当前位置:首页>文档>189.2026周洋鑫考研数学(高能冲刺8)_04.2026考研数学周洋鑫数学笑过_00.随课资料

189.2026周洋鑫考研数学(高能冲刺8)_04.2026考研数学周洋鑫数学笑过_00.随课资料

  • 2026-04-11 12:00:22 2026-02-25 00:04:30

文档预览

189.2026周洋鑫考研数学(高能冲刺8)_04.2026考研数学周洋鑫数学笑过_00.随课资料
189.2026周洋鑫考研数学(高能冲刺8)_04.2026考研数学周洋鑫数学笑过_00.随课资料
189.2026周洋鑫考研数学(高能冲刺8)_04.2026考研数学周洋鑫数学笑过_00.随课资料
189.2026周洋鑫考研数学(高能冲刺8)_04.2026考研数学周洋鑫数学笑过_00.随课资料
189.2026周洋鑫考研数学(高能冲刺8)_04.2026考研数学周洋鑫数学笑过_00.随课资料
189.2026周洋鑫考研数学(高能冲刺8)_04.2026考研数学周洋鑫数学笑过_00.随课资料
189.2026周洋鑫考研数学(高能冲刺8)_04.2026考研数学周洋鑫数学笑过_00.随课资料
189.2026周洋鑫考研数学(高能冲刺8)_04.2026考研数学周洋鑫数学笑过_00.随课资料

文档信息

文档格式
pdf
文档大小
1.477 MB
文档页数
8 页
上传时间
2026-02-25 00:04:30

文档内容

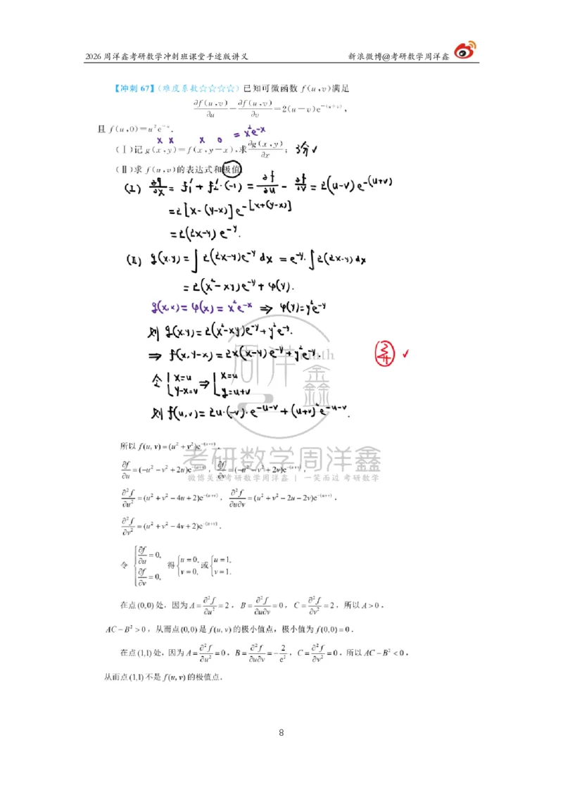
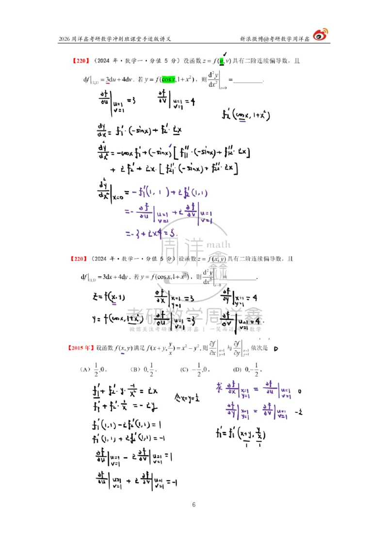
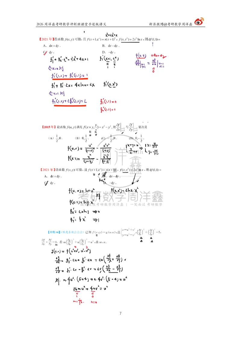
2026周洋鑫考研数学冲刺班课堂手迹版讲义 新浪微博@考研数学周洋鑫 2026 考研数学冲刺班课堂手迹版讲义 新浪微博:考研数学周洋鑫 高能冲刺(8) 12026周洋鑫考研数学冲刺班课堂手迹版讲义 新浪微博@考研数学周洋鑫 22026周洋鑫考研数学冲刺班课堂手迹版讲义 新浪微博@考研数学周洋鑫 32026周洋鑫考研数学冲刺班课堂手迹版讲义 新浪微博@考研数学周洋鑫 42026周洋鑫考研数学冲刺班课堂手迹版讲义 新浪微博@考研数学周洋鑫 52026周洋鑫考研数学冲刺班课堂手迹版讲义 新浪微博@考研数学周洋鑫 62026周洋鑫考研数学冲刺班课堂手迹版讲义 新浪微博@考研数学周洋鑫 72026周洋鑫考研数学冲刺班课堂手迹版讲义 新浪微博@考研数学周洋鑫 8