当前位置:首页>文档>历史北京版2025年普通高等学校招生选择性考试(精编原卷版)_2025全国各省高考真题+答案_3、北京卷(语数外物政化史生地)

历史北京版2025年普通高等学校招生选择性考试(精编原卷版)_2025全国各省高考真题+答案_3、北京卷(语数外物政化史生地)

  • 2026-04-16 10:01:47 2026-03-04 15:36:26

文档预览

历史北京版2025年普通高等学校招生选择性考试(精编原卷版)_2025全国各省高考真题+答案_3、北京卷(语数外物政化史生地)
历史北京版2025年普通高等学校招生选择性考试(精编原卷版)_2025全国各省高考真题+答案_3、北京卷(语数外物政化史生地)
历史北京版2025年普通高等学校招生选择性考试(精编原卷版)_2025全国各省高考真题+答案_3、北京卷(语数外物政化史生地)
历史北京版2025年普通高等学校招生选择性考试(精编原卷版)_2025全国各省高考真题+答案_3、北京卷(语数外物政化史生地)
历史北京版2025年普通高等学校招生选择性考试(精编原卷版)_2025全国各省高考真题+答案_3、北京卷(语数外物政化史生地)
历史北京版2025年普通高等学校招生选择性考试(精编原卷版)_2025全国各省高考真题+答案_3、北京卷(语数外物政化史生地)
历史北京版2025年普通高等学校招生选择性考试(精编原卷版)_2025全国各省高考真题+答案_3、北京卷(语数外物政化史生地)

文档信息

文档格式
docx
文档大小
0.249 MB
文档页数
7 页
上传时间
2026-03-04 15:36:26

文档内容

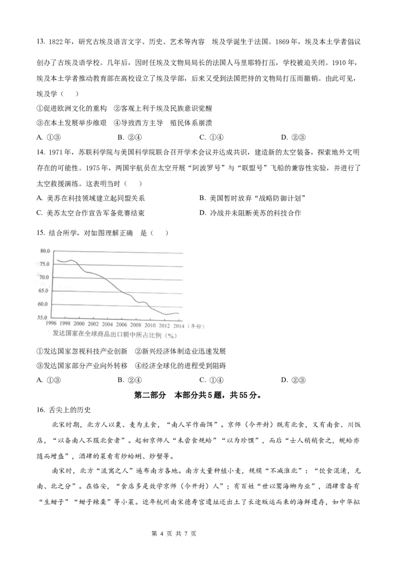
2025 年普通高等学校招生全国统一考试(北京卷) 历史 本试卷共8页,100分。考试时长90分钟。考生务必将答案答在答题卡上,在试卷上作答无 效。考试结束后,将本试卷和答题卡一并交回。 第一部分 本部分共15题,每题3分,共45分。在每题列出的四个选项中,选出最符合题目要求的一 项。 1. 《史记》记载,“秦每破诸侯,写放(仿)其宫室,作之咸阳北阪上”。考古工作者在秦咸阳城北部发 现两处建筑基址,结合在此出土的楚国和燕国形制的瓦当,推测此处曾有仿照两国形制建造的宫殿。这体 现( ) ①秦国统一进程促进了文化交流 ②丝绸之路的开辟便利了交通 ③考古发现可与文献记载相印证 ④当时各地建筑风格实现统一 A. ①③ B. ②④ C. ①④ D. ②③ 2. 汉武帝在位中后期,多次巡行祭祀五岳。此后,五岳祭祀的国家制度逐渐完善。读图可知,汉武帝( ) A. 依据黄老思想治国 B. 北击匈奴扩大了疆域 C. 通过祭祀强化皇权 D. 取消了郡国并行制度 3. “圣王作制,籍无黄白之别。昔中原丧乱,流寓江左……自尔渐久,人安其业……虽无本邦之名,而有 安土之实。今宜正其封疆,以土断人户,明考课之科,修阅伍之法。”这一建议有利于东晋政府( ) A. 鼓励流民返回原籍 B. 增加赋役强化管理 C. 提高寒门政治地位 D. 编制黄册管理户籍 第 1 页 共 7 页4. 吐鲁番出土一件贞观年间由中央逐级传递到地方的敕旨文书,部分内容见下面示意图。这反映唐初( ) ①文书行政推广到了西域 ②尚书省是政令决策机构 ③安西都护府下设县管理 ④加强了与吐蕃间的交流 A. ①② B. ③④ C. ①③ D. ②④ 5. 乾隆初年,白银是核算赋税的标准,官方规定收税时1000文铜钱兑换1两白银。直隶永平府征收赋税 时,以铜钱代替白银。但当时市场上“钱价昂贵,民间交纳钱文,比之完纳银两,为费较重”。为此,乾 隆皇帝命令直隶总督,民间缴纳赋税时,“银、钱听其自便”。以上材料说明,当时赋税政策的调整( ) ①减轻了对农民的人身控制 ②受到了货币政策的影响 ③兼顾财政收入与社会稳定 ④旨在推动商品经济发展 A. ①③ B. ②④ C. ①④ D. ②③ 6. “太平军之起,固宗教上之逼迫使然,实则亦非真因……予意当时即无洪秀全,中国亦必不能免于革命。 设有人以耶稣教之关系及清政府之操切,为……革命之原因,则其所见浅陋实甚。恶根实种于满洲政府之 政治,最大之真因为行政机关之腐败,政以贿成。”此言意在说明( ) A. 太平天国与西方的宗教没有关联 B. 清廷腐朽统治是农民革命动因 C. 没有洪秀全就不会发生农民起义 D. 内部腐败导致太平天国的失败 的 7. “代表群众 利益,由你罢免和选举,不是讲威武,不是讲威武,人人都能监督这政府。亲爱的工友们 哪,亲爱的农友们哪,这政府靠咱们一致来拥护。”这段革命歌谣意在( ) A. 宣传武装夺取政权的紧迫性 B. 号召苏区群众参与政权建设 C. 歌颂边区的“三三制”原则 D. 展现解放区土地改革的成效 8. 1944年,美国驻华外交官向美国政府报告,延安“经济情况有显著进步,人民以独立自发之传统,耕 种其田地。鼓励私人投资,提高生活水准,减低赋税。比之国民党地区,高下至明,无待赘言”。这表明 ( ) 第 2 页 共 7 页A. 抗日民主根据地的建设取得成效 B. 国统区已经形成了第二条战线 C. 美国准备加入世界反法西斯同盟 D. 党的工作重心由乡村转到城市 9. 下表为北京市城市规划对城市功能的定位。由此可知( ) 1953 我国政治、经济和文化的中心,强大工业基地和技术科学的中心 年 1993 全国的政治中心和文化中心,世界著名的古都和现代国际城市 年 2016 全国政治中心、文化中心、国际交往中心、科技创新中心 年 ①北京城市功能因城市的扩建而扩大 ②首都地位决定了北京城市战略定位 ③北京不再承担经济引领的重要职能 ④北京的国际影响力日益广泛和重要 A. ①③ B. ②④ C. ①④ D. ②③ 10. 2007年,中国外交部领事司领事保护处升格为领事保护中心,负责海外公民、机构安全和合法权益保 护工作 的政策指导和统筹协调。2014年,外交部开通全球领事保护与服务应急热线,全天候、零时差、无 障碍地向海外中国公民提供领事保护与咨询服务。这些举措( ) ①保障了经济技术开发区的建设 ②建立起了总体稳定的大国关系框架 ③坚持了以人民为中心的发展思想 ④推进了国家治理体系和治理能力现代化 A. ①② B. ③④ C. ①③ D. ②④ 11. 公元前3世纪,托勒密王朝的国王在亚历山大城修建了缪斯宫、图书馆、动植物园等。动物园里有许 多外来的动物,包括阿拉伯绵羊、印度大象、巴克特里亚骆驼、叙利亚棕熊、希腊白熊、黎凡特狮子等。 这些举措( ) ①有助于托勒密王国的科学研究 ②推动了亚历山大帝国的建立 ③印证了希腊化时代的文化交流 ④加速了亚欧游牧民族大迁徙 A. ①③ B. ②④ C. ①④ D. ②③ 12. 1290年,英王爱德华一世颁布《土地买卖法令》,禁止以再分封的方式转让土地,规定自由人持有的 土地买卖自由,但购地者要承担土地附着的原有封建义务。这一法令( ) ①意在保护封建领主利益 ②加重了农奴的经济负担 ③冲击了英国的封建制度 ④奠定了民族国家的基础 A. ①② B. ③④ C. ①③ D. ②④ 第 3 页 共 7 页的 13. 1822年,研究古埃及语言文字、历史、艺术等内容 埃及学诞生于法国。1869年,埃及本土学者倡议 创办了古埃及语学校。几年后,因时任埃及文物局局长的法国人马里耶特打压,学校被迫关闭。1910年, 埃及本土学者推动教育部在高校设立了埃及学部,后来又受到法国把持的文物局打压而撤销。由此可见, 埃及学( ) ①促进欧洲文化的重构 ②客观上利于埃及民族意识觉醒 ③在本土发展举步维艰 ④导致西方主导 的殖民体系崩溃 A. ①③ B. ②④ C. ①④ D. ②③ 14. 1971年,苏联科学院与美国科学院联合召开学术会议并达成共识,建造新的太空装备,探索地外文明 存在的可能性。1975年,两国宇航员在太空开展“阿波罗号”与“联盟号”飞船的兼容性实验,并进行了 太空救援演练。这表明当时( ) A. 美苏在科技领域建立起同盟关系 B. 美国暂时放弃“战略防御计划” C. 美苏太空合作宣告军备竞赛结束 D. 冷战并未阻断美苏的科技合作 的 15. 结合所学,对如图理解正确 是( ) ①发达国家忽视科技产业创新 ②新兴经济体制造业迅速发展 ③发达国家部分产业向外转移 ④经济全球化的进程受到阻碍 A. ①③ B. ②④ C. ①④ D. ②③ 第二部分 本部分共5题,共55分。 16. 舌尖上的历史 北宋时期,北方人以粟、麦为主食,“南人罕作面饵”。京师(今开封)既有北食,又有南食、川饭 店,“以备南人不服北食者”。起初京师人“未尝食规蛤”“以为珍馔”,而后“士人稍稍食之,蚬蛤亦 随而增盛”,酒肆的菜肴有炒蛤蜊、炒蟹等。 南宋时,北方“流寓之人”遍布南方各地。南方大量种植小麦,规模“不减淮北”:“饮食混淆,无 南、北之分”。在临安,“食店多是效学京师(今开封)人”;有百姓“世以鬻海蛳为业”,酒肆常备有 “生蚶子”“蚶子辣羹”等小菜。近年杭州南宋德寿宫遗址还出土了长途贩运而来的海鲜遗存,如中华拟 第 4 页 共 7 页蟹守螺等。金朝在招待南宋使者时,宴饮既有燥子粉、肉油饼等汉人食物,也有肉山等女真传统美食。 到了元代,“西域之仕于中朝,学于南夏,乐江湖而忘乡国者众矣”;世人“无此疆彼界”之分。当 时的生活百科书籍,既存录了中原和江南食物,如水滑面、馄饨、馒头、烧饼、包子等,又有女真挞不刺 鸭子、女真肉羊糜、高丽粟糕、回回酸汤、回回卷煎饼等。 (1)宋元时期饮食文化有哪些变化?依据材料加以概括。 (2)结合所学,分析上述变化的历史背景。 17. 点评AI(人工智能) 1903年江西乡试有一道考题如下: 保商之法,阻来货、奖外输,务令出口之货常多于进口。乃征诸英吉利自行平税之政,而商务大兴, 其进出之差为负,而商利自厚,其故何欤?然则塞漏卮之说,果非计欤?试权其利害,以维商政策。 某AI平台作答:这道1903年乡试题反映了晚清面对西方经济冲击的探索。英国通过“平税”(自由 贸易)实现商业繁荣,本质是以工业革命技术优势为基础,用开放倒逼产业升级,形成出口>进口的良性 循环。而中国“阻来货、奖外输”的保商政策,因缺乏现代工业支撑,仅靠限制进口追求顺差,反而抑制 本土产业竞争力(如土布难敌洋布),导致“塞漏卮”沦为被动防御。考题揭示经济政策需匹配生产力水 平:英国以实力换优势,中国则陷入“管制依赖”。它体现了晚清知识分子对传统经济治理的反思,试图 借鉴西方经验推动“商战自强”,但受限于体制僵化与工业基础薄弱,终未能突破“中体西用”框架,成 为近代化转型困境的缩影。 结合所学,对AI的作答加以点评。 18. 探索与发现 材料一 年份 作者、作品及主要内容 卡蒂埃出版《两次新法兰西航行与发现记略》,记载了他在今属加拿大的纽芬 1545 兰岛、圣劳伦斯湾、魁北克等地航行的经过及发现 加尔维奥的《世界的发现》出版,介绍了迪亚士、哥伦布、达·伽马、麦哲伦 1563 等航海家的发现 华莱士发表《论控制新物种发生的规律》,利用其考察发现,研究生物演化的 1855 规律。他提出,地理地貌及生命体的地理分布是多次变化的结果,新物种的诞 生与预先存在的关联物种密切相关 达尔文出版《物种起源》,以其在南美海岸航行考察的自然地理、动植物及人 1859 种等发现为基础,系统论证了物种的起源与进化理论 梅因出版《古代法》,提出人类社会形态最初是父系社会,由专制族长统治, 1861 家庭是社会基本单位 1861 巴霍芬出版《母权论》,提出人类社会形态最初不是父系社会,而是母系社会 第 5 页 共 7 页摩尔根出版《古代社会》,结合对印第安部落的实地考察,提出人类历史的起 1877 源相同,经验相同,进步相同;生存技术决定婚姻家庭、政治制度和财产观念 等;人类经历蒙昧、野蛮、文明三个阶段,从血缘氏族发展到国家 恩格斯出版《家庭、私有制和国家的起源》,以马克思对摩尔根的研究笔记为 1884 基础,系统阐述了原始社会的历史;提出家庭、私有制和国家等不是从来就有 的,是生产力发展的结果。随着生产力的发展,私有制和国家必将消亡 材料二 一切重要历史事件的终极原因和伟大动力是社会的经济发展,是生产方式和交换方式的改变, 是由此产生的社会之划分为不同的阶级,是这些阶级彼此之间的斗争。 ——恩格斯《社会主义从空想到科学的发展》1892年英文版导言 (1)归纳材料一中的探索与发现的内容。 (2)从材料二中提取唯物史观的一个观点,简要说明其内涵,并运用外国历史重要史实加以阐释。 19. 区域·东亚 材料一 韩国高中自2012年开始实施东亚史教育,在其教科书中,将古代东亚确定为文化圈,这是 与日本学者提出的“东亚世界论”相似的观点。东亚的文化要素包括了汉字、儒学、佛教、律令等。 材料二 日本在明治维新之后,走上了“脱亚入欧”的道路。1885年,日本著名媒体《时事新报》上 发表的《脱亚论》一文写道:“国中朝野无别,万事皆独采西洋近时之文明,不唯脱日本之旧套而已;在 亚细亚全洲之中,新立一机轴,所以为主义者,唯在脱亚二字。为今日之谋,我国不可犹豫,以待邻国 (指中国、朝鲜)之开明而共兴亚细亚;宁脱其伍,与西洋之文明国共进退。” 材料三 中日韩三国共同编写的《东亚三国的近现代史》(2005年)中写道:“东亚有悠久的友好交 流的传统,出现过许多为了光明的未来而跨越国境努力的人们。我们应当继承过去时代的积极面,而彻底 反省以前的错误。应当在我们美丽的地球上建设更加和平与光明的未来。为了和平与发展,我们通过学习 东亚的历史能够得到什么样的经验与教训?” 2024年5月《第九次中日韩领导人会议联合宣言》指出:“文化是连接三国人民的桥梁。”阅读上述材料, 从历史变迁的角度,谈谈对这句话的理解。 20. 从急递到快递 材料一 急递铺是中国古代政府信息传递机构,又有急脚递、斥堠铺、摆铺之称。宋朝战事频繁,以 之“递军书与他文书之最急者”。金朝规定“非军期、河防”不用急递。元朝规定,急递铺“以达四方文 书之往来,其所系至重”,不得夹带私货。明朝急递铺“接送公文”,铺兵“昼夜须行三百里,稽留三刻 笞二十”。清末铁路出现,“各省已设有电报,各处亦已畅行轮船”,依赖人力、畜力的急递铺、驿站等 走向衰落。 材料二 我国经营快递业务的国营、民营企业由邮政管理部门监督管理。“情系万家,信达天下” “人民邮政为人民”等是企业经营的重要理念。据统计,2006年中国快递企业业务量为10.6亿件,2012 年增至56.9亿件,到2021年达1083亿件。 第 6 页 共 7 页(1)结合上述材料,说明急递与快递的区别。 (2)依据材料二,指出中国快递业务量的发展趋势并分析其原因。 第 7 页 共 7 页