+4 4x≥13 X≥∴x的取值范围为x≥ . 【点睛】本题考查的是一元一次不等式的应用,根据题意理解新定义的计算公式是解题的关键. 21.“南天一柱”是张家界“三千奇峰”中的一座,位于世界自然遗产武陵源风景名胜区袁家界景区南端.2010 年1月25日,“南天一柱”正式命名为《阿凡达》的“哈利路亚山”.如图,航拍无人机以 的速度在空 中向正东方向飞行,拍摄云海中的“南天一柱”美景.在A处测得“南天一柱”底部C的俯角为 ,继续飞 行 到达B处,这时测得“南天一柱”底部C的俯角为 ,已知“南天一柱”的高为 ,问这架航拍无 人机继续向正东飞行是否安全?(参考数据: , , ) 【答案】安全 【解析】 【分析】 设无人机距地面xm,直线AB与南天一柱相交于点D,根据AD-BD=AB列方程求出x的值,与南天一柱 的高度比较即可. 【详解】解:设无人机距地面 xm,直线 AB 与南天一柱相交于点 D,由题意得∠CAD=37°, ∠CBD=45°. 在Rt△ACD中, ∵tan∠CAD= , ∴AD= . 在Rt△BCD中,∵tan∠CBD= , ∴BD= . ∵AD-BD=AB, ∴ - =9×6, ∴x=162, ∵162>150, ∴这架航拍无人机继续向正东飞行安全. 【点睛】本题考查解直角三角形的应用-仰角俯角问题,解题的关键是学会添加常用辅助线,构造直角三角 形解决问题,学会用构建方程的思想思考问题. 的 22.如图,在 中, ,以 为直径作 ,过点C作直线 交 延长线于点 D,使 . (1)求证: 为 的切线; (2)若 平分 ,且分别交 于点 ,当 时,求 的长. 【答案】(1)见解析;(2)EF= . 【解析】 【分析】(1)如图,连接OC,欲证明CD是 的切线,只需求得∠OCD= ; (2)由角平分线及三角形外角性质可得 ,即∠CEF=∠CFE,根据勾股 定理可求得EF的长. 【详解】 (1)证明:如图,连接OC ∵ 为 的直径 ∴ ,即∠A+∠ABC= 又∵OC=OB ∴∠ABC=∠OCB ∵ ∴∠BCD+∠OCB= ,即∠OCD= ∵OC是圆O的半径 ∴CD是 的切线. (2)解:∵ 平分 ∴∠CDE=∠ADE 又∵ ∴ ,即∠CEF=∠CFE ∵∠ACB= , ∴CE=CF=2 ∴EF= 【点睛】此题主要考查切线的判定方法、角平分线及三角形外角性质和勾股定理,熟练进行推理论证是解题关键. 23.如图,抛物线 交x轴于 两点,交y轴于点C.直线 经过点 . (1)求抛物线的解析式; (2)抛物线的对称轴l与直线 相交于点P,连接 ,判定 的形状,并说明理由; (3)在直线 上是否存在点M,使 与直线 的夹角等于 的2倍?若存在,请求出点M的 坐标;若不存在,请说明理由. 【答案】(1) ;(2) 的为直角三角形,理由见解析;(3)存在使 与直线 的夹角等于 的2倍的点,且坐标为M( ),M( , ). 1 2 【解析】 【分析】 (1)先根据直线 经过点 ,即可确定B、C的坐标,然后用带定系数法解答即可; (2)先求出A、B的坐标结合抛物线的对称性,说明三角形APB为等腰三角形;再结合OB=OC得到 ∠ABP=45°,进一步说明∠APB=90°,则∠APC=90°即可判定 的形状; (3)作AN⊥BC于N,NH⊥x轴于H,作AC的垂直平分线交BC于M1,AC于E;然后说明△ANB为 等腰直角三角形,进而确定N的坐标;再求出AC的解析式,进而确定ME的解析式;然后联立直线BC 1 和ME的解析式即可求得M 的坐标;在直线BC上作点M 关于N点的对称点M,利用中点坐标公式即可 1 1 1 2 确定点M 的坐标 2 【详解】解:(1)∵直线 经过点∴当x=0时,可得y=5,即C的坐标为(0,5) 当y=0时,可得x=5,即B的坐标为(5,0) ∴ 解得 的 ∴该抛物线 解析式为 (2) 的为直角三角形,理由如下: ∵解方程 =0,则x=1,x=5 1 2 ∴A(1,0),B(5,0) ∵抛物线 的对称轴l为x=3 ∴△APB为等腰三角形 ∵C的坐标为(5,0), B的坐标为(5,0) ∴OB=CO=5,即∠ABP=45° ∴∠ABP=45°, ∴∠APB=180°-45°-45°=90° ∴∠APC=180°-90°=90° ∴ 的为直角三角形; (3)如图:作AN⊥BC于N,NH⊥x轴于H,作AC的垂直平分线交BC于M1,AC于E, ∵M A=MC, 1 1 ∴∠ACM=∠CAM 1 1 ∴∠AM B=2∠ACB 1 ∵△ANB为等腰直角三角形. ∴AH=BH=NH=2 ∴N(3,2) 设AC的函数解析式为y=kx+b ∵C(0,5),A(1,0) ∴ 解得b=5,k=-5 ∴AC的函数解析式为y=-5x+5设EM 的函数解析式为y= x+n 1 ∵点E的坐标为( ) ∴ = × +n,解得:n= ∴EM 的函数解析式为y= x+ 1 ∵ 解得 ∴M 的坐标为( ); 1 在直线BC上作点M 关于N点的对称点M 1 2 设M(a,-a+5) 2 则有:3= ,解得a= ∴-a+5= ∴M 的坐标为( , ). 2 综上,存在使 与直线 的夹角等于 的2倍的点,且坐标为M( ),M( , 1 2 ).【点睛】本题属于二次函数与几何的综合题,主要考查了待定系数法确定函数解析式、等腰直角三角形的 判定与性质、一次函数图像、三角形外角等知识,考查知识点较多,综合应用所学知识成为解答本题的关 键.本试卷的题干、答案和解析均由组卷网(http://zujuan.xkw.com)专业教师团队编校出品。 登录组卷网可对本试卷进行单题组卷、细目表分析、布置作业、举一反三等操作。 试卷地址:在组卷网浏览本卷 组卷网是学科网旗下的在线题库平台,覆盖小初高全学段全学科、超过900万精品解析试题。 关注组卷网服务号,可使用移动教学助手功能(布置作业、线上考试、加入错题本、错题训练)。 学科网长期征集全国最新统考试卷、名校试卷、原创题,赢取丰厚稿酬,欢迎合作。 钱老师 QQ:537008204 曹老师 QQ:713000635