当前位置:首页>文档>156.2026周洋鑫考研数学(高数强化22)_04.2026考研数学周洋鑫数学笑过_00.随课资料

156.2026周洋鑫考研数学(高数强化22)_04.2026考研数学周洋鑫数学笑过_00.随课资料

  • 2026-04-09 22:39:24 2026-02-24 23:48:31

文档预览

156.2026周洋鑫考研数学(高数强化22)_04.2026考研数学周洋鑫数学笑过_00.随课资料
156.2026周洋鑫考研数学(高数强化22)_04.2026考研数学周洋鑫数学笑过_00.随课资料
156.2026周洋鑫考研数学(高数强化22)_04.2026考研数学周洋鑫数学笑过_00.随课资料
156.2026周洋鑫考研数学(高数强化22)_04.2026考研数学周洋鑫数学笑过_00.随课资料
156.2026周洋鑫考研数学(高数强化22)_04.2026考研数学周洋鑫数学笑过_00.随课资料
156.2026周洋鑫考研数学(高数强化22)_04.2026考研数学周洋鑫数学笑过_00.随课资料
156.2026周洋鑫考研数学(高数强化22)_04.2026考研数学周洋鑫数学笑过_00.随课资料
156.2026周洋鑫考研数学(高数强化22)_04.2026考研数学周洋鑫数学笑过_00.随课资料
156.2026周洋鑫考研数学(高数强化22)_04.2026考研数学周洋鑫数学笑过_00.随课资料
156.2026周洋鑫考研数学(高数强化22)_04.2026考研数学周洋鑫数学笑过_00.随课资料

文档信息

文档格式
pdf
文档大小
1.789 MB
文档页数
10 页
上传时间
2026-02-24 23:48:31

文档内容

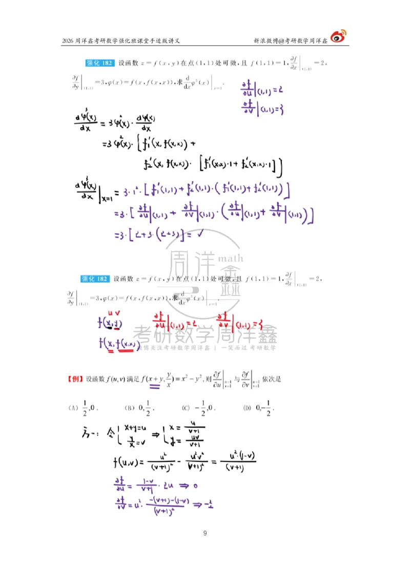
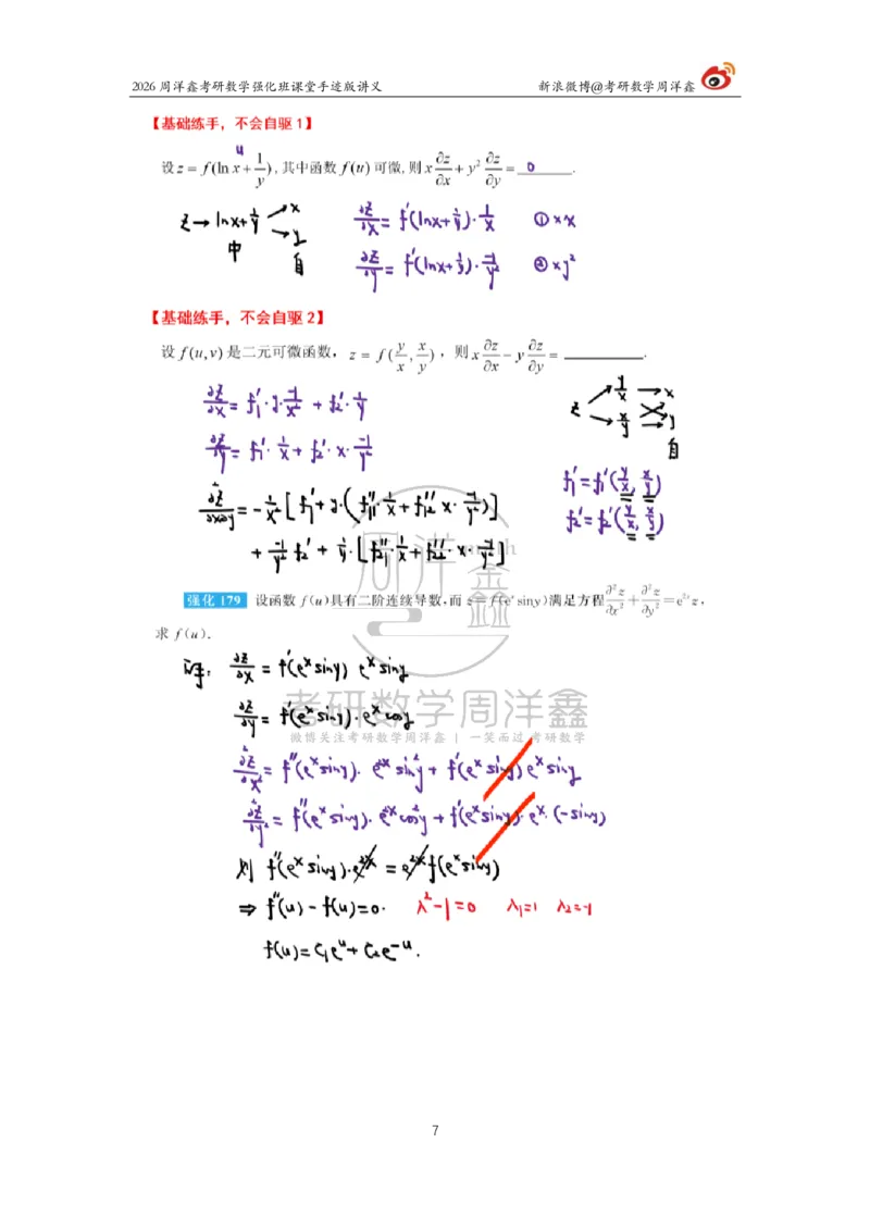
2026周洋鑫考研数学强化班课堂手迹版讲义 新浪微博@考研数学周洋鑫 2026 考研数学基础班课堂手迹版讲义 新浪微博:考研数学周洋鑫 高等数学强化班(22) 12026周洋鑫考研数学强化班课堂手迹版讲义 新浪微博@考研数学周洋鑫 22026周洋鑫考研数学强化班课堂手迹版讲义 新浪微博@考研数学周洋鑫 32026周洋鑫考研数学强化班课堂手迹版讲义 新浪微博@考研数学周洋鑫 42026周洋鑫考研数学强化班课堂手迹版讲义 新浪微博@考研数学周洋鑫 52026周洋鑫考研数学强化班课堂手迹版讲义 新浪微博@考研数学周洋鑫 62026周洋鑫考研数学强化班课堂手迹版讲义 新浪微博@考研数学周洋鑫 72026周洋鑫考研数学强化班课堂手迹版讲义 新浪微博@考研数学周洋鑫 82026周洋鑫考研数学强化班课堂手迹版讲义 新浪微博@考研数学周洋鑫 92026周洋鑫考研数学强化班课堂手迹版讲义 新浪微博@考研数学周洋鑫 10