当前位置:首页>文档>(19)--1.8笔记小结_01.2026考研数学有道武忠祥刘金峰全程班_01.2026考研数学武忠祥刘金峰全程班_00.书籍和讲义_{3}--全部课件

(19)--1.8笔记小结_01.2026考研数学有道武忠祥刘金峰全程班_01.2026考研数学武忠祥刘金峰全程班_00.书籍和讲义_{3}--全部课件

  • 2026-04-07 11:25:39 2026-02-25 00:00:01

文档预览

(19)--1.8笔记小结_01.2026考研数学有道武忠祥刘金峰全程班_01.2026考研数学武忠祥刘金峰全程班_00.书籍和讲义_{3}--全部课件
(19)--1.8笔记小结_01.2026考研数学有道武忠祥刘金峰全程班_01.2026考研数学武忠祥刘金峰全程班_00.书籍和讲义_{3}--全部课件
(19)--1.8笔记小结_01.2026考研数学有道武忠祥刘金峰全程班_01.2026考研数学武忠祥刘金峰全程班_00.书籍和讲义_{3}--全部课件
(19)--1.8笔记小结_01.2026考研数学有道武忠祥刘金峰全程班_01.2026考研数学武忠祥刘金峰全程班_00.书籍和讲义_{3}--全部课件
(19)--1.8笔记小结_01.2026考研数学有道武忠祥刘金峰全程班_01.2026考研数学武忠祥刘金峰全程班_00.书籍和讲义_{3}--全部课件
(19)--1.8笔记小结_01.2026考研数学有道武忠祥刘金峰全程班_01.2026考研数学武忠祥刘金峰全程班_00.书籍和讲义_{3}--全部课件
(19)--1.8笔记小结_01.2026考研数学有道武忠祥刘金峰全程班_01.2026考研数学武忠祥刘金峰全程班_00.书籍和讲义_{3}--全部课件
(19)--1.8笔记小结_01.2026考研数学有道武忠祥刘金峰全程班_01.2026考研数学武忠祥刘金峰全程班_00.书籍和讲义_{3}--全部课件

文档信息

文档格式
pdf
文档大小
0.969 MB
文档页数
8 页
上传时间
2026-02-25 00:00:01

文档内容

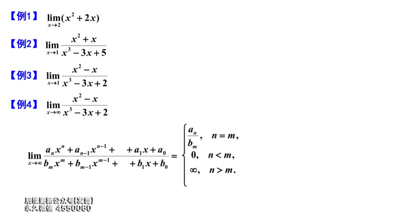
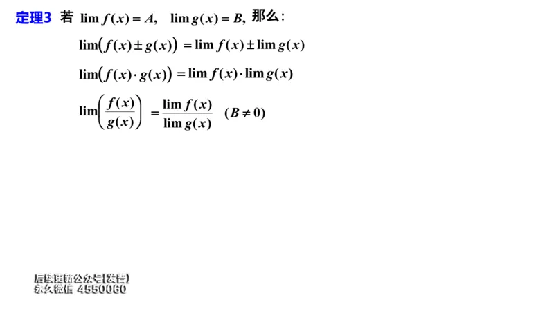
第一章 函数与极限 第五节 极限运算法则定理1 两个无穷小的和是无穷小. 有界函数与无穷小的乘积是无穷小. 定理2 推论1 常数与无穷小的乘积是无穷小. 推论2 有限个无穷小的积仍是无穷小.若 那么: 定理3 lim f (x)  A, lim g(x)  B,   lim f (x)  g(x)  lim f ( x)  lim g( x)   lim f (x) g(x)  lim f (x) lim g(x)  f ( x)  lim f ( x) lim   (B  0)  g( x)  lim g( x)推论1 如果 lim f (x) 存在,而 c 为常数,那么   lim cf (x)  c lim f (x) 推论1 如果 lim f (x) 存在,而 n 是正整数,那么 lim  f (x) n  [lim f (x)] n 定理4 设 lima  a,limb  b, 则 n n n n (1) lim(a  b )  lima  limb  a  b; n n n n n n n (2) lim(a b )  lima limb  ab; n n n n n n n lim a a a n (3) lim n  n  . ( b  0) n b lim b b n n n【例1】 lim(x 2  2x) x2 x 2  x 【例2】 lim x1 x 3  3x  5 x 2  x 【例3】 lim x1 x 3  3x  2 x 2  x 【例4】 lim x x 3  3x  2 a n , n  m,  b a x n  a x n1   a x  a  m lim n n1 1 0   0, n  m, x b x m  b x m1   b x  b  m m1 1 0 , n  m.  那么 定理5 如果 (x) (x), 而 lim(x)  A, lim(x)  B, A  B. 定理6 设 y  f [g( x)] 是由 y  f (u), u  g( x) 复合而成, lim g( x)  u 且 lim f (u)  a, 当 x U(x , ) 时, 0 xx uu 0 0 0 0 g(x)  u , 则 li m f [g(x)]  a. 0 xx 0内容小结 1. 极限运算法则 (1) 无穷小运算法则 (2) 极限四则运算法则 注意使用条件 (3) 复合函数极限运算法则 2. 求函数极限的方法 (1) 分式函数极限求法 1) x  x 时, 用代入法 ( 要求分母不为 0 ) 0 0 2) x  x 时, 对 型 , 约去分母零因子 0 0 3) x   时 , 分子分母同除最高次幂 “ 抓大头” (2) 复合函数极限求法 设中间变量作业 : ( )( )( ); ; P45 1 12 13 14 3; 4 5.