当前位置:首页>文档>第16章第2讲 原子核2023年高考物理一轮复习(新高考新教材)_4.2025物理总复习_2023年新高复习资料_一轮复习_2023年新高考大一轮复习讲义_2023年高考物理一轮复习讲义(新高考新教材)

第16章第2讲 原子核2023年高考物理一轮复习(新高考新教材)_4.2025物理总复习_2023年新高复习资料_一轮复习_2023年新高考大一轮复习讲义_2023年高考物理一轮复习讲义(新高考新教材)

  • 2026-03-10 13:45:56 2026-03-10 13:45:56

文档预览

第16章第2讲 原子核2023年高考物理一轮复习(新高考新教材)_4.2025物理总复习_2023年新高复习资料_一轮复习_2023年新高考大一轮复习讲义_2023年高考物理一轮复习讲义(新高考新教材)
第16章第2讲 原子核2023年高考物理一轮复习(新高考新教材)_4.2025物理总复习_2023年新高复习资料_一轮复习_2023年新高考大一轮复习讲义_2023年高考物理一轮复习讲义(新高考新教材)
第16章第2讲 原子核2023年高考物理一轮复习(新高考新教材)_4.2025物理总复习_2023年新高复习资料_一轮复习_2023年新高考大一轮复习讲义_2023年高考物理一轮复习讲义(新高考新教材)
第16章第2讲 原子核2023年高考物理一轮复习(新高考新教材)_4.2025物理总复习_2023年新高复习资料_一轮复习_2023年新高考大一轮复习讲义_2023年高考物理一轮复习讲义(新高考新教材)
第16章第2讲 原子核2023年高考物理一轮复习(新高考新教材)_4.2025物理总复习_2023年新高复习资料_一轮复习_2023年新高考大一轮复习讲义_2023年高考物理一轮复习讲义(新高考新教材)
第16章第2讲 原子核2023年高考物理一轮复习(新高考新教材)_4.2025物理总复习_2023年新高复习资料_一轮复习_2023年新高考大一轮复习讲义_2023年高考物理一轮复习讲义(新高考新教材)
第16章第2讲 原子核2023年高考物理一轮复习(新高考新教材)_4.2025物理总复习_2023年新高复习资料_一轮复习_2023年新高考大一轮复习讲义_2023年高考物理一轮复习讲义(新高考新教材)
第16章第2讲 原子核2023年高考物理一轮复习(新高考新教材)_4.2025物理总复习_2023年新高复习资料_一轮复习_2023年新高考大一轮复习讲义_2023年高考物理一轮复习讲义(新高考新教材)
第16章第2讲 原子核2023年高考物理一轮复习(新高考新教材)_4.2025物理总复习_2023年新高复习资料_一轮复习_2023年新高考大一轮复习讲义_2023年高考物理一轮复习讲义(新高考新教材)
第16章第2讲 原子核2023年高考物理一轮复习(新高考新教材)_4.2025物理总复习_2023年新高复习资料_一轮复习_2023年新高考大一轮复习讲义_2023年高考物理一轮复习讲义(新高考新教材)
第16章第2讲 原子核2023年高考物理一轮复习(新高考新教材)_4.2025物理总复习_2023年新高复习资料_一轮复习_2023年新高考大一轮复习讲义_2023年高考物理一轮复习讲义(新高考新教材)

文档信息

文档格式
docx
文档大小
0.307 MB
文档页数
11 页
上传时间
2026-03-10 13:45:56

文档内容

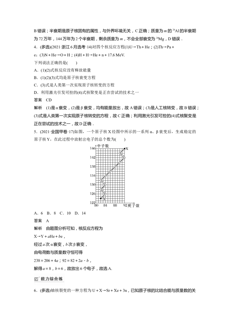
第 2 讲 原子核 目标要求 1.了解原子核的组成及核力的性质,了解半衰期及其统计意义.2.认识原子核的 结合能,了解核裂变及核聚变,能根据质量数、电荷数守恒写出核反应方程. 考点一 原子核的衰变及半衰期 1.原子核的组成:原子核是由质子和中子组成的,原子核的电荷数等于核内的质子数. 2.天然放射现象 放射性元素自发地发出射线的现象,首先由贝克勒尔发现.天然放射现象的发现,说明原子 核具有复杂的结构. 3.三种射线的比较 名称 构成 符号 电荷量 质量 电离能力 贯穿本领 α射线 氦核 He +2e 4 u 最强 最弱 β射线 电子 e -e u 较强 较强 γ射线 光子 γ 0 0 最弱 最强 4.原子核的衰变 (1)衰变:原子核自发地放出α粒子或β粒子,变成另一种原子核的变化称为原子核的衰变. (2)α衰变、β衰变 衰变类型 α衰变 β衰变 衰变方程 X→Y+He X→Y+e 2个质子和2个中子结合成一 中子转化为质子和电子 衰变实质 个整体射出 2H+2n→He n→H+e 衰变规律 电荷数守恒、质量数守恒 (3)γ射线:γ射线经常是伴随着α衰变或β衰变同时产生的. 5.半衰期 (1)公式:N =N ,m =m . 余 原 余 原 (2)影响因素:放射性元素衰变的快慢是由核内部自身的因素决定的,跟原子所处的外部条件(如温度、压强)或化学状态(如单质、化合物)无关(选填“有关”或“无关”). 6.放射性同位素的应用与防护 (1)放射性同位素:有天然放射性同位素和人工放射性同位素两类,放射性同位素的化学性 质相同. (2)应用:消除静电、工业探伤、做示踪原子等. (3)防护:防止放射性对人体组织的伤害. 1.三种射线,按穿透能力由强到弱的排列顺序是γ射线、β射线、α射线.( √ ) 2.β衰变中的电子来源于原子核外电子.( × ) 3.发生β衰变时,新核的电荷数不变.( × ) 4.如果现在有100个某放射性元素的原子核,那么经过一个半衰期后还剩50个.( × ) 考向1 原子核的衰变 例1 (多选)天然放射性元素Th(钍)经过一系列α衰变和β衰变之后,变成Pb(铅).下列判 断中正确的是( ) A.衰变过程共有6次α衰变和4次β衰变 B.铅核比钍核少8个质子 C.β衰变所放出的电子来自原子核外 D.钍核比铅核多24个中子 答案 AB 解析 由于β衰变不会引起质量数的减少,故可先根据质量数的减少确定 α衰变的次数,x ==6,再结合电荷数的变化情况和衰变规律来判定 β衰变的次数(设为y),2x-y=90-82 =8,y=2x-8=4,钍核中的中子数为232-90=142,铅核中的中子数为208-82=126, 所以钍核比铅核多16个中子,铅核比钍核少8个质子,β衰变所放出的电子来自原子核内, A、B正确. 例2 (多选)有一匀强磁场,磁感应强度为B,方向垂直纸面向外,一个原来静止在A处的 原子核,发生衰变放射出某种粒子,两个新核的运动轨迹如图所示,已知两个相切圆半径分 别为r、r.下列说法正确的是( ) 1 2 A.原子核发生α衰变,根据已知条件可以算出两个新核的质量比 B.衰变形成的两个粒子带同种电荷 C.衰变过程中原子核遵循动量守恒定律D.衰变形成的两个粒子电荷量的关系为q∶q=r∶r 1 2 1 2 答案 BC 解析 衰变后两个新核速度方向相反,受力方向也相反,根据左手定则可判断出,带同种电 荷,所以衰变是α衰变,衰变后的新核由洛伦兹力提供向心力,有Bqv=m,可得r=,衰 变过程遵循动量守恒定律,即mv相同,所以电荷量与半径成反比,有q∶q =r∶r ,但无 1 2 2 1 法求出质量,故A、D错误,B、C正确. 考向2 半衰期 例3 (2021·全国乙卷·17)医学治疗中常用放射性核素113In产生γ射线,而113In是由半衰期 相对较长的113Sn衰变产生的.对于质量为m 的113Sn,经过时间t后剩余的113Sn质量为m, 0 其-t图线如图所示.从图中可以得到13Sn的半衰期为( ) A.67.3 d B.101.0 d C.115.1 d D.124.9 d 答案 C 解析 由题图可知从=到=,113Sn恰好衰变了一半,根据半衰期的定义可知113Sn的半衰期 为T =182.4 d-67.3 d=115.1 d,故选C. 1/2 考点二 核反应及核反应类型 1.核反应的四种类型 类型 可控性 核反应方程典例 α衰变 自发 U→Th+He 衰变 β衰变 自发 Th→Pa+e N+He→O+H (卢瑟福发现质子) He+Be→C+n 人工转变 人工控制 (查德威克发现中子) 约里奥-居里夫妇 Al+He→P+n 发现放射性同位 P→Si+e 素,同时发现正电子 U+n→Ba+Kr+3n 重核裂变 容易控制 U+n→Xe+Sr+10n 轻核聚变 现阶段很难控制 H+H→He+n 2.核反应方程式的书写 (1)熟记常见基本粒子的符号,是正确书写核反应方程的基础.如质子(H)、中子(n)、α粒子 (He)、β粒子(e)、正电子(e)、氘核(H)、氚核(H)等. (2)掌握核反应方程遵循的规律:质量数守恒,电荷数守恒. (3)由于核反应不可逆,所以书写核反应方程式时只能用“→”表示反应方向. 例4 下列说法正确的是( ) A.U→Th+X中X为中子,核反应类型为β衰变 B.H+H→He+Y中Y为中子,核反应类型为人工转变 C.U+n→Xe+Sr+K,其中K为10个中子,核反应类型为重核裂变 D.N+He→O+Z,其中Z为氢核,核反应类型为轻核聚变 答案 C 解析 根据核反应的质量数和电荷数守恒可知,A选项反应中的X质量数为4,电荷数为 2,为α粒子,核反应类型为α衰变,选项A错误;B选项反应中的Y质量数为1,电荷数 为0,为中子,核反应类型为轻核聚变,选项B错误;C选项反应中的K质量数总数为10, 电荷数为0,则K为10个中子,核反应类型为重核裂变,选项C正确; D选项反应中的Z 质量数为1,电荷数为1,为质子,核反应类型为人工转变,选项D错误. 例5 (多选)(2020·全国卷Ⅰ·19)下列核反应方程中,X、X、X、X 代表α粒子的有( ) 1 2 3 4 A.H+H→n+X 1 B.H+H→n+X 2 C.U+n→Ba+Kr+3X 3 D.n+Li→H+X 4 答案 BD 解析 H+H→n+He,A错. H+H→n+He,B对. U+n→Ba+Kr+3n,C错. n+Li→H+He,D对.考点三 质量亏损及核能的计算 核力和核能 (1)核力:原子核内部,核子间所特有的相互作用力. (2)结合能:原子核是核子凭借核力结合在一起构成的,要把它们分开需要的能量,叫作原 子的结合能,也叫核能. (3)比结合能:原子核的结合能与核子数之比,叫作比结合能,也叫平均结合能.比结合能 越大,原子核中核子结合得越牢固,原子核越稳定. (4)核子在结合成原子核时出现质量亏损Δm,其对应的能量ΔE= Δ mc 2 .原子核分解成核子时 要吸收一定的能量,相应的质量增加Δm,吸收的能量为ΔE= Δ mc 2 . 1.原子核的结合能越大,原子核越稳定.( × ) 2.核反应中,出现质量亏损,一定有核能产生.( √ ) 核能的计算方法 (1)根据ΔE=Δmc2计算,计算时Δm的单位是“kg”,c的单位是“m/s”,ΔE的单位是 “J”. (2)根据ΔE=Δm×931.5 MeV计算.因1原子质量单位(u)相当于931.5 MeV的能量,所以计 算时Δm的单位是“u”,ΔE的单位是“MeV”. (3)根据核子比结合能来计算核能:原子核的结合能=核子比结合能×核子数. 例6 (2019·全国卷Ⅱ·15)太阳内部核反应的主要模式之一是质子—质子循环,循环的结果 可表示为4H→He+2e+2ν,已知H和He的质量分别为m =1.007 8 u和m =4.002 6 u,1 u= p α 931 MeV/c2,c为光速.在4个H转变成1个He的过程中,释放的能量约为( ) A.8 MeV B.16 MeV C.26 MeV D.52 MeV 答案 C 解析 因电子质量远小于质子的质量,计算中可忽略不计,核反应质量亏损Δm=4×1.007 8 u -4.002 6 u=0.028 6 u,释放的能量ΔE=0.028 6×931 MeV≈26.6 MeV,选项C正确. 例7 (多选)用中子(n)轰击铀核(U)产生裂变反应,会产生钡核(Ba)和氪(Kr)并释放中子 (n),达到某些条件时可发生链式反应,一个铀核(U)裂变时,释放的能量约为200 MeV (1 eV=1.6×10-19 J).以下说法正确的是( ) A.U裂变方程为U→Ba+Kr+2nB.U裂变方程为U+n→Ba+Kr+3n C.U发生链式反应的条件与铀块的体积有关 D.一个U裂变时,质量亏损约为3.6×10-28 kg 答案 BCD 解析 U的裂变方程为U+n→Ba+Kr+3n,方程两边的中子不能相约,故A错误,B正确; 铀块需达到临界体积才能维持链式反应持续不断进行下去,故C正确;一个铀核 (U)裂变时,释放的能量约为 200 MeV,根据爱因斯坦质能方程得,质量亏损 Δm== kg≈3.6×10-28 kg,故D正确. 例8 花岗岩、砖砂、水泥等建筑材料是室内氡的最主要来源.人呼吸时,氡气会随气体 进入肺脏,氡衰变放出的α射线像小“炸弹”一样轰击肺细胞,使肺细胞受损,从而引发肺 癌、白血病等.一静止的氡核Rn发生一次α衰变生成新核钋(Po),此过程动量守恒且释放 的能量全部转化为α粒子和钋核的动能.已知m =222.086 6 u,m =4.002 6 u,m = 氡 α 钋 218.076 6 u, 1 u相当于931 MeV的能量.(结果保留3位有效数字) (1)写出上述核反应方程; (2)求上述核反应放出的能量ΔE; (3)求α粒子的动能E . kα 答案 (1)Rn→Po+He (2)6.89 MeV (3)6.77 MeV 解析 (1)根据质量数和电荷数守恒有 Rn→Po+He (2)质量亏损 Δm=222.086 6 u-4.002 6 u-218.076 6 u =0.007 4 u ΔE=Δm×931 MeV 解得ΔE=0.007 4 u×931 MeV≈6.89 MeV (3)设α粒子、钋核的动能分别为E 、E ,动量分别为p 、p , kα k钋 α 钋 由能量守恒定律得ΔE=E +E kα k钋 由动量守恒定律得0=p +p α 钋 又E= k 故E ∶E =218∶4 kα k钋 解得E ≈6.77 MeV. kα课时精练 1.(2021·湖南卷·1)核废料具有很强的放射性,需要妥善处理.下列说法正确的是( ) A.放射性元素经过两个完整的半衰期后,将完全衰变殆尽 B.原子核衰变时电荷数守恒,质量数不守恒 C.改变压力、温度或浓度,将改变放射性元素的半衰期 D.过量放射性辐射对人体组织有破坏作用,但辐射强度在安全剂量内则没有伤害 答案 D 解析 根据半衰期的定义可知,放射性元素经过两个完整的半衰期后,还剩原来的未衰变, 故A错误;原子核衰变时满足电荷数守恒,质量数守恒,故 B错误;放射性元素的半衰期 是由原子核的自身结构决定的,而与物理环境如压力、温度或浓度无关,与化学状态无关, 故C错误;过量放射性辐射包含大量的射线,对人体组织有破坏作用,但辐射强度在安全 剂量内则没有伤害,故D正确. 2.2020年12月4日,新一代“人造太阳”装置——中国环流器二号M装置(HL-2M)在成 都建成并首次实现利用核聚变放电.下列方程中,正确的核聚变反应方程是( ) A.H+H→He+n B.U→Th+He C.U+n→Ba+Kr+3n D.He+Al→P+n 答案 A 解析 A项方程是核聚变,B项方程为α衰变,C项方程为重核裂变,D项方程为人工核转 变.故选A. 3.(2021·河北卷·1)银河系中存在大量的铝同位素26Al,26Al核β衰变的衰变方程为Al→Mg +e,测得26Al核的半衰期为72万年,下列说法正确的是( ) A.26Al核的质量等于26Mg核的质量 B.26Al核的中子数大于26Mg核的中子数 C.将铝同位素26Al放置在低温低压的环境中,其半衰期不变 D.银河系中现有的铝同位素26Al将在144万年后全部衰变为26Mg 答案 C 解析 26Al和26Mg的质量数均为26,相等,但是二者原子核中的质子数和中子数不同,所 以质量不同,A错误;Al核的中子数为26-13=13个,Mg核的中子数为26-12=14个,B错误;半衰期是原子核固有的属性,与外界环境无关,C正确;质量为m的26Al的半衰期 为72万年,144万年为2个半衰期,剩余质量为m,不会全部衰变为26Mg,D错误. 4.(多选)(2021·浙江6月选考·14)对四个核反应方程(1)U→Th+He;(2)Th→Pa+ e;(3)N+He→O+H;(4)H+H→He+n+17.6 MeV. 下列说法正确的是( ) A.(1)(2)式核反应没有释放能量 B.(1)(2)(3)式均是原子核衰变方程 C.(3)式是人类第一次实现原子核转变的方程 D.利用激光引发可控的(4)式核聚变是正在尝试的技术之一 答案 CD 解析 (1)是α衰变,(2)是β衰变,均有能量放出,故A错误;(3)是人工核转变,故B错误; (3)式是人类第一次实现原子核转变的方程,故C正确;利用激光引发可控的(4)式核聚变是 正在尝试的技术之一,故D正确. 5.(2021·全国甲卷·17)如图,一个原子核X经图中所示的一系列α、β衰变后,生成稳定的 原子核Y,在此过程中放射出电子的总个数为( ) A.6 B.8 C.10 D.14 答案 A 解析 由题图分析可知,核反应方程为 X→Y+aHe+be, 经过a次α衰变,b次β衰变, 由电荷数与质量数守恒可得 238=206+4a;92=82+2a-b, 解得a=8,b=6,故放出6个电子,故选A. 6.(多选)铀核裂变的一种方程为U+X→Sr+Xe+3n,已知原子核的比结合能与质量数的关系如图所示,下列说法中正确的有( ) A.X粒子是中子 B.X粒子是质子 C.U、Sr、Xe相比,Sr的比结合能最大,最稳定 D.U、Sr、Xe相比,U的质量数最大,结合能最大,最稳定 答案 AC 解析 根据质量数守恒和电荷数守恒可知,X的质量数为1,电荷数为0,为中子,A正确, B错误;根据题图可知U、Sr、Xe相比,Sr的比结合能最大,最稳定,U的质量数最大, 结合能最大,比结合能最小,最不稳定,C正确,D错误. 7.(2020·全国卷Ⅱ·18)氘核H可通过一系列聚变反应释放能量,其总效果可用反应式6H→ 2He+2H+2n+43.15 MeV表示.海水中富含氘,已知1 kg海水中含有的氘核约为1.0×1022 个,若全都发生聚变反应,其释放的能量与质量为M的标准煤燃烧时释放的热量相等;已 知1 kg标准煤燃烧释放的热量约为2.9×107 J,1 MeV= 1.6×10-13 J,则M约为( ) A.40 kg B.100 kg C.400 kg D.1 000 kg 答案 C 解析 根据核反应方程式,6个氘核聚变反应可释放出43.15 MeV的能量,1 kg海水中的氘 核反应释放的能量为E=×43.15 MeV≈7.19×1022 MeV≈1.15×1010 J,则相当于燃烧的标 准煤的质量为M= kg≈396.6 kg,约为400 kg. 8.(多选)(2020·浙江7月选考·14)太阳辐射的总功率约为4×1026 W,其辐射的能量来自于 聚变反应.在聚变反应中,一个质量为1 876.1 MeV/c2(c为真空中的光速)的氘核(H)和一个 质量为2 809.5 MeV/c2的氚核(H)结合为一个质量为3 728.4 MeV/c2的氦核(He),并放出一个 X粒子,同时释放大约17.6 MeV的能量.下列说法正确的是( ) A.X粒子是质子 B.X粒子的质量为939.6 MeV/c2 C.太阳每秒因为辐射损失的质量约为4.4×109 kgD.太阳每秒因为辐射损失的质量约为17.6 MeV/c2 答案 BC 解析 该聚变反应方程为H+H→He+n,X为中子,故A错误;该核反应中质量的减少量 Δm =17.6 MeV/c2,由质能方程知,m +m =m +m +Δm ,代入数据知1 876.1 MeV/c2 1 氘 氚 氦 X 1 +2 809.5 MeV/c2=3 728.4 MeV/c2+m +17.6 MeV/c2,故m =939.6 MeV/c2,故B正确;太 X X 阳每秒辐射能量ΔE=PΔt=4×1026 J,由质能方程知Δm=,故太阳每秒因为辐射损失的质 量Δm= kg≈4.4×109 kg,故C正确;因为ΔE=4×1026 J= eV=2.5×1039 MeV,则太阳 每秒因为辐射损失的质量为Δm==2.5×1039 MeV/c2,故D错误. 9.A、B是两种放射性元素的原子核,原来都静止在同一匀强磁场,其中一个放出 α粒子, 另一个放出β粒子,运动方向都与磁场方向垂直.图中a、b与c、d分别表示各粒子的运动 轨迹,下列说法中正确的是( ) A.A放出的是α粒子,B放出的是β粒子 B.a为α粒子运动轨迹,d为β粒子运动轨迹 C.a轨迹中的粒子比b轨迹中的粒子动量小 D.磁场方向一定垂直纸面向外 答案 A 解析 放射性元素放出α粒子时,α粒子与反冲核的速度相反,而电性相同,则两个粒子受 到的洛伦兹力方向相反,两个粒子的轨迹应为外切圆;而放射性元素放出β粒子时,β粒子 与反冲核的速度相反,而电性相反,则两个粒子受到的洛伦兹力方向相同,两个粒子的轨迹 应为内切圆,故B放出的是β粒子,A放出的是α粒子,故A正确;根据带电粒子在磁场中 的运动的半径r=,放出的粒子与反冲核的动量相等,而反冲核的电荷量大,故轨迹半径小, 故b为α粒子运动轨迹,c为β粒子运动轨迹,故B、C错误;粒子在磁场中做匀速圆周运 动,磁场方向不同,粒子运动的方向相反,由于 α粒子和β粒子的速度方向未知,不能判断 磁场的方向,故D错误. 10.(2017·北京卷·23)在磁感应强度为B的匀强磁场中,一个静止的放射性原子核发生了一 次α衰变.放射出的α粒子(He)在与磁场垂直的平面内做圆周运动,其轨道半径为 R.以m、 q分别表示α粒子的质量和电荷量. (1)放射性原子核用X表示,新核的元素符号用Y表示,写出该α衰变的核反应方程; (2)α粒子的圆周运动可以等效成一个环形电流,求圆周运动的周期和环形电流大小; (3)设该衰变过程释放的核能都转化为α粒子和新核的动能,新核的质量为 M,求衰变过程的质量亏损Δm. 答案 (1)X→Y+He (2) (3) 解析 (1)X→Y+He (2)洛伦兹力提供向心力, 有qv B=m α 所以v =,T== α 环形电流大小I==. (3)衰变过程动量守恒,有0=p +p Y α 所以p =-p ,“-”表示方向相反. Y α 因为p=mv,E=mv2 k 所以E= k 即:E ∶E =m∶M kY kα 由能量守恒得Δmc2=E +E kY kα Δm=,其中E =mv 2=, kα α 所以Δm=.
基本 文件 流程 错误 SQL 调试
  1. 请求信息 : 2026-03-10 13:50:24 HTTP/1.1 GET : https://www.yeyulingfeng.com/wendang/373839.html
  2. 运行时间 : 0.121070s [ 吞吐率:8.26req/s ] 内存消耗:5,413.13kb 文件加载:144
  3. 缓存信息 : 0 reads,0 writes
  4. 会话信息 : SESSION_ID=77ca00788156f943b8f7c2def2e83106
  1. /yingpanguazai/ssd/ssd1/www/wwww.yeyulingfeng.com/public/index.php ( 0.79 KB )
  2. /yingpanguazai/ssd/ssd1/www/wwww.yeyulingfeng.com/vendor/autoload.php ( 0.17 KB )
  3. /yingpanguazai/ssd/ssd1/www/wwww.yeyulingfeng.com/vendor/composer/autoload_real.php ( 2.49 KB )
  4. /yingpanguazai/ssd/ssd1/www/wwww.yeyulingfeng.com/vendor/composer/platform_check.php ( 0.90 KB )
  5. /yingpanguazai/ssd/ssd1/www/wwww.yeyulingfeng.com/vendor/composer/ClassLoader.php ( 14.03 KB )
  6. /yingpanguazai/ssd/ssd1/www/wwww.yeyulingfeng.com/vendor/composer/autoload_static.php ( 6.05 KB )
  7. /yingpanguazai/ssd/ssd1/www/wwww.yeyulingfeng.com/vendor/topthink/think-helper/src/helper.php ( 8.34 KB )
  8. /yingpanguazai/ssd/ssd1/www/wwww.yeyulingfeng.com/vendor/topthink/think-validate/src/helper.php ( 2.19 KB )
  9. /yingpanguazai/ssd/ssd1/www/wwww.yeyulingfeng.com/vendor/ralouphie/getallheaders/src/getallheaders.php ( 1.60 KB )
  10. /yingpanguazai/ssd/ssd1/www/wwww.yeyulingfeng.com/vendor/topthink/think-orm/src/helper.php ( 1.47 KB )
  11. /yingpanguazai/ssd/ssd1/www/wwww.yeyulingfeng.com/vendor/topthink/think-orm/stubs/load_stubs.php ( 0.16 KB )
  12. /yingpanguazai/ssd/ssd1/www/wwww.yeyulingfeng.com/vendor/topthink/framework/src/think/Exception.php ( 1.69 KB )
  13. /yingpanguazai/ssd/ssd1/www/wwww.yeyulingfeng.com/vendor/topthink/think-container/src/Facade.php ( 2.71 KB )
  14. /yingpanguazai/ssd/ssd1/www/wwww.yeyulingfeng.com/vendor/symfony/deprecation-contracts/function.php ( 0.99 KB )
  15. /yingpanguazai/ssd/ssd1/www/wwww.yeyulingfeng.com/vendor/symfony/polyfill-mbstring/bootstrap.php ( 8.26 KB )
  16. /yingpanguazai/ssd/ssd1/www/wwww.yeyulingfeng.com/vendor/symfony/polyfill-mbstring/bootstrap80.php ( 9.78 KB )
  17. /yingpanguazai/ssd/ssd1/www/wwww.yeyulingfeng.com/vendor/symfony/var-dumper/Resources/functions/dump.php ( 1.49 KB )
  18. /yingpanguazai/ssd/ssd1/www/wwww.yeyulingfeng.com/vendor/topthink/think-dumper/src/helper.php ( 0.18 KB )
  19. /yingpanguazai/ssd/ssd1/www/wwww.yeyulingfeng.com/vendor/symfony/var-dumper/VarDumper.php ( 4.30 KB )
  20. /yingpanguazai/ssd/ssd1/www/wwww.yeyulingfeng.com/vendor/guzzlehttp/guzzle/src/functions_include.php ( 0.16 KB )
  21. /yingpanguazai/ssd/ssd1/www/wwww.yeyulingfeng.com/vendor/guzzlehttp/guzzle/src/functions.php ( 5.54 KB )
  22. /yingpanguazai/ssd/ssd1/www/wwww.yeyulingfeng.com/vendor/topthink/framework/src/think/App.php ( 15.30 KB )
  23. /yingpanguazai/ssd/ssd1/www/wwww.yeyulingfeng.com/vendor/topthink/think-container/src/Container.php ( 15.76 KB )
  24. /yingpanguazai/ssd/ssd1/www/wwww.yeyulingfeng.com/vendor/psr/container/src/ContainerInterface.php ( 1.02 KB )
  25. /yingpanguazai/ssd/ssd1/www/wwww.yeyulingfeng.com/app/provider.php ( 0.19 KB )
  26. /yingpanguazai/ssd/ssd1/www/wwww.yeyulingfeng.com/vendor/topthink/framework/src/think/Http.php ( 6.04 KB )
  27. /yingpanguazai/ssd/ssd1/www/wwww.yeyulingfeng.com/vendor/topthink/think-helper/src/helper/Str.php ( 7.29 KB )
  28. /yingpanguazai/ssd/ssd1/www/wwww.yeyulingfeng.com/vendor/topthink/framework/src/think/Env.php ( 4.68 KB )
  29. /yingpanguazai/ssd/ssd1/www/wwww.yeyulingfeng.com/app/common.php ( 0.03 KB )
  30. /yingpanguazai/ssd/ssd1/www/wwww.yeyulingfeng.com/vendor/topthink/framework/src/helper.php ( 18.78 KB )
  31. /yingpanguazai/ssd/ssd1/www/wwww.yeyulingfeng.com/vendor/topthink/framework/src/think/Config.php ( 5.54 KB )
  32. /yingpanguazai/ssd/ssd1/www/wwww.yeyulingfeng.com/config/alipay.php ( 3.59 KB )
  33. /yingpanguazai/ssd/ssd1/www/wwww.yeyulingfeng.com/vendor/topthink/framework/src/think/facade/Env.php ( 1.67 KB )
  34. /yingpanguazai/ssd/ssd1/www/wwww.yeyulingfeng.com/config/app.php ( 0.95 KB )
  35. /yingpanguazai/ssd/ssd1/www/wwww.yeyulingfeng.com/config/cache.php ( 0.78 KB )
  36. /yingpanguazai/ssd/ssd1/www/wwww.yeyulingfeng.com/config/console.php ( 0.23 KB )
  37. /yingpanguazai/ssd/ssd1/www/wwww.yeyulingfeng.com/config/cookie.php ( 0.56 KB )
  38. /yingpanguazai/ssd/ssd1/www/wwww.yeyulingfeng.com/config/database.php ( 2.48 KB )
  39. /yingpanguazai/ssd/ssd1/www/wwww.yeyulingfeng.com/config/filesystem.php ( 0.61 KB )
  40. /yingpanguazai/ssd/ssd1/www/wwww.yeyulingfeng.com/config/lang.php ( 0.91 KB )
  41. /yingpanguazai/ssd/ssd1/www/wwww.yeyulingfeng.com/config/log.php ( 1.35 KB )
  42. /yingpanguazai/ssd/ssd1/www/wwww.yeyulingfeng.com/config/middleware.php ( 0.19 KB )
  43. /yingpanguazai/ssd/ssd1/www/wwww.yeyulingfeng.com/config/route.php ( 1.89 KB )
  44. /yingpanguazai/ssd/ssd1/www/wwww.yeyulingfeng.com/config/session.php ( 0.57 KB )
  45. /yingpanguazai/ssd/ssd1/www/wwww.yeyulingfeng.com/config/trace.php ( 0.34 KB )
  46. /yingpanguazai/ssd/ssd1/www/wwww.yeyulingfeng.com/config/view.php ( 0.82 KB )
  47. /yingpanguazai/ssd/ssd1/www/wwww.yeyulingfeng.com/app/event.php ( 0.25 KB )
  48. /yingpanguazai/ssd/ssd1/www/wwww.yeyulingfeng.com/vendor/topthink/framework/src/think/Event.php ( 7.67 KB )
  49. /yingpanguazai/ssd/ssd1/www/wwww.yeyulingfeng.com/app/service.php ( 0.13 KB )
  50. /yingpanguazai/ssd/ssd1/www/wwww.yeyulingfeng.com/app/AppService.php ( 0.26 KB )
  51. /yingpanguazai/ssd/ssd1/www/wwww.yeyulingfeng.com/vendor/topthink/framework/src/think/Service.php ( 1.64 KB )
  52. /yingpanguazai/ssd/ssd1/www/wwww.yeyulingfeng.com/vendor/topthink/framework/src/think/Lang.php ( 7.35 KB )
  53. /yingpanguazai/ssd/ssd1/www/wwww.yeyulingfeng.com/vendor/topthink/framework/src/lang/zh-cn.php ( 13.70 KB )
  54. /yingpanguazai/ssd/ssd1/www/wwww.yeyulingfeng.com/vendor/topthink/framework/src/think/initializer/Error.php ( 3.31 KB )
  55. /yingpanguazai/ssd/ssd1/www/wwww.yeyulingfeng.com/vendor/topthink/framework/src/think/initializer/RegisterService.php ( 1.33 KB )
  56. /yingpanguazai/ssd/ssd1/www/wwww.yeyulingfeng.com/vendor/services.php ( 0.14 KB )
  57. /yingpanguazai/ssd/ssd1/www/wwww.yeyulingfeng.com/vendor/topthink/framework/src/think/service/PaginatorService.php ( 1.52 KB )
  58. /yingpanguazai/ssd/ssd1/www/wwww.yeyulingfeng.com/vendor/topthink/framework/src/think/service/ValidateService.php ( 0.99 KB )
  59. /yingpanguazai/ssd/ssd1/www/wwww.yeyulingfeng.com/vendor/topthink/framework/src/think/service/ModelService.php ( 2.04 KB )
  60. /yingpanguazai/ssd/ssd1/www/wwww.yeyulingfeng.com/vendor/topthink/think-trace/src/Service.php ( 0.77 KB )
  61. /yingpanguazai/ssd/ssd1/www/wwww.yeyulingfeng.com/vendor/topthink/framework/src/think/Middleware.php ( 6.72 KB )
  62. /yingpanguazai/ssd/ssd1/www/wwww.yeyulingfeng.com/vendor/topthink/framework/src/think/initializer/BootService.php ( 0.77 KB )
  63. /yingpanguazai/ssd/ssd1/www/wwww.yeyulingfeng.com/vendor/topthink/think-orm/src/Paginator.php ( 11.86 KB )
  64. /yingpanguazai/ssd/ssd1/www/wwww.yeyulingfeng.com/vendor/topthink/think-validate/src/Validate.php ( 63.20 KB )
  65. /yingpanguazai/ssd/ssd1/www/wwww.yeyulingfeng.com/vendor/topthink/think-orm/src/Model.php ( 23.55 KB )
  66. /yingpanguazai/ssd/ssd1/www/wwww.yeyulingfeng.com/vendor/topthink/think-orm/src/model/concern/Attribute.php ( 21.05 KB )
  67. /yingpanguazai/ssd/ssd1/www/wwww.yeyulingfeng.com/vendor/topthink/think-orm/src/model/concern/AutoWriteData.php ( 4.21 KB )
  68. /yingpanguazai/ssd/ssd1/www/wwww.yeyulingfeng.com/vendor/topthink/think-orm/src/model/concern/Conversion.php ( 6.44 KB )
  69. /yingpanguazai/ssd/ssd1/www/wwww.yeyulingfeng.com/vendor/topthink/think-orm/src/model/concern/DbConnect.php ( 5.16 KB )
  70. /yingpanguazai/ssd/ssd1/www/wwww.yeyulingfeng.com/vendor/topthink/think-orm/src/model/concern/ModelEvent.php ( 2.33 KB )
  71. /yingpanguazai/ssd/ssd1/www/wwww.yeyulingfeng.com/vendor/topthink/think-orm/src/model/concern/RelationShip.php ( 28.29 KB )
  72. /yingpanguazai/ssd/ssd1/www/wwww.yeyulingfeng.com/vendor/topthink/think-helper/src/contract/Arrayable.php ( 0.09 KB )
  73. /yingpanguazai/ssd/ssd1/www/wwww.yeyulingfeng.com/vendor/topthink/think-helper/src/contract/Jsonable.php ( 0.13 KB )
  74. /yingpanguazai/ssd/ssd1/www/wwww.yeyulingfeng.com/vendor/topthink/think-orm/src/model/contract/Modelable.php ( 0.09 KB )
  75. /yingpanguazai/ssd/ssd1/www/wwww.yeyulingfeng.com/vendor/topthink/framework/src/think/Db.php ( 2.88 KB )
  76. /yingpanguazai/ssd/ssd1/www/wwww.yeyulingfeng.com/vendor/topthink/think-orm/src/DbManager.php ( 8.52 KB )
  77. /yingpanguazai/ssd/ssd1/www/wwww.yeyulingfeng.com/vendor/topthink/framework/src/think/Log.php ( 6.28 KB )
  78. /yingpanguazai/ssd/ssd1/www/wwww.yeyulingfeng.com/vendor/topthink/framework/src/think/Manager.php ( 3.92 KB )
  79. /yingpanguazai/ssd/ssd1/www/wwww.yeyulingfeng.com/vendor/psr/log/src/LoggerTrait.php ( 2.69 KB )
  80. /yingpanguazai/ssd/ssd1/www/wwww.yeyulingfeng.com/vendor/psr/log/src/LoggerInterface.php ( 2.71 KB )
  81. /yingpanguazai/ssd/ssd1/www/wwww.yeyulingfeng.com/vendor/topthink/framework/src/think/Cache.php ( 4.92 KB )
  82. /yingpanguazai/ssd/ssd1/www/wwww.yeyulingfeng.com/vendor/psr/simple-cache/src/CacheInterface.php ( 4.71 KB )
  83. /yingpanguazai/ssd/ssd1/www/wwww.yeyulingfeng.com/vendor/topthink/think-helper/src/helper/Arr.php ( 16.63 KB )
  84. /yingpanguazai/ssd/ssd1/www/wwww.yeyulingfeng.com/vendor/topthink/framework/src/think/cache/driver/File.php ( 7.84 KB )
  85. /yingpanguazai/ssd/ssd1/www/wwww.yeyulingfeng.com/vendor/topthink/framework/src/think/cache/Driver.php ( 9.03 KB )
  86. /yingpanguazai/ssd/ssd1/www/wwww.yeyulingfeng.com/vendor/topthink/framework/src/think/contract/CacheHandlerInterface.php ( 1.99 KB )
  87. /yingpanguazai/ssd/ssd1/www/wwww.yeyulingfeng.com/app/Request.php ( 0.09 KB )
  88. /yingpanguazai/ssd/ssd1/www/wwww.yeyulingfeng.com/vendor/topthink/framework/src/think/Request.php ( 55.78 KB )
  89. /yingpanguazai/ssd/ssd1/www/wwww.yeyulingfeng.com/app/middleware.php ( 0.25 KB )
  90. /yingpanguazai/ssd/ssd1/www/wwww.yeyulingfeng.com/vendor/topthink/framework/src/think/Pipeline.php ( 2.61 KB )
  91. /yingpanguazai/ssd/ssd1/www/wwww.yeyulingfeng.com/vendor/topthink/think-trace/src/TraceDebug.php ( 3.40 KB )
  92. /yingpanguazai/ssd/ssd1/www/wwww.yeyulingfeng.com/vendor/topthink/framework/src/think/middleware/SessionInit.php ( 1.94 KB )
  93. /yingpanguazai/ssd/ssd1/www/wwww.yeyulingfeng.com/vendor/topthink/framework/src/think/Session.php ( 1.80 KB )
  94. /yingpanguazai/ssd/ssd1/www/wwww.yeyulingfeng.com/vendor/topthink/framework/src/think/session/driver/File.php ( 6.27 KB )
  95. /yingpanguazai/ssd/ssd1/www/wwww.yeyulingfeng.com/vendor/topthink/framework/src/think/contract/SessionHandlerInterface.php ( 0.87 KB )
  96. /yingpanguazai/ssd/ssd1/www/wwww.yeyulingfeng.com/vendor/topthink/framework/src/think/session/Store.php ( 7.12 KB )
  97. /yingpanguazai/ssd/ssd1/www/wwww.yeyulingfeng.com/vendor/topthink/framework/src/think/Route.php ( 23.73 KB )
  98. /yingpanguazai/ssd/ssd1/www/wwww.yeyulingfeng.com/vendor/topthink/framework/src/think/route/RuleName.php ( 5.75 KB )
  99. /yingpanguazai/ssd/ssd1/www/wwww.yeyulingfeng.com/vendor/topthink/framework/src/think/route/Domain.php ( 2.53 KB )
  100. /yingpanguazai/ssd/ssd1/www/wwww.yeyulingfeng.com/vendor/topthink/framework/src/think/route/RuleGroup.php ( 22.43 KB )
  101. /yingpanguazai/ssd/ssd1/www/wwww.yeyulingfeng.com/vendor/topthink/framework/src/think/route/Rule.php ( 26.95 KB )
  102. /yingpanguazai/ssd/ssd1/www/wwww.yeyulingfeng.com/vendor/topthink/framework/src/think/route/RuleItem.php ( 9.78 KB )
  103. /yingpanguazai/ssd/ssd1/www/wwww.yeyulingfeng.com/route/app.php ( 3.82 KB )
  104. /yingpanguazai/ssd/ssd1/www/wwww.yeyulingfeng.com/vendor/topthink/framework/src/think/facade/Route.php ( 4.70 KB )
  105. /yingpanguazai/ssd/ssd1/www/wwww.yeyulingfeng.com/vendor/topthink/framework/src/think/route/dispatch/Controller.php ( 4.74 KB )
  106. /yingpanguazai/ssd/ssd1/www/wwww.yeyulingfeng.com/vendor/topthink/framework/src/think/route/Dispatch.php ( 10.44 KB )
  107. /yingpanguazai/ssd/ssd1/www/wwww.yeyulingfeng.com/app/controller/Index.php ( 9.68 KB )
  108. /yingpanguazai/ssd/ssd1/www/wwww.yeyulingfeng.com/app/BaseController.php ( 2.05 KB )
  109. /yingpanguazai/ssd/ssd1/www/wwww.yeyulingfeng.com/vendor/topthink/think-orm/src/facade/Db.php ( 0.93 KB )
  110. /yingpanguazai/ssd/ssd1/www/wwww.yeyulingfeng.com/vendor/topthink/think-orm/src/db/connector/Mysql.php ( 5.44 KB )
  111. /yingpanguazai/ssd/ssd1/www/wwww.yeyulingfeng.com/vendor/topthink/think-orm/src/db/PDOConnection.php ( 52.47 KB )
  112. /yingpanguazai/ssd/ssd1/www/wwww.yeyulingfeng.com/vendor/topthink/think-orm/src/db/Connection.php ( 8.39 KB )
  113. /yingpanguazai/ssd/ssd1/www/wwww.yeyulingfeng.com/vendor/topthink/think-orm/src/db/ConnectionInterface.php ( 4.57 KB )
  114. /yingpanguazai/ssd/ssd1/www/wwww.yeyulingfeng.com/vendor/topthink/think-orm/src/db/builder/Mysql.php ( 16.58 KB )
  115. /yingpanguazai/ssd/ssd1/www/wwww.yeyulingfeng.com/vendor/topthink/think-orm/src/db/Builder.php ( 24.06 KB )
  116. /yingpanguazai/ssd/ssd1/www/wwww.yeyulingfeng.com/vendor/topthink/think-orm/src/db/BaseBuilder.php ( 27.50 KB )
  117. /yingpanguazai/ssd/ssd1/www/wwww.yeyulingfeng.com/vendor/topthink/think-orm/src/db/Query.php ( 15.71 KB )
  118. /yingpanguazai/ssd/ssd1/www/wwww.yeyulingfeng.com/vendor/topthink/think-orm/src/db/BaseQuery.php ( 45.13 KB )
  119. /yingpanguazai/ssd/ssd1/www/wwww.yeyulingfeng.com/vendor/topthink/think-orm/src/db/concern/TimeFieldQuery.php ( 7.43 KB )
  120. /yingpanguazai/ssd/ssd1/www/wwww.yeyulingfeng.com/vendor/topthink/think-orm/src/db/concern/AggregateQuery.php ( 3.26 KB )
  121. /yingpanguazai/ssd/ssd1/www/wwww.yeyulingfeng.com/vendor/topthink/think-orm/src/db/concern/ModelRelationQuery.php ( 20.07 KB )
  122. /yingpanguazai/ssd/ssd1/www/wwww.yeyulingfeng.com/vendor/topthink/think-orm/src/db/concern/ParamsBind.php ( 3.66 KB )
  123. /yingpanguazai/ssd/ssd1/www/wwww.yeyulingfeng.com/vendor/topthink/think-orm/src/db/concern/ResultOperation.php ( 7.01 KB )
  124. /yingpanguazai/ssd/ssd1/www/wwww.yeyulingfeng.com/vendor/topthink/think-orm/src/db/concern/WhereQuery.php ( 19.37 KB )
  125. /yingpanguazai/ssd/ssd1/www/wwww.yeyulingfeng.com/vendor/topthink/think-orm/src/db/concern/JoinAndViewQuery.php ( 7.11 KB )
  126. /yingpanguazai/ssd/ssd1/www/wwww.yeyulingfeng.com/vendor/topthink/think-orm/src/db/concern/TableFieldInfo.php ( 2.63 KB )
  127. /yingpanguazai/ssd/ssd1/www/wwww.yeyulingfeng.com/vendor/topthink/think-orm/src/db/concern/Transaction.php ( 2.77 KB )
  128. /yingpanguazai/ssd/ssd1/www/wwww.yeyulingfeng.com/vendor/topthink/framework/src/think/log/driver/File.php ( 5.96 KB )
  129. /yingpanguazai/ssd/ssd1/www/wwww.yeyulingfeng.com/vendor/topthink/framework/src/think/contract/LogHandlerInterface.php ( 0.86 KB )
  130. /yingpanguazai/ssd/ssd1/www/wwww.yeyulingfeng.com/vendor/topthink/framework/src/think/log/Channel.php ( 3.89 KB )
  131. /yingpanguazai/ssd/ssd1/www/wwww.yeyulingfeng.com/vendor/topthink/framework/src/think/event/LogRecord.php ( 1.02 KB )
  132. /yingpanguazai/ssd/ssd1/www/wwww.yeyulingfeng.com/vendor/topthink/think-helper/src/Collection.php ( 16.47 KB )
  133. /yingpanguazai/ssd/ssd1/www/wwww.yeyulingfeng.com/vendor/topthink/framework/src/think/facade/View.php ( 1.70 KB )
  134. /yingpanguazai/ssd/ssd1/www/wwww.yeyulingfeng.com/vendor/topthink/framework/src/think/View.php ( 4.39 KB )
  135. /yingpanguazai/ssd/ssd1/www/wwww.yeyulingfeng.com/vendor/topthink/framework/src/think/Response.php ( 8.81 KB )
  136. /yingpanguazai/ssd/ssd1/www/wwww.yeyulingfeng.com/vendor/topthink/framework/src/think/response/View.php ( 3.29 KB )
  137. /yingpanguazai/ssd/ssd1/www/wwww.yeyulingfeng.com/vendor/topthink/framework/src/think/Cookie.php ( 6.06 KB )
  138. /yingpanguazai/ssd/ssd1/www/wwww.yeyulingfeng.com/vendor/topthink/think-view/src/Think.php ( 8.38 KB )
  139. /yingpanguazai/ssd/ssd1/www/wwww.yeyulingfeng.com/vendor/topthink/framework/src/think/contract/TemplateHandlerInterface.php ( 1.60 KB )
  140. /yingpanguazai/ssd/ssd1/www/wwww.yeyulingfeng.com/vendor/topthink/think-template/src/Template.php ( 46.61 KB )
  141. /yingpanguazai/ssd/ssd1/www/wwww.yeyulingfeng.com/vendor/topthink/think-template/src/template/driver/File.php ( 2.41 KB )
  142. /yingpanguazai/ssd/ssd1/www/wwww.yeyulingfeng.com/vendor/topthink/think-template/src/template/contract/DriverInterface.php ( 0.86 KB )
  143. /yingpanguazai/ssd/ssd1/www/wwww.yeyulingfeng.com/runtime/temp/10a0c909b6afa23b5a52a2e2d58c3c0f.php ( 21.72 KB )
  144. /yingpanguazai/ssd/ssd1/www/wwww.yeyulingfeng.com/vendor/topthink/think-trace/src/Html.php ( 4.42 KB )
  1. CONNECT:[ UseTime:0.000685s ] mysql:host=127.0.0.1;port=3306;dbname=wenku;charset=utf8mb4
  2. SHOW FULL COLUMNS FROM `fenlei` [ RunTime:0.000678s ]
  3. SELECT * FROM `fenlei` WHERE `fid` = 0 [ RunTime:0.001005s ]
  4. SELECT * FROM `fenlei` WHERE `fid` = 63 [ RunTime:0.000291s ]
  5. SHOW FULL COLUMNS FROM `set` [ RunTime:0.000490s ]
  6. SELECT * FROM `set` [ RunTime:0.001760s ]
  7. SHOW FULL COLUMNS FROM `wendang` [ RunTime:0.000618s ]
  8. SELECT * FROM `wendang` WHERE `id` = 373839 LIMIT 1 [ RunTime:0.000538s ]
  9. UPDATE `wendang` SET `liulancishu` = 1 WHERE `id` = 373839 [ RunTime:0.011351s ]
  10. UPDATE `wendang` SET `lasttime` = 1773121824 WHERE `id` = 373839 [ RunTime:0.003461s ]
  11. SELECT * FROM `wendang` WHERE `id` < 373839 ORDER BY `id` DESC LIMIT 1 [ RunTime:0.000498s ]
  12. SELECT * FROM `wendang` WHERE `id` > 373839 ORDER BY `id` ASC LIMIT 1 [ RunTime:0.000895s ]
  13. SELECT * FROM `wendang` WHERE `id` <> 373839 ORDER BY `id` DESC LIMIT 10 [ RunTime:0.004227s ]
  14. SELECT * FROM `wendang` WHERE `id` <> 373839 ORDER BY `id` DESC LIMIT 10,10 [ RunTime:0.012594s ]
  15. SELECT * FROM `wendang` WHERE `id` <> 373839 ORDER BY `id` DESC LIMIT 20,10 [ RunTime:0.012467s ]
0.122864s