当前位置:首页>文档>2025年中考地理一轮复习考点突破主题六居民与文化(含答案)_02中考总复习(2026版更新中)_09-地理-中考总复习_2025中考地理复习资料

2025年中考地理一轮复习考点突破主题六居民与文化(含答案)_02中考总复习(2026版更新中)_09-地理-中考总复习_2025中考地理复习资料

  • 2026-03-01 06:30:05 2026-03-01 06:01:37

文档预览

2025年中考地理一轮复习考点突破主题六居民与文化(含答案)_02中考总复习(2026版更新中)_09-地理-中考总复习_2025中考地理复习资料
2025年中考地理一轮复习考点突破主题六居民与文化(含答案)_02中考总复习(2026版更新中)_09-地理-中考总复习_2025中考地理复习资料
2025年中考地理一轮复习考点突破主题六居民与文化(含答案)_02中考总复习(2026版更新中)_09-地理-中考总复习_2025中考地理复习资料
2025年中考地理一轮复习考点突破主题六居民与文化(含答案)_02中考总复习(2026版更新中)_09-地理-中考总复习_2025中考地理复习资料
2025年中考地理一轮复习考点突破主题六居民与文化(含答案)_02中考总复习(2026版更新中)_09-地理-中考总复习_2025中考地理复习资料
2025年中考地理一轮复习考点突破主题六居民与文化(含答案)_02中考总复习(2026版更新中)_09-地理-中考总复习_2025中考地理复习资料
2025年中考地理一轮复习考点突破主题六居民与文化(含答案)_02中考总复习(2026版更新中)_09-地理-中考总复习_2025中考地理复习资料
2025年中考地理一轮复习考点突破主题六居民与文化(含答案)_02中考总复习(2026版更新中)_09-地理-中考总复习_2025中考地理复习资料
2025年中考地理一轮复习考点突破主题六居民与文化(含答案)_02中考总复习(2026版更新中)_09-地理-中考总复习_2025中考地理复习资料
2025年中考地理一轮复习考点突破主题六居民与文化(含答案)_02中考总复习(2026版更新中)_09-地理-中考总复习_2025中考地理复习资料
2025年中考地理一轮复习考点突破主题六居民与文化(含答案)_02中考总复习(2026版更新中)_09-地理-中考总复习_2025中考地理复习资料
2025年中考地理一轮复习考点突破主题六居民与文化(含答案)_02中考总复习(2026版更新中)_09-地理-中考总复习_2025中考地理复习资料

文档信息

文档格式
docx
文档大小
0.549 MB
文档页数
12 页
上传时间
2026-03-01 06:01:37

文档内容

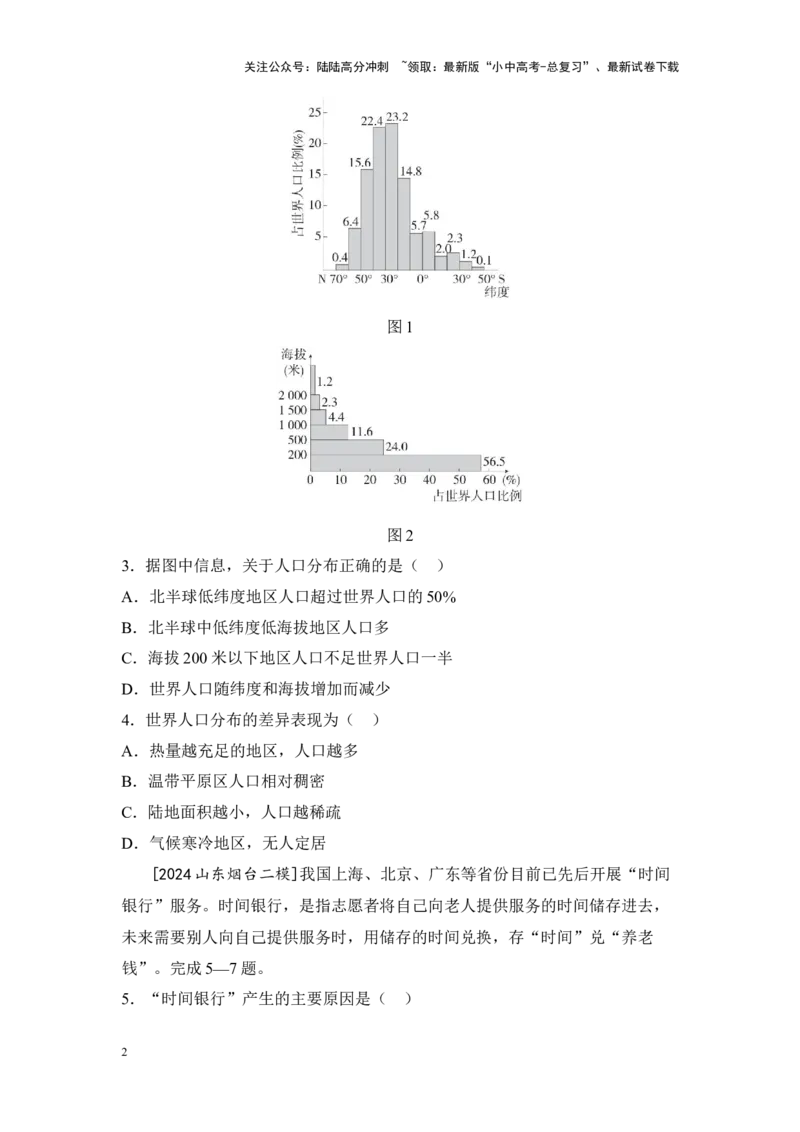
关注公众号:陆陆高分冲刺 ~领取:最新版“小中高考-总复习”、最新试卷下载 2025 年中考地理一轮复习 考点突破 主题六 居民与文化 基础巩固 [2024山东济南一模]据联合国《世界人口展望2022》报告数据,2022年 11月15日全球人口达到80亿。读世界人口分布图,完成1—2题。 1.下列地区中,人口较稠密的是( ) A.非洲北部、亚洲东部、欧洲西部 B.亚洲东部、欧洲西部、北美洲东部 C.欧洲西部、亚洲南部、亚马孙平原 D.青藏高原、亚洲南部、非洲北部 2.甲地区人口稀少的主要原因是( ) A.极端干旱 B.地势高峻 C.过于湿热 D.终年寒冷 [2024山东日照模拟]世界人口分布具有一定的趋向性。图1为70°N—50°S 每隔10°范围内的人口占世界人口比例示意图,图2为世界人口垂直分布示意 图。完成3—4题。 1关注公众号:陆陆高分冲刺 ~领取:最新版“小中高考-总复习”、最新试卷下载 图1 图2 3.据图中信息,关于人口分布正确的是( ) A.北半球低纬度地区人口超过世界人口的50% B.北半球中低纬度低海拔地区人口多 C.海拔200米以下地区人口不足世界人口一半 D.世界人口随纬度和海拔增加而减少 4.世界人口分布的差异表现为( ) A.热量越充足的地区,人口越多 B.温带平原区人口相对稠密 C.陆地面积越小,人口越稀疏 D.气候寒冷地区,无人定居 [2024山东烟台二模]我国上海、北京、广东等省份目前已先后开展“时间 银行”服务。时间银行,是指志愿者将自己向老人提供服务的时间储存进去, 未来需要别人向自己提供服务时,用储存的时间兑换,存“时间”兑“养老 钱”。完成5—7题。 5.“时间银行”产生的主要原因是( ) 2关注公众号:陆陆高分冲刺 ~领取:最新版“小中高考-总复习”、最新试卷下载 A.人口老龄化 B.社会经济发展需要 C.人口总数庞大 D.性别结构失衡 6.“时间银行”的互助式养老模式,以下国家最有可能需要借鉴的是( ) A.埃塞俄比亚 B.巴西 C.日本 D.印度 7.该国的居民主要是( ) A.白种人 B.黄种人 C.黑种人 D.混血种人 [2024海南二模]第19届亚运会于2023年9月23日至10月8日在中国浙江 杭州举行,来自亚洲各国的运动员到此一搏,据此完成8—10题。 8.韩国位于亚洲东部,请问来自韩国的运动员主要属于( ) A.白色人种 B.黄色人种 C.黑色人种 D.混血人种 9.亚运会组委会要求志愿者须具备能使用汉语或英语进行交流的条件,主要原 因是( ) ①汉语是中华汉族人民使用的语言,同时也为中国的一些少数民族和华人华侨 使用 ②英语是世界上使用人数最多的语言 ③英语是世界上使用范围最广的语言 ④联合国的工作语言只有汉语和英语 A.①② B.①③ C.②④ D.③④ 10.第19届亚运会在杭州举办,对当地的有利影响是( ) A.提高城市的知名度 B.减少居民收入 C.降低环境质量 D.减少游客数量 [2024云南德宏一模]《清明上河图》生动记录了汴京(今开封市)北宋时 期的节日集会和商贸活动。汴河是当时全国重要的漕运交通枢纽,商船云集。 结合图文材料,完成11—12题。 11.汴京的聚落类型及判断依据是( ) A.乡村聚落,有河流经过 3关注公众号:陆陆高分冲刺 ~领取:最新版“小中高考-总复习”、最新试卷下载 B.城镇聚落,非农业生产活动为主 C.乡村聚落,建筑比较低矮 D.城镇聚落,建筑比较高大 12.根据图文材料可知,图中聚落形成的最大优势是 ( ) A.水陆交通便利 B.地形平坦 C.资源丰富 D.气候温和 13.[2024山东威海一模]特色民居往往能反映出一个地区聚落与自然环境的关 系,下列民居与其所在地的自然环境的描述对应正确的是( ) A.①—冬季寒冷,降雪多 B.②—炎热多雨,树木茂密 C.③—地势平坦,草原辽阔 D.④—炎热多雨,双层木楼 14.[2024黑龙江齐齐哈尔]我们的世界是由各具风采的大洲和大洋组成的。 读“世界海陆分布图”,回答问题。 (1) ⑤和⑥两大洲的分界线是____________。 (2) ②大洲的居民以__种人为主。 (3) 世界上人口自然增长率最高的大洲是______(填序号)。世界上纬度最 高、跨经度最广的大洲是______(填序号)。 (4) ④大洲居民主要使用的语言是__语。 (5) 从发展水平看,①③⑥大洲中大部分国家属于________国家。 4关注公众号:陆陆高分冲刺 ~领取:最新版“小中高考-总复习”、最新试卷下载 (6) ①大洲气候复杂多样,其中____________气候分布最广。该大洲河流众 多,呈放射状流向周边海洋的主要原因是地势________________。 情境拓展 [2024山东烟台]60岁以上人口抚养比越高,人口老龄化越严重,下面是联 合国对世界及部分国家60岁以上人口抚养比预测图。据图完成15—16题。 15.据图归纳60岁以上人口抚养比( ) ①图中各国都呈增长趋势 ②日本始终最高 ③美国一直低于世界平均水平 ④2100年比2050年增长幅度最小的是中国 A.①② B.③④ C.①③ D.②④ 16.为缓解人口出现如图所示的趋势性变化带来的问题,下列做法不合理的是 ( ) A.鼓励生育 B.完善养老服务设施 C.提倡提前退休 D.提高劳动生产效率 [综合思维·2024山东济南三模]2022年11月15日全球人口已达到80亿。 一个国家人口增长状况主要取决于人口出生率和人口死亡率之差。图1中①、 ②、③、④表示四个国家的人口出生率和人口死亡率,图2示意某同学手绘的 世界人口分布。读图,完成17—19题。 5关注公众号:陆陆高分冲刺 ~领取:最新版“小中高考-总复习”、最新试卷下载 图1 图2 17.图1中四个国家中人口出现负增长的是( ) A.① B.② C.③ D.④ 18.根据手绘世界人口分布图,结合当地自然环境分析,以下描述正确的是( ) A.甲地人口稠密,因为地形平坦,距海近 B.乙地人口稀疏,因为气候过于湿热 C.丙地人口稀疏,因为纬度较低 D.丁地人口稠密,因为平原广阔 19.①国家可能在______所在的大洲( ) A.甲 B.乙 C.丙 D.丁 [2024湖北随州一模]传统古村落是集建筑、民居、文化为一体的综合体, 大多是人类对自然环境长期适应的结果。地处我国秦岭南麓的某村落,形成于 明清时期,形成了独特的聚落分布格局。下图为该村落等高线示意图。据此完 成20—21题。 20.关于该区域古聚落分布的合理性,下列说法正确的是( ) ①河流沿岸,地形平坦 ②靠近河流,取水方便 ③民居较分散是为了减少对耕地的占用 ④聚落呈团块状分布,便于沟通 A.①②③ B.②③④ C.①③④ D.①②④ 6关注公众号:陆陆高分冲刺 ~领取:最新版“小中高考-总复习”、最新试卷下载 21.为推动该古村落可持续发展,下列措施不可行的是( ) A.加大资金扶持力度,加强维护和修葺 B.完善村落基础设施建设,美化宜居环境 C.大力发展乡村旅游,经济发展才是硬道理 D.注重古村落传统文化的弘扬和传承 [方法迁移·2024安徽亳州二模]阳产土楼是皖南最大的徽派土楼建筑群, 位于群山之中,依山而筑。这里由于地势高,交通不便,山民就地取材,采周 边青石铺路架桥,取红壤木材“筑巢而居”,形成了鳞次栉比、错落有致的土 楼群。读阳产土楼景观图,完成22—23题。 22.土楼建筑反映了当地自然环境的特点,主要表现在 ( ) A.当地生产活动以旅游业为主 B.聚落规模大,呈现条带状分布 C.依山而建,视野开阔,采光通风好 D.温带季风气候降水少,屋顶坡度小 23.近年来当地政府重视对阳产土楼的保护,主要是由于( ) A.村落具有深厚的文化价值 B.振兴乡村,增加工业收入 C.人口多,改善当地居住条件 D.发展种植业,提高粮食生产水平 素养提升 [创新情境·2024山东青岛一模]“碇步桥”是一种古老桥梁的统称,由条石 砌成,是人类适应自然环境的杰作。下图示意浙江省仕阳镇碇步桥及周边等高 线地形图和碇步桥景观图,完成24—26题。 7关注公众号:陆陆高分冲刺 ~领取:最新版“小中高考-总复习”、最新试卷下载 24.①所在的山体部位是( ) A.山脊 B.山谷 C.鞍部 D.陡崖 25.影响仕阳镇聚落分布的主要自然因素( ) A.河流、气候 B.地形、河流 C.地形、交通 D.地形、气候 26.仕水碇步桥平行分高低两凳,高凳可供涨水时踏用,反映当地( ) A.降水季节变化较大 B.冬季寒冷,结冰期长 C.地形陡峭,沟谷多 D.森林丰富,木料充足 27.[2024山东泰安]读世界四个大洲不同海拔的人口密度分布示意图,下列叙 述符合图示信息的是( ) A.亚洲和欧洲的人口稠密区集中在低海拔地区 8关注公众号:陆陆高分冲刺 ~领取:最新版“小中高考-总复习”、最新试卷下载 B.非洲人口密度最大的区域海拔为1—2km C.北美洲0—1km海拔区人口密度为30人/km2 D.造成欧洲与非洲人口密度在海拔上存在差异的主要因素是海陆因素 主题六 居民与文化 基础巩固 1.B 2.D [解析]读图可知,甲地区地处北冰洋沿岸的高纬度地区,这里纬度高,气候终 年寒冷,因此人口稀疏。故选D。 3.B 4.B 5.A [解析]根据材料可知,“时间银行”就是存“时间”兑“养老钱”,主要是因 为老年人口比重大,需要的服务时间较多,年轻时为老人提供服务,年老时就 可以用其来兑换别人给自已的服务,所以“时间银行”产生的主要原因是人口 老龄化,A正确。“时间银行”与社会经济发展需要、人口总数庞大、性别结 构失衡关联不大,故选A。 6.C [解析]“时间银行”的互助式养老模式适用于人口老龄化比较严重的国家,目前 人口老龄化在发达国家比较严重,在发展中国家较少见,埃塞俄比亚、巴西、 印度均为发展中国家,未进入老龄化社会或人口老龄化不严重,日本为发达国 家,人口老龄化严重,所以日本最需要借鉴该模式,故选C。 7.B 9关注公众号:陆陆高分冲刺 ~领取:最新版“小中高考-总复习”、最新试卷下载 8.B 9.B 10.A 11.B [解析]读材料“汴河是当时全国重要的漕运交通枢纽,商船云集”可知,汴京 的聚落类型为城镇聚落,以非农业的商业贸易产业活动为主,故选B。 12.A [解析]图文材料中没有体现当地资源丰富、地形平坦,B、C错误。材料中“汴 河是当时全国重要的漕运交通枢纽,商船云集”,说明当地最大的优势是水陆 交通便利,A正确。开封市位于河南省,属于温带季风气候,夏季炎热多雨, 冬季寒冷干燥,气候并不温和,D错误。故选A。 13.C [解析]读图分析,①民居为高脚屋,景观植被茂密,多分布在湿热地区,A错 误;②民居是西亚地区的平顶屋,当地炎热干燥,B错误;③民居是蒙古包, 分布在地势平坦,草原辽阔的地区,C正确;④民居是俄罗斯木屋,俄罗斯纬 度高,气温低,多为温带大陆性气候,D错误;故选C。 14.(1) 巴拿马运河 (2) 白 (3) ③; ⑦ (4) 英 (5) 发展中 (6) 温带大陆性; 中部高四周低 情境拓展 15.A 16.C 17.A [解析]根据人口自然增长率=人口出生率-人口死亡率,计算可知①国人口出现负 增长。故选A。 18.A [解析]读图分析,甲地位于欧洲西部,乙地位于非洲北部,丙地位于亚洲东 部,丁地位于南美洲北部。甲地人口稠密,因为地形平坦,距海近,A正确; 乙地人口稀疏,因为气候过于炎热干燥,B错误;丙地人口稠密,C错误;丁 地人口稀疏,因为气候过于湿热,D错误;故选A。 10关注公众号:陆陆高分冲刺 ~领取:最新版“小中高考-总复习”、最新试卷下载 19.A [解析]由第17题可知,①国人口出现负增长,所在大洲最有可能是甲所在的欧 洲,故选A。 20.A 21.C 22.C [解析]依据材料信息分析可知,当地交通不便,不适宜旅游业发展,A错误;土 楼聚落规模大,依山而筑,形成了鳞次栉比、错落有致的土楼群,不具有条带 状分布的特点,B错误;这里地势高,土楼依山而建,视野开阔,采光通风 好,C正确;亚热带季风气候降水多,屋顶坡度大,D错误。故选C。 23.A 素养提升 24.A 25.B [解析]从图中可以看出,聚落在山区分布极少,主要分布在河流沿岸地区,该 地区地形平坦、水源充足、交通运输便利,所以影响图示区域聚落分布的自然 因素是地形和河流,故选B。 26.A [解析]仕水碇步桥位于浙江省泰顺县仕阳镇,属于亚热带季风气候,夏季高温 多雨,冬季温和湿润,降水季节变化大,因此仕水碇步桥平行分高低两凳,A 正确,B错误;与地形陡峭和森林丰富无关,C、D错误。故选A。 27.A [解析]读图可知,欧洲人口密度最大约为65人/km2,集中分布在海拔为0—1km 处,亚洲人口密度最大约为50人/km2,集中分布在海拔为0—1km处,A正 确;非洲人口密度最大约为20人/km2,集中分布在海拔为2—3km处,B错 误;北美洲0—1km海拔区人口密度不到20人/km2,C错误;欧洲位于中高纬 度地区,气温较低,海拔高的地区气候更为寒冷,不适宜人类居住,所以欧洲 最大人口密度分布在海拔较低的地区;非洲大部分地区位于低纬度的热带地 区,终年炎热,海拔较高的地区气候较为凉爽,适宜人类居住,所以非洲人口 密度最大值分布在高海拔地区。因此导致欧洲与非洲最大人口密度在海拔上存 在差异的主要因素是纬度因素,D错误。故选A。 11关注公众号:陆陆高分冲刺 ~领取:最新版“小中高考-总复习”、最新试卷下载 12
基本 文件 流程 错误 SQL 调试
  1. 请求信息 : 2026-03-01 06:33:47 HTTP/1.1 GET : https://www.yeyulingfeng.com/wendang/329871.html
  2. 运行时间 : 0.075422s [ 吞吐率:13.26req/s ] 内存消耗:5,952.07kb 文件加载:144
  3. 缓存信息 : 0 reads,0 writes
  4. 会话信息 : SESSION_ID=747de3bc81fee856cad61d2f106b5538
  1. /yingpanguazai/ssd/ssd1/www/wwww.yeyulingfeng.com/public/index.php ( 0.79 KB )
  2. /yingpanguazai/ssd/ssd1/www/wwww.yeyulingfeng.com/vendor/autoload.php ( 0.17 KB )
  3. /yingpanguazai/ssd/ssd1/www/wwww.yeyulingfeng.com/vendor/composer/autoload_real.php ( 2.49 KB )
  4. /yingpanguazai/ssd/ssd1/www/wwww.yeyulingfeng.com/vendor/composer/platform_check.php ( 0.90 KB )
  5. /yingpanguazai/ssd/ssd1/www/wwww.yeyulingfeng.com/vendor/composer/ClassLoader.php ( 14.03 KB )
  6. /yingpanguazai/ssd/ssd1/www/wwww.yeyulingfeng.com/vendor/composer/autoload_static.php ( 6.05 KB )
  7. /yingpanguazai/ssd/ssd1/www/wwww.yeyulingfeng.com/vendor/topthink/think-helper/src/helper.php ( 8.34 KB )
  8. /yingpanguazai/ssd/ssd1/www/wwww.yeyulingfeng.com/vendor/topthink/think-validate/src/helper.php ( 2.19 KB )
  9. /yingpanguazai/ssd/ssd1/www/wwww.yeyulingfeng.com/vendor/ralouphie/getallheaders/src/getallheaders.php ( 1.60 KB )
  10. /yingpanguazai/ssd/ssd1/www/wwww.yeyulingfeng.com/vendor/topthink/think-orm/src/helper.php ( 1.47 KB )
  11. /yingpanguazai/ssd/ssd1/www/wwww.yeyulingfeng.com/vendor/topthink/think-orm/stubs/load_stubs.php ( 0.16 KB )
  12. /yingpanguazai/ssd/ssd1/www/wwww.yeyulingfeng.com/vendor/topthink/framework/src/think/Exception.php ( 1.69 KB )
  13. /yingpanguazai/ssd/ssd1/www/wwww.yeyulingfeng.com/vendor/topthink/think-container/src/Facade.php ( 2.71 KB )
  14. /yingpanguazai/ssd/ssd1/www/wwww.yeyulingfeng.com/vendor/symfony/deprecation-contracts/function.php ( 0.99 KB )
  15. /yingpanguazai/ssd/ssd1/www/wwww.yeyulingfeng.com/vendor/symfony/polyfill-mbstring/bootstrap.php ( 8.26 KB )
  16. /yingpanguazai/ssd/ssd1/www/wwww.yeyulingfeng.com/vendor/symfony/polyfill-mbstring/bootstrap80.php ( 9.78 KB )
  17. /yingpanguazai/ssd/ssd1/www/wwww.yeyulingfeng.com/vendor/symfony/var-dumper/Resources/functions/dump.php ( 1.49 KB )
  18. /yingpanguazai/ssd/ssd1/www/wwww.yeyulingfeng.com/vendor/topthink/think-dumper/src/helper.php ( 0.18 KB )
  19. /yingpanguazai/ssd/ssd1/www/wwww.yeyulingfeng.com/vendor/symfony/var-dumper/VarDumper.php ( 4.30 KB )
  20. /yingpanguazai/ssd/ssd1/www/wwww.yeyulingfeng.com/vendor/guzzlehttp/guzzle/src/functions_include.php ( 0.16 KB )
  21. /yingpanguazai/ssd/ssd1/www/wwww.yeyulingfeng.com/vendor/guzzlehttp/guzzle/src/functions.php ( 5.54 KB )
  22. /yingpanguazai/ssd/ssd1/www/wwww.yeyulingfeng.com/vendor/topthink/framework/src/think/App.php ( 15.30 KB )
  23. /yingpanguazai/ssd/ssd1/www/wwww.yeyulingfeng.com/vendor/topthink/think-container/src/Container.php ( 15.76 KB )
  24. /yingpanguazai/ssd/ssd1/www/wwww.yeyulingfeng.com/vendor/psr/container/src/ContainerInterface.php ( 1.02 KB )
  25. /yingpanguazai/ssd/ssd1/www/wwww.yeyulingfeng.com/app/provider.php ( 0.19 KB )
  26. /yingpanguazai/ssd/ssd1/www/wwww.yeyulingfeng.com/vendor/topthink/framework/src/think/Http.php ( 6.04 KB )
  27. /yingpanguazai/ssd/ssd1/www/wwww.yeyulingfeng.com/vendor/topthink/think-helper/src/helper/Str.php ( 7.29 KB )
  28. /yingpanguazai/ssd/ssd1/www/wwww.yeyulingfeng.com/vendor/topthink/framework/src/think/Env.php ( 4.68 KB )
  29. /yingpanguazai/ssd/ssd1/www/wwww.yeyulingfeng.com/app/common.php ( 0.03 KB )
  30. /yingpanguazai/ssd/ssd1/www/wwww.yeyulingfeng.com/vendor/topthink/framework/src/helper.php ( 18.78 KB )
  31. /yingpanguazai/ssd/ssd1/www/wwww.yeyulingfeng.com/vendor/topthink/framework/src/think/Config.php ( 5.54 KB )
  32. /yingpanguazai/ssd/ssd1/www/wwww.yeyulingfeng.com/config/alipay.php ( 3.59 KB )
  33. /yingpanguazai/ssd/ssd1/www/wwww.yeyulingfeng.com/vendor/topthink/framework/src/think/facade/Env.php ( 1.67 KB )
  34. /yingpanguazai/ssd/ssd1/www/wwww.yeyulingfeng.com/config/app.php ( 0.95 KB )
  35. /yingpanguazai/ssd/ssd1/www/wwww.yeyulingfeng.com/config/cache.php ( 0.78 KB )
  36. /yingpanguazai/ssd/ssd1/www/wwww.yeyulingfeng.com/config/console.php ( 0.23 KB )
  37. /yingpanguazai/ssd/ssd1/www/wwww.yeyulingfeng.com/config/cookie.php ( 0.56 KB )
  38. /yingpanguazai/ssd/ssd1/www/wwww.yeyulingfeng.com/config/database.php ( 2.48 KB )
  39. /yingpanguazai/ssd/ssd1/www/wwww.yeyulingfeng.com/config/filesystem.php ( 0.61 KB )
  40. /yingpanguazai/ssd/ssd1/www/wwww.yeyulingfeng.com/config/lang.php ( 0.91 KB )
  41. /yingpanguazai/ssd/ssd1/www/wwww.yeyulingfeng.com/config/log.php ( 1.35 KB )
  42. /yingpanguazai/ssd/ssd1/www/wwww.yeyulingfeng.com/config/middleware.php ( 0.19 KB )
  43. /yingpanguazai/ssd/ssd1/www/wwww.yeyulingfeng.com/config/route.php ( 1.89 KB )
  44. /yingpanguazai/ssd/ssd1/www/wwww.yeyulingfeng.com/config/session.php ( 0.57 KB )
  45. /yingpanguazai/ssd/ssd1/www/wwww.yeyulingfeng.com/config/trace.php ( 0.34 KB )
  46. /yingpanguazai/ssd/ssd1/www/wwww.yeyulingfeng.com/config/view.php ( 0.82 KB )
  47. /yingpanguazai/ssd/ssd1/www/wwww.yeyulingfeng.com/app/event.php ( 0.25 KB )
  48. /yingpanguazai/ssd/ssd1/www/wwww.yeyulingfeng.com/vendor/topthink/framework/src/think/Event.php ( 7.67 KB )
  49. /yingpanguazai/ssd/ssd1/www/wwww.yeyulingfeng.com/app/service.php ( 0.13 KB )
  50. /yingpanguazai/ssd/ssd1/www/wwww.yeyulingfeng.com/app/AppService.php ( 0.26 KB )
  51. /yingpanguazai/ssd/ssd1/www/wwww.yeyulingfeng.com/vendor/topthink/framework/src/think/Service.php ( 1.64 KB )
  52. /yingpanguazai/ssd/ssd1/www/wwww.yeyulingfeng.com/vendor/topthink/framework/src/think/Lang.php ( 7.35 KB )
  53. /yingpanguazai/ssd/ssd1/www/wwww.yeyulingfeng.com/vendor/topthink/framework/src/lang/zh-cn.php ( 13.70 KB )
  54. /yingpanguazai/ssd/ssd1/www/wwww.yeyulingfeng.com/vendor/topthink/framework/src/think/initializer/Error.php ( 3.31 KB )
  55. /yingpanguazai/ssd/ssd1/www/wwww.yeyulingfeng.com/vendor/topthink/framework/src/think/initializer/RegisterService.php ( 1.33 KB )
  56. /yingpanguazai/ssd/ssd1/www/wwww.yeyulingfeng.com/vendor/services.php ( 0.14 KB )
  57. /yingpanguazai/ssd/ssd1/www/wwww.yeyulingfeng.com/vendor/topthink/framework/src/think/service/PaginatorService.php ( 1.52 KB )
  58. /yingpanguazai/ssd/ssd1/www/wwww.yeyulingfeng.com/vendor/topthink/framework/src/think/service/ValidateService.php ( 0.99 KB )
  59. /yingpanguazai/ssd/ssd1/www/wwww.yeyulingfeng.com/vendor/topthink/framework/src/think/service/ModelService.php ( 2.04 KB )
  60. /yingpanguazai/ssd/ssd1/www/wwww.yeyulingfeng.com/vendor/topthink/think-trace/src/Service.php ( 0.77 KB )
  61. /yingpanguazai/ssd/ssd1/www/wwww.yeyulingfeng.com/vendor/topthink/framework/src/think/Middleware.php ( 6.72 KB )
  62. /yingpanguazai/ssd/ssd1/www/wwww.yeyulingfeng.com/vendor/topthink/framework/src/think/initializer/BootService.php ( 0.77 KB )
  63. /yingpanguazai/ssd/ssd1/www/wwww.yeyulingfeng.com/vendor/topthink/think-orm/src/Paginator.php ( 11.86 KB )
  64. /yingpanguazai/ssd/ssd1/www/wwww.yeyulingfeng.com/vendor/topthink/think-validate/src/Validate.php ( 63.20 KB )
  65. /yingpanguazai/ssd/ssd1/www/wwww.yeyulingfeng.com/vendor/topthink/think-orm/src/Model.php ( 23.55 KB )
  66. /yingpanguazai/ssd/ssd1/www/wwww.yeyulingfeng.com/vendor/topthink/think-orm/src/model/concern/Attribute.php ( 21.05 KB )
  67. /yingpanguazai/ssd/ssd1/www/wwww.yeyulingfeng.com/vendor/topthink/think-orm/src/model/concern/AutoWriteData.php ( 4.21 KB )
  68. /yingpanguazai/ssd/ssd1/www/wwww.yeyulingfeng.com/vendor/topthink/think-orm/src/model/concern/Conversion.php ( 6.44 KB )
  69. /yingpanguazai/ssd/ssd1/www/wwww.yeyulingfeng.com/vendor/topthink/think-orm/src/model/concern/DbConnect.php ( 5.16 KB )
  70. /yingpanguazai/ssd/ssd1/www/wwww.yeyulingfeng.com/vendor/topthink/think-orm/src/model/concern/ModelEvent.php ( 2.33 KB )
  71. /yingpanguazai/ssd/ssd1/www/wwww.yeyulingfeng.com/vendor/topthink/think-orm/src/model/concern/RelationShip.php ( 28.29 KB )
  72. /yingpanguazai/ssd/ssd1/www/wwww.yeyulingfeng.com/vendor/topthink/think-helper/src/contract/Arrayable.php ( 0.09 KB )
  73. /yingpanguazai/ssd/ssd1/www/wwww.yeyulingfeng.com/vendor/topthink/think-helper/src/contract/Jsonable.php ( 0.13 KB )
  74. /yingpanguazai/ssd/ssd1/www/wwww.yeyulingfeng.com/vendor/topthink/think-orm/src/model/contract/Modelable.php ( 0.09 KB )
  75. /yingpanguazai/ssd/ssd1/www/wwww.yeyulingfeng.com/vendor/topthink/framework/src/think/Db.php ( 2.88 KB )
  76. /yingpanguazai/ssd/ssd1/www/wwww.yeyulingfeng.com/vendor/topthink/think-orm/src/DbManager.php ( 8.52 KB )
  77. /yingpanguazai/ssd/ssd1/www/wwww.yeyulingfeng.com/vendor/topthink/framework/src/think/Log.php ( 6.28 KB )
  78. /yingpanguazai/ssd/ssd1/www/wwww.yeyulingfeng.com/vendor/topthink/framework/src/think/Manager.php ( 3.92 KB )
  79. /yingpanguazai/ssd/ssd1/www/wwww.yeyulingfeng.com/vendor/psr/log/src/LoggerTrait.php ( 2.69 KB )
  80. /yingpanguazai/ssd/ssd1/www/wwww.yeyulingfeng.com/vendor/psr/log/src/LoggerInterface.php ( 2.71 KB )
  81. /yingpanguazai/ssd/ssd1/www/wwww.yeyulingfeng.com/vendor/topthink/framework/src/think/Cache.php ( 4.92 KB )
  82. /yingpanguazai/ssd/ssd1/www/wwww.yeyulingfeng.com/vendor/psr/simple-cache/src/CacheInterface.php ( 4.71 KB )
  83. /yingpanguazai/ssd/ssd1/www/wwww.yeyulingfeng.com/vendor/topthink/think-helper/src/helper/Arr.php ( 16.63 KB )
  84. /yingpanguazai/ssd/ssd1/www/wwww.yeyulingfeng.com/vendor/topthink/framework/src/think/cache/driver/File.php ( 7.84 KB )
  85. /yingpanguazai/ssd/ssd1/www/wwww.yeyulingfeng.com/vendor/topthink/framework/src/think/cache/Driver.php ( 9.03 KB )
  86. /yingpanguazai/ssd/ssd1/www/wwww.yeyulingfeng.com/vendor/topthink/framework/src/think/contract/CacheHandlerInterface.php ( 1.99 KB )
  87. /yingpanguazai/ssd/ssd1/www/wwww.yeyulingfeng.com/app/Request.php ( 0.09 KB )
  88. /yingpanguazai/ssd/ssd1/www/wwww.yeyulingfeng.com/vendor/topthink/framework/src/think/Request.php ( 55.78 KB )
  89. /yingpanguazai/ssd/ssd1/www/wwww.yeyulingfeng.com/app/middleware.php ( 0.25 KB )
  90. /yingpanguazai/ssd/ssd1/www/wwww.yeyulingfeng.com/vendor/topthink/framework/src/think/Pipeline.php ( 2.61 KB )
  91. /yingpanguazai/ssd/ssd1/www/wwww.yeyulingfeng.com/vendor/topthink/think-trace/src/TraceDebug.php ( 3.40 KB )
  92. /yingpanguazai/ssd/ssd1/www/wwww.yeyulingfeng.com/vendor/topthink/framework/src/think/middleware/SessionInit.php ( 1.94 KB )
  93. /yingpanguazai/ssd/ssd1/www/wwww.yeyulingfeng.com/vendor/topthink/framework/src/think/Session.php ( 1.80 KB )
  94. /yingpanguazai/ssd/ssd1/www/wwww.yeyulingfeng.com/vendor/topthink/framework/src/think/session/driver/File.php ( 6.27 KB )
  95. /yingpanguazai/ssd/ssd1/www/wwww.yeyulingfeng.com/vendor/topthink/framework/src/think/contract/SessionHandlerInterface.php ( 0.87 KB )
  96. /yingpanguazai/ssd/ssd1/www/wwww.yeyulingfeng.com/vendor/topthink/framework/src/think/session/Store.php ( 7.12 KB )
  97. /yingpanguazai/ssd/ssd1/www/wwww.yeyulingfeng.com/vendor/topthink/framework/src/think/Route.php ( 23.73 KB )
  98. /yingpanguazai/ssd/ssd1/www/wwww.yeyulingfeng.com/vendor/topthink/framework/src/think/route/RuleName.php ( 5.75 KB )
  99. /yingpanguazai/ssd/ssd1/www/wwww.yeyulingfeng.com/vendor/topthink/framework/src/think/route/Domain.php ( 2.53 KB )
  100. /yingpanguazai/ssd/ssd1/www/wwww.yeyulingfeng.com/vendor/topthink/framework/src/think/route/RuleGroup.php ( 22.43 KB )
  101. /yingpanguazai/ssd/ssd1/www/wwww.yeyulingfeng.com/vendor/topthink/framework/src/think/route/Rule.php ( 26.95 KB )
  102. /yingpanguazai/ssd/ssd1/www/wwww.yeyulingfeng.com/vendor/topthink/framework/src/think/route/RuleItem.php ( 9.78 KB )
  103. /yingpanguazai/ssd/ssd1/www/wwww.yeyulingfeng.com/route/app.php ( 3.52 KB )
  104. /yingpanguazai/ssd/ssd1/www/wwww.yeyulingfeng.com/vendor/topthink/framework/src/think/facade/Route.php ( 4.70 KB )
  105. /yingpanguazai/ssd/ssd1/www/wwww.yeyulingfeng.com/vendor/topthink/framework/src/think/route/dispatch/Controller.php ( 4.74 KB )
  106. /yingpanguazai/ssd/ssd1/www/wwww.yeyulingfeng.com/vendor/topthink/framework/src/think/route/Dispatch.php ( 10.44 KB )
  107. /yingpanguazai/ssd/ssd1/www/wwww.yeyulingfeng.com/app/controller/Index.php ( 10.53 KB )
  108. /yingpanguazai/ssd/ssd1/www/wwww.yeyulingfeng.com/app/BaseController.php ( 2.05 KB )
  109. /yingpanguazai/ssd/ssd1/www/wwww.yeyulingfeng.com/vendor/topthink/think-orm/src/facade/Db.php ( 0.93 KB )
  110. /yingpanguazai/ssd/ssd1/www/wwww.yeyulingfeng.com/vendor/topthink/think-orm/src/db/connector/Mysql.php ( 5.44 KB )
  111. /yingpanguazai/ssd/ssd1/www/wwww.yeyulingfeng.com/vendor/topthink/think-orm/src/db/PDOConnection.php ( 52.47 KB )
  112. /yingpanguazai/ssd/ssd1/www/wwww.yeyulingfeng.com/vendor/topthink/think-orm/src/db/Connection.php ( 8.39 KB )
  113. /yingpanguazai/ssd/ssd1/www/wwww.yeyulingfeng.com/vendor/topthink/think-orm/src/db/ConnectionInterface.php ( 4.57 KB )
  114. /yingpanguazai/ssd/ssd1/www/wwww.yeyulingfeng.com/vendor/topthink/think-orm/src/db/builder/Mysql.php ( 16.58 KB )
  115. /yingpanguazai/ssd/ssd1/www/wwww.yeyulingfeng.com/vendor/topthink/think-orm/src/db/Builder.php ( 24.06 KB )
  116. /yingpanguazai/ssd/ssd1/www/wwww.yeyulingfeng.com/vendor/topthink/think-orm/src/db/BaseBuilder.php ( 27.50 KB )
  117. /yingpanguazai/ssd/ssd1/www/wwww.yeyulingfeng.com/vendor/topthink/think-orm/src/db/Query.php ( 15.71 KB )
  118. /yingpanguazai/ssd/ssd1/www/wwww.yeyulingfeng.com/vendor/topthink/think-orm/src/db/BaseQuery.php ( 45.13 KB )
  119. /yingpanguazai/ssd/ssd1/www/wwww.yeyulingfeng.com/vendor/topthink/think-orm/src/db/concern/TimeFieldQuery.php ( 7.43 KB )
  120. /yingpanguazai/ssd/ssd1/www/wwww.yeyulingfeng.com/vendor/topthink/think-orm/src/db/concern/AggregateQuery.php ( 3.26 KB )
  121. /yingpanguazai/ssd/ssd1/www/wwww.yeyulingfeng.com/vendor/topthink/think-orm/src/db/concern/ModelRelationQuery.php ( 20.07 KB )
  122. /yingpanguazai/ssd/ssd1/www/wwww.yeyulingfeng.com/vendor/topthink/think-orm/src/db/concern/ParamsBind.php ( 3.66 KB )
  123. /yingpanguazai/ssd/ssd1/www/wwww.yeyulingfeng.com/vendor/topthink/think-orm/src/db/concern/ResultOperation.php ( 7.01 KB )
  124. /yingpanguazai/ssd/ssd1/www/wwww.yeyulingfeng.com/vendor/topthink/think-orm/src/db/concern/WhereQuery.php ( 19.37 KB )
  125. /yingpanguazai/ssd/ssd1/www/wwww.yeyulingfeng.com/vendor/topthink/think-orm/src/db/concern/JoinAndViewQuery.php ( 7.11 KB )
  126. /yingpanguazai/ssd/ssd1/www/wwww.yeyulingfeng.com/vendor/topthink/think-orm/src/db/concern/TableFieldInfo.php ( 2.63 KB )
  127. /yingpanguazai/ssd/ssd1/www/wwww.yeyulingfeng.com/vendor/topthink/think-orm/src/db/concern/Transaction.php ( 2.77 KB )
  128. /yingpanguazai/ssd/ssd1/www/wwww.yeyulingfeng.com/vendor/topthink/framework/src/think/log/driver/File.php ( 5.96 KB )
  129. /yingpanguazai/ssd/ssd1/www/wwww.yeyulingfeng.com/vendor/topthink/framework/src/think/contract/LogHandlerInterface.php ( 0.86 KB )
  130. /yingpanguazai/ssd/ssd1/www/wwww.yeyulingfeng.com/vendor/topthink/framework/src/think/log/Channel.php ( 3.89 KB )
  131. /yingpanguazai/ssd/ssd1/www/wwww.yeyulingfeng.com/vendor/topthink/framework/src/think/event/LogRecord.php ( 1.02 KB )
  132. /yingpanguazai/ssd/ssd1/www/wwww.yeyulingfeng.com/vendor/topthink/think-helper/src/Collection.php ( 16.47 KB )
  133. /yingpanguazai/ssd/ssd1/www/wwww.yeyulingfeng.com/vendor/topthink/framework/src/think/facade/View.php ( 1.70 KB )
  134. /yingpanguazai/ssd/ssd1/www/wwww.yeyulingfeng.com/vendor/topthink/framework/src/think/View.php ( 4.39 KB )
  135. /yingpanguazai/ssd/ssd1/www/wwww.yeyulingfeng.com/vendor/topthink/framework/src/think/Response.php ( 8.81 KB )
  136. /yingpanguazai/ssd/ssd1/www/wwww.yeyulingfeng.com/vendor/topthink/framework/src/think/response/View.php ( 3.29 KB )
  137. /yingpanguazai/ssd/ssd1/www/wwww.yeyulingfeng.com/vendor/topthink/framework/src/think/Cookie.php ( 6.06 KB )
  138. /yingpanguazai/ssd/ssd1/www/wwww.yeyulingfeng.com/vendor/topthink/think-view/src/Think.php ( 8.38 KB )
  139. /yingpanguazai/ssd/ssd1/www/wwww.yeyulingfeng.com/vendor/topthink/framework/src/think/contract/TemplateHandlerInterface.php ( 1.60 KB )
  140. /yingpanguazai/ssd/ssd1/www/wwww.yeyulingfeng.com/vendor/topthink/think-template/src/Template.php ( 46.61 KB )
  141. /yingpanguazai/ssd/ssd1/www/wwww.yeyulingfeng.com/vendor/topthink/think-template/src/template/driver/File.php ( 2.41 KB )
  142. /yingpanguazai/ssd/ssd1/www/wwww.yeyulingfeng.com/vendor/topthink/think-template/src/template/contract/DriverInterface.php ( 0.86 KB )
  143. /yingpanguazai/ssd/ssd1/www/wwww.yeyulingfeng.com/runtime/temp/10a0c909b6afa23b5a52a2e2d58c3c0f.php ( 21.70 KB )
  144. /yingpanguazai/ssd/ssd1/www/wwww.yeyulingfeng.com/vendor/topthink/think-trace/src/Html.php ( 4.42 KB )
  1. CONNECT:[ UseTime:0.000513s ] mysql:host=127.0.0.1;port=3306;dbname=wenku;charset=utf8mb4
  2. SHOW FULL COLUMNS FROM `fenlei` [ RunTime:0.000868s ]
  3. SELECT * FROM `fenlei` WHERE `fid` = 0 [ RunTime:0.000276s ]
  4. SELECT * FROM `fenlei` WHERE `fid` = 63 [ RunTime:0.000257s ]
  5. SHOW FULL COLUMNS FROM `set` [ RunTime:0.000522s ]
  6. SELECT * FROM `set` [ RunTime:0.000174s ]
  7. SHOW FULL COLUMNS FROM `wendang` [ RunTime:0.000600s ]
  8. SELECT * FROM `wendang` WHERE `id` = 329871 LIMIT 1 [ RunTime:0.000447s ]
  9. UPDATE `wendang` SET `liulancishu` = 3 WHERE `id` = 329871 [ RunTime:0.001492s ]
  10. UPDATE `wendang` SET `lasttime` = 1772318027 WHERE `id` = 329871 [ RunTime:0.000594s ]
  11. SELECT * FROM `wendang` WHERE `id` < 329871 ORDER BY `id` DESC LIMIT 1 [ RunTime:0.000482s ]
  12. SELECT * FROM `wendang` WHERE `id` > 329871 ORDER BY `id` ASC LIMIT 1 [ RunTime:0.000379s ]
  13. SELECT * FROM `wendang` WHERE `id` <> 329871 ORDER BY `id` DESC LIMIT 10 [ RunTime:0.001199s ]
  14. SELECT * FROM `wendang` WHERE `id` <> 329871 ORDER BY `id` DESC LIMIT 10,10 [ RunTime:0.001476s ]
  15. SELECT * FROM `wendang` WHERE `id` <> 329871 ORDER BY `id` DESC LIMIT 20,10 [ RunTime:0.001163s ]
0.076910s