当前位置:首页>文档>176.2026周洋鑫考研数学(概率强化6)_04.2026考研数学周洋鑫数学笑过_00.随课资料

176.2026周洋鑫考研数学(概率强化6)_04.2026考研数学周洋鑫数学笑过_00.随课资料

  • 2026-04-09 04:06:29 2026-02-24 23:58:21

文档预览

176.2026周洋鑫考研数学(概率强化6)_04.2026考研数学周洋鑫数学笑过_00.随课资料
176.2026周洋鑫考研数学(概率强化6)_04.2026考研数学周洋鑫数学笑过_00.随课资料
176.2026周洋鑫考研数学(概率强化6)_04.2026考研数学周洋鑫数学笑过_00.随课资料
176.2026周洋鑫考研数学(概率强化6)_04.2026考研数学周洋鑫数学笑过_00.随课资料
176.2026周洋鑫考研数学(概率强化6)_04.2026考研数学周洋鑫数学笑过_00.随课资料
176.2026周洋鑫考研数学(概率强化6)_04.2026考研数学周洋鑫数学笑过_00.随课资料
176.2026周洋鑫考研数学(概率强化6)_04.2026考研数学周洋鑫数学笑过_00.随课资料
176.2026周洋鑫考研数学(概率强化6)_04.2026考研数学周洋鑫数学笑过_00.随课资料
176.2026周洋鑫考研数学(概率强化6)_04.2026考研数学周洋鑫数学笑过_00.随课资料
176.2026周洋鑫考研数学(概率强化6)_04.2026考研数学周洋鑫数学笑过_00.随课资料
176.2026周洋鑫考研数学(概率强化6)_04.2026考研数学周洋鑫数学笑过_00.随课资料
176.2026周洋鑫考研数学(概率强化6)_04.2026考研数学周洋鑫数学笑过_00.随课资料
176.2026周洋鑫考研数学(概率强化6)_04.2026考研数学周洋鑫数学笑过_00.随课资料

文档信息

文档格式
pdf
文档大小
1.858 MB
文档页数
13 页
上传时间
2026-02-24 23:58:21

文档内容

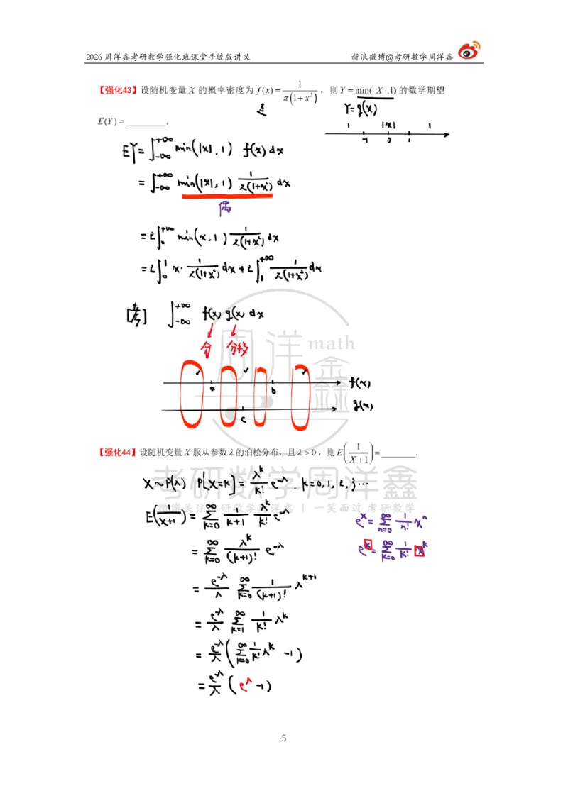
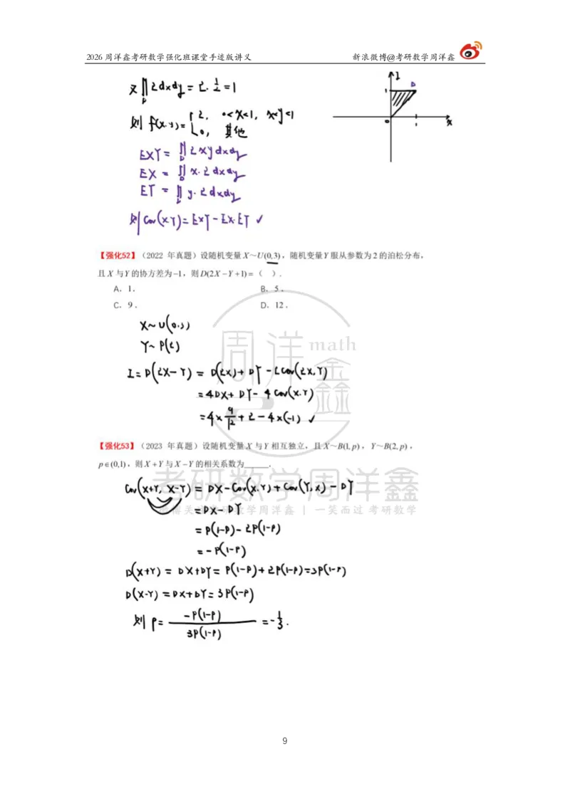
2026周洋鑫考研数学强化班课堂手迹版讲义 新浪微博@考研数学周洋鑫 2026 考研数学基础班课堂手迹版讲义 新浪微博:考研数学周洋鑫 概率统计强化班(6) 12026周洋鑫考研数学强化班课堂手迹版讲义 新浪微博@考研数学周洋鑫 22026周洋鑫考研数学强化班课堂手迹版讲义 新浪微博@考研数学周洋鑫 32026周洋鑫考研数学强化班课堂手迹版讲义 新浪微博@考研数学周洋鑫 42026周洋鑫考研数学强化班课堂手迹版讲义 新浪微博@考研数学周洋鑫 52026周洋鑫考研数学强化班课堂手迹版讲义 新浪微博@考研数学周洋鑫 62026周洋鑫考研数学强化班课堂手迹版讲义 新浪微博@考研数学周洋鑫 72026周洋鑫考研数学强化班课堂手迹版讲义 新浪微博@考研数学周洋鑫 82026周洋鑫考研数学强化班课堂手迹版讲义 新浪微博@考研数学周洋鑫 92026周洋鑫考研数学强化班课堂手迹版讲义 新浪微博@考研数学周洋鑫 102026周洋鑫考研数学强化班课堂手迹版讲义 新浪微博@考研数学周洋鑫 112026周洋鑫考研数学强化班课堂手迹版讲义 新浪微博@考研数学周洋鑫 122026周洋鑫考研数学强化班课堂手迹版讲义 新浪微博@考研数学周洋鑫 13