当前位置:首页>文档>(25)--2.1笔记小结_01.2026考研数学有道武忠祥刘金峰全程班_01.2026考研数学武忠祥刘金峰全程班_00.书籍和讲义_{3}--全部课件

(25)--2.1笔记小结_01.2026考研数学有道武忠祥刘金峰全程班_01.2026考研数学武忠祥刘金峰全程班_00.书籍和讲义_{3}--全部课件

  • 2026-04-12 10:15:21 2026-02-25 03:44:32

文档预览

(25)--2.1笔记小结_01.2026考研数学有道武忠祥刘金峰全程班_01.2026考研数学武忠祥刘金峰全程班_00.书籍和讲义_{3}--全部课件
(25)--2.1笔记小结_01.2026考研数学有道武忠祥刘金峰全程班_01.2026考研数学武忠祥刘金峰全程班_00.书籍和讲义_{3}--全部课件
(25)--2.1笔记小结_01.2026考研数学有道武忠祥刘金峰全程班_01.2026考研数学武忠祥刘金峰全程班_00.书籍和讲义_{3}--全部课件
(25)--2.1笔记小结_01.2026考研数学有道武忠祥刘金峰全程班_01.2026考研数学武忠祥刘金峰全程班_00.书籍和讲义_{3}--全部课件
(25)--2.1笔记小结_01.2026考研数学有道武忠祥刘金峰全程班_01.2026考研数学武忠祥刘金峰全程班_00.书籍和讲义_{3}--全部课件
(25)--2.1笔记小结_01.2026考研数学有道武忠祥刘金峰全程班_01.2026考研数学武忠祥刘金峰全程班_00.书籍和讲义_{3}--全部课件
(25)--2.1笔记小结_01.2026考研数学有道武忠祥刘金峰全程班_01.2026考研数学武忠祥刘金峰全程班_00.书籍和讲义_{3}--全部课件
(25)--2.1笔记小结_01.2026考研数学有道武忠祥刘金峰全程班_01.2026考研数学武忠祥刘金峰全程班_00.书籍和讲义_{3}--全部课件
(25)--2.1笔记小结_01.2026考研数学有道武忠祥刘金峰全程班_01.2026考研数学武忠祥刘金峰全程班_00.书籍和讲义_{3}--全部课件

文档信息

文档格式
pdf
文档大小
1.032 MB
文档页数
9 页
上传时间
2026-02-25 03:44:32

文档内容

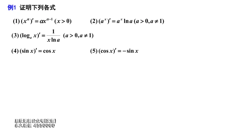
第二章 导数与微分 第一节 导数概念 主讲 武忠祥 教授一、引例 1.变速直线运动瞬时速度 2.曲线的切线二、导数的定义 f (x  x)  f (x ) 定义: 若 lim 0 0 存在, x0 x 则称 在 点可导. f ( x) x 0 dy f  (x )  y   | 0 xx xx 0 dx 0 f (x  x)  f (x ) f (x)  f (x ) y f  (x )  lim 0 0  lim 0  lim 0 x0 x xx x  x x0 x 0 0 若以上极限不存在,则称 在 处不可导; f ( x) x 0 若极限为无穷大,则称 在 处导数为无穷大. f ( x) x 0f (x  x)  f (x ) f (x)  f (x ) 左导数: f  (x )  lim 0 0  lim 0  0 x0  x xx  x  x 0 0 f (x  x)  f (x ) f (x)  f (x ) 右导数: f  (x )  lim 0 0  lim 0  0 x0  x xx  x  x 0 0 可导  左右导数存在且相等 区间上可导: 在区间 的每一点上都可导; f ( x) I 导函数: f  ( x) x  I例1 证明下列各式 (1) (x  )  x 1 (x  0) (2) (a x )   a x lna (a  0,a  1) 1 (3) (log x)   (a  0,a  1) a x lna (4) (sin x)   cos x (5) (cos x)   sin x三、导数的几何意义 导数  在几何上表示曲线 在点 f ( x ) y  f (x) 0 ( x , f ( x )) 处切线的斜率 0 0 切线方程 y  y  f  (x )(x  x ) 0 0 0 1 法线方程 y  y   (x  x ) 0  0 f (x ) 0 1 1 例2 求曲线 y  在点 (2, ) 处的切线方程和法线方程. x 2四、可导与连续的关系 可导  连续   例3 考查下列函数在 处的连续性与可导性. x  0 (1) f (x)  x 1 (2) g(x)  x3  1  xsin , x  0, (3) h(x)   x   0, x  0内容小结 1. 导数的实质: 增量比的极限; 3. 导数的几何意义: 切线的斜率; 4. 函数可导一定连续,但连续不一定可导; 5. 求导数最基本的方法: 由定义求导数. 不连续,一定不可导. 6. 判断可导性 直接用定义; 连续 看左右导数是否存在且相等.作业 : ; ; ; ; ; ; ; P83 4 5 6 7 13 16 17 18