当前位置:首页>文档>2016数学一解析_26.考研数学(一)(二)(三)真题_26.1考研数学(一)真题_02.1987-2025年数一真题答案解析

2016数学一解析_26.考研数学(一)(二)(三)真题_26.1考研数学(一)真题_02.1987-2025年数一真题答案解析

  • 2026-04-03 10:07:57 2026-02-23 17:24:45

文档预览

2016数学一解析_26.考研数学(一)(二)(三)真题_26.1考研数学(一)真题_02.1987-2025年数一真题答案解析
2016数学一解析_26.考研数学(一)(二)(三)真题_26.1考研数学(一)真题_02.1987-2025年数一真题答案解析
2016数学一解析_26.考研数学(一)(二)(三)真题_26.1考研数学(一)真题_02.1987-2025年数一真题答案解析
2016数学一解析_26.考研数学(一)(二)(三)真题_26.1考研数学(一)真题_02.1987-2025年数一真题答案解析
2016数学一解析_26.考研数学(一)(二)(三)真题_26.1考研数学(一)真题_02.1987-2025年数一真题答案解析
2016数学一解析_26.考研数学(一)(二)(三)真题_26.1考研数学(一)真题_02.1987-2025年数一真题答案解析
2016数学一解析_26.考研数学(一)(二)(三)真题_26.1考研数学(一)真题_02.1987-2025年数一真题答案解析
2016数学一解析_26.考研数学(一)(二)(三)真题_26.1考研数学(一)真题_02.1987-2025年数一真题答案解析
2016数学一解析_26.考研数学(一)(二)(三)真题_26.1考研数学(一)真题_02.1987-2025年数一真题答案解析
2016数学一解析_26.考研数学(一)(二)(三)真题_26.1考研数学(一)真题_02.1987-2025年数一真题答案解析

文档信息

文档格式
pdf
文档大小
2.839 MB
文档页数
10 页
上传时间
2026-02-23 17:24:45

文档内容

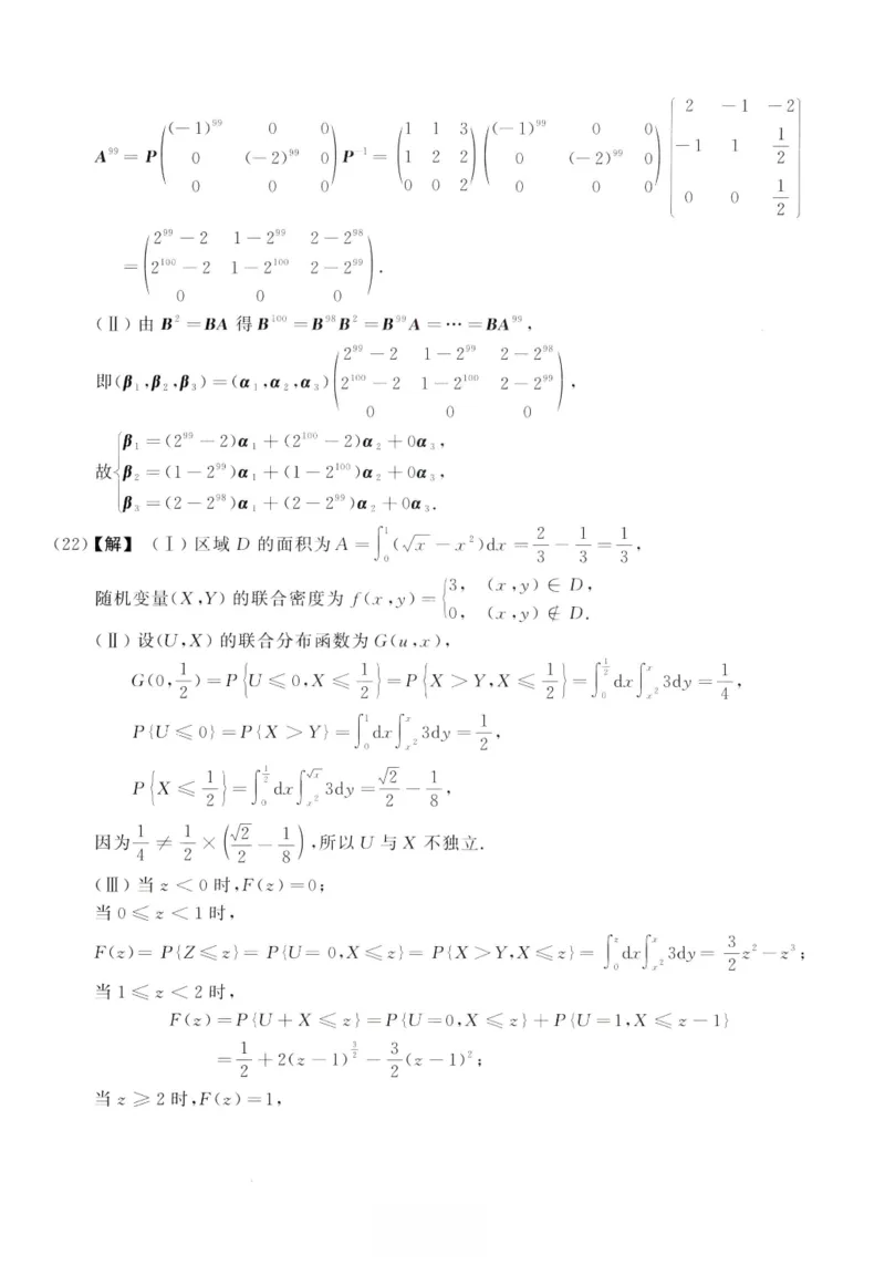
2016年数学(一)真题解析 一、选择题 (1)【答案】(O. 「+°° dx 1 cLz * djr 【解】 0 ( 1 + j? )6 o j?"(l +工)" 1 壬“( 1+ 工)" 1打:收敛得a VI, 由 lim x =]且 -------------------T 工― o+ (1+" 0 X ( 十工) 『+°° Hr 再由lim xa+b •——-——=1且 a(. ,—GT 收敛得 a + b > 1 , 工一*+°° 才(1 +无)" 1 X ( 1十无) 即a V 1且a + b〉1 9应选(C). (2) 【答案】(D). (jt — 1)2 C x V 19 【解】F () = /(jr )djr = jr(lnx 一 1)+C + 1, x 1. ° < 4应选(D). 取C=O得f (jr )的一个原函数为F(z) = j? (In j? 一 1) + 】9 工 $1. (3) 【答案】(A). 【解】 设小=(1 +小2 —馅+川,兀=(1+工2)2十丿1+川, 由线性微分方程解的结构得g —小=2/1+/为,+ 〃(工)夕=0的解, 代入得-- —-----p(-T)• 2 \/1 + JC 2 =0,解得 P(.JC ) =一 -一~2 ; 再由线性微分方程解的结构,得"严 =(1+小2为“ + p(_z)y =q&)的解,代入得 4z (1 + )-----------7 • ( 1 + 2 )2 = q(=),解得 q (jt ) =3jt (1 + JC 2 ),应选(A). 1十工 (4)【答案】(D). 【解】/ (0) = 0 , lim /( J:' ) = 0 , lim /(jc ) = lim 丄=0 , x-^o~ ’-()+ "f8 n 由/(0) =/(0-0) =/(0十0) = 0得于(工)在工=0处连续. 由 lim —八°? = lim - = 1 得 (0) =1; 力 j--*0 无 丄 [. /(JT ) — / (0) n lim -------------------= lim —, —+ 无 z-o+工 由一V 乂 V 丄得: V 冷■ V 19从而 lim — = 19于是 F+ (0)=19 Ti + l n ??十 1 1 丄一0+ 1 n n 因为/'I (0) = f\ (0) =1?所以/ (壬)在z = 0处可导9应选(D).⑸【答案】(C). 【解】 由A与B相似可知,存在可逆矩阵P,使得P lAP =B. 「, 对 P }AP =B 两边取转置得PtAt(P_1)t =Bt,或[(PT)t]TaT[(pT)t] =b 即At 与Bt 相似,(A)正确; 由P AP =B得P A1 P =B 1,即与 矿|相似,(E)正确; 由 P AP =B 及 P A~ P =B "得 P _1(A 十A i )P =於 +B 1 , 即A +A^'与B +B 1相似,(D)正确,应选(C). (6)【答案】(E). /I 2 2 【解】 二次型的矩阵为A = 2 1 2 '2 2 1 A - 1 -2 -2 由—A | = -2 A - 1 —2 = (A + 1 )2 (A 一 5)=0 得 -2 - 2 A — 1 矩阵A的特征值为入1 = 5,入2 — A 3 =一1, 二次型的规范形为f (Jr 1,工2,z3)=5祈一 y \ — yl, 从而/'(厂,工2,工3)=2表示的曲面为5j;i —yl —3/3 =2,该曲面表示双叶双曲面,应选(E). (7)【答案】(E). 【解】 由X〜N(〃,川)得士H 〜n (0,1), (J p =p{x + f 4-00 因为0 VbVl,所以A! < 0,A2 < 0,从而 e 1 dr与 「’dr都收敛. J J 0 0 该方程的通解为y = C] eA 11 + C2e2'T , r+8 f+°° A ,- r+°° x r f+«> 由 | y(_z)cLz=Ci| e 1 dj? + C2 e"dz,得 | y(_z)(lr 收敛. Jo Jo J 0 J o(d )方法— 由入 1 V 0,入 2 V 0 得 lim yCx)— lim (C\ + ) = 0 , lim 3/(2 ) = lim (C\入]e",+ C2A )=。9 才 ~»■ | ■ OO J7 —>-|-OO 「+ 「「+°° oo i r+°° ~i 于是J 丿(工)dr =—万 j/'(h )dz + 2』j/z (jc )djr J 9 I +°° 再由 y\x )dj? =j/(z ) =— j/(0)=—], o 10 「+00 3/(工)dz =y Cx) =—j/(0)=—], J 0 0 r+°° 3 得 y (攵)dj?=—. j 0 k G + C2 =1, 方法二 将 y(0) = l,j/(0) = 1 代入 y =C}e + C2eAz 得 A 1 Ci 十 A 2C2 — 1. 1—心 _2 + Jl—b 解得Ci 入 1 —入 2 2 — k ") 2 y (工)dz = — ~k (17)【解】 方法一 由=(2工+1用~得 f (x ,y) = *e~yj(2_z + l)d(e2j ) +爭(y) =*「,[(2工 + 1) e2x — 2 J e21 dr] + 甲(_y) =x e1~y (f)Cy). 由 /'(o,y)=y +1 得爭(夕)=y + i,于是 /'&,,)=工 + 夕 +1. °f〈工,:y) 一工宀+1, 令p“)=答a, q(“)="m 3y 学=—(2_z + , 学=—(2h + 1)/ v dy ox 因为学=学,所以曲线积分与路径无关, dy dx 于是 I(t) =「(2 工十 l)e2j djr +「(1 — ei)dy =t +尹’. J 0 Jo 由 I/(l)=l-e2~t = 0 得 t =2, 因为r(o =e2~z > 0,所以当t =2时,I(i)取最小值,最小值为M2) =3. 方法二 由‘夕)=(2工 + 1)e2j~y 得 /~(工,夕)=x &"T^y +卩($), OX 由 /(0,夕)=夕 + 1 得卩(夕)=丿 + 1,从而 /() = x e2j'~y + y + 1 ・ 于是 I(t) =[ d/(a- ,y) = /(1,Z)-/(0,0)=誉一'+t. 由 I' Ct) =1 — e2~l = 0 得 t =2, 当t < 2时,厂(/) < 0;当r > 2时,厂(r) > 0,则r = 2时J(r)取最小值,且最小值为 /⑵=3.(18)[解】 由高斯公式得 / =』(J?2 + l)dydz — 2ydzdx + 3ncLz d (2乂 + 1 )du 9 2 n 而 J^=|X|X2><1><1=| n IFdv== ■2(l-x) dy dz = 1-H -专) 0 o Q =\ jc (1 — j? )2 djr = , J o 12 故 T + 2X” (19)【证明】 (I)I S+i —H” |= | f(.X„ )—/(:{■„_!)|= | y'(W)Cz” 一Z”_i)丨,其中 $ 介于工 n ” —t\ 与工”之间. 因为 0 所以丨 Z”+i— Z” $*|_Z”一 >Z”_i | , 卄1 由递推关系得丨工卄 —工”丨W -―^丨工 —工 1 2 1 I • 因为级数工——[\ X 2 — \ |收敛,所以工丨H ”+i — H” |收敛, ” =1 力 n = 1 故级数工(工”+ — 乂”)绝对收敛. 1 n = l (11 )级数 > (工卄 一工”)的部分和为 1 n = 1 S” =(^2— 工1)+(工 3 一 攵2)+ …+(工卄 1 一 久”)=工”+ 1 —Xi, 因为级数丫(工”+1 — jr „ )收敛,即limS”存在,所以limz”存在. ” =] nf8 ”-*8 令 limz” =a,s+i = f Cx „)及函数 )的连续性得 a = f (a). n f 00 令9? (jr ) =x — /(jr ),即z =a为爭(工)的零点. 因为爭(0) = — /(0) = 一 1, 9? (2) = 2 -/(2) =1 - [/(2) - f(0)]=l-2/,(V) >0,其中 7 6 (0,2), 所以(p(x)在(0,2)内有零点. 又因为卩'(工)=1 —/'(工)> 0,所以卩(2)只有唯一的一个零点,且位于(0,2)内, 于是 0 < a V 2 9 即 0 Vlimj? < 2. ”f 8 (20)【解】方法一 /1 -1 -1 : 2 2 1 _ 1 -1 2 2 (A : B)= 2 a 1 1 a 0 a + 2 3 -3 a 一 4 1 1 a 一 a 一 1 2 0 0 a -1 1 一 a 0 当a工一2 且a H 1时, 3a 1 0 0 1 I1 -1 -1 2 2 \ a + 2 CA \ B) 0 a + 2 3 —3 a -4 a 一 4 '0 0 / 0 1 0 0 0 1 -1 a + 2 0 0 1 -1 03a 1 a + 2 AX =B 有唯一解,X =A~ B = a 一 4 a + 2 -1 0 I1 -1 -1 : 2 2 \ 卩 0 0 1 1 \ 7卜 当 a = 1 时,(A i B) [0 3 3 -3 0 1 1 —1 -1 'o 0 / 0 0 0 0 ' 0 0 0 由r(A) =r(A : B) =2 < 3得AX =B有无数个解, 令 X = (X| ,x2), l°\ 1 / 0 \ 1 \ 1 1 \ 由 X]=紅(一 1 + k i - 1 ,X?=怡2 1 + -1 = —QT 得 ' 1丿 ' 0 / X = I — k ! — 1 — ^2 _ 1 j1 为任意常数). '紅 k2 ' 4 I ° 1 -1 -1 2 2 \ I1 -1 -1 2 2\ a = 一 2 时,(A ; B ) 0 3 —3 -6 -» 0 0 1 -1 0 0 / J '0 0 -3 3 '0 0 0 0 因为r(A)Hr(A ; B),所以AX = B无解. 1 - 1 - 1 1 -1 -1 方法二 | A | = 2 a 1 = 0 a + 2 3 =(a + 2) (a 一 1) -1 1 a () 0 a 一 1 当a工一 2且a H 1时,因为r(A ) =r(A B) =3,所以AX =B有唯一解, 1 0 0 1 4Z°1 -1 -1 2 2 \ a + 2 由(A丨B) t a + 2 3 —3 a 一 4 亠 a — 4 0丿 0 1 0 0 a + 2 0 1 -1 0 0 1 _ 1 0 3a 1 a + 2 o 得 a — 4 a + 2 —1 0 1 — 1 — 1 :2 2 \ 0 0 1 1 \ 7卜 当 a =1 时,(A ; B)--0 3 3 -3 [0 I 1 —1 -1 'o 0 / 0 0 ;0 0 ' 0 0 0 由r(A) =r(A丨B)=2V3得AX=B有无数个解, 令 X = (X1 ,X2),1 1 10 \ t卜 /1 1 / 1 \ 由Xi -1丿 十紅—1 ,X2=H — 1 十 -1 =—紅―1 得 \ 0丿 \ 11 0丿 ' k2丿 1 一紅一1)(4,紅为任意常数). X= 7—1 k2 ' Z1 -1 —1 2 2 卩 -1 -1 2 2\ a = 一 2 时,(A ! B ) - 0 3 ; -3 -6 0 0 1 -1 'o 0丿 '() 0 -3 i 3 0 0 0 因为r(A) r(A \ If),所以AX =B无解. A 1 -1 (21)【解】(I )由丨AE-A | = —2 入 + 3 0 =A (A + 1)(A + 2) 0得 0 0 矩阵A的特征值为A ! = — 1 ,入2 = — 2 ,入3 =0. 1 -1 \ I1 1 °\ 卜0 J 将右 —1 代入(AE-A)X= 0.由一E-A= -2 2 0 0 得入1 —1对 ' 0 0/ 0 -1 '0 0 1 应的特征向量为了 0 丄 -2 1 1 1 0 将入2 = —2 代入(AE -A)X =0,由一2E-A -2 I 0 得 0 0 1 0 0 -2 0 0 0J : 入2 =-2对应的特征向量为S 0 _ _3 ,o I 1 1 0 将入3 =0代入QE — A)X (),由一 A = -2 3 0 得入3 0对应 0 1 -1 0 0 0 0 0 0 3 的特征向量为S 2 I1 1 3\ 1/T 0 °\ 令P =「I 2 2 ,由 P AP = 0 _ 2 <> 得 'o 0 2' ' 0 0 o'2 -1 —2 0 0\ I1 1 3\ /<- D" 0 1 d —1 1 A" =p 0 Th <> =1 2 0 (-2)" 2 ' 0 0 0丿 'o 0 2' \ 0 0 0 丄 0 0 I299 — 2 1 - 2" 2 —- 298 \ =2 00 — 2 1 — 2100 2 — 2" 0 0 o / cn )由 B2 =BA 得 “100 = B9SB2 == B"A = …=BA99 9 -2 1 --2" 2 -2笃 即(p^p2'03)= (a ] 9 a 2 9«3) olOO -2 1 --2100 2 —2" 9 \ 0 0 0丿 (2" - 2)a i + (2100 _ 2)a2 + 0a 3 故<02 = (1-2")a 1 + (1 -2100) a 2 + 0a 3, 见= (2 - 298 )a j + (2 -299 )a + 0a3. (22)【解】(I )区域D的面积为A = P(VT-^ 丄_丄 2)djr J 0 3, (无9丿)G D, 随机变量(X,Y)的联合密度为= 0, (•Z 9)) @ D. ( ), (n)设(u,x)的联合分布函数为g "“ G(0,*) p{u w 0,X w * =P X > Y,X w 2归 丄 0 当0 < < 1时, 3 2 F(z)= P{Z^z}= P{U= O,XY,X ^z}= 一 z3 当1 < z < 2时, F(z)=P{U + XWn}=P{U = 0,XWJ+P{U = 1,XWz — 1} 1 A |(z-l)2; =㊁ + 2(z_l)2 当 z > 2 时,F(z) =1,0, Z V 0, —z2 — z3 , 0Wz