当前位置:首页>文档>2023年高考押题预测卷02(天津卷)-数学(全解全析)_2.2025数学总复习_2023年新高考资料_42023年高考数学押题预测卷_2023年高考押题预测卷02(天津卷)-数学

2023年高考押题预测卷02(天津卷)-数学(全解全析)_2.2025数学总复习_2023年新高考资料_42023年高考数学押题预测卷_2023年高考押题预测卷02(天津卷)-数学

  • 2026-03-09 22:52:28 2026-03-09 22:52:28

文档预览

2023年高考押题预测卷02(天津卷)-数学(全解全析)_2.2025数学总复习_2023年新高考资料_42023年高考数学押题预测卷_2023年高考押题预测卷02(天津卷)-数学
2023年高考押题预测卷02(天津卷)-数学(全解全析)_2.2025数学总复习_2023年新高考资料_42023年高考数学押题预测卷_2023年高考押题预测卷02(天津卷)-数学
2023年高考押题预测卷02(天津卷)-数学(全解全析)_2.2025数学总复习_2023年新高考资料_42023年高考数学押题预测卷_2023年高考押题预测卷02(天津卷)-数学
2023年高考押题预测卷02(天津卷)-数学(全解全析)_2.2025数学总复习_2023年新高考资料_42023年高考数学押题预测卷_2023年高考押题预测卷02(天津卷)-数学
2023年高考押题预测卷02(天津卷)-数学(全解全析)_2.2025数学总复习_2023年新高考资料_42023年高考数学押题预测卷_2023年高考押题预测卷02(天津卷)-数学
2023年高考押题预测卷02(天津卷)-数学(全解全析)_2.2025数学总复习_2023年新高考资料_42023年高考数学押题预测卷_2023年高考押题预测卷02(天津卷)-数学
2023年高考押题预测卷02(天津卷)-数学(全解全析)_2.2025数学总复习_2023年新高考资料_42023年高考数学押题预测卷_2023年高考押题预测卷02(天津卷)-数学
2023年高考押题预测卷02(天津卷)-数学(全解全析)_2.2025数学总复习_2023年新高考资料_42023年高考数学押题预测卷_2023年高考押题预测卷02(天津卷)-数学
2023年高考押题预测卷02(天津卷)-数学(全解全析)_2.2025数学总复习_2023年新高考资料_42023年高考数学押题预测卷_2023年高考押题预测卷02(天津卷)-数学
2023年高考押题预测卷02(天津卷)-数学(全解全析)_2.2025数学总复习_2023年新高考资料_42023年高考数学押题预测卷_2023年高考押题预测卷02(天津卷)-数学
2023年高考押题预测卷02(天津卷)-数学(全解全析)_2.2025数学总复习_2023年新高考资料_42023年高考数学押题预测卷_2023年高考押题预测卷02(天津卷)-数学
2023年高考押题预测卷02(天津卷)-数学(全解全析)_2.2025数学总复习_2023年新高考资料_42023年高考数学押题预测卷_2023年高考押题预测卷02(天津卷)-数学
2023年高考押题预测卷02(天津卷)-数学(全解全析)_2.2025数学总复习_2023年新高考资料_42023年高考数学押题预测卷_2023年高考押题预测卷02(天津卷)-数学
2023年高考押题预测卷02(天津卷)-数学(全解全析)_2.2025数学总复习_2023年新高考资料_42023年高考数学押题预测卷_2023年高考押题预测卷02(天津卷)-数学
2023年高考押题预测卷02(天津卷)-数学(全解全析)_2.2025数学总复习_2023年新高考资料_42023年高考数学押题预测卷_2023年高考押题预测卷02(天津卷)-数学
2023年高考押题预测卷02(天津卷)-数学(全解全析)_2.2025数学总复习_2023年新高考资料_42023年高考数学押题预测卷_2023年高考押题预测卷02(天津卷)-数学
2023年高考押题预测卷02(天津卷)-数学(全解全析)_2.2025数学总复习_2023年新高考资料_42023年高考数学押题预测卷_2023年高考押题预测卷02(天津卷)-数学
2023年高考押题预测卷02(天津卷)-数学(全解全析)_2.2025数学总复习_2023年新高考资料_42023年高考数学押题预测卷_2023年高考押题预测卷02(天津卷)-数学
2023年高考押题预测卷02(天津卷)-数学(全解全析)_2.2025数学总复习_2023年新高考资料_42023年高考数学押题预测卷_2023年高考押题预测卷02(天津卷)-数学
2023年高考押题预测卷02(天津卷)-数学(全解全析)_2.2025数学总复习_2023年新高考资料_42023年高考数学押题预测卷_2023年高考押题预测卷02(天津卷)-数学
2023年高考押题预测卷02(天津卷)-数学(全解全析)_2.2025数学总复习_2023年新高考资料_42023年高考数学押题预测卷_2023年高考押题预测卷02(天津卷)-数学

文档信息

文档格式
docx
文档大小
1.101 MB
文档页数
21 页
上传时间
2026-03-09 22:52:28

文档内容

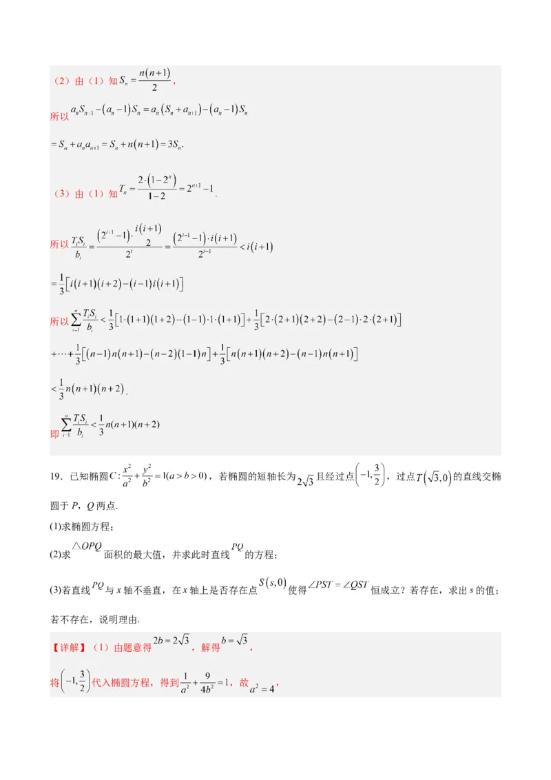
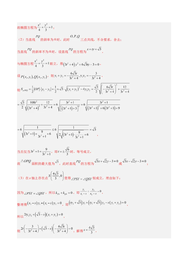
绝密★启用前 2023 年高考押题预测卷 02 数学(天津卷) (考试时间:120分钟 试卷满分:150分) 注意事项: 1.本试卷分第Ⅰ卷(选择题)和第Ⅱ卷(非选择题)两部分。答卷前,考生务必将自己的姓名、准 考证号填写在答题卡上。 2.回答第Ⅰ卷时,选出每小题答案后,用2B铅笔把答题卡上对应题目的答案标号涂黑。如需改动, 用橡皮擦干净后,再选涂其他答案标号。写在本试卷上无效。 3.回答第Ⅱ卷时,将答案写在答题卡上。写在本试卷上无效。 4.考试结束后,将本试卷和答题卡一并交回。 第Ⅰ卷(共 45 分) 一、选择题:本题共9个小题,每小题5分,共45分.每小题给出的四个选项只有一个符合 题目要求. 1.已知全集 ,集合 ,则 ( ) A. B. C. D. 【答案】D 【详解】因为 ,所以 , 又因为 , 所以 . 故选:D. 2.命题“有一个偶数是素数”的否定是( ) A.任意一个奇数是素数 B.存在一个偶数不是素数 C.存在一个奇数不是素数 D.任意一个偶数都不是素数 【答案】D 【详解】由于存在量词命题 ,否定为 .所以命题“有一个偶数是素数”的否定是“任意一个偶数都不是素数”. 故选:D 3.某班级有50名学生,期末考试数学成绩服从正态分布 ,已 ,则 的学生人数为( ) A.5 B.10 C.20 D.30 【答案】D 【详解】因为期末考试数学成绩服从正态分布 ,所以期末考试数学成绩关于 对称, 则 ,所以 , 所以 的学生人数为: 人. 故选:D. 4.已知 ,则 的大小关系为( ) A. B. C. D. 【答案】C 【详解】 , , , 又 , 因为函数 ,在 上单调递减,且 ,又因为 , 所以 ,所以 ,即 ,所以 , ,即 . 故选:C. 5.已知双曲线 的焦点为 , ,抛物线 的准线与 交于M,N两点,且 为正三角形,则双曲线 的离心率为( ) A. B. C. D. 【答案】A 【详解】 的准线方程为 ,经过点 , 中,令 得 ,解得 , 故 , 因为 为正三角形,所以 , 即 ,联立 ,解得 , 方程两边同时除以 得 ,解得 或 (舍去), 故双曲线 的离心率为 . 故选:A 6.设数列 的前n项和为 ,且 , ,则数列 的前10项和是( ) A. B. C. D. 【答案】C 【详解】由 得 , 当 时, , 整理得 , 所以 是公差为4的等差数列,又因为 ,所以 ,从而 , 所以 , 所以数列 的前10项和为 . 故选:C 7.已知函数 , ,下列命题中: ① 的最小正周期是 ,最大值是 ; ② ; ③ 的单调增区间是 ( ); ④将 的图象向右平移 个单位得到的函数是偶函数, 其中正确个数为( ) A.1 B.2 C.3 D.4 【答案】C 【详解】 . 对于①, , 因为 ,所以 的最大值为 ,故①正确; 对于②, ,故②正确;对于③,由 可得, , 所以, 的单调增区间是 ( ),故③正确; 对于④,将 的图象向右平移 个单位得到的函数为 , ,故④错误. 综上所述,①②③正确. 故选:C. 8.埃及胡夫金字塔是古代世界建筑奇迹之一,它的形状可视为一个正四棱锥,以该四棱锥的高为边长的 正方形面积等于该四棱锥侧面积的一半,那么其侧面三角形底边上的高与底面正方形的边长的比值为( ) A. B. C. D. 【答案】D 【详解】设正四棱锥的高为 ,底面边长为 ,侧面三角形底边上的高为 ,则 由题意可知, , 因此有 ,即 ,解得 , 因为 ,所以 . 所以侧面三角形底边上的高与底面正方形的边长的比值为 故选:D. 9.已知函数 ,则下列说法中正确的是( ) ①函数 有两个极值点; ②若关于 的方程 恰有1个解,则 ; ③函数 的图象与直线 ( )有且仅有一个交点; ④若 ,且 ,则 无最值. A.①② B.①③④ C.②③ D.①③ 【答案】D 【详解】对于①,当 时, , 恒成立, 所以 在 上单调递增; 当 时, , 恒成立, 所以, 在 上单调递减; 当 时, , 恒成立, 所以, 在 上单调递减. 综上所述, 在 上单调递减,在 上单调递增,在 上单调递减. 所以, 在 处取得极小值 ,在 处取得极大值 ,故①正确;对于②,作出 的图象如下图1 由图1可知,若关于 的方程 恰有1个解,则 或 ,故②错误; 对于③,由①知,当 时, , 因为 ,所以 ,所以 ,当且仅当 ; 当 时, ; 当 时, , 因为 ,所以 ,所以 ,当且仅当 . 综上所述, ,有 恒成立. 又直线 可化为 ,斜率为 , 所以函数 的图象与直线 ( )有且仅有一个交点,故③正确; 对于④, 由图2可知,当 时,函数 的图象与 有3个不同的交点.则有 ,所以 , 所以 , . 令 , , 则 . 令 ,则 在 上恒成立, 所以, 在 上单调递增. 又 , , 根据零点存在定理可知, ,使得 , 且当 时, , 所以 ,所以 在 上单调递减; 当 时, , 所以 ,所以 在 上单调递增. 所以, 在 处取得唯一极小值,也是最小值,无最大值,故④错误. 综上所述,①③正确. 故选:D. 第Ⅱ卷(共 105 分)二、填空题(本大题共6个小题,每小题5分,共30分.把答案填在题中横线上.) 10.若复数z满足 ( 是虚数单位),则 =________. 【答案】 【详解】 , 故 . 故答案为: 11.若 展开式中所有项的系数和为 256 ,其中 为常数,则该展开式中 项的系数为 ________ 【答案】28 【详解】因为 展开式中所有项的系数和为 256 ,所以 ,解得 , 由题意得 展开式中 项的系数与 展开式中的 项的系数相同. 展开式的通项 ,令 ,得 , 所以展开式中 项的系数为 . 12.若双曲线 的渐近线与圆 相切,则 _______. 【答案】 【详解】由双曲线方程 ,则其渐近线方程 , 由圆方程 ,整理可得 ,其圆心为 ,半径 , 由两个渐近线关于 对称,则不妨只探究渐近线 ,整理可得 ,由题意,可得 ,解得 . 13.已知等边三角形 的边长为1,射线 、 上分别有一动点 和 (点 在点 与 之间), 当 时, 的值为________;当 时, 的最小值为________. 【答案】 / 【详解】 , , ; 设 , 则 , , , 当 时, 有最小值为 . 14.为了组建一支志愿者队伍,欲从3名男志愿者,3名女志愿者中随机抽取3人聘为志愿者队的队长, 则在“抽取的3人至少有一名男志愿者”的前提下“抽取的3人中全是男志愿者”的概率是________,若 用X表示抽取的三人中女志愿者的人数,则 ________. 【答案】 / 【详解】设事件 “抽取的3人至少有一名男志愿者”,事件 “抽取的3人中全是男志愿者”,则 , 即在“抽取的3人至少有一名男志愿者”的前提下“抽取的3人中全是男志愿者”的概率是 . X可取 , , 则 15.设 ,函数 ,若 恰有两个零点,则 的取值范围是______. 【答案】 【详解】因为 , , 当 时,由 可得 ,可得 , 当 时,由 可得 ,可得 , 令 ,则直线 与函数 的图象有两个交点, 当 时, ,此时函数 单调递减, 当 时, ,由 可得 ,由 可得 , 所以,函数 在 上单调递减,在 上单调递增, 所以,函数 的极小值为 ,且当 时, ,当 时, ,如下图所示: 由图可知,当 时,直线 与函数 的图象有两个交点,此时函数 有两个零点, 因此,实数 的取值范围是 . 三、解答题:(本大题5个题,共75分) 16.在 中,角 、 、 的对边分别为 、 、 ,已知 . (1)求 的值; (2)若 , (ⅰ)求 的值; (ⅱ)求 的值. 【详解】(1)在 中,由正弦定理 可得: ,整理得 , 由余弦定理,可得 ; (2)(i)由(1)可得 ,又由正弦定理 , 及已知 ,可得 ,由已知 ,可得 ,故有 , 为锐角,可得 , , 则 ; (ii)由(i)可得 , , . 17.已知正三棱柱 中,侧棱长为 ,底面边长为2,D为AB的中点. (1)证明: ; (2)求二面角 的大小; (3)求直线CA与平面 所成角的正弦值. 【详解】(1)由 为正三棱柱可知, 平面 , 又 平面 ,所以 , 由底面是边长为2的正三角形,D为AB的中点,所以 ; 又 , 平面 ,所以 平面 ; 又 平面 ,所以 ; (2)取线段 的中点分别为 ,连接 ,易知 两两垂直,以 为坐标原点,分别以 所在直线为 轴建立空间直角坐标 系 ,如下图所示; 由侧棱长为 ,底面边长为2可得, , 由D为AB的中点可得 , 所以 , 设平面 的一个法向量为 , 则 ,令 ,可得 ; 即 ; 易得 即为平面 的一个法向量, 所以 , 设二面角 的平面角为 ,由图可知 为锐角,所以 ,即 ; 即二面角 的大小为 . (3)由(2)可知 ,平面 的一个法向量为 , 设直线CA与平面 所成的角为 , 所以 , 即直线CA与平面 所成角的正弦值为 . 18.已知等差数列 的首项为1,前 项和为 ,单调递增的等比数列 的首项为2,且满足 . (1)求 和 的通项公式; (2)证明: ; (3)记 的前 项和为 ,证明: . 【详解】(1)由题意,设等差数列 的公差为 ,等比数列 的公比为 , 因为 , 所以 即 解得 (舍去),或 所以 .(2)由(1)知 , 所以 (3)由(1)知 . 所以 所以 . 即 19.已知椭圆 ,若椭圆的短轴长为 且经过点 ,过点 的直线交椭 圆于P,Q两点. (1)求椭圆方程; (2)求 面积的最大值,并求此时直线 的方程; (3)若直线 与x轴不垂直,在x轴上是否存在点 使得 恒成立?若存在,求出s的值; 若不存在,说明理由. 【详解】(1)由题意得 ,解得 , 将 代入椭圆方程,得到 ,故 ,故椭圆方程为 ; (2)当直线 的斜率为0时,此时 三点共线,不合要求,舍去; 当直线 的斜率不为0时,设直线 的方程为 , 与椭圆方程 联立,得 , 设 ,则 , 则 , 当且仅当 ,即 时,等号成立, 故 面积的最大值为 ,此时直线 的方程为 或 ; (3)在x轴上存在点 使得 恒成立,理由如下: 因为 ,所以 ,即 , 整理得 ,即 , 所以 , 则 ,解得 ,故在x轴上存在点 ,使得 恒成立. 20.已知函数 . (1)当 时,求曲线 在点 处的切线方程; (2)求 的单调区间; (3)若函数 有两个极值点 ,求证: . 【详解】(1)当a=1时, , 所以 , 故切点坐标为 , 又 , 所以 , 故切线的斜率为 , 由点斜式可得, ,即 , 故曲线y=f(x)在点(1,f(1))处的切线方程为 ; (2) 的定义域为 , 又 , ①当 ,即 时, 在 上恒成立, 故 在 上单调递减; ②当 ,即 或 , 令 ,解得 ,若 时,则当 或 时, , 当 时, , 所以 在 上单调递减,在 上单调递增; 若 时, 在 上恒成立, 故 在 上单调递减. 综上所述,当 时, 在 上单调递减, 当 时, 在 上单调递减,在 上单调递增. (3)由(2)可知,当 时,f(x)有两个极值点 , 则 , 由题意可得, , 则 , 令 , 则 , 当 时, ,则 单调递增,当 时, ,则 单调递减, 故当 时, 取得最大值 , 所以 .
基本 文件 流程 错误 SQL 调试
  1. 请求信息 : 2026-03-09 22:52:59 HTTP/1.1 GET : https://www.yeyulingfeng.com/wendang/367432.html
  2. 运行时间 : 0.107901s [ 吞吐率:9.27req/s ] 内存消耗:5,438.01kb 文件加载:144
  3. 缓存信息 : 0 reads,0 writes
  4. 会话信息 : SESSION_ID=77ca00788156f943b8f7c2def2e83106
  1. /yingpanguazai/ssd/ssd1/www/wwww.yeyulingfeng.com/public/index.php ( 0.79 KB )
  2. /yingpanguazai/ssd/ssd1/www/wwww.yeyulingfeng.com/vendor/autoload.php ( 0.17 KB )
  3. /yingpanguazai/ssd/ssd1/www/wwww.yeyulingfeng.com/vendor/composer/autoload_real.php ( 2.49 KB )
  4. /yingpanguazai/ssd/ssd1/www/wwww.yeyulingfeng.com/vendor/composer/platform_check.php ( 0.90 KB )
  5. /yingpanguazai/ssd/ssd1/www/wwww.yeyulingfeng.com/vendor/composer/ClassLoader.php ( 14.03 KB )
  6. /yingpanguazai/ssd/ssd1/www/wwww.yeyulingfeng.com/vendor/composer/autoload_static.php ( 6.05 KB )
  7. /yingpanguazai/ssd/ssd1/www/wwww.yeyulingfeng.com/vendor/topthink/think-helper/src/helper.php ( 8.34 KB )
  8. /yingpanguazai/ssd/ssd1/www/wwww.yeyulingfeng.com/vendor/topthink/think-validate/src/helper.php ( 2.19 KB )
  9. /yingpanguazai/ssd/ssd1/www/wwww.yeyulingfeng.com/vendor/ralouphie/getallheaders/src/getallheaders.php ( 1.60 KB )
  10. /yingpanguazai/ssd/ssd1/www/wwww.yeyulingfeng.com/vendor/topthink/think-orm/src/helper.php ( 1.47 KB )
  11. /yingpanguazai/ssd/ssd1/www/wwww.yeyulingfeng.com/vendor/topthink/think-orm/stubs/load_stubs.php ( 0.16 KB )
  12. /yingpanguazai/ssd/ssd1/www/wwww.yeyulingfeng.com/vendor/topthink/framework/src/think/Exception.php ( 1.69 KB )
  13. /yingpanguazai/ssd/ssd1/www/wwww.yeyulingfeng.com/vendor/topthink/think-container/src/Facade.php ( 2.71 KB )
  14. /yingpanguazai/ssd/ssd1/www/wwww.yeyulingfeng.com/vendor/symfony/deprecation-contracts/function.php ( 0.99 KB )
  15. /yingpanguazai/ssd/ssd1/www/wwww.yeyulingfeng.com/vendor/symfony/polyfill-mbstring/bootstrap.php ( 8.26 KB )
  16. /yingpanguazai/ssd/ssd1/www/wwww.yeyulingfeng.com/vendor/symfony/polyfill-mbstring/bootstrap80.php ( 9.78 KB )
  17. /yingpanguazai/ssd/ssd1/www/wwww.yeyulingfeng.com/vendor/symfony/var-dumper/Resources/functions/dump.php ( 1.49 KB )
  18. /yingpanguazai/ssd/ssd1/www/wwww.yeyulingfeng.com/vendor/topthink/think-dumper/src/helper.php ( 0.18 KB )
  19. /yingpanguazai/ssd/ssd1/www/wwww.yeyulingfeng.com/vendor/symfony/var-dumper/VarDumper.php ( 4.30 KB )
  20. /yingpanguazai/ssd/ssd1/www/wwww.yeyulingfeng.com/vendor/guzzlehttp/guzzle/src/functions_include.php ( 0.16 KB )
  21. /yingpanguazai/ssd/ssd1/www/wwww.yeyulingfeng.com/vendor/guzzlehttp/guzzle/src/functions.php ( 5.54 KB )
  22. /yingpanguazai/ssd/ssd1/www/wwww.yeyulingfeng.com/vendor/topthink/framework/src/think/App.php ( 15.30 KB )
  23. /yingpanguazai/ssd/ssd1/www/wwww.yeyulingfeng.com/vendor/topthink/think-container/src/Container.php ( 15.76 KB )
  24. /yingpanguazai/ssd/ssd1/www/wwww.yeyulingfeng.com/vendor/psr/container/src/ContainerInterface.php ( 1.02 KB )
  25. /yingpanguazai/ssd/ssd1/www/wwww.yeyulingfeng.com/app/provider.php ( 0.19 KB )
  26. /yingpanguazai/ssd/ssd1/www/wwww.yeyulingfeng.com/vendor/topthink/framework/src/think/Http.php ( 6.04 KB )
  27. /yingpanguazai/ssd/ssd1/www/wwww.yeyulingfeng.com/vendor/topthink/think-helper/src/helper/Str.php ( 7.29 KB )
  28. /yingpanguazai/ssd/ssd1/www/wwww.yeyulingfeng.com/vendor/topthink/framework/src/think/Env.php ( 4.68 KB )
  29. /yingpanguazai/ssd/ssd1/www/wwww.yeyulingfeng.com/app/common.php ( 0.03 KB )
  30. /yingpanguazai/ssd/ssd1/www/wwww.yeyulingfeng.com/vendor/topthink/framework/src/helper.php ( 18.78 KB )
  31. /yingpanguazai/ssd/ssd1/www/wwww.yeyulingfeng.com/vendor/topthink/framework/src/think/Config.php ( 5.54 KB )
  32. /yingpanguazai/ssd/ssd1/www/wwww.yeyulingfeng.com/config/alipay.php ( 3.59 KB )
  33. /yingpanguazai/ssd/ssd1/www/wwww.yeyulingfeng.com/vendor/topthink/framework/src/think/facade/Env.php ( 1.67 KB )
  34. /yingpanguazai/ssd/ssd1/www/wwww.yeyulingfeng.com/config/app.php ( 0.95 KB )
  35. /yingpanguazai/ssd/ssd1/www/wwww.yeyulingfeng.com/config/cache.php ( 0.78 KB )
  36. /yingpanguazai/ssd/ssd1/www/wwww.yeyulingfeng.com/config/console.php ( 0.23 KB )
  37. /yingpanguazai/ssd/ssd1/www/wwww.yeyulingfeng.com/config/cookie.php ( 0.56 KB )
  38. /yingpanguazai/ssd/ssd1/www/wwww.yeyulingfeng.com/config/database.php ( 2.48 KB )
  39. /yingpanguazai/ssd/ssd1/www/wwww.yeyulingfeng.com/config/filesystem.php ( 0.61 KB )
  40. /yingpanguazai/ssd/ssd1/www/wwww.yeyulingfeng.com/config/lang.php ( 0.91 KB )
  41. /yingpanguazai/ssd/ssd1/www/wwww.yeyulingfeng.com/config/log.php ( 1.35 KB )
  42. /yingpanguazai/ssd/ssd1/www/wwww.yeyulingfeng.com/config/middleware.php ( 0.19 KB )
  43. /yingpanguazai/ssd/ssd1/www/wwww.yeyulingfeng.com/config/route.php ( 1.89 KB )
  44. /yingpanguazai/ssd/ssd1/www/wwww.yeyulingfeng.com/config/session.php ( 0.57 KB )
  45. /yingpanguazai/ssd/ssd1/www/wwww.yeyulingfeng.com/config/trace.php ( 0.34 KB )
  46. /yingpanguazai/ssd/ssd1/www/wwww.yeyulingfeng.com/config/view.php ( 0.82 KB )
  47. /yingpanguazai/ssd/ssd1/www/wwww.yeyulingfeng.com/app/event.php ( 0.25 KB )
  48. /yingpanguazai/ssd/ssd1/www/wwww.yeyulingfeng.com/vendor/topthink/framework/src/think/Event.php ( 7.67 KB )
  49. /yingpanguazai/ssd/ssd1/www/wwww.yeyulingfeng.com/app/service.php ( 0.13 KB )
  50. /yingpanguazai/ssd/ssd1/www/wwww.yeyulingfeng.com/app/AppService.php ( 0.26 KB )
  51. /yingpanguazai/ssd/ssd1/www/wwww.yeyulingfeng.com/vendor/topthink/framework/src/think/Service.php ( 1.64 KB )
  52. /yingpanguazai/ssd/ssd1/www/wwww.yeyulingfeng.com/vendor/topthink/framework/src/think/Lang.php ( 7.35 KB )
  53. /yingpanguazai/ssd/ssd1/www/wwww.yeyulingfeng.com/vendor/topthink/framework/src/lang/zh-cn.php ( 13.70 KB )
  54. /yingpanguazai/ssd/ssd1/www/wwww.yeyulingfeng.com/vendor/topthink/framework/src/think/initializer/Error.php ( 3.31 KB )
  55. /yingpanguazai/ssd/ssd1/www/wwww.yeyulingfeng.com/vendor/topthink/framework/src/think/initializer/RegisterService.php ( 1.33 KB )
  56. /yingpanguazai/ssd/ssd1/www/wwww.yeyulingfeng.com/vendor/services.php ( 0.14 KB )
  57. /yingpanguazai/ssd/ssd1/www/wwww.yeyulingfeng.com/vendor/topthink/framework/src/think/service/PaginatorService.php ( 1.52 KB )
  58. /yingpanguazai/ssd/ssd1/www/wwww.yeyulingfeng.com/vendor/topthink/framework/src/think/service/ValidateService.php ( 0.99 KB )
  59. /yingpanguazai/ssd/ssd1/www/wwww.yeyulingfeng.com/vendor/topthink/framework/src/think/service/ModelService.php ( 2.04 KB )
  60. /yingpanguazai/ssd/ssd1/www/wwww.yeyulingfeng.com/vendor/topthink/think-trace/src/Service.php ( 0.77 KB )
  61. /yingpanguazai/ssd/ssd1/www/wwww.yeyulingfeng.com/vendor/topthink/framework/src/think/Middleware.php ( 6.72 KB )
  62. /yingpanguazai/ssd/ssd1/www/wwww.yeyulingfeng.com/vendor/topthink/framework/src/think/initializer/BootService.php ( 0.77 KB )
  63. /yingpanguazai/ssd/ssd1/www/wwww.yeyulingfeng.com/vendor/topthink/think-orm/src/Paginator.php ( 11.86 KB )
  64. /yingpanguazai/ssd/ssd1/www/wwww.yeyulingfeng.com/vendor/topthink/think-validate/src/Validate.php ( 63.20 KB )
  65. /yingpanguazai/ssd/ssd1/www/wwww.yeyulingfeng.com/vendor/topthink/think-orm/src/Model.php ( 23.55 KB )
  66. /yingpanguazai/ssd/ssd1/www/wwww.yeyulingfeng.com/vendor/topthink/think-orm/src/model/concern/Attribute.php ( 21.05 KB )
  67. /yingpanguazai/ssd/ssd1/www/wwww.yeyulingfeng.com/vendor/topthink/think-orm/src/model/concern/AutoWriteData.php ( 4.21 KB )
  68. /yingpanguazai/ssd/ssd1/www/wwww.yeyulingfeng.com/vendor/topthink/think-orm/src/model/concern/Conversion.php ( 6.44 KB )
  69. /yingpanguazai/ssd/ssd1/www/wwww.yeyulingfeng.com/vendor/topthink/think-orm/src/model/concern/DbConnect.php ( 5.16 KB )
  70. /yingpanguazai/ssd/ssd1/www/wwww.yeyulingfeng.com/vendor/topthink/think-orm/src/model/concern/ModelEvent.php ( 2.33 KB )
  71. /yingpanguazai/ssd/ssd1/www/wwww.yeyulingfeng.com/vendor/topthink/think-orm/src/model/concern/RelationShip.php ( 28.29 KB )
  72. /yingpanguazai/ssd/ssd1/www/wwww.yeyulingfeng.com/vendor/topthink/think-helper/src/contract/Arrayable.php ( 0.09 KB )
  73. /yingpanguazai/ssd/ssd1/www/wwww.yeyulingfeng.com/vendor/topthink/think-helper/src/contract/Jsonable.php ( 0.13 KB )
  74. /yingpanguazai/ssd/ssd1/www/wwww.yeyulingfeng.com/vendor/topthink/think-orm/src/model/contract/Modelable.php ( 0.09 KB )
  75. /yingpanguazai/ssd/ssd1/www/wwww.yeyulingfeng.com/vendor/topthink/framework/src/think/Db.php ( 2.88 KB )
  76. /yingpanguazai/ssd/ssd1/www/wwww.yeyulingfeng.com/vendor/topthink/think-orm/src/DbManager.php ( 8.52 KB )
  77. /yingpanguazai/ssd/ssd1/www/wwww.yeyulingfeng.com/vendor/topthink/framework/src/think/Log.php ( 6.28 KB )
  78. /yingpanguazai/ssd/ssd1/www/wwww.yeyulingfeng.com/vendor/topthink/framework/src/think/Manager.php ( 3.92 KB )
  79. /yingpanguazai/ssd/ssd1/www/wwww.yeyulingfeng.com/vendor/psr/log/src/LoggerTrait.php ( 2.69 KB )
  80. /yingpanguazai/ssd/ssd1/www/wwww.yeyulingfeng.com/vendor/psr/log/src/LoggerInterface.php ( 2.71 KB )
  81. /yingpanguazai/ssd/ssd1/www/wwww.yeyulingfeng.com/vendor/topthink/framework/src/think/Cache.php ( 4.92 KB )
  82. /yingpanguazai/ssd/ssd1/www/wwww.yeyulingfeng.com/vendor/psr/simple-cache/src/CacheInterface.php ( 4.71 KB )
  83. /yingpanguazai/ssd/ssd1/www/wwww.yeyulingfeng.com/vendor/topthink/think-helper/src/helper/Arr.php ( 16.63 KB )
  84. /yingpanguazai/ssd/ssd1/www/wwww.yeyulingfeng.com/vendor/topthink/framework/src/think/cache/driver/File.php ( 7.84 KB )
  85. /yingpanguazai/ssd/ssd1/www/wwww.yeyulingfeng.com/vendor/topthink/framework/src/think/cache/Driver.php ( 9.03 KB )
  86. /yingpanguazai/ssd/ssd1/www/wwww.yeyulingfeng.com/vendor/topthink/framework/src/think/contract/CacheHandlerInterface.php ( 1.99 KB )
  87. /yingpanguazai/ssd/ssd1/www/wwww.yeyulingfeng.com/app/Request.php ( 0.09 KB )
  88. /yingpanguazai/ssd/ssd1/www/wwww.yeyulingfeng.com/vendor/topthink/framework/src/think/Request.php ( 55.78 KB )
  89. /yingpanguazai/ssd/ssd1/www/wwww.yeyulingfeng.com/app/middleware.php ( 0.25 KB )
  90. /yingpanguazai/ssd/ssd1/www/wwww.yeyulingfeng.com/vendor/topthink/framework/src/think/Pipeline.php ( 2.61 KB )
  91. /yingpanguazai/ssd/ssd1/www/wwww.yeyulingfeng.com/vendor/topthink/think-trace/src/TraceDebug.php ( 3.40 KB )
  92. /yingpanguazai/ssd/ssd1/www/wwww.yeyulingfeng.com/vendor/topthink/framework/src/think/middleware/SessionInit.php ( 1.94 KB )
  93. /yingpanguazai/ssd/ssd1/www/wwww.yeyulingfeng.com/vendor/topthink/framework/src/think/Session.php ( 1.80 KB )
  94. /yingpanguazai/ssd/ssd1/www/wwww.yeyulingfeng.com/vendor/topthink/framework/src/think/session/driver/File.php ( 6.27 KB )
  95. /yingpanguazai/ssd/ssd1/www/wwww.yeyulingfeng.com/vendor/topthink/framework/src/think/contract/SessionHandlerInterface.php ( 0.87 KB )
  96. /yingpanguazai/ssd/ssd1/www/wwww.yeyulingfeng.com/vendor/topthink/framework/src/think/session/Store.php ( 7.12 KB )
  97. /yingpanguazai/ssd/ssd1/www/wwww.yeyulingfeng.com/vendor/topthink/framework/src/think/Route.php ( 23.73 KB )
  98. /yingpanguazai/ssd/ssd1/www/wwww.yeyulingfeng.com/vendor/topthink/framework/src/think/route/RuleName.php ( 5.75 KB )
  99. /yingpanguazai/ssd/ssd1/www/wwww.yeyulingfeng.com/vendor/topthink/framework/src/think/route/Domain.php ( 2.53 KB )
  100. /yingpanguazai/ssd/ssd1/www/wwww.yeyulingfeng.com/vendor/topthink/framework/src/think/route/RuleGroup.php ( 22.43 KB )
  101. /yingpanguazai/ssd/ssd1/www/wwww.yeyulingfeng.com/vendor/topthink/framework/src/think/route/Rule.php ( 26.95 KB )
  102. /yingpanguazai/ssd/ssd1/www/wwww.yeyulingfeng.com/vendor/topthink/framework/src/think/route/RuleItem.php ( 9.78 KB )
  103. /yingpanguazai/ssd/ssd1/www/wwww.yeyulingfeng.com/route/app.php ( 3.82 KB )
  104. /yingpanguazai/ssd/ssd1/www/wwww.yeyulingfeng.com/vendor/topthink/framework/src/think/facade/Route.php ( 4.70 KB )
  105. /yingpanguazai/ssd/ssd1/www/wwww.yeyulingfeng.com/vendor/topthink/framework/src/think/route/dispatch/Controller.php ( 4.74 KB )
  106. /yingpanguazai/ssd/ssd1/www/wwww.yeyulingfeng.com/vendor/topthink/framework/src/think/route/Dispatch.php ( 10.44 KB )
  107. /yingpanguazai/ssd/ssd1/www/wwww.yeyulingfeng.com/app/controller/Index.php ( 9.69 KB )
  108. /yingpanguazai/ssd/ssd1/www/wwww.yeyulingfeng.com/app/BaseController.php ( 2.05 KB )
  109. /yingpanguazai/ssd/ssd1/www/wwww.yeyulingfeng.com/vendor/topthink/think-orm/src/facade/Db.php ( 0.93 KB )
  110. /yingpanguazai/ssd/ssd1/www/wwww.yeyulingfeng.com/vendor/topthink/think-orm/src/db/connector/Mysql.php ( 5.44 KB )
  111. /yingpanguazai/ssd/ssd1/www/wwww.yeyulingfeng.com/vendor/topthink/think-orm/src/db/PDOConnection.php ( 52.47 KB )
  112. /yingpanguazai/ssd/ssd1/www/wwww.yeyulingfeng.com/vendor/topthink/think-orm/src/db/Connection.php ( 8.39 KB )
  113. /yingpanguazai/ssd/ssd1/www/wwww.yeyulingfeng.com/vendor/topthink/think-orm/src/db/ConnectionInterface.php ( 4.57 KB )
  114. /yingpanguazai/ssd/ssd1/www/wwww.yeyulingfeng.com/vendor/topthink/think-orm/src/db/builder/Mysql.php ( 16.58 KB )
  115. /yingpanguazai/ssd/ssd1/www/wwww.yeyulingfeng.com/vendor/topthink/think-orm/src/db/Builder.php ( 24.06 KB )
  116. /yingpanguazai/ssd/ssd1/www/wwww.yeyulingfeng.com/vendor/topthink/think-orm/src/db/BaseBuilder.php ( 27.50 KB )
  117. /yingpanguazai/ssd/ssd1/www/wwww.yeyulingfeng.com/vendor/topthink/think-orm/src/db/Query.php ( 15.71 KB )
  118. /yingpanguazai/ssd/ssd1/www/wwww.yeyulingfeng.com/vendor/topthink/think-orm/src/db/BaseQuery.php ( 45.13 KB )
  119. /yingpanguazai/ssd/ssd1/www/wwww.yeyulingfeng.com/vendor/topthink/think-orm/src/db/concern/TimeFieldQuery.php ( 7.43 KB )
  120. /yingpanguazai/ssd/ssd1/www/wwww.yeyulingfeng.com/vendor/topthink/think-orm/src/db/concern/AggregateQuery.php ( 3.26 KB )
  121. /yingpanguazai/ssd/ssd1/www/wwww.yeyulingfeng.com/vendor/topthink/think-orm/src/db/concern/ModelRelationQuery.php ( 20.07 KB )
  122. /yingpanguazai/ssd/ssd1/www/wwww.yeyulingfeng.com/vendor/topthink/think-orm/src/db/concern/ParamsBind.php ( 3.66 KB )
  123. /yingpanguazai/ssd/ssd1/www/wwww.yeyulingfeng.com/vendor/topthink/think-orm/src/db/concern/ResultOperation.php ( 7.01 KB )
  124. /yingpanguazai/ssd/ssd1/www/wwww.yeyulingfeng.com/vendor/topthink/think-orm/src/db/concern/WhereQuery.php ( 19.37 KB )
  125. /yingpanguazai/ssd/ssd1/www/wwww.yeyulingfeng.com/vendor/topthink/think-orm/src/db/concern/JoinAndViewQuery.php ( 7.11 KB )
  126. /yingpanguazai/ssd/ssd1/www/wwww.yeyulingfeng.com/vendor/topthink/think-orm/src/db/concern/TableFieldInfo.php ( 2.63 KB )
  127. /yingpanguazai/ssd/ssd1/www/wwww.yeyulingfeng.com/vendor/topthink/think-orm/src/db/concern/Transaction.php ( 2.77 KB )
  128. /yingpanguazai/ssd/ssd1/www/wwww.yeyulingfeng.com/vendor/topthink/framework/src/think/log/driver/File.php ( 5.96 KB )
  129. /yingpanguazai/ssd/ssd1/www/wwww.yeyulingfeng.com/vendor/topthink/framework/src/think/contract/LogHandlerInterface.php ( 0.86 KB )
  130. /yingpanguazai/ssd/ssd1/www/wwww.yeyulingfeng.com/vendor/topthink/framework/src/think/log/Channel.php ( 3.89 KB )
  131. /yingpanguazai/ssd/ssd1/www/wwww.yeyulingfeng.com/vendor/topthink/framework/src/think/event/LogRecord.php ( 1.02 KB )
  132. /yingpanguazai/ssd/ssd1/www/wwww.yeyulingfeng.com/vendor/topthink/think-helper/src/Collection.php ( 16.47 KB )
  133. /yingpanguazai/ssd/ssd1/www/wwww.yeyulingfeng.com/vendor/topthink/framework/src/think/facade/View.php ( 1.70 KB )
  134. /yingpanguazai/ssd/ssd1/www/wwww.yeyulingfeng.com/vendor/topthink/framework/src/think/View.php ( 4.39 KB )
  135. /yingpanguazai/ssd/ssd1/www/wwww.yeyulingfeng.com/vendor/topthink/framework/src/think/Response.php ( 8.81 KB )
  136. /yingpanguazai/ssd/ssd1/www/wwww.yeyulingfeng.com/vendor/topthink/framework/src/think/response/View.php ( 3.29 KB )
  137. /yingpanguazai/ssd/ssd1/www/wwww.yeyulingfeng.com/vendor/topthink/framework/src/think/Cookie.php ( 6.06 KB )
  138. /yingpanguazai/ssd/ssd1/www/wwww.yeyulingfeng.com/vendor/topthink/think-view/src/Think.php ( 8.38 KB )
  139. /yingpanguazai/ssd/ssd1/www/wwww.yeyulingfeng.com/vendor/topthink/framework/src/think/contract/TemplateHandlerInterface.php ( 1.60 KB )
  140. /yingpanguazai/ssd/ssd1/www/wwww.yeyulingfeng.com/vendor/topthink/think-template/src/Template.php ( 46.61 KB )
  141. /yingpanguazai/ssd/ssd1/www/wwww.yeyulingfeng.com/vendor/topthink/think-template/src/template/driver/File.php ( 2.41 KB )
  142. /yingpanguazai/ssd/ssd1/www/wwww.yeyulingfeng.com/vendor/topthink/think-template/src/template/contract/DriverInterface.php ( 0.86 KB )
  143. /yingpanguazai/ssd/ssd1/www/wwww.yeyulingfeng.com/runtime/temp/10a0c909b6afa23b5a52a2e2d58c3c0f.php ( 21.72 KB )
  144. /yingpanguazai/ssd/ssd1/www/wwww.yeyulingfeng.com/vendor/topthink/think-trace/src/Html.php ( 4.42 KB )
  1. CONNECT:[ UseTime:0.000455s ] mysql:host=127.0.0.1;port=3306;dbname=wenku;charset=utf8mb4
  2. SHOW FULL COLUMNS FROM `fenlei` [ RunTime:0.000604s ]
  3. SELECT * FROM `fenlei` WHERE `fid` = 0 [ RunTime:0.000301s ]
  4. SELECT * FROM `fenlei` WHERE `fid` = 63 [ RunTime:0.000247s ]
  5. SHOW FULL COLUMNS FROM `set` [ RunTime:0.000456s ]
  6. SELECT * FROM `set` [ RunTime:0.000192s ]
  7. SHOW FULL COLUMNS FROM `wendang` [ RunTime:0.000624s ]
  8. SELECT * FROM `wendang` WHERE `id` = 367432 LIMIT 1 [ RunTime:0.000530s ]
  9. UPDATE `wendang` SET `liulancishu` = 1 WHERE `id` = 367432 [ RunTime:0.005814s ]
  10. UPDATE `wendang` SET `lasttime` = 1773067979 WHERE `id` = 367432 [ RunTime:0.000571s ]
  11. SELECT * FROM `wendang` WHERE `id` < 367432 ORDER BY `id` DESC LIMIT 1 [ RunTime:0.000899s ]
  12. SELECT * FROM `wendang` WHERE `id` > 367432 ORDER BY `id` ASC LIMIT 1 [ RunTime:0.000435s ]
  13. SELECT * FROM `wendang` WHERE `id` <> 367432 ORDER BY `id` DESC LIMIT 10 [ RunTime:0.002262s ]
  14. SELECT * FROM `wendang` WHERE `id` <> 367432 ORDER BY `id` DESC LIMIT 10,10 [ RunTime:0.004066s ]
  15. SELECT * FROM `wendang` WHERE `id` <> 367432 ORDER BY `id` DESC LIMIT 20,10 [ RunTime:0.002383s ]
0.109675s