当前位置:首页>文档>2025年中考地理一轮复习考点突破主题五天气与气候(含答案)_02中考总复习(2026版更新中)_09-地理-中考总复习_2025中考地理复习资料

2025年中考地理一轮复习考点突破主题五天气与气候(含答案)_02中考总复习(2026版更新中)_09-地理-中考总复习_2025中考地理复习资料

  • 2026-03-01 06:30:38 2026-03-01 06:00:58

文档预览

2025年中考地理一轮复习考点突破主题五天气与气候(含答案)_02中考总复习(2026版更新中)_09-地理-中考总复习_2025中考地理复习资料
2025年中考地理一轮复习考点突破主题五天气与气候(含答案)_02中考总复习(2026版更新中)_09-地理-中考总复习_2025中考地理复习资料
2025年中考地理一轮复习考点突破主题五天气与气候(含答案)_02中考总复习(2026版更新中)_09-地理-中考总复习_2025中考地理复习资料
2025年中考地理一轮复习考点突破主题五天气与气候(含答案)_02中考总复习(2026版更新中)_09-地理-中考总复习_2025中考地理复习资料
2025年中考地理一轮复习考点突破主题五天气与气候(含答案)_02中考总复习(2026版更新中)_09-地理-中考总复习_2025中考地理复习资料
2025年中考地理一轮复习考点突破主题五天气与气候(含答案)_02中考总复习(2026版更新中)_09-地理-中考总复习_2025中考地理复习资料
2025年中考地理一轮复习考点突破主题五天气与气候(含答案)_02中考总复习(2026版更新中)_09-地理-中考总复习_2025中考地理复习资料
2025年中考地理一轮复习考点突破主题五天气与气候(含答案)_02中考总复习(2026版更新中)_09-地理-中考总复习_2025中考地理复习资料
2025年中考地理一轮复习考点突破主题五天气与气候(含答案)_02中考总复习(2026版更新中)_09-地理-中考总复习_2025中考地理复习资料
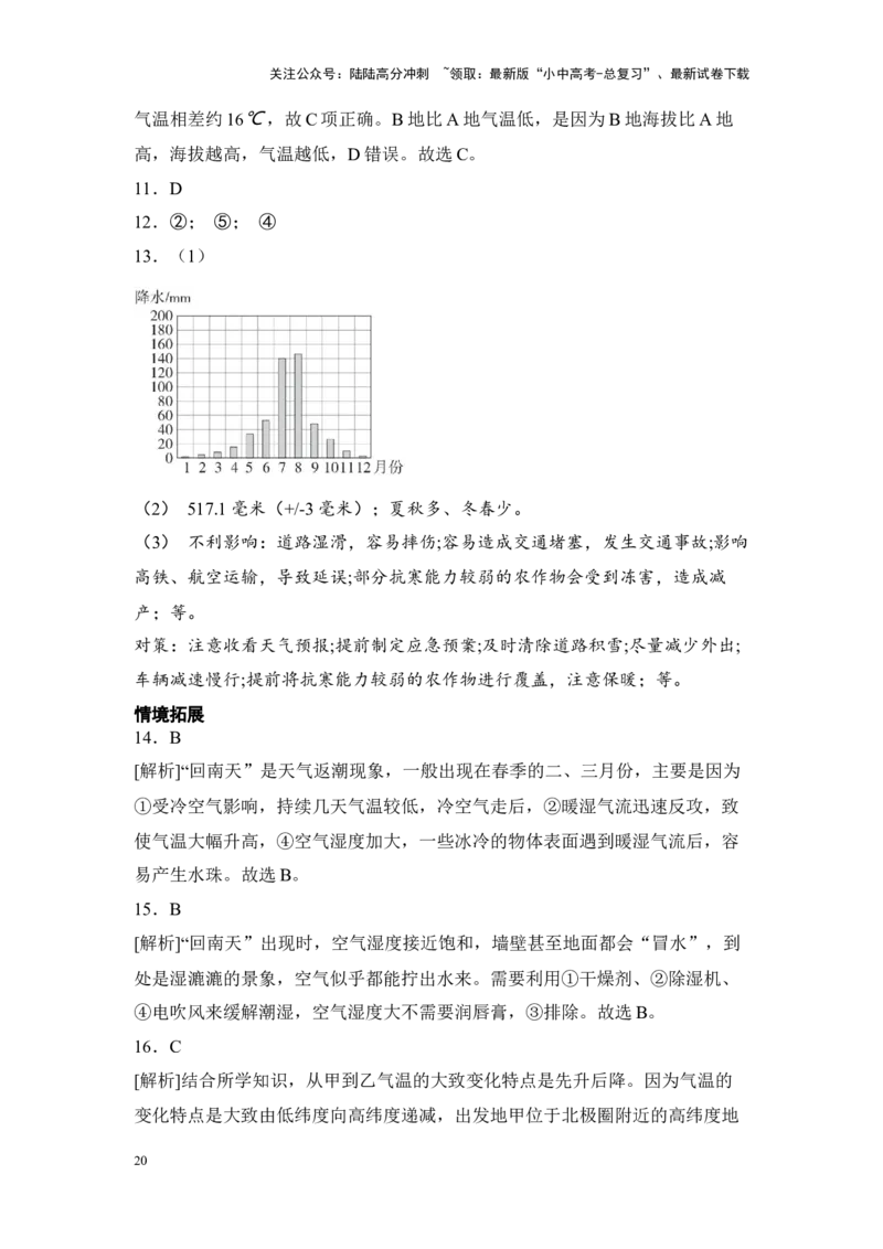
2025年中考地理一轮复习考点突破主题五天气与气候(含答案)_02中考总复习(2026版更新中)_09-地理-中考总复习_2025中考地理复习资料
2025年中考地理一轮复习考点突破主题五天气与气候(含答案)_02中考总复习(2026版更新中)_09-地理-中考总复习_2025中考地理复习资料
2025年中考地理一轮复习考点突破主题五天气与气候(含答案)_02中考总复习(2026版更新中)_09-地理-中考总复习_2025中考地理复习资料
2025年中考地理一轮复习考点突破主题五天气与气候(含答案)_02中考总复习(2026版更新中)_09-地理-中考总复习_2025中考地理复习资料
2025年中考地理一轮复习考点突破主题五天气与气候(含答案)_02中考总复习(2026版更新中)_09-地理-中考总复习_2025中考地理复习资料
2025年中考地理一轮复习考点突破主题五天气与气候(含答案)_02中考总复习(2026版更新中)_09-地理-中考总复习_2025中考地理复习资料
2025年中考地理一轮复习考点突破主题五天气与气候(含答案)_02中考总复习(2026版更新中)_09-地理-中考总复习_2025中考地理复习资料
2025年中考地理一轮复习考点突破主题五天气与气候(含答案)_02中考总复习(2026版更新中)_09-地理-中考总复习_2025中考地理复习资料
2025年中考地理一轮复习考点突破主题五天气与气候(含答案)_02中考总复习(2026版更新中)_09-地理-中考总复习_2025中考地理复习资料
2025年中考地理一轮复习考点突破主题五天气与气候(含答案)_02中考总复习(2026版更新中)_09-地理-中考总复习_2025中考地理复习资料
2025年中考地理一轮复习考点突破主题五天气与气候(含答案)_02中考总复习(2026版更新中)_09-地理-中考总复习_2025中考地理复习资料
2025年中考地理一轮复习考点突破主题五天气与气候(含答案)_02中考总复习(2026版更新中)_09-地理-中考总复习_2025中考地理复习资料
2025年中考地理一轮复习考点突破主题五天气与气候(含答案)_02中考总复习(2026版更新中)_09-地理-中考总复习_2025中考地理复习资料
2025年中考地理一轮复习考点突破主题五天气与气候(含答案)_02中考总复习(2026版更新中)_09-地理-中考总复习_2025中考地理复习资料
2025年中考地理一轮复习考点突破主题五天气与气候(含答案)_02中考总复习(2026版更新中)_09-地理-中考总复习_2025中考地理复习资料

文档信息

文档格式
docx
文档大小
1.263 MB
文档页数
24 页
上传时间
2026-03-01 06:00:58

文档内容

关注公众号:陆陆高分冲刺 ~领取:最新版“小中高考-总复习”、最新试卷下载 2025 年中考地理一轮复习 考点突破 主题五 天气与气候 第 1 讲 天气、气温与降水 基础巩固 [2024安徽]2024年5月,重庆某山地景区遭遇暴雨天气,景区工作人员利 用地理知识引导游客积极应对,化解潜在风险,有效保护了游客安全。据此完 成1—2题。 1.代表“暴雨”天气状况的符号是( ) A. B. C. D. 2.景区工作人员引导游客采取的保护措施可能有 ( ) ①狂风暴雨时,应防范悬崖高处的碎石跌落 ②电闪雷鸣时,应远离大树,防止遭到雷击 ③若洪水来袭,应快速向地势高的地方逃生 ④若泥石流发生,应顺着泥石流流动方向跑 A.①②③ B.①②④ C.①③④ D.②③④ [2024福建]某自然保护区内有一处人工水塘。干季时,每天都有大量野生 动物前来饮水,摄影师前往拍摄。读表完成3—5题。 某自然保护区某日不同时段的气温与可拍摄到的动物: 时段(时) 气温(℃) 野生动物 0—6 21~27 花豹、狮子 6—12 21~40 珍珠鸡、斑马 12—16 40~43 斑马、狒狒 16—22 28~40 黑斑羚、狮子 1关注公众号:陆陆高分冲刺 ~领取:最新版“小中高考-总复习”、最新试卷下载 22—24 27~28 长颈鹿、大象 3.当日6—12时和12—16时都能拍摄到的动物是 ( ) A.狮子 B.斑马 C.黑斑羚 D.珍珠鸡 4.当日最低气温大致在( ) A.6时 B.12时 C.14时 D.16时 5.当日此地气温日较差为( ) A.21℃ B.22℃ C.32℃ D.43℃ [2024山东济南一模]秋天是多彩的季节,某地理类杂志评选出了全球十大 赏秋地。下图是世界年平均气温和全球十大赏秋地分布图。读图,完成6—8 题。 6.十大赏秋地大都分布在( ) ①北半球热带地区 ②北半球中纬度地区 ③-10℃~0℃等温线之间 ④0~20℃等温线之间 A.①② B.①③ C.②④ D.③④ 7.从图中可看出,世界年平均气温分布的一般规律是( ) A.气温从沿海向内陆逐渐降低 B.气温自北向南升高 C.气温从低纬向高纬逐渐降低 D.最低温出现在北半球 8.南半球等温线较平直,主要影响因素为( ) A.纬度位置 B.海陆分布 C.地形 D.人类活动 [2024甘肃陇南一模]读下面示意图,完成9—11题。 2关注公众号:陆陆高分冲刺 ~领取:最新版“小中高考-总复习”、最新试卷下载 9.图中地形对降水的影响,正确的是( ) A.南坡是迎风坡,降水多 B.南坡是背风坡,降水多 C.北坡是背风坡,降水多 D.北坡是迎风坡,降水多 10.据图分析,下列结论正确的是( ) A.甲气流比乙气流干燥 B.迎风坡和背风坡植被分布没有差异 C.A、B两地气温相差约16℃ D.B地比A地气温低,原因是降水多 11.造成甲、乙两地降水差异的主要因素是( ) A.人类活动 B.海陆因素 C.纬度因素 D.地形因素 12.[2024上海]雨量器是测量降水量的基本仪器。结合下图对冬季降雪量的测 量步骤进行排序。 ①确认雨量器放置于户外无遮挡处 ②换用盛雪口,储水筒容纳降雪 ③取走雨量器中的漏斗和储水瓶 ④读出量杯上的刻度数就是降雪量 ⑤待雪融化后倒在量杯里 ⑥测量时把储水筒带到室内 3关注公众号:陆陆高分冲刺 ~领取:最新版“小中高考-总复习”、最新试卷下载 测量步骤:①→③→______→⑥→______→______ 13.[地理实践·2024河北唐山二模]阅读图文材料,完成下列要求。 2024年1月17日,河北省多地迎来今年首场大范围雨雪天气,对交通运 输、公众出行以及农牧业生产等都有一定影响。同学们收集了石家庄市多年平 均各月降水量的气候资料,如下表。 石家庄市多年平均各月降水量 月份 1 2 3 4 5 6 降水量/毫米 3.9 7.4 11.3 17.8 36.9 56.7 月份 7 8 9 10 11 12 降水量/毫米 141.1 148.3 48.1 27.3 13.2 5.1 (1) 根据表格数据,在图中补充绘制石家庄市年降水量柱状图。 (2) 估算石家庄市年降水量数值,并概括石家庄市降水量的季节变化特点。 (3) 举例说明大雪给人们生产、生活带来的不利影响,并为减少其不利影响 出谋划策。 情境拓展 [生活情境·2024湖北黄冈模拟]“回南天”是一种天气现象,人们会感觉到 空气特别潮湿。读某城市“回南天”天气过程气温变化图。完成14—15题。 4关注公众号:陆陆高分冲刺 ~领取:最新版“小中高考-总复习”、最新试卷下载 14.能准确表示每次“回南天”形成前后气温变化过程的是( ) ①持续几天气温较低 ②气温大幅升高 ③持续高温 ④空气湿度加大 ⑤狂风暴雨 A.①—④—⑤ B.①—②—④ C.②—①—⑤ D.③—④—⑤ 15.受“回南天”影响,当地网购量增加的商品最可能是( ) ①干燥剂 ②除湿机 ③润唇膏 ④电吹风 A.①②③ B.①②④ C.①③④ D.②③④ [2024吉林长春二模]某探险队计划穿越美洲,从北极圈附近的阿拉斯加州 (甲)出发,一路向南,以阿根廷最南端(乙)为目的地。下图为世界局部地 区等温线分布示意图,以及A、B两地的气候资料图,据此完成16—18题。 16.从甲到乙气温的大致变化特点是( ) A.逐渐升高 B.逐渐降低 C.先升后降 D.先降后升 5关注公众号:陆陆高分冲刺 ~领取:最新版“小中高考-总复习”、最新试卷下载 17.关于安第斯山脉东西侧A、B两地气候的说法正确的是( ) A.A、B两地均为热带气候 B.A地气温年较差大于B地 C.A地冬季多雨,B地全年少雨 D.A地夏季气温高于B地 18.导致图中A、B两地降水差异的原因最有可能是 ( ) A.A地位于山地的迎风坡 B.B地深居内陆,距海遥远 C.A地所处纬度高于B地 D.人类活动的影响 [2024山东青岛二模]瓦胡岛,是夏威夷群岛的一部分。受风向和地形影 响,岛上降水出现区域差异。读瓦胡岛地形以及火奴鲁鲁(檀香山)、凯卢阿 两地的多年平均各月降水量示意图,完成19—21题。 19.关于图中两地降水特征的描述,错误的是( ) A.凯卢阿年降水量多于2 000mm B.凯卢阿全年降水季节分配均匀 C.火奴鲁鲁(檀香山)降水量的季节变化较大 D.火奴鲁鲁(檀香山)降水量的年际变化较大 20.依据檀香山、凯卢阿两地的降水量差异,推测瓦胡岛常年盛行( ) A.东北风 B.东南风 C.西北风 D.西南风 21.推测凯卢阿地区的降水类型主要是( ) 6关注公众号:陆陆高分冲刺 ~领取:最新版“小中高考-总复习”、最新试卷下载 A. B. C. D. 22.[地理实践·2024山东泰安]泰安市某中学气象爱好者小组的同学们,为了 解等温线的相关知识,在校内外进行了系列实践活动。读下列图文材料,回答 问题。 气温观测:为弘扬求真务实的科学探究精神,2023年11月3日,地理老师 组织气象爱好者小组利用学校地理园中的观测仪器记录了下列气温数据。 记录时间 8时 14时 20时 2时 气温数值(℃) 10 19 14 9 记录日期:______记录人:______ 7关注公众号:陆陆高分冲刺 ~领取:最新版“小中高考-总复习”、最新试卷下载 (1) 气温观测仪器一般放置在离地面1.5米处的____箱中,根据上表中的观 测数据计算出当天的平均气温是__℃。后续气象爱好者小组利用气象自动记录 仪记录的数据,计算出了11月份每天的平均气温值,并由此计算出了学校所在 地11月份的月平均气温。 等温线图绘制:2024年春节前夕,气象爱好者小组的同学们赴当地气象局 开展研学活动,搜集到了当地某区域众多不同地点的7月平均气温数值,仿照 绘制等高线地形图的方法,绘制成该地区7月等温线分布图(下图)。 泰安市某地区7月等温线分布 (2) 据图可以判断,该地区7月最高气温在__℃以上,A处等温线呈封闭形 态,表示这里是____中心。 等温线图运用:明确了等温线分布图的“来龙去脉”后,同学们又从网上 搜集了许多地区的等温线分布图,在地理老师的指导下尝试解读、分析、验 证。 (3) 读下图归纳澳大利亚大陆1月气温分布特点。 澳大利亚1月等温线分布 8关注公众号:陆陆高分冲刺 ~领取:最新版“小中高考-总复习”、最新试卷下载 知识拓展:据世界气象组织常年对全球气温监测发现,全球气温不断上 升。联合国政府间气候变化专门委员会发布《全球升温1.5℃特别报告》,部 分指标见下表。 升高1.5℃ 升高2.0℃ 植物消亡比例 8% 16% 北极永久冻土解冻面积 480万km2 660万km2 玉米减产幅度 3% 7% (4) 请从表中任选一个方面说出全球升温1.5℃到2.0℃的影响变化。 (5) 你认为全球气温升高,将给南极地区生态环境带来哪些影响? 以身践行:知识来源于实践,正确的知识能够指导实践、规范人类行为, 做到尊重自然、爱护自然,与自然和谐相处。 (6) 面对全球气候变暖,作为中学生可采取哪些实际行动来保护我们的地球 家园。 素养提升 23.[地理实践·2024山东济南一模]某校学生计划探究地形对气温的影响。在 A1和A2点进行“海拔高低对气温的影响”的实验,在B1和B2点进行“坡向 对气温的影响”的实验。图1为学生的工具包。图2为实验当天该学生绘制的 太阳在天空中的移动轨迹。 ①地图 ②温度计 ③氧气检测仪 9关注公众号:陆陆高分冲刺 ~领取:最新版“小中高考-总复习”、最新试卷下载 ④噪声仪 ⑤北斗定位设备(可显示海拔) 图1 图2 (1) 在工具包中,选择完成本次任务所需要的三个工具。 (2) 观测当日,日出于____(方位),日落于____(方位)。 (3) 在“海拔高低对气温的影响”的实验中,学生测得18.2℃和16.1℃两个 数值。推测A1点对应的数值,并分析A1和A2点的气温值存在差异的原因。 (4) 学生测得B2点气温高于B1点气温,简析两点气温值存在差异的原因。 (5) 列举还可能会干扰实验测量点气温的自然因素。 第 2 讲 气候 基础巩固 [2024山东淄博模拟]受纬度、海陆、地形等因素的影响,世界各地的气 温、降水都有很大差异,形成了不同的气候类型。读四幅“气温变化曲线和降 水量柱状图”,完成1—2题。 10关注公众号:陆陆高分冲刺 ~领取:最新版“小中高考-总复习”、最新试卷下载 1.下列对应正确的一组是( ) A.甲——热带季风气候 B.乙——地中海气候 C.丙——温带季风气候 D.丁——温带海洋性气候 2.上述气候类型中,亚洲没有的是( ) A.甲 B.乙 C.丙 D.丁 [2024湖南益阳一模]马黛茶是阿根廷的国饮,其制作原料马黛树是一种生 长于18°S—30°S的亚热带常绿植物,其生长期需要高温、高湿,在气温较低时 进行采摘。图为马黛树种植区的气候资料图。据此完成3—4题。 3.马黛树生长地区的气候特点是( ) A.终年炎热干燥 B.夏季高温多雨,冬季温和湿润 C.全年寒冷干燥 D.夏季温和湿润,冬季寒冷干燥 4.马黛茶的采摘期最可能是( ) A.4—8月 B.9月—次年1月 11关注公众号:陆陆高分冲刺 ~领取:最新版“小中高考-总复习”、最新试卷下载 C.1—4月 D.7—11月 [2024广东]银蚁生活在非洲撒哈拉沙漠,其生存绝技是能以0.855米/秒的 速度在高温天气出巢觅食,被称为“快银”。图(a)为非洲气候类型分布图, 图(b)为银蚁分布地区气候资料及银蚁外观图。完成5—7题。 5.非洲气候类型的分布特点是( ) A.呈半环状分布 B.呈放射状分布 C.南北纵列分布 D.以赤道为轴南北对称分布 6.银蚁分布地区的气候特征是( ) A.全年高温多雨 B.全年温和湿润 C.全年寒冷干燥 D.全年炎热干燥 7.银蚁在觅食时快速移动主要是为了避免( ) A.高温灼伤 B.暴雨淋洗 C.强风袭击 D.低温冻伤 情境拓展 [2024河北]津巴布韦位于非洲南部,长期以来一直依赖传统化石燃料发 电,能源成本高昂且电力供应不稳定。中国某企业助力其发展光伏(太阳能) 发电,并协助该国在马斯温戈省建设了一个“光伏+储能+柴油发电站”的能源 系统。下图示意马斯温戈多年平均各月气温和降水量。据此完成8—9题。 12关注公众号:陆陆高分冲刺 ~领取:最新版“小中高考-总复习”、最新试卷下载 8.5—9月该能源系统光伏发电量大,主要原因是此时段( ) A.风力弱 B.气温高 C.温差小 D.降水少 9.与津巴布韦传统发电方式相比,该能源系统的主要优点是( ) ①发电成本低 ②占地面积小 ③供电更稳定 ④技术要求低 A.①② B.①③ C.②④ D.③④ [创新情境·2024山东德州一模]菲律宾保和岛中部为丘陵,丘陵上的草在 雨季时为绿色,旱季时则被炎热的太阳晒干变成咖啡色,酷似巧克力,因此得 名“巧克力山”。下面图1为巧克力山位置简图,图2为巧克力山景观图,图3 为保和岛气温曲线和降水量柱状图。读图,完成10—11题。 图1 图2 图3 10.据图分析,保和岛( ) A.位于低纬度地区 B.为热带草原气候 C.中部地势较低 D.降水季节变化不明显 11.能够欣赏到咖啡色“巧克力山”的最佳时间是 ( ) A.2—4月 B.6—7月 C.7—8月 D.9—10月 [2024重庆]2024年1月,小华与父亲前往马达加斯加岛(如图)旅行,在 甲地看见了能用粗壮树干蓄水的猴面包树景观,之后来到首都——塔那那利佛 附近的森林中,看见了物种古老而独特的狐猴、番茄蛙,完成12—14题。 13关注公众号:陆陆高分冲刺 ~领取:最新版“小中高考-总复习”、最新试卷下载 12.马达加斯加岛至今存在着狐猴、番茄蛙等古老物种的主要原因是该岛 ( ) A.地形崎岖 B.气候干旱 C.经济落后 D.位置孤立 13.最适宜生长猴面包树的气候类型是( ) A.热带雨林气候 B.热带季风气候 C.热带草原气候 D.热带沙漠气候 14.马达加斯加首都具有的自然地理现象是( ) A.极昼极夜 B.阳光直射 C.沙漠广布 D.峡湾众多 [创新情境·2024山东滨州]油橄榄具有喜温耐旱的特性,根系发达,叶面 较硬且具有蜡质层。读“油橄榄景观图”和“油橄榄生长地气温曲线和降水量 柱状图”,完成15—16题。 15.油橄榄根系发达,叶面较硬且具有蜡质层的特性是为了适应当地( ) A.全年温和湿润的气候 B.全年高温多雨的气候 C.冬季寒冷干燥的气候 D.夏季炎热干燥的气候 16.根据油橄榄生长习性,推测其适合生长的国家是 ( ) A.新加坡 B.印度 C.法国 D.巴西 17.[对比分析·2024山东聊城一模]阅读图文资料,完成下列问题。 国家公园是自然保护区的一种类型。读五个国家公园及世界气候类型分 布、马赛人迁徙线路、坦桑尼亚北部气候示意图,完成下面小题。 14关注公众号:陆陆高分冲刺 ~领取:最新版“小中高考-总复习”、最新试卷下载 (1) 读气候类型分布图,与南唐斯国家公园相比,东北虎豹国家公园的气温 年较差__(大/小),降水季节变化__(大/小)。 (2) 比较卡卡杜国家公园和乌卢鲁—卡塔楚塔国家公园气候对河流水文特征 的影响。 国家 气候类型 降水特点 对河流水文特征的影响 公园 卡卡①________________②________________________________ ③__________________ 杜国 家公 园 乌卢④________________ ⑤________________ ⑥____________________ 鲁— 卡塔 15关注公众号:陆陆高分冲刺 ~领取:最新版“小中高考-总复习”、最新试卷下载 楚塔 国家 公园 (3) 读马赛人迁徙线路图、坦桑尼亚北部气候示意图,分别判断马赛人5— 10月、10月—次年4月迁徙方向。 素养提升 [方法提升·2024山东东营一模]读下面理想大陆气候分布图,完成18—19 题。 18.造成D、I、H三处气候差异的主要因素是( ) A.纬度位置 B.海陆位置 C.地形 D.洋流 19.按照世界年降水量分布的一般规律,下列叙述不正确的是( ) A.一般来说,A处降水量大于J处 B.一般来说,B处降水量大于F处 C.一般来说,D处降水量大于I处 D.一般来说,I处降水量大于H处 [区域对比·2024山东潍坊一模]索科特拉岛石灰岩层遍布,岛上有许多奇 特的动植物,如“沙漠玫瑰”直接嵌进石头里,完全不需要土壤,喜高温干燥 和阳光充足的环境,树皮像橡胶一样闪闪发亮,枝干顶端长出漂亮的粉红色花 朵。下图示意“索科特拉岛位置”和“沙漠玫瑰”,据此完成20—22题。 20.据以上材料,判断索科特拉岛的植被类型为 ( ) 16关注公众号:陆陆高分冲刺 ~领取:最新版“小中高考-总复习”、最新试卷下载 A.热带草原 B.热带荒漠 C.常绿阔叶林 D.落叶阔叶林 21.“沙漠玫瑰”树皮像橡胶一样闪闪发亮,主要有利于( ) A.散热 B.耐酷寒 C.减少水分蒸发 D.防风沙 22.岛上石灰岩广布,但并未如云贵高原一样发育喀斯特地貌,推测其原因可 能是( ) A.气候终年炎热 B.降水较少,干燥 C.距离非洲大陆较远 D.石灰岩岩层较薄 23.[综合分析·2024山东聊城一模]气候是重要的自然地理要素,与人们的生 产生活息息相关。下图是世界气候类型的分布示意图,结合图文资料,完成下 列问题。 (1) 世界各地气候差异很大,不同的气候类型呈现出不同的自然景观。观察 上面甲、丙两地自然景观图片,推测两地的气候类型分别是 ____________________________。造成两地气候差异的主要因素是 __________。 17关注公众号:陆陆高分冲刺 ~领取:最新版“小中高考-总复习”、最新试卷下载 (2) 气候对河流的水文特征影响很大。上图是亚马孙河流域某地多年平均气 温曲线与降水量柱状图。据图简要概括该地的气候特征________________,并 分析亚马孙河的水文特征与气候特征之间的关系 _____________________________________________________________________ ___。 (3) 俄罗斯的亚马尔半岛位于北极圈以北,冻土广布。夏季与外界陆地联系 困难,唯一的交通方式是乘坐直升飞机,冬季是全年与外界联系最畅通的时 候。上图是亚马尔半岛位置示意及气候资料图。从气候角度分析该地陆上交通 夏季困难、冬季畅通的原因。 18关注公众号:陆陆高分冲刺 ~领取:最新版“小中高考-总复习”、最新试卷下载 主题五 天气与气候 第 1 讲 天气、气温与降水 基础巩固 1.B 2.A 3.B 4.A [解析]一天当中,最低气温出现在日出前后,故6时最为符合。故选A。 5.B [解析]由表可知,当日最高气温大致为43℃,最低气温大致为21℃,因此当日 气温日较差为22℃,故选B。 6.C 7.C 8.B [解析]南半球的等温线较北半球平直的主要原因是:南半球陆地面积小,尤其是 南半球中纬度地区,陆地面积更小,以海洋为主,气温分布受海陆因素影响比 较小,主要受纬度因素影响,因此等温线比较平直,基本与纬线平行。故选 B。 9.A [解析]读图可知,图中S为南方,濒临海洋,风从海洋上吹过来,所以南坡是 迎风坡,降水多,而N为北方,所以北坡为背风坡,降水少,故选A。 10.C [解析]甲气流刚从海洋上登陆比较湿润,而乙气流是经过了南坡,已经消耗了 部分水汽,相对要干燥,A错误;迎风坡降水多,植被生长更茂盛,背风坡降水 少,植被更稀少,B错误;图中A地海拔为120米,B地海拔为2 720米,两地 海拔相差2 600米,而海拔每相差1 000米,气温相差约6℃,所以A、B两地 19关注公众号:陆陆高分冲刺 ~领取:最新版“小中高考-总复习”、最新试卷下载 气温相差约16℃,故C项正确。B地比A地气温低,是因为B地海拔比A地 高,海拔越高,气温越低,D错误。故选C。 11.D 12.②; ⑤; ④ 13.(1) (2) 517.1毫米(+/-3毫米);夏秋多、冬春少。 (3) 不利影响:道路湿滑,容易摔伤;容易造成交通堵塞,发生交通事故;影响 高铁、航空运输,导致延误;部分抗寒能力较弱的农作物会受到冻害,造成减 产;等。 对策:注意收看天气预报;提前制定应急预案;及时清除道路积雪;尽量减少外出; 车辆减速慢行;提前将抗寒能力较弱的农作物进行覆盖,注意保暖;等。 情境拓展 14.B [解析]“回南天”是天气返潮现象,一般出现在春季的二、三月份,主要是因为 ①受冷空气影响,持续几天气温较低,冷空气走后,②暖湿气流迅速反攻,致 使气温大幅升高,④空气湿度加大,一些冰冷的物体表面遇到暖湿气流后,容 易产生水珠。故选B。 15.B [解析]“回南天”出现时,空气湿度接近饱和,墙壁甚至地面都会“冒水”,到 处是湿漉漉的景象,空气似乎都能拧出水来。需要利用①干燥剂、②除湿机、 ④电吹风来缓解潮湿,空气湿度大不需要润唇膏,③排除。故选B。 16.C [解析]结合所学知识,从甲到乙气温的大致变化特点是先升后降。因为气温的 变化特点是大致由低纬度向高纬度递减,出发地甲位于北极圈附近的高纬度地 20关注公众号:陆陆高分冲刺 ~领取:最新版“小中高考-总复习”、最新试卷下载 区,一路向南到赤道,纬度不断降低,气温不断升高,然后从赤道附近向阿根 廷最南端乙地前进,纬度不断升高,气温不断降低。A、B、D错误,C正确。 17.C 18.A [解析]由图可知,来自太平洋的暖湿气流被安第斯山脉阻挡,在A地形成迎风 坡,B地形成背风坡,因此导致了A、B两地降水出现显著差异,A正确;B地 离海很近,没有位于内陆地区,B错误;A地所处纬度低于B地,C错误;与人 类活动无关,D错误。故选A。 19.D 20.A [解析]由图可知,火奴鲁鲁(檀香山)、凯卢阿两地分别位于瓦胡岛的南侧海 岸和东北侧海岸,两地之间隔着西北—东南走向的山地。由降水量图可知,火 奴鲁鲁(檀香山)每个月份降水量均低于凯卢阿,由此可推断凯卢阿位于迎风 坡,而火奴鲁鲁(檀香山)位于背风坡,因此瓦胡岛常年盛行的应该是东北 风,故选A。 21.B [解析]A是对流雨,B是地形雨,C是锋面雨,D是台风雨。根据上述分析可 知,凯卢阿地区的降水类型主要是地形雨。故选B。 22.(1) 百叶; 13 (2) 30; 低温 (3) 气温从中间向四周降低。 (4) 气温升高,导致植物消亡的比例大幅上升(由8%到16%),植物吸收二 氧化碳量减少,二氧化碳浓度上升,加剧全球气候变暖。 (5) 南极地区冰川融化越来越快,海平面升高;随着全球气温的升高,冰川和 冻土融化,海冰消失,对野生动物生存带来不利影响。 (6) 低碳出行、环保宣传。 素养提升 23.(1) 地图、温度计、北斗定位设备。 (2) 东南; 西南 21关注公众号:陆陆高分冲刺 ~领取:最新版“小中高考-总复习”、最新试卷下载 (3) A1点的数值应为16.1℃。A1点海拔高,气温较低,A2点海拔低,气温 较高。 (4) B2点所在的南面为阳坡,受太阳长时间照射,气温较高;而B1点位于北 面,是阴坡,气温较低。 (5) 云层遮蔽、树荫遮蔽、风速等。 第 2 讲 气候 基础巩固 1.C [解析]甲夏季炎热干燥,冬季温和多雨,属于地中海气候;乙全年降水均匀, 温差较小,属于温带海洋性气候;丙雨热同期,年温差较大,属于温带季风气 候;丁全年高温,旱雨季分明,属于热带季风气候。故选C。 2.B [解析]温带海洋性气候分布在南北纬40°~60°的大陆西岸,该气候在亚洲没有 分布。故选B。 3.B [解析]由材料分析,马黛树属于亚热带常绿植物,由图可知其种植区夏季高温 多雨,冬季温和湿润,故选B。 4.A [解析]马黛树在气温较低时进行采摘,从图示中看出,该地4—8月气温较低, 推知马黛茶的采摘期可能是4—8月,故选A。 5.D [解析]赤道穿过非洲大陆的中部,非洲大部分位于南北回归线之间。非洲气候 分布以赤道为轴,南北大致对称。从赤道往南、北两侧,依次出现热带雨林气 候、热带草原气候、热带沙漠气候和地中海气候。故选D。 6.D [解析]读图可知,银蚁分布地区的气候特征是全年炎热干燥,属于典型的热带 沙漠气候,该气候类型主要分布在南北回归线附近的大陆中西部地区,其中在 撒哈拉沙漠地区分布最广。故选D。 7.A 情境拓展 22关注公众号:陆陆高分冲刺 ~领取:最新版“小中高考-总复习”、最新试卷下载 8.D [解析]由马斯温戈多年平均各月气温和降水量知,5—9月降水少,推知晴天 多,太阳辐射多,光伏发电量大,故选D。 9.B [解析]由材料知,津巴布韦长期以来一直依赖传统化石燃料发电,能源成本高 昂且电力供应不稳定。与传统发电方式相比,该能源系统的主要优点是发电成 本低、供电更稳定,①③正确;光伏发电占地面积更大,技术要求可能更高, ②④错误。故选B。 10.A 11.A [解析]由题可知,丘陵上的草在雨季时为绿色,旱季时则被炎热的太阳晒干变 成咖啡色,酷似巧克力,而在一年当中,2—4月是降水最少,气候最为干旱的 月份,所以2—4月最适合欣赏咖啡色“巧克力山”,故选A。 12.D [解析]马达加斯加岛地形中间高、两侧低,地形崎岖会导致物种的复杂度增 加,不会影响物种的古老程度,A错误;该地东西两侧分别属于热带雨林气候 和热带草原气候,降水总量大,B错误;经济落后与物种的古老程度无关,C 错误;该岛四面环海,和外界联系不方便,因此存在着许多古老物种,D正 确。故选D。 13.C [解析]猴面包树利用粗壮的树干存水,说明该地降水季节差异较大。热带雨林 全年多雨,A错误;热带季风气候分布在大陆东岸,该地在大陆西岸,B错 误;热带草原气候分为明显的干湿两季,且分布在大陆西岸,C正确;热带沙 漠气候全年降水较少,植被以荒漠为主,无高大树木,D错误。故选C。 14.B 15.D [解析]图中气候类型为夏季炎热干燥,冬季温和多雨的地中海气候。油橄榄根 系发达,有利于吸收水分,树皮厚,树叶叶面有蜡质层,有利于防止水分蒸 发,这些特征都是为了适应夏季炎热干燥的气候,故选D。 16.C 23关注公众号:陆陆高分冲刺 ~领取:最新版“小中高考-总复习”、最新试卷下载 [解析]根据油橄榄生长习性,油橄榄主要分布在地中海沿岸,法国南部属于地 中海气候,C正确。新加坡、印度、巴西位于热带,A、B、D排除,故选C。 17.(1) 大; 大 (2) 热带草原气候; 降水季节变化大,分干湿两季; 流量季节变化大; 热 带沙漠气候; 终年降水稀少; 流量小,含沙量大 (3) 每年的5—10月马赛人的迁徙方向是由多多马向基塔莱即向北迁徙;每年 11月—次年4月由基塔莱开始向南迁徙。 素养提升 18.B [解析]由图可知,图中D、I、H三处分布在纬度位置相近的不同地区,D在大 陆东岸,I在大陆内部,H在大陆西岸,造成D、I、H三处气候差异的主要因 素是海陆位置不同,故选B。 19.D [解析]由图可知,图中A处位于赤道附近,降水多,J处位于北极圈附近,气温 低、降水少,A正确;B处位于北回归线附近的大陆东岸,降水量大于位于大 陆西岸的F处,B正确;D处位于中纬度大陆东岸,降水量大于位于大陆内部 的I处,C正确;H处位于中纬度大陆西岸,降水量大于大陆内部的I处,D错 误。故选D。 20.B [解析]由材料可知,该地典型植物——“沙漠玫瑰”,喜高温干燥,且从图片 中发现叶子很少,说明当地炎热干燥,故为热带沙漠气候,因此对应植被类型 为热带荒漠。故选B。 21.C 22.B 23.(1) 热带雨林气候、寒带气候; 纬度因素 (2) 全年高温多雨; 因为全年高温,所以河流无冰期;因为全年多雨,所以 河流水量大 (3) 夏季气温高于0℃,冻土表层融化,道路泥泞难行;冬季严寒,地面冻结 坚硬,道路通畅。 24
基本 文件 流程 错误 SQL 调试
  1. 请求信息 : 2026-03-01 06:34:15 HTTP/1.1 GET : https://www.yeyulingfeng.com/wendang/329869.html
  2. 运行时间 : 0.086469s [ 吞吐率:11.56req/s ] 内存消耗:6,011.88kb 文件加载:144
  3. 缓存信息 : 0 reads,0 writes
  4. 会话信息 : SESSION_ID=8730bd9704f4926915693892d2cf3e61
  1. /yingpanguazai/ssd/ssd1/www/wwww.yeyulingfeng.com/public/index.php ( 0.79 KB )
  2. /yingpanguazai/ssd/ssd1/www/wwww.yeyulingfeng.com/vendor/autoload.php ( 0.17 KB )
  3. /yingpanguazai/ssd/ssd1/www/wwww.yeyulingfeng.com/vendor/composer/autoload_real.php ( 2.49 KB )
  4. /yingpanguazai/ssd/ssd1/www/wwww.yeyulingfeng.com/vendor/composer/platform_check.php ( 0.90 KB )
  5. /yingpanguazai/ssd/ssd1/www/wwww.yeyulingfeng.com/vendor/composer/ClassLoader.php ( 14.03 KB )
  6. /yingpanguazai/ssd/ssd1/www/wwww.yeyulingfeng.com/vendor/composer/autoload_static.php ( 6.05 KB )
  7. /yingpanguazai/ssd/ssd1/www/wwww.yeyulingfeng.com/vendor/topthink/think-helper/src/helper.php ( 8.34 KB )
  8. /yingpanguazai/ssd/ssd1/www/wwww.yeyulingfeng.com/vendor/topthink/think-validate/src/helper.php ( 2.19 KB )
  9. /yingpanguazai/ssd/ssd1/www/wwww.yeyulingfeng.com/vendor/ralouphie/getallheaders/src/getallheaders.php ( 1.60 KB )
  10. /yingpanguazai/ssd/ssd1/www/wwww.yeyulingfeng.com/vendor/topthink/think-orm/src/helper.php ( 1.47 KB )
  11. /yingpanguazai/ssd/ssd1/www/wwww.yeyulingfeng.com/vendor/topthink/think-orm/stubs/load_stubs.php ( 0.16 KB )
  12. /yingpanguazai/ssd/ssd1/www/wwww.yeyulingfeng.com/vendor/topthink/framework/src/think/Exception.php ( 1.69 KB )
  13. /yingpanguazai/ssd/ssd1/www/wwww.yeyulingfeng.com/vendor/topthink/think-container/src/Facade.php ( 2.71 KB )
  14. /yingpanguazai/ssd/ssd1/www/wwww.yeyulingfeng.com/vendor/symfony/deprecation-contracts/function.php ( 0.99 KB )
  15. /yingpanguazai/ssd/ssd1/www/wwww.yeyulingfeng.com/vendor/symfony/polyfill-mbstring/bootstrap.php ( 8.26 KB )
  16. /yingpanguazai/ssd/ssd1/www/wwww.yeyulingfeng.com/vendor/symfony/polyfill-mbstring/bootstrap80.php ( 9.78 KB )
  17. /yingpanguazai/ssd/ssd1/www/wwww.yeyulingfeng.com/vendor/symfony/var-dumper/Resources/functions/dump.php ( 1.49 KB )
  18. /yingpanguazai/ssd/ssd1/www/wwww.yeyulingfeng.com/vendor/topthink/think-dumper/src/helper.php ( 0.18 KB )
  19. /yingpanguazai/ssd/ssd1/www/wwww.yeyulingfeng.com/vendor/symfony/var-dumper/VarDumper.php ( 4.30 KB )
  20. /yingpanguazai/ssd/ssd1/www/wwww.yeyulingfeng.com/vendor/guzzlehttp/guzzle/src/functions_include.php ( 0.16 KB )
  21. /yingpanguazai/ssd/ssd1/www/wwww.yeyulingfeng.com/vendor/guzzlehttp/guzzle/src/functions.php ( 5.54 KB )
  22. /yingpanguazai/ssd/ssd1/www/wwww.yeyulingfeng.com/vendor/topthink/framework/src/think/App.php ( 15.30 KB )
  23. /yingpanguazai/ssd/ssd1/www/wwww.yeyulingfeng.com/vendor/topthink/think-container/src/Container.php ( 15.76 KB )
  24. /yingpanguazai/ssd/ssd1/www/wwww.yeyulingfeng.com/vendor/psr/container/src/ContainerInterface.php ( 1.02 KB )
  25. /yingpanguazai/ssd/ssd1/www/wwww.yeyulingfeng.com/app/provider.php ( 0.19 KB )
  26. /yingpanguazai/ssd/ssd1/www/wwww.yeyulingfeng.com/vendor/topthink/framework/src/think/Http.php ( 6.04 KB )
  27. /yingpanguazai/ssd/ssd1/www/wwww.yeyulingfeng.com/vendor/topthink/think-helper/src/helper/Str.php ( 7.29 KB )
  28. /yingpanguazai/ssd/ssd1/www/wwww.yeyulingfeng.com/vendor/topthink/framework/src/think/Env.php ( 4.68 KB )
  29. /yingpanguazai/ssd/ssd1/www/wwww.yeyulingfeng.com/app/common.php ( 0.03 KB )
  30. /yingpanguazai/ssd/ssd1/www/wwww.yeyulingfeng.com/vendor/topthink/framework/src/helper.php ( 18.78 KB )
  31. /yingpanguazai/ssd/ssd1/www/wwww.yeyulingfeng.com/vendor/topthink/framework/src/think/Config.php ( 5.54 KB )
  32. /yingpanguazai/ssd/ssd1/www/wwww.yeyulingfeng.com/config/alipay.php ( 3.59 KB )
  33. /yingpanguazai/ssd/ssd1/www/wwww.yeyulingfeng.com/vendor/topthink/framework/src/think/facade/Env.php ( 1.67 KB )
  34. /yingpanguazai/ssd/ssd1/www/wwww.yeyulingfeng.com/config/app.php ( 0.95 KB )
  35. /yingpanguazai/ssd/ssd1/www/wwww.yeyulingfeng.com/config/cache.php ( 0.78 KB )
  36. /yingpanguazai/ssd/ssd1/www/wwww.yeyulingfeng.com/config/console.php ( 0.23 KB )
  37. /yingpanguazai/ssd/ssd1/www/wwww.yeyulingfeng.com/config/cookie.php ( 0.56 KB )
  38. /yingpanguazai/ssd/ssd1/www/wwww.yeyulingfeng.com/config/database.php ( 2.48 KB )
  39. /yingpanguazai/ssd/ssd1/www/wwww.yeyulingfeng.com/config/filesystem.php ( 0.61 KB )
  40. /yingpanguazai/ssd/ssd1/www/wwww.yeyulingfeng.com/config/lang.php ( 0.91 KB )
  41. /yingpanguazai/ssd/ssd1/www/wwww.yeyulingfeng.com/config/log.php ( 1.35 KB )
  42. /yingpanguazai/ssd/ssd1/www/wwww.yeyulingfeng.com/config/middleware.php ( 0.19 KB )
  43. /yingpanguazai/ssd/ssd1/www/wwww.yeyulingfeng.com/config/route.php ( 1.89 KB )
  44. /yingpanguazai/ssd/ssd1/www/wwww.yeyulingfeng.com/config/session.php ( 0.57 KB )
  45. /yingpanguazai/ssd/ssd1/www/wwww.yeyulingfeng.com/config/trace.php ( 0.34 KB )
  46. /yingpanguazai/ssd/ssd1/www/wwww.yeyulingfeng.com/config/view.php ( 0.82 KB )
  47. /yingpanguazai/ssd/ssd1/www/wwww.yeyulingfeng.com/app/event.php ( 0.25 KB )
  48. /yingpanguazai/ssd/ssd1/www/wwww.yeyulingfeng.com/vendor/topthink/framework/src/think/Event.php ( 7.67 KB )
  49. /yingpanguazai/ssd/ssd1/www/wwww.yeyulingfeng.com/app/service.php ( 0.13 KB )
  50. /yingpanguazai/ssd/ssd1/www/wwww.yeyulingfeng.com/app/AppService.php ( 0.26 KB )
  51. /yingpanguazai/ssd/ssd1/www/wwww.yeyulingfeng.com/vendor/topthink/framework/src/think/Service.php ( 1.64 KB )
  52. /yingpanguazai/ssd/ssd1/www/wwww.yeyulingfeng.com/vendor/topthink/framework/src/think/Lang.php ( 7.35 KB )
  53. /yingpanguazai/ssd/ssd1/www/wwww.yeyulingfeng.com/vendor/topthink/framework/src/lang/zh-cn.php ( 13.70 KB )
  54. /yingpanguazai/ssd/ssd1/www/wwww.yeyulingfeng.com/vendor/topthink/framework/src/think/initializer/Error.php ( 3.31 KB )
  55. /yingpanguazai/ssd/ssd1/www/wwww.yeyulingfeng.com/vendor/topthink/framework/src/think/initializer/RegisterService.php ( 1.33 KB )
  56. /yingpanguazai/ssd/ssd1/www/wwww.yeyulingfeng.com/vendor/services.php ( 0.14 KB )
  57. /yingpanguazai/ssd/ssd1/www/wwww.yeyulingfeng.com/vendor/topthink/framework/src/think/service/PaginatorService.php ( 1.52 KB )
  58. /yingpanguazai/ssd/ssd1/www/wwww.yeyulingfeng.com/vendor/topthink/framework/src/think/service/ValidateService.php ( 0.99 KB )
  59. /yingpanguazai/ssd/ssd1/www/wwww.yeyulingfeng.com/vendor/topthink/framework/src/think/service/ModelService.php ( 2.04 KB )
  60. /yingpanguazai/ssd/ssd1/www/wwww.yeyulingfeng.com/vendor/topthink/think-trace/src/Service.php ( 0.77 KB )
  61. /yingpanguazai/ssd/ssd1/www/wwww.yeyulingfeng.com/vendor/topthink/framework/src/think/Middleware.php ( 6.72 KB )
  62. /yingpanguazai/ssd/ssd1/www/wwww.yeyulingfeng.com/vendor/topthink/framework/src/think/initializer/BootService.php ( 0.77 KB )
  63. /yingpanguazai/ssd/ssd1/www/wwww.yeyulingfeng.com/vendor/topthink/think-orm/src/Paginator.php ( 11.86 KB )
  64. /yingpanguazai/ssd/ssd1/www/wwww.yeyulingfeng.com/vendor/topthink/think-validate/src/Validate.php ( 63.20 KB )
  65. /yingpanguazai/ssd/ssd1/www/wwww.yeyulingfeng.com/vendor/topthink/think-orm/src/Model.php ( 23.55 KB )
  66. /yingpanguazai/ssd/ssd1/www/wwww.yeyulingfeng.com/vendor/topthink/think-orm/src/model/concern/Attribute.php ( 21.05 KB )
  67. /yingpanguazai/ssd/ssd1/www/wwww.yeyulingfeng.com/vendor/topthink/think-orm/src/model/concern/AutoWriteData.php ( 4.21 KB )
  68. /yingpanguazai/ssd/ssd1/www/wwww.yeyulingfeng.com/vendor/topthink/think-orm/src/model/concern/Conversion.php ( 6.44 KB )
  69. /yingpanguazai/ssd/ssd1/www/wwww.yeyulingfeng.com/vendor/topthink/think-orm/src/model/concern/DbConnect.php ( 5.16 KB )
  70. /yingpanguazai/ssd/ssd1/www/wwww.yeyulingfeng.com/vendor/topthink/think-orm/src/model/concern/ModelEvent.php ( 2.33 KB )
  71. /yingpanguazai/ssd/ssd1/www/wwww.yeyulingfeng.com/vendor/topthink/think-orm/src/model/concern/RelationShip.php ( 28.29 KB )
  72. /yingpanguazai/ssd/ssd1/www/wwww.yeyulingfeng.com/vendor/topthink/think-helper/src/contract/Arrayable.php ( 0.09 KB )
  73. /yingpanguazai/ssd/ssd1/www/wwww.yeyulingfeng.com/vendor/topthink/think-helper/src/contract/Jsonable.php ( 0.13 KB )
  74. /yingpanguazai/ssd/ssd1/www/wwww.yeyulingfeng.com/vendor/topthink/think-orm/src/model/contract/Modelable.php ( 0.09 KB )
  75. /yingpanguazai/ssd/ssd1/www/wwww.yeyulingfeng.com/vendor/topthink/framework/src/think/Db.php ( 2.88 KB )
  76. /yingpanguazai/ssd/ssd1/www/wwww.yeyulingfeng.com/vendor/topthink/think-orm/src/DbManager.php ( 8.52 KB )
  77. /yingpanguazai/ssd/ssd1/www/wwww.yeyulingfeng.com/vendor/topthink/framework/src/think/Log.php ( 6.28 KB )
  78. /yingpanguazai/ssd/ssd1/www/wwww.yeyulingfeng.com/vendor/topthink/framework/src/think/Manager.php ( 3.92 KB )
  79. /yingpanguazai/ssd/ssd1/www/wwww.yeyulingfeng.com/vendor/psr/log/src/LoggerTrait.php ( 2.69 KB )
  80. /yingpanguazai/ssd/ssd1/www/wwww.yeyulingfeng.com/vendor/psr/log/src/LoggerInterface.php ( 2.71 KB )
  81. /yingpanguazai/ssd/ssd1/www/wwww.yeyulingfeng.com/vendor/topthink/framework/src/think/Cache.php ( 4.92 KB )
  82. /yingpanguazai/ssd/ssd1/www/wwww.yeyulingfeng.com/vendor/psr/simple-cache/src/CacheInterface.php ( 4.71 KB )
  83. /yingpanguazai/ssd/ssd1/www/wwww.yeyulingfeng.com/vendor/topthink/think-helper/src/helper/Arr.php ( 16.63 KB )
  84. /yingpanguazai/ssd/ssd1/www/wwww.yeyulingfeng.com/vendor/topthink/framework/src/think/cache/driver/File.php ( 7.84 KB )
  85. /yingpanguazai/ssd/ssd1/www/wwww.yeyulingfeng.com/vendor/topthink/framework/src/think/cache/Driver.php ( 9.03 KB )
  86. /yingpanguazai/ssd/ssd1/www/wwww.yeyulingfeng.com/vendor/topthink/framework/src/think/contract/CacheHandlerInterface.php ( 1.99 KB )
  87. /yingpanguazai/ssd/ssd1/www/wwww.yeyulingfeng.com/app/Request.php ( 0.09 KB )
  88. /yingpanguazai/ssd/ssd1/www/wwww.yeyulingfeng.com/vendor/topthink/framework/src/think/Request.php ( 55.78 KB )
  89. /yingpanguazai/ssd/ssd1/www/wwww.yeyulingfeng.com/app/middleware.php ( 0.25 KB )
  90. /yingpanguazai/ssd/ssd1/www/wwww.yeyulingfeng.com/vendor/topthink/framework/src/think/Pipeline.php ( 2.61 KB )
  91. /yingpanguazai/ssd/ssd1/www/wwww.yeyulingfeng.com/vendor/topthink/think-trace/src/TraceDebug.php ( 3.40 KB )
  92. /yingpanguazai/ssd/ssd1/www/wwww.yeyulingfeng.com/vendor/topthink/framework/src/think/middleware/SessionInit.php ( 1.94 KB )
  93. /yingpanguazai/ssd/ssd1/www/wwww.yeyulingfeng.com/vendor/topthink/framework/src/think/Session.php ( 1.80 KB )
  94. /yingpanguazai/ssd/ssd1/www/wwww.yeyulingfeng.com/vendor/topthink/framework/src/think/session/driver/File.php ( 6.27 KB )
  95. /yingpanguazai/ssd/ssd1/www/wwww.yeyulingfeng.com/vendor/topthink/framework/src/think/contract/SessionHandlerInterface.php ( 0.87 KB )
  96. /yingpanguazai/ssd/ssd1/www/wwww.yeyulingfeng.com/vendor/topthink/framework/src/think/session/Store.php ( 7.12 KB )
  97. /yingpanguazai/ssd/ssd1/www/wwww.yeyulingfeng.com/vendor/topthink/framework/src/think/Route.php ( 23.73 KB )
  98. /yingpanguazai/ssd/ssd1/www/wwww.yeyulingfeng.com/vendor/topthink/framework/src/think/route/RuleName.php ( 5.75 KB )
  99. /yingpanguazai/ssd/ssd1/www/wwww.yeyulingfeng.com/vendor/topthink/framework/src/think/route/Domain.php ( 2.53 KB )
  100. /yingpanguazai/ssd/ssd1/www/wwww.yeyulingfeng.com/vendor/topthink/framework/src/think/route/RuleGroup.php ( 22.43 KB )
  101. /yingpanguazai/ssd/ssd1/www/wwww.yeyulingfeng.com/vendor/topthink/framework/src/think/route/Rule.php ( 26.95 KB )
  102. /yingpanguazai/ssd/ssd1/www/wwww.yeyulingfeng.com/vendor/topthink/framework/src/think/route/RuleItem.php ( 9.78 KB )
  103. /yingpanguazai/ssd/ssd1/www/wwww.yeyulingfeng.com/route/app.php ( 3.52 KB )
  104. /yingpanguazai/ssd/ssd1/www/wwww.yeyulingfeng.com/vendor/topthink/framework/src/think/facade/Route.php ( 4.70 KB )
  105. /yingpanguazai/ssd/ssd1/www/wwww.yeyulingfeng.com/vendor/topthink/framework/src/think/route/dispatch/Controller.php ( 4.74 KB )
  106. /yingpanguazai/ssd/ssd1/www/wwww.yeyulingfeng.com/vendor/topthink/framework/src/think/route/Dispatch.php ( 10.44 KB )
  107. /yingpanguazai/ssd/ssd1/www/wwww.yeyulingfeng.com/app/controller/Index.php ( 10.53 KB )
  108. /yingpanguazai/ssd/ssd1/www/wwww.yeyulingfeng.com/app/BaseController.php ( 2.05 KB )
  109. /yingpanguazai/ssd/ssd1/www/wwww.yeyulingfeng.com/vendor/topthink/think-orm/src/facade/Db.php ( 0.93 KB )
  110. /yingpanguazai/ssd/ssd1/www/wwww.yeyulingfeng.com/vendor/topthink/think-orm/src/db/connector/Mysql.php ( 5.44 KB )
  111. /yingpanguazai/ssd/ssd1/www/wwww.yeyulingfeng.com/vendor/topthink/think-orm/src/db/PDOConnection.php ( 52.47 KB )
  112. /yingpanguazai/ssd/ssd1/www/wwww.yeyulingfeng.com/vendor/topthink/think-orm/src/db/Connection.php ( 8.39 KB )
  113. /yingpanguazai/ssd/ssd1/www/wwww.yeyulingfeng.com/vendor/topthink/think-orm/src/db/ConnectionInterface.php ( 4.57 KB )
  114. /yingpanguazai/ssd/ssd1/www/wwww.yeyulingfeng.com/vendor/topthink/think-orm/src/db/builder/Mysql.php ( 16.58 KB )
  115. /yingpanguazai/ssd/ssd1/www/wwww.yeyulingfeng.com/vendor/topthink/think-orm/src/db/Builder.php ( 24.06 KB )
  116. /yingpanguazai/ssd/ssd1/www/wwww.yeyulingfeng.com/vendor/topthink/think-orm/src/db/BaseBuilder.php ( 27.50 KB )
  117. /yingpanguazai/ssd/ssd1/www/wwww.yeyulingfeng.com/vendor/topthink/think-orm/src/db/Query.php ( 15.71 KB )
  118. /yingpanguazai/ssd/ssd1/www/wwww.yeyulingfeng.com/vendor/topthink/think-orm/src/db/BaseQuery.php ( 45.13 KB )
  119. /yingpanguazai/ssd/ssd1/www/wwww.yeyulingfeng.com/vendor/topthink/think-orm/src/db/concern/TimeFieldQuery.php ( 7.43 KB )
  120. /yingpanguazai/ssd/ssd1/www/wwww.yeyulingfeng.com/vendor/topthink/think-orm/src/db/concern/AggregateQuery.php ( 3.26 KB )
  121. /yingpanguazai/ssd/ssd1/www/wwww.yeyulingfeng.com/vendor/topthink/think-orm/src/db/concern/ModelRelationQuery.php ( 20.07 KB )
  122. /yingpanguazai/ssd/ssd1/www/wwww.yeyulingfeng.com/vendor/topthink/think-orm/src/db/concern/ParamsBind.php ( 3.66 KB )
  123. /yingpanguazai/ssd/ssd1/www/wwww.yeyulingfeng.com/vendor/topthink/think-orm/src/db/concern/ResultOperation.php ( 7.01 KB )
  124. /yingpanguazai/ssd/ssd1/www/wwww.yeyulingfeng.com/vendor/topthink/think-orm/src/db/concern/WhereQuery.php ( 19.37 KB )
  125. /yingpanguazai/ssd/ssd1/www/wwww.yeyulingfeng.com/vendor/topthink/think-orm/src/db/concern/JoinAndViewQuery.php ( 7.11 KB )
  126. /yingpanguazai/ssd/ssd1/www/wwww.yeyulingfeng.com/vendor/topthink/think-orm/src/db/concern/TableFieldInfo.php ( 2.63 KB )
  127. /yingpanguazai/ssd/ssd1/www/wwww.yeyulingfeng.com/vendor/topthink/think-orm/src/db/concern/Transaction.php ( 2.77 KB )
  128. /yingpanguazai/ssd/ssd1/www/wwww.yeyulingfeng.com/vendor/topthink/framework/src/think/log/driver/File.php ( 5.96 KB )
  129. /yingpanguazai/ssd/ssd1/www/wwww.yeyulingfeng.com/vendor/topthink/framework/src/think/contract/LogHandlerInterface.php ( 0.86 KB )
  130. /yingpanguazai/ssd/ssd1/www/wwww.yeyulingfeng.com/vendor/topthink/framework/src/think/log/Channel.php ( 3.89 KB )
  131. /yingpanguazai/ssd/ssd1/www/wwww.yeyulingfeng.com/vendor/topthink/framework/src/think/event/LogRecord.php ( 1.02 KB )
  132. /yingpanguazai/ssd/ssd1/www/wwww.yeyulingfeng.com/vendor/topthink/think-helper/src/Collection.php ( 16.47 KB )
  133. /yingpanguazai/ssd/ssd1/www/wwww.yeyulingfeng.com/vendor/topthink/framework/src/think/facade/View.php ( 1.70 KB )
  134. /yingpanguazai/ssd/ssd1/www/wwww.yeyulingfeng.com/vendor/topthink/framework/src/think/View.php ( 4.39 KB )
  135. /yingpanguazai/ssd/ssd1/www/wwww.yeyulingfeng.com/vendor/topthink/framework/src/think/Response.php ( 8.81 KB )
  136. /yingpanguazai/ssd/ssd1/www/wwww.yeyulingfeng.com/vendor/topthink/framework/src/think/response/View.php ( 3.29 KB )
  137. /yingpanguazai/ssd/ssd1/www/wwww.yeyulingfeng.com/vendor/topthink/framework/src/think/Cookie.php ( 6.06 KB )
  138. /yingpanguazai/ssd/ssd1/www/wwww.yeyulingfeng.com/vendor/topthink/think-view/src/Think.php ( 8.38 KB )
  139. /yingpanguazai/ssd/ssd1/www/wwww.yeyulingfeng.com/vendor/topthink/framework/src/think/contract/TemplateHandlerInterface.php ( 1.60 KB )
  140. /yingpanguazai/ssd/ssd1/www/wwww.yeyulingfeng.com/vendor/topthink/think-template/src/Template.php ( 46.61 KB )
  141. /yingpanguazai/ssd/ssd1/www/wwww.yeyulingfeng.com/vendor/topthink/think-template/src/template/driver/File.php ( 2.41 KB )
  142. /yingpanguazai/ssd/ssd1/www/wwww.yeyulingfeng.com/vendor/topthink/think-template/src/template/contract/DriverInterface.php ( 0.86 KB )
  143. /yingpanguazai/ssd/ssd1/www/wwww.yeyulingfeng.com/runtime/temp/10a0c909b6afa23b5a52a2e2d58c3c0f.php ( 21.70 KB )
  144. /yingpanguazai/ssd/ssd1/www/wwww.yeyulingfeng.com/vendor/topthink/think-trace/src/Html.php ( 4.42 KB )
  1. CONNECT:[ UseTime:0.000558s ] mysql:host=127.0.0.1;port=3306;dbname=wenku;charset=utf8mb4
  2. SHOW FULL COLUMNS FROM `fenlei` [ RunTime:0.000917s ]
  3. SELECT * FROM `fenlei` WHERE `fid` = 0 [ RunTime:0.000351s ]
  4. SELECT * FROM `fenlei` WHERE `fid` = 63 [ RunTime:0.000289s ]
  5. SHOW FULL COLUMNS FROM `set` [ RunTime:0.000519s ]
  6. SELECT * FROM `set` [ RunTime:0.000222s ]
  7. SHOW FULL COLUMNS FROM `wendang` [ RunTime:0.000577s ]
  8. SELECT * FROM `wendang` WHERE `id` = 329869 LIMIT 1 [ RunTime:0.000805s ]
  9. UPDATE `wendang` SET `liulancishu` = 3 WHERE `id` = 329869 [ RunTime:0.002443s ]
  10. UPDATE `wendang` SET `lasttime` = 1772318055 WHERE `id` = 329869 [ RunTime:0.000540s ]
  11. SELECT * FROM `wendang` WHERE `id` < 329869 ORDER BY `id` DESC LIMIT 1 [ RunTime:0.000573s ]
  12. SELECT * FROM `wendang` WHERE `id` > 329869 ORDER BY `id` ASC LIMIT 1 [ RunTime:0.002986s ]
  13. SELECT * FROM `wendang` WHERE `id` <> 329869 ORDER BY `id` DESC LIMIT 10 [ RunTime:0.001314s ]
  14. SELECT * FROM `wendang` WHERE `id` <> 329869 ORDER BY `id` DESC LIMIT 10,10 [ RunTime:0.001332s ]
  15. SELECT * FROM `wendang` WHERE `id` <> 329869 ORDER BY `id` DESC LIMIT 20,10 [ RunTime:0.001661s ]
0.088224s