当前位置:首页>文档>山西省2024年普通高校招生专科(文史类)院校投档最低分_2025年4月最新发布2025年《全国31省各地》高考志愿填报(各省高校介绍+各省一分一段表+热门专业+避坑指南)_山西

山西省2024年普通高校招生专科(文史类)院校投档最低分_2025年4月最新发布2025年《全国31省各地》高考志愿填报(各省高校介绍+各省一分一段表+热门专业+避坑指南)_山西

  • 2026-04-04 02:05:50 2026-03-10 17:09:37

文档预览

山西省2024年普通高校招生专科(文史类)院校投档最低分_2025年4月最新发布2025年《全国31省各地》高考志愿填报(各省高校介绍+各省一分一段表+热门专业+避坑指南)_山西
山西省2024年普通高校招生专科(文史类)院校投档最低分_2025年4月最新发布2025年《全国31省各地》高考志愿填报(各省高校介绍+各省一分一段表+热门专业+避坑指南)_山西
山西省2024年普通高校招生专科(文史类)院校投档最低分_2025年4月最新发布2025年《全国31省各地》高考志愿填报(各省高校介绍+各省一分一段表+热门专业+避坑指南)_山西
山西省2024年普通高校招生专科(文史类)院校投档最低分_2025年4月最新发布2025年《全国31省各地》高考志愿填报(各省高校介绍+各省一分一段表+热门专业+避坑指南)_山西
山西省2024年普通高校招生专科(文史类)院校投档最低分_2025年4月最新发布2025年《全国31省各地》高考志愿填报(各省高校介绍+各省一分一段表+热门专业+避坑指南)_山西
山西省2024年普通高校招生专科(文史类)院校投档最低分_2025年4月最新发布2025年《全国31省各地》高考志愿填报(各省高校介绍+各省一分一段表+热门专业+避坑指南)_山西
山西省2024年普通高校招生专科(文史类)院校投档最低分_2025年4月最新发布2025年《全国31省各地》高考志愿填报(各省高校介绍+各省一分一段表+热门专业+避坑指南)_山西
山西省2024年普通高校招生专科(文史类)院校投档最低分_2025年4月最新发布2025年《全国31省各地》高考志愿填报(各省高校介绍+各省一分一段表+热门专业+避坑指南)_山西
山西省2024年普通高校招生专科(文史类)院校投档最低分_2025年4月最新发布2025年《全国31省各地》高考志愿填报(各省高校介绍+各省一分一段表+热门专业+避坑指南)_山西
山西省2024年普通高校招生专科(文史类)院校投档最低分_2025年4月最新发布2025年《全国31省各地》高考志愿填报(各省高校介绍+各省一分一段表+热门专业+避坑指南)_山西
山西省2024年普通高校招生专科(文史类)院校投档最低分_2025年4月最新发布2025年《全国31省各地》高考志愿填报(各省高校介绍+各省一分一段表+热门专业+避坑指南)_山西
山西省2024年普通高校招生专科(文史类)院校投档最低分_2025年4月最新发布2025年《全国31省各地》高考志愿填报(各省高校介绍+各省一分一段表+热门专业+避坑指南)_山西
山西省2024年普通高校招生专科(文史类)院校投档最低分_2025年4月最新发布2025年《全国31省各地》高考志愿填报(各省高校介绍+各省一分一段表+热门专业+避坑指南)_山西
山西省2024年普通高校招生专科(文史类)院校投档最低分_2025年4月最新发布2025年《全国31省各地》高考志愿填报(各省高校介绍+各省一分一段表+热门专业+避坑指南)_山西
山西省2024年普通高校招生专科(文史类)院校投档最低分_2025年4月最新发布2025年《全国31省各地》高考志愿填报(各省高校介绍+各省一分一段表+热门专业+避坑指南)_山西
山西省2024年普通高校招生专科(文史类)院校投档最低分_2025年4月最新发布2025年《全国31省各地》高考志愿填报(各省高校介绍+各省一分一段表+热门专业+避坑指南)_山西
山西省2024年普通高校招生专科(文史类)院校投档最低分_2025年4月最新发布2025年《全国31省各地》高考志愿填报(各省高校介绍+各省一分一段表+热门专业+避坑指南)_山西
山西省2024年普通高校招生专科(文史类)院校投档最低分_2025年4月最新发布2025年《全国31省各地》高考志愿填报(各省高校介绍+各省一分一段表+热门专业+避坑指南)_山西
山西省2024年普通高校招生专科(文史类)院校投档最低分_2025年4月最新发布2025年《全国31省各地》高考志愿填报(各省高校介绍+各省一分一段表+热门专业+避坑指南)_山西
山西省2024年普通高校招生专科(文史类)院校投档最低分_2025年4月最新发布2025年《全国31省各地》高考志愿填报(各省高校介绍+各省一分一段表+热门专业+避坑指南)_山西
山西省2024年普通高校招生专科(文史类)院校投档最低分_2025年4月最新发布2025年《全国31省各地》高考志愿填报(各省高校介绍+各省一分一段表+热门专业+避坑指南)_山西
山西省2024年普通高校招生专科(文史类)院校投档最低分_2025年4月最新发布2025年《全国31省各地》高考志愿填报(各省高校介绍+各省一分一段表+热门专业+避坑指南)_山西
山西省2024年普通高校招生专科(文史类)院校投档最低分_2025年4月最新发布2025年《全国31省各地》高考志愿填报(各省高校介绍+各省一分一段表+热门专业+避坑指南)_山西
山西省2024年普通高校招生专科(文史类)院校投档最低分_2025年4月最新发布2025年《全国31省各地》高考志愿填报(各省高校介绍+各省一分一段表+热门专业+避坑指南)_山西

文档信息

文档格式
pdf
文档大小
3.284 MB
文档页数
24 页
上传时间
2026-03-10 17:09:37

文档内容

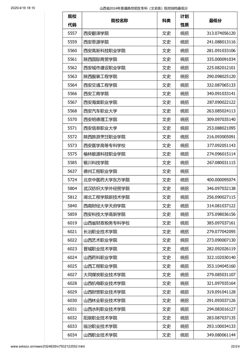
2025/4/19 18:15 山西省2024年普通高校招生专科(文史类)院校投档最低分 首页 机构设置 工作动态 考试公告 档案查询 服务导航 考生登录 首页 >> 普通高考 >> 正文 【关闭本页】 【打 山西省2024年普通高校招生专科(文史类)院校投档最低分 录入日期:2024-8-26 0:48:32 来源:山西省招生考试管理中心 院校 计划 院校名称 科类 最低分 代码 性质 1043 北京工业职业技术学院 文史 统招 395.099044156 1044 北京信息职业技术学院 文史 统招 403.101065145 1045 北京电子科技职业学院 文史 统招 397.095056156 1053 北京青年政治学院 文史 统招 376.108050140 1054 首钢工学院 文史 统招 337.108007142 1055 北京农业职业学院 文史 统招 376.102038132 1056 北京政法职业学院 文史 统招 364.000094053 1058 北京财贸职业学院 文史 统招 382.096051134 1060 北京交通职业技术学院 文史 统招 356.108045141 1062 北京经济管理职业学院 文史 统招 357.091053119 1091 天津市职业大学 文史 统招 413.108062166 1092 天津医学高等专科学校 文史 统招 413.109066142 1094 天津滨海职业学院 文史 统招 345.087042168 1096 天津渤海职业技术学院 文史 统招 356.100044163 1097 天津电子信息职业技术学院 文史 统招 390.094062163 1098 天津机电职业技术学院 文史 统招 364.105048138 1099 天津现代职业技术学院 文史 统招 389.099047157 1100 天津公安警官职业学院 文史 统招 364.088061134 1101 天津轻工职业技术学院 文史 统招 379.098067145 1102 天津商务职业学院 文史 统招 364.102031169 1103 天津国土资源和房屋职业学院 文史 统招 294.105026109 www.sxkszx.cn/news/2024826/n7932122552.html 1/242025/4/19 18:15 山西省2024年普通高校招生专科(文史类)院校投档最低分 院校 计划 院校名称 科类 最低分 代码 性质 1105 天津艺术职业学院 文史 统招 313.094028117 1106 天津交通职业学院 文史 统招 348.093024144 1107 天津工业职业学院 文史 统招 322.089041137 1108 天津石油职业技术学院 文史 统招 341.093037153 1109 天津城市职业学院 文史 统招 307.102028127 1110 天津铁道职业技术学院 文史 统招 403.113042177 1112 天津城市建设管理职业技术学院 文史 统招 320.091026149 1113 天津生物工程职业技术学院 文史 统招 340.096027150 1114 天津海运职业学院 文史 统招 337.105032127 1145 邯郸职业技术学院 文史 统招 317.099029141 1149 石家庄职业技术学院 文史 统招 365.082040146 1151 张家口职业技术学院 文史 统招 247.082013124 1158 邢台医学院 文史 统招 402.111045187 1159 河北软件职业技术学院 文史 统招 281.081025121 1161 河北建材职业技术学院 文史 统招 346.097028166 1162 河北政法职业学院 文史 统招 402.097077154 1164 河北能源职业技术学院 文史 统招 279.084019128 1165 石家庄铁路职业技术学院 文史 统招 403.108051186 1168 唐山职业技术学院 文史 统招 362.103027164 1169 衡水职业技术学院 文史 统招 302.093020174 1170 唐山工业职业技术大学 文史 统招 380.093063176 1172 河北旅游职业学院 文史 统招 273.086029127 1173 河北交通职业技术学院 文史 统招 351.103025137 1174 河北化工医药职业技术学院 文史 统招 328.092043121 1175 石家庄信息工程职业学院 文史 统招 346.110046155 1176 河北对外经贸职业学院 文史 统招 226.083014098 1180 廊坊职业技术学院 文史 统招 273.097018105 1182 石家庄邮电职业技术学院 文史 统招 404.106062172 1184 河北司法警官职业学院 文史 统招 343.103025137 1185 沧州医学高等专科学校 文史 统招 392.117042172 1186 河北女子职业技术学院 文史 统招 328.100030133 1187 冀中职业学院 文史 统招 225.094010088 1188 河北正定师范高等专科学校 文史 统招 317.090027107 1189 河北劳动关系职业学院 文史 统招 279.099032125 1190 沧州幼儿师范高等专科学校 文史 统招 228.084020108 1191 宣化科技职业学院 文史 统招 267.071035103 www.sxkszx.cn/news/2024826/n7932122552.html 2/242025/4/19 18:15 山西省2024年普通高校招生专科(文史类)院校投档最低分 院校 计划 院校名称 科类 最低分 代码 性质 1192 廊坊燕京职业技术学院 文史 统招 279.088017123 1193 承德护理职业学院 文史 统招 383.080087132 1194 石家庄幼儿师范高等专科学校 文史 统招 1195 廊坊卫生职业学院 文史 统招 354.112038139 1196 河北轨道运输职业技术学院 文史 统招 404.000107065 1198 张家口学院 文史 统招 408.111057168 1199 保定幼儿师范高等专科学校 文史 统招 285.080019157 1201 唐山幼儿师范高等专科学校 文史 统招 295.088043125 1202 承德应用技术职业学院 文史 统招 227.086022081 1203 邯郸幼儿师范高等专科学校 文史 统招 359.113026173 1204 邯郸科技职业学院 文史 统招 276.089019146 1206 河北科技工程职业技术大学 文史 统招 311.091040142 1209 河北资源环境职业技术学院 文史 统招 234.084010112 1228 包头职业技术学院 文史 统招 268.088022134 1230 呼和浩特职业学院 文史 统招 389.098039157 1232 内蒙古电子信息职业技术学院 文史 统招 289.095040100 1233 内蒙古机电职业技术学院 文史 统招 331.091032136 1235 内蒙古商贸职业学院 文史 统招 339.101041130 1239 乌兰察布职业学院 文史 统招 260.088028079 1242 内蒙古交通职业技术学院 文史 统招 327.099036128 1243 包头钢铁职业技术学院 文史 统招 328.099022154 1245 包头铁道职业技术学院 文史 统招 394.102054170 1246 乌兰察布医学高等专科学校 文史 统招 352.106038170 1247 鄂尔多斯职业学院 文史 统招 329.106036138 1248 呼伦贝尔职业技术学院 文史 统招 229.069027102 1249 满洲里俄语职业学院 文史 统招 251.093005119 1251 阿拉善职业技术学院 文史 统招 254.083016130 1252 内蒙古民族幼儿师范高等专科学校 文史 统招 1286 鞍山师范学院 文史 统招 299.000095024 1287 朝阳师范学院 文史 统招 301.090033134 1292 抚顺师范高等专科学校 文史 统招 183.069016070 1293 锦州师范高等专科学校 文史 统招 203.082025087 1294 营口职业技术学院 文史 统招 268.098015130 1295 铁岭师范高等专科学校 文史 统招 191.078013074 1296 大连职业技术学院 文史 统招 267.102016108 1298 抚顺职业技术学院 文史 统招 228.077014109 www.sxkszx.cn/news/2024826/n7932122552.html 3/242025/4/19 18:15 山西省2024年普通高校招生专科(文史类)院校投档最低分 院校 计划 院校名称 科类 最低分 代码 性质 1299 辽宁农业职业技术学院 文史 统招 325.101034154 1300 辽阳职业技术学院 文史 统招 237.082016122 1301 阜新高等专科学校 文史 统招 259.098017093 1305 辽宁省交通高等专科学校 文史 统招 325.076039155 1309 盘锦职业技术学院 文史 统招 261.101008135 1312 辽宁职业学院 文史 统招 247.080024117 1313 辽宁生态工程职业学院 文史 统招 252.000080010 1314 沈阳职业技术学院 文史 统招 284.080030134 1315 辽宁金融职业学院 文史 统招 285.094013138 1317 辽宁机电职业技术学院 文史 统招 249.075019136 1318 辽宁经济职业技术学院 文史 统招 298.088032136 1320 渤海船舶职业学院 文史 统招 262.089027114 1322 辽宁装备制造职业技术学院 文史 统招 339.098037150 1324 辽宁地质工程职业学院 文史 统招 236.076038094 1326 辽宁建筑职业学院 文史 统招 288.081029138 1327 辽宁现代服务职业技术学院 文史 统招 246.084019118 1328 辽宁冶金职业技术学院 文史 统招 262.086023132 1329 辽宁工程职业学院 文史 统招 268.090017124 1331 辽宁医药职业学院 文史 统招 372.102033169 1332 铁岭卫生职业学院 文史 统招 285.099036118 1336 辽宁轻工职业学院 文史 统招 344.102018180 1338 辽宁特殊教育师范高等专科学校 文史 统招 341.099012145 1367 长春金融高等专科学校 文史 统招 340.097036137 1370 长春医学高等专科学校 文史 统招 393.095072124 1372 吉林司法警官职业学院 文史 统招 329.093033141 1374 吉林工业职业技术学院 文史 统招 254.079027123 1380 吉林铁道职业技术学院 文史 统招 391.101055173 1384 吉林水利电力职业学院 文史 统招 356.102025151 1387 长春师范高等专科学校 文史 统招 1409 齐齐哈尔高等师范专科学校 文史 统招 208.087040049 1413 伊春职业学院 文史 统招 350.096037154 1414 牡丹江大学 文史 统招 229.074017108 1417 黑龙江职业学院 文史 统招 294.085034133 1419 鹤岗师范高等专科学校 文史 统招 1422 大庆职业学院 文史 统招 244.087015108 1423 黑龙江林业职业技术学院 文史 统招 196.078021059 www.sxkszx.cn/news/2024826/n7932122552.html 4/242025/4/19 18:15 山西省2024年普通高校招生专科(文史类)院校投档最低分 院校 计划 院校名称 科类 最低分 代码 性质 1424 黑龙江农业职业技术学院 文史 统招 220.086020096 1425 黑龙江农业工程职业学院 文史 统招 288.093028125 1426 黑龙江农垦职业学院 文史 统招 269.088020122 1427 黑龙江司法警官职业学院 文史 统招 315.093038125 1429 哈尔滨铁道职业技术学院 文史 统招 390.090030149 1430 大兴安岭职业学院 文史 统招 258.087022112 1431 黑龙江农业经济职业学院 文史 统招 250.087013132 1432 哈尔滨职业技术大学 文史 统招 299.107020112 1433 黑龙江商业职业学院 文史 统招 213.069009104 1435 黑龙江旅游职业技术学院 文史 统招 228.058016138 1436 黑龙江生态工程职业学院 文史 统招 239.081021113 1437 黑龙江能源职业学院 文史 统招 196.041020086 1439 七台河职业学院 文史 统招 220.082010094 1441 大庆医学高等专科学校 文史 统招 352.097030164 1442 黑龙江交通职业技术学院 文史 统招 391.107064183 1444 哈尔滨科学技术职业学院 文史 统招 241.091020094 1445 佳木斯职业学院 文史 统招 198.062006096 1446 黑龙江护理高等专科学校 文史 统招 363.106034142 1447 哈尔滨幼儿师范高等专科学校 文史 统招 207.065016087 1472 上海旅游高等专科学校 文史 统招 304.102022118 1480 上海出版印刷高等专科学校 文史 统招 372.115042156 1485 上海城建职业学院 文史 统招 345.108023151 1486 上海交通职业技术学院 文史 统招 343.099031141 1488 上海电子信息职业技术学院 文史 统招 359.104021124 1490 上海科学技术职业学院 文史 统招 326.108027148 1491 上海农林职业技术学院 文史 统招 375.099038153 1493 上海民航职业技术学院 文史 统招 377.099024162 1514 江苏城市职业学院 文史 统招 359.101064123 1534 江苏工程职业技术学院 文史 统招 359.103049174 1538 连云港职业技术学院 文史 统招 355.089032154 1539 镇江市高等专科学校 文史 统招 336.102034161 1540 南通职业大学 文史 统招 370.101020151 1542 苏州职业大学 文史 统招 394.092071171 1553 连云港师范高等专科学校 文史 统招 371.099018161 1557 泰州职业技术学院 文史 统招 339.093028154 1558 常州信息职业技术学院 文史 统招 375.107037147 www.sxkszx.cn/news/2024826/n7932122552.html 5/242025/4/19 18:15 山西省2024年普通高校招生专科(文史类)院校投档最低分 院校 计划 院校名称 科类 最低分 代码 性质 1564 南通科技职业学院 文史 统招 301.097040139 1565 苏州经贸职业技术学院 文史 统招 361.103027155 1566 苏州工业职业技术学院 文史 统招 336.099022158 1567 苏州卫生职业技术学院 文史 统招 418.113052144 1568 无锡商业职业技术学院 文史 统招 366.104025153 1569 江苏航运职业技术学院 文史 统招 339.086051139 1571 江苏电子信息职业学院 文史 统招 353.091037139 1572 江苏农牧科技职业学院 文史 统招 378.091073167 1573 常州纺织服装职业技术学院 文史 统招 274.097038098 1575 苏州工业园区职业技术学院 文史 统招 276.094013119 1576 南京科技职业学院 文史 统招 362.093072144 1577 常州工业职业技术学院 文史 统招 297.076037137 1578 常州工程职业技术学院 文史 统招 325.098034135 1579 江苏农林职业技术学院 文史 统招 388.093046167 1580 江苏食品药品职业技术学院 文史 统招 343.092035149 1582 徐州工业职业技术学院 文史 统招 352.090039161 1583 江苏信息职业技术学院 文史 统招 332.099054131 1584 宿迁职业技术学院 文史 统招 1585 南京信息职业技术学院 文史 统招 391.108071151 1586 常州机电职业技术学院 文史 统招 382.000112041 1592 江苏财经职业技术学院 文史 统招 336.089051132 1593 扬州工业职业技术学院 文史 统招 330.099036127 1596 南京机电职业技术学院 文史 统招 406.111054191 1598 南京旅游职业学院 文史 统招 321.102021138 1601 苏州工业园区服务外包职业学院 文史 统招 359.091052172 1602 徐州幼儿师范高等专科学校 文史 统招 285.088012132 1604 南京城市职业学院 文史 统招 356.090055138 1606 江苏商贸职业学院 文史 统招 359.092056151 1607 南通师范高等专科学校 文史 统招 360.108025151 1609 江苏财会职业学院 文史 统招 353.097030151 1610 江苏城乡建设职业学院 文史 统招 312.100013138 1611 江苏航空职业技术学院 文史 统招 344.097040145 1612 江苏安全技术职业学院 文史 统招 321.098028125 1613 江苏旅游职业学院 文史 统招 322.099024131 1615 盐城幼儿师范高等专科学校 文史 统招 312.103018140 1621 苏州百年职业学院 文史 统招 249.088010114 www.sxkszx.cn/news/2024826/n7932122552.html 6/242025/4/19 18:15 山西省2024年普通高校招生专科(文史类)院校投档最低分 院校 计划 院校名称 科类 最低分 代码 性质 1655 金华职业技术大学 文史 统招 436.115058161 1656 宁波城市职业技术学院 文史 统招 337.094031140 1659 浙江工商职业技术学院 文史 统招 369.092032144 1662 浙江机电职业技术大学 文史 统招 358.095034144 1665 浙江经贸职业技术学院 文史 统招 361.100046149 1666 浙江商业职业技术学院 文史 统招 343.085061134 1667 浙江经济职业技术学院 文史 统招 389.093068162 1668 浙江旅游职业学院 文史 统招 340.079056136 1669 浙江警官职业学院 文史 统招 382.098042174 1681 浙江纺织服装职业技术学院 文史 统招 331.089010136 1688 台州科技职业学院 文史 统招 318.095046130 1695 浙江安防职业技术学院 文史 统招 306.084027152 1726 安徽职业技术学院 文史 统招 282.096009128 1734 淮南联合大学 文史 统招 346.102019135 1735 安徽医学高等专科学校 文史 统招 418.105070184 1737 安徽中医药高等专科学校 文史 统招 395.101053162 1743 淮南职业技术学院 文史 统招 251.080026115 1745 合肥通用职业技术学院 文史 统招 290.087034119 1753 滁州职业技术学院 文史 统招 1755 宣城职业技术学院 文史 统招 251.093036083 1756 安徽广播影视职业技术学院 文史 统招 316.100046119 1761 安徽工商职业学院 文史 统招 318.100024138 1764 安徽国防科技职业学院 文史 统招 331.106030158 1772 安徽审计职业学院 文史 统招 390.106051160 1773 安徽新闻出版职业技术学院 文史 统招 304.091011145 1776 安庆医药高等专科学校 文史 统招 350.102038148 1783 安徽汽车职业技术学院 文史 统招 318.090023138 1808 福建船政交通职业学院 文史 统招 305.085038145 1813 漳州职业技术学院 文史 统招 304.097013103 1818 福州职业技术学院 文史 统招 266.089014122 1819 福建林业职业技术学院 文史 统招 278.101019138 1820 福建信息职业技术学院 文史 统招 334.113038132 1821 福建水利电力职业技术学院 文史 统招 298.098013131 1822 福建电力职业技术学院 文史 统招 404.000104042 1824 福建农业职业技术学院 文史 统招 235.096015086 1826 福建卫生职业技术学院 文史 统招 320.096027168 www.sxkszx.cn/news/2024826/n7932122552.html 7/242025/4/19 18:15 山西省2024年普通高校招生专科(文史类)院校投档最低分 院校 计划 院校名称 科类 最低分 代码 性质 1829 闽北职业技术学院 文史 统招 230.074013114 1830 泉州经贸职业技术学院 文史 统招 227.086015085 1832 湄洲湾职业技术学院 文史 统招 237.072017116 1833 福建生物工程职业技术学院 文史 统招 333.095053142 1836 厦门城市职业学院 文史 统招 294.094018107 1837 泉州工艺美术职业学院 文史 统招 1838 三明医学科技职业学院 文史 统招 238.075013117 1839 宁德职业技术学院 文史 统招 206.082015071 1841 漳州城市职业学院 文史 统招 237.083024096 1842 漳州卫生职业学院 文史 统招 321.099048105 1843 泉州幼儿师范高等专科学校 文史 统招 268.091020119 1844 闽江师范高等专科学校 文史 统招 294.108010150 1863 江西工业职业技术学院 文史 统招 271.082040123 1864 江西医学高等专科学校 文史 统招 345.107040109 1870 九江职业大学 文史 统招 316.090034134 1872 江西职业技术大学 文史 统招 356.099066157 1874 江西司法警官职业学院 文史 统招 364.103040163 1877 江西电力职业技术学院 文史 统招 392.098044165 1878 江西环境工程职业学院 文史 统招 281.084036125 1881 江西信息应用职业技术学院 文史 统招 380.106041174 1882 江西交通职业技术学院 文史 统招 333.000089038 1883 江西财经职业学院 文史 统招 318.096031136 1884 江西应用技术职业学院 文史 统招 1886 江西工业工程职业技术学院 文史 统招 235.072023106 1887 江西机电职业技术学院 文史 统招 289.088030126 1892 江西生物科技职业学院 文史 统招 283.087021130 1899 江西中医药高等专科学校 文史 统招 353.091018157 1902 江西工程职业学院 文史 统招 1903 江西青年职业学院 文史 统招 1907 江西冶金职业技术学院 文史 统招 244.078011116 1909 江西传媒职业学院 文史 统招 298.083024131 1911 赣州师范高等专科学校 文史 统招 334.094043144 1913 宜春幼儿师范高等专科学校 文史 统招 232.077021111 1914 吉安职业技术学院 文史 统招 273.080042094 1915 江西师范高等专科学校 文史 统招 324.104031148 1916 赣南卫生健康职业学院 文史 统招 313.094014137 www.sxkszx.cn/news/2024826/n7932122552.html 8/242025/4/19 18:15 山西省2024年普通高校招生专科(文史类)院校投档最低分 院校 计划 院校名称 科类 最低分 代码 性质 1918 江西婺源茶业职业学院 文史 统招 232.074016103 1919 赣州职业技术学院 文史 统招 254.079019113 1922 抚州幼儿师范高等专科学校 文史 统招 1945 菏泽医学专科学校 文史 统招 376.098074119 1958 山东商业职业技术学院 文史 统招 293.086033132 1967 日照职业技术学院 文史 统招 354.000095043 1968 青岛职业技术学院 文史 统招 302.095070104 1969 威海职业学院 文史 统招 314.092037131 1972 莱芜职业技术学院 文史 统招 313.105021146 1974 济宁职业技术学院 文史 统招 317.104025149 1975 潍坊职业学院 文史 统招 301.084017142 1977 东营职业学院 文史 统招 269.093017135 1978 聊城职业技术学院 文史 统招 304.097023137 1979 滨州职业学院 文史 统招 1980 山东科技职业学院 文史 统招 291.099018139 1982 山东水利职业学院 文史 统招 332.105017171 1983 山东畜牧兽医职业学院 文史 统招 378.105054175 1985 淄博职业学院 文史 统招 374.109037161 1986 山东外贸职业学院 文史 统招 343.093020148 1987 青岛酒店管理职业技术学院 文史 统招 296.081039127 1988 山东信息职业技术学院 文史 统招 320.089075125 1989 青岛港湾职业技术学院 文史 统招 319.084027132 1991 山东经贸职业学院 文史 统招 298.091023128 1992 山东工业职业学院 文史 统招 300.100044125 1993 山东化工职业学院 文史 统招 294.091031123 1994 济南职业学院 文史 统招 290.074015135 1995 烟台工程职业技术学院 文史 统招 257.083018118 1997 德州职业技术学院 文史 统招 304.082041133 1998 枣庄科技职业学院 文史 统招 1999 淄博师范高等专科学校 文史 统招 322.096023148 2000 山东中医药高等专科学校 文史 统招 396.101055168 2001 济南工程职业技术学院 文史 统招 256.091032092 2002 山东电子职业技术学院 文史 统招 335.093069108 2003 山东旅游职业学院 文史 统招 257.074024116 2004 山东铝业职业学院 文史 统招 2005 泰山职业技术学院 文史 统招 317.089044152 www.sxkszx.cn/news/2024826/n7932122552.html 9/242025/4/19 18:15 山西省2024年普通高校招生专科(文史类)院校投档最低分 院校 计划 院校名称 科类 最低分 代码 性质 2006 山东药品食品职业学院 文史 统招 344.090054126 2007 山东商务职业学院 文史 统招 289.086014163 2008 山东轻工职业学院 文史 统招 271.073042101 2009 山东城市建设职业学院 文史 统招 296.087035141 2010 烟台汽车工程职业学院 文史 统招 318.094037154 2011 山东司法警官职业学院 文史 统招 331.089032144 2014 山东传媒职业学院 文史 统招 346.095031138 2016 枣庄职业学院 文史 统招 2017 山东理工职业学院 文史 统招 332.094030155 2021 济南幼儿师范高等专科学校 文史 统招 303.071040132 2022 济南护理职业学院 文史 统招 380.102043129 2023 泰山护理职业学院 文史 统招 361.092047137 2024 潍坊护理职业学院 文史 统招 350.090052149 2029 威海海洋职业学院 文史 统招 302.098028136 2030 山东特殊教育职业学院 文史 统招 339.102037135 2064 漯河职业技术学院 文史 统招 230.081015096 2065 三门峡职业技术学院 文史 统招 311.097032108 2070 开封大学 文史 统招 355.099048158 2077 焦作大学 文史 统招 317.091040135 2084 焦作师范高等专科学校 文史 统招 404.110048178 2086 黄河水利职业技术学院 文史 统招 391.106047160 2087 许昌职业技术学院 文史 统招 334.087029146 2088 河南工业和信息化职业学院 文史 统招 303.084042123 2092 平顶山工业职业技术学院 文史 统招 262.092011113 2093 周口职业技术学院 文史 统招 321.094026136 2094 济源职业技术学院 文史 统招 318.094017135 2095 河南司法警官职业学院 文史 统招 370.109048152 2098 河南检察职业学院 文史 统招 378.091051154 2102 南阳医学高等专科学校 文史 统招 389.095071161 2106 永城职业学院 文史 统招 364.111016159 2107 河南经贸职业学院 文史 统招 319.076038139 2111 郑州职业技术学院 文史 统招 316.097022140 2116 安阳职业技术学院 文史 统招 341.100077132 2119 开封文化艺术职业学院 文史 统招 313.112026117 2120 河南应用技术职业学院 文史 统招 302.090029128 2123 河南护理职业学院 文史 统招 354.097059141 www.sxkszx.cn/news/2024826/n7932122552.html 10/242025/4/19 18:15 山西省2024年普通高校招生专科(文史类)院校投档最低分 院校 计划 院校名称 科类 最低分 代码 性质 2125 河南推拿职业学院 文史 统招 368.120019188 2126 洛阳职业技术学院 文史 统招 376.094033155 2127 郑州幼儿师范高等专科学校 文史 统招 314.105023122 2128 安阳幼儿师范高等专科学校 文史 统招 327.099051142 2129 河南医学高等专科学校 文史 统招 394.102051170 2130 郑州财税金融职业学院 文史 统招 388.106046178 2132 濮阳医学高等专科学校 文史 统招 349.099054139 2134 三门峡社会管理职业学院 文史 统招 328.094018158 2136 河南测绘职业学院 文史 统招 322.088045153 2137 郑州卫生健康职业学院 文史 统招 349.110048136 2139 河南地矿职业学院 文史 统招 283.094032106 2170 汉江师范学院 文史 统招 396.108041148 2177 武汉职业技术学院 文史 统招 385.104056157 2181 黄冈职业技术学院 文史 统招 388.119053142 2182 长江职业学院 文史 统招 309.097033126 2184 荆州理工职业学院 文史 统招 269.085037099 2187 湖北工业职业技术学院 文史 统招 302.090029150 2188 鄂州职业大学 文史 统招 295.094030146 2193 武汉城市职业学院 文史 统招 343.095062123 2194 湖北中医药高等专科学校 文史 统招 377.090024155 2195 湖北职业技术学院 文史 统招 317.094039139 2196 武汉船舶职业技术学院 文史 统招 337.103030141 2197 恩施职业技术学院 文史 统招 231.093018099 2198 襄阳职业技术学院 文史 统招 385.103065166 2200 武汉工程职业技术学院 文史 统招 345.103029149 2201 仙桃职业学院 文史 统招 300.091025136 2203 湖北交通职业技术学院 文史 统招 341.090069141 2204 武汉航海职业技术学院 文史 统招 304.099039137 2205 武汉铁路职业技术学院 文史 统招 393.097069153 2206 武汉软件工程职业学院 文史 统招 374.093038148 2207 湖北三峡职业技术学院 文史 统招 344.098022167 2208 随州职业技术学院 文史 统招 251.097008114 2209 武汉电力职业技术学院 文史 统招 399.109050172 2210 湖北水利水电职业技术学院 文史 统招 382.093058174 2211 湖北城市建设职业技术学院 文史 统招 304.089016138 2212 武汉警官职业学院 文史 统招 337.095057145 www.sxkszx.cn/news/2024826/n7932122552.html 11/242025/4/19 18:15 山西省2024年普通高校招生专科(文史类)院校投档最低分 院校 计划 院校名称 科类 最低分 代码 性质 2213 湖北生物科技职业学院 文史 统招 279.077006125 2215 武汉交通职业学院 文史 统招 350.000093055 2216 咸宁职业技术学院 文史 统招 302.082046125 2217 长江工程职业技术学院 文史 统招 326.090043120 2218 江汉艺术职业学院 文史 统招 249.082013105 2219 武汉民政职业学院 文史 统招 387.100071171 2221 湖北财税职业学院 文史 统招 358.107026165 2222 湖北国土资源职业学院 文史 统招 363.089025183 2223 湖北生态工程职业技术学院 文史 统招 300.084017147 2224 三峡电力职业学院 文史 统招 373.104068147 2226 湖北科技职业学院 文史 统招 336.093039160 2228 湖北工程职业学院 文史 统招 328.091049149 2229 三峡旅游职业技术学院 文史 统招 243.085025111 2230 天门职业学院 文史 统招 267.094017123 2232 襄阳汽车职业技术学院 文史 统招 276.079016123 2233 湖北幼儿师范高等专科学校 文史 统招 2234 湖北铁道运输职业学院 文史 统招 399.091055149 2236 荆门职业学院 文史 统招 273.081029120 2237 武汉铁路桥梁职业学院 文史 统招 383.106035155 2262 长沙民政职业技术学院 文史 统招 400.100059144 2263 湖南工业职业技术学院 文史 统招 2279 湖南大众传媒职业技术学院 文史 统招 366.101043161 2281 湖南铁道职业技术学院 文史 统招 391.106048203 2282 湖南科技职业学院 文史 统招 309.097029129 2284 湖南交通职业技术学院 文史 统招 336.100017149 2285 湖南商务职业技术学院 文史 统招 280.087032111 2287 湖南工程职业技术学院 文史 统招 337.094021147 2295 湖南邮电职业技术学院 文史 统招 368.107049167 2296 湘潭医卫职业技术学院 文史 统招 374.100033136 2299 张家界航空工业职业技术学院 文史 统招 346.097046141 2300 长沙环境保护职业技术学院 文史 统招 269.094037110 2303 长沙职业技术学院 文史 统招 397.094054172 2305 岳阳职业技术学院 文史 统招 382.088050166 2307 湖南化工职业技术学院 文史 统招 2308 湖南城建职业技术学院 文史 统招 299.097020132 2309 湖南石油化工职业技术学院 文史 统招 379.099053123 www.sxkszx.cn/news/2024826/n7932122552.html 12/242025/4/19 18:15 山西省2024年普通高校招生专科(文史类)院校投档最低分 院校 计划 院校名称 科类 最低分 代码 性质 2314 湖南财经工业职业技术学院 文史 统招 279.087029107 2320 长沙电力职业技术学院 文史 统招 398.100047179 2323 湖南高速铁路职业技术学院 文史 统招 394.111017186 2324 湖南铁路科技职业技术学院 文史 统招 392.114043155 2327 益阳医学高等专科学校 文史 统招 403.094054158 2328 湖南国防工业职业技术学院 文史 统招 283.084020133 2329 长沙卫生职业学院 文史 统招 419.103053151 2334 湖南劳动人事职业学院 文史 统招 299.079033153 2369 顺德职业技术学院 文史 统招 307.086021123 2370 广东轻工职业技术大学 文史 统招 370.104030157 2371 广东交通职业技术学院 文史 统招 238.084013109 2372 广东水利电力职业技术学院 文史 统招 251.087017114 2386 广州民航职业技术学院 文史 统招 382.096044147 2387 广州番禺职业技术学院 文史 统招 374.101048149 2390 广东农工商职业技术学院 文史 统招 2392 广东科学技术职业学院 文史 统招 328.092023146 2393 广东食品药品职业学院 文史 统招 306.087019149 2396 广东职业技术学院 文史 统招 244.088013113 2397 广东建设职业技术学院 文史 统招 242.079028100 2399 广东机电职业技术学院 文史 统招 2405 汕头职业技术学院 文史 统招 2406 揭阳职业技术学院 文史 统招 2408 清远职业技术学院 文史 统招 249.064032100 2409 广东工贸职业技术学院 文史 统招 317.096022129 2411 广东省外语艺术职业学院 文史 统招 243.000086016 2414 广州工程技术职业学院 文史 统招 211.077018079 2416 江门职业技术学院 文史 统招 183.068007091 2418 珠海城市职业技术学院 文史 统招 236.088026102 2420 广东理工职业学院 文史 统招 238.078013094 2421 广州城市职业学院 文史 统招 301.089038112 2422 广东工程职业技术学院 文史 统招 222.082022091 2423 广州铁路职业技术学院 文史 统招 381.108045175 2424 广东科贸职业学院 文史 统招 255.084015104 2426 中山职业技术学院 文史 统招 213.076019085 2427 东莞职业技术学院 文史 统招 310.097019135 2429 广东环境保护工程职业学院 文史 统招 225.072007124 www.sxkszx.cn/news/2024826/n7932122552.html 13/242025/4/19 18:15 山西省2024年普通高校招生专科(文史类)院校投档最低分 院校 计划 院校名称 科类 最低分 代码 性质 2432 广东舞蹈戏剧职业学院 文史 统招 2435 惠州城市职业学院 文史 统招 2439 广州卫生职业技术学院 文史 统招 342.103030161 2440 惠州工程职业学院 文史 统招 2453 湛江幼儿师范专科学校 文史 统招 2461 桂林理工大学 文史 统招 355.104058157 2473 广西机电职业技术学院 文史 统招 287.090028136 2478 广西警察学院 文史 统招 363.102030155 2485 桂林旅游学院 文史 统招 277.100015122 2491 广西国际商务职业技术学院 文史 统招 2493 柳州铁道职业技术学院 文史 统招 389.106051153 2499 广西电力职业技术学院 文史 统招 360.097056155 2503 广西幼儿师范高等专科学校 文史 统招 227.095011097 2505 广西金融职业技术学院 文史 统招 269.087012124 2507 广西自然资源职业技术学院 文史 统招 190.080008076 2508 钦州幼儿师范高等专科学校 文史 统招 2510 广西物流职业技术学院 文史 统招 2523 海南职业技术学院 文史 统招 227.092020093 2524 海南软件职业技术学院 文史 统招 198.075010092 2526 海南外国语职业学院 文史 统招 242.081018117 2528 海南经贸职业技术学院 文史 统招 333.000098021 2530 海南卫生健康职业学院 文史 统招 321.093022172 2542 重庆航天职业技术学院 文史 统招 357.084046151 2546 重庆电力高等专科学校 文史 统招 409.100043195 2547 重庆工业职业技术学院 文史 统招 396.115057145 2548 重庆三峡职业学院 文史 统招 333.090042177 2550 重庆电子科技职业大学 文史 统招 394.091040175 2552 重庆城市管理职业学院 文史 统招 400.105040159 2555 重庆水利电力职业技术学院 文史 统招 388.097073132 2556 重庆工商职业学院 文史 统招 373.107053146 2558 重庆医药高等专科学校 文史 统招 435.109083153 2560 重庆财经职业学院 文史 统招 362.106037161 2562 重庆商务职业学院 文史 统招 381.081035157 2564 重庆旅游职业学院 文史 统招 300.080023132 2565 重庆安全技术职业学院 文史 统招 338.089012167 2602 成都纺织高等专科学校 文史 统招 366.104039173 www.sxkszx.cn/news/2024826/n7932122552.html 14/242025/4/19 18:15 山西省2024年普通高校招生专科(文史类)院校投档最低分 院校 计划 院校名称 科类 最低分 代码 性质 2609 四川水利职业技术学院 文史 统招 374.095046161 2610 南充职业技术学院 文史 统招 2612 四川航天职业技术学院 文史 统招 344.087033179 2615 绵阳职业技术学院 文史 统招 291.084035123 2618 四川工程职业技术大学 文史 统招 350.089027151 2619 四川建筑职业技术学院 文史 统招 333.100039116 2622 宜宾职业技术学院 文史 统招 316.083034157 2623 泸州职业技术学院 文史 统招 312.100025139 2627 雅安职业技术学院 文史 统招 345.100027181 2635 四川中医药高等专科学校 文史 统招 413.094069169 2636 四川文化产业职业学院 文史 统招 324.000105018 2643 四川护理职业学院 文史 统招 403.110059153 2646 西昌民族幼儿师范高等专科学校 文史 统招 2674 贵州交通职业大学 文史 统招 264.082017119 2678 黔东南民族职业技术学院 文史 统招 346.096048126 2680 遵义职业技术学院 文史 统招 2689 贵阳职业技术学院 文史 统招 349.111025154 2695 铜仁幼儿师范高等专科学校 文史 统招 182.048014079 2736 昆明冶金高等专科学校 文史 统招 311.093044117 2738 云南国土资源职业学院 文史 统招 278.082022134 2750 云南林业职业技术学院 文史 统招 285.090020142 2751 曲靖医学高等专科学校 文史 统招 338.093053142 2752 楚雄医药高等专科学校 文史 统招 331.101025147 2753 保山中医药高等专科学校 文史 统招 320.100028148 2782 拉萨师范高等专科学校 文史 统招 266.091015130 2783 西藏职业技术学院 文史 统招 202.074015091 2807 陕西工业职业技术学院 文史 统招 402.100050176 2808 杨凌职业技术学院 文史 统招 319.000097033 2818 陕西能源职业技术学院 文史 统招 364.105027136 2819 陕西国防工业职业技术学院 文史 统招 397.097069145 2820 西安航空职业技术学院 文史 统招 393.097057155 2821 陕西财经职业技术学院 文史 统招 389.104042149 2822 陕西交通职业技术学院 文史 统招 389.106056156 2823 陕西职业技术学院 文史 统招 350.100044144 2824 陕西铁路工程职业技术学院 文史 统招 405.109025168 2825 宝鸡职业技术学院 文史 统招 378.101034157 www.sxkszx.cn/news/2024826/n7932122552.html 15/242025/4/19 18:15 山西省2024年普通高校招生专科(文史类)院校投档最低分 院校 计划 院校名称 科类 最低分 代码 性质 2826 陕西航空职业技术学院 文史 统招 350.119070135 2827 陕西邮电职业技术学院 文史 统招 351.096049129 2828 陕西警察学院 文史 统招 395.105061149 2831 咸阳职业技术学院 文史 统招 343.079052134 2832 西安职业技术学院 文史 统招 380.092054138 2833 商洛职业技术学院 文史 统招 298.085024134 2834 汉中职业技术学院 文史 统招 343.095037138 2835 延安职业技术学院 文史 统招 308.095016140 2836 渭南职业技术学院 文史 统招 362.071068150 2837 安康职业技术学院 文史 统招 311.094026148 2838 铜川职业技术学院 文史 统招 319.089068136 2839 陕西青年职业学院 文史 统招 366.093040133 2840 陕西工商职业学院 文史 统招 344.090057137 2841 榆林职业技术学院 文史 统招 332.095056135 2843 陕西艺术职业学院 文史 统招 244.093007126 2844 神木职业技术学院 文史 统招 228.082014106 2846 陕西机电职业技术学院 文史 统招 343.094039172 2874 甘肃建筑职业技术学院 文史 统招 284.078046129 2875 酒泉职业技术学院 文史 统招 379.114049147 2878 甘肃林业职业技术大学 文史 统招 234.086005111 2879 甘肃工业职业技术学院 文史 统招 269.083038104 2881 甘肃交通职业技术学院 文史 统招 333.089025158 2884 甘肃畜牧工程职业技术学院 文史 统招 328.095022144 2889 甘肃卫生职业学院 文史 统招 381.104048166 2896 兰州资源环境职业技术大学 文史 统招 289.083034140 2897 兰州石化职业技术大学 文史 统招 335.097044132 2906 青海农牧科技职业学院 文史 统招 338.101030158 2923 宁夏葡萄酒与防沙治沙职业技术学院 文史 统招 253.083017119 2925 宁夏艺术职业学院 文史 统招 184.063012096 2936 新疆和田学院 文史 统招 297.094018145 2939 新疆农业职业技术大学 文史 统招 253.086019098 2941 乌鲁木齐职业大学 文史 统招 224.086022086 2946 新疆轻工职业技术学院 文史 统招 250.094013118 2955 新疆建设职业技术学院 文史 统招 328.087042124 2957 新疆交通职业技术学院 文史 统招 295.095028130 2959 新疆职业大学 文史 统招 288.092032109 www.sxkszx.cn/news/2024826/n7932122552.html 16/242025/4/19 18:15 山西省2024年普通高校招生专科(文史类)院校投档最低分 院校 计划 院校名称 科类 最低分 代码 性质 2961 新疆应用职业技术学院 文史 统招 226.084024073 2968 和田职业技术学院 文史 统招 2971 喀什职业技术学院 文史 统招 248.089012118 2999 阿克苏工业职业技术学院 文史 统招 214.067020091 3001 上饶卫生健康职业学院 文史 统招 254.090023106 3007 喀什理工职业技术学院 文史 统招 201.069016087 3008 图木舒克职业技术学院 文史 统招 207.074007104 3011 昆玉职业技术学院 文史 统招 5002 北京北大方正软件职业技术学院 文史 统招 215.083025078 5003 北京经贸职业学院 文史 统招 274.084043142 5004 北京经济技术职业学院 文史 统招 276.075058113 5005 北京汇佳职业学院 文史 统招 211.073018089 5006 北京科技经营管理学院 文史 统招 5007 北京科技职业学院 文史 统招 266.080033100 5008 北京培黎职业学院 文史 统招 203.077014085 5009 北京艺术传媒职业学院 文史 统招 307.095040103 5010 北京网络职业学院 文史 统招 258.080016114 5011 天津天狮学院 文史 统招 338.098047131 5014 天津滨海汽车工程职业学院 文史 统招 258.076015125 5015 石家庄工程职业学院 文史 统招 252.091018097 5019 石家庄财经职业学院 文史 统招 196.086006086 5021 河北科技学院 文史 统招 242.083018105 5022 石家庄工商职业学院 文史 统招 228.081016104 5023 石家庄理工职业学院 文史 统招 248.035018127 5025 石家庄科技信息职业学院 文史 统招 271.086036108 5026 保定理工学院 文史 统招 201.087011086 5028 石家庄医学高等专科学校 文史 统招 296.096021146 5029 石家庄经济职业学院 文史 统招 188.072015085 5030 石家庄人民医学高等专科学校 文史 统招 366.088045164 5032 石家庄科技职业学院 文史 统招 5034 渤海理工职业学院 文史 统招 256.086029112 5040 内蒙古北方职业技术学院 文史 统招 294.088030140 5045 内蒙古能源职业学院 文史 统招 252.085017113 5048 辽宁理工职业大学 文史 统招 185.079012074 5050 辽宁广告职业学院 文史 统招 5051 沈阳工学院 文史 统招 294.099030139 www.sxkszx.cn/news/2024826/n7932122552.html 17/242025/4/19 18:15 山西省2024年普通高校招生专科(文史类)院校投档最低分 院校 计划 院校名称 科类 最低分 代码 性质 5052 大连科技学院 文史 统招 181.079008088 5053 沈阳城市建设学院 文史 统招 5054 辽宁理工学院 文史 统招 270.072030134 5055 大连财经学院 文史 统招 332.104045133 5058 辽宁何氏医学院 文史 统招 343.094045145 5062 辽宁传媒学院 文史 统招 5065 大连枫叶职业技术学院 文史 统招 5066 大连航运职业技术学院 文史 统招 247.089032098 5067 大连装备制造职业技术学院 文史 统招 207.056013108 5068 大连汽车职业技术学院 文史 统招 191.054036069 5069 沈阳北软信息职业技术学院 文史 统招 218.075018093 5095 哈尔滨传媒职业学院 文史 统招 5099 哈尔滨城市职业学院 文史 统招 5100 黑龙江三江美术职业学院 文史 统招 5101 哈尔滨应用职业技术学院 文史 统招 187.046022103 5103 哈尔滨北方航空职业技术学院 文史 统招 223.089015092 5105 上海工商职业技术学院 文史 统招 310.097015122 5107 上海震旦职业学院 文史 统招 281.092030103 5110 上海思博职业技术学院 文史 统招 200.070009089 5112 上海济光职业技术学院 文史 统招 254.093016088 5113 上海建桥学院 文史 统招 340.100044147 5114 上海工商外国语职业学院 文史 统招 272.078024116 5115 上海邦德职业技术学院 文史 统招 294.092033105 5117 上海中侨职业技术大学 文史 统招 278.087018125 5123 九州职业技术学院 文史 统招 282.080030123 5125 硅湖职业技术学院 文史 统招 206.065024087 5129 炎黄职业技术学院 文史 统招 5131 钟山职业技术学院 文史 统招 251.088026107 5132 无锡南洋职业技术学院 文史 统招 5134 金肯职业技术学院 文史 统招 318.088040163 5136 江海职业技术学院 文史 统招 262.088038113 5142 苏州高博职业学院 文史 统招 225.091015096 5144 扬州中瑞酒店职业学院 文史 统招 5152 嘉兴南洋职业技术学院 文史 统招 249.099010100 5154 杭州万向职业技术学院 文史 统招 329.089026130 5155 温州商学院 文史 统招 269.091023121 www.sxkszx.cn/news/2024826/n7932122552.html 18/242025/4/19 18:15 山西省2024年普通高校招生专科(文史类)院校投档最低分 院校 计划 院校名称 科类 最低分 代码 性质 5157 浙江横店影视职业学院 文史 统招 281.092018138 5159 浙江宇翔职业技术学院 文史 统招 187.060010087 5179 蚌埠经济技术职业学院 文史 统招 241.088011118 5188 宿州航空职业学院 文史 统招 269.085020132 5211 厦门南洋职业学院 文史 统招 261.093013115 5222 南昌理工学院 文史 统招 310.090038141 5225 江西科技职业学院 文史 统招 5226 南昌职业大学 文史 统招 5230 南昌应用技术师范学院 文史 统招 245.086016119 5231 江西软件职业技术大学 文史 统招 5232 江西航空职业技术学院 文史 统招 284.092049116 5233 赣西科技职业学院 文史 统招 5234 江西新能源科技职业学院 文史 统招 240.071028113 5235 江西枫林涉外经贸职业学院 文史 统招 208.080014081 5237 江西工商职业技术学院 文史 统招 5238 景德镇陶瓷职业技术学院 文史 统招 5242 九江理工职业学院 文史 统招 5246 曲阜远东职业技术学院 文史 统招 235.091019109 5247 烟台南山学院 文史 统招 195.073026070 5249 潍坊科技学院 文史 统招 213.074017093 5250 山东力明科技职业学院 文史 统招 201.086017083 5251 山东圣翰财贸职业学院 文史 统招 215.075027081 5253 山东英才学院 文史 统招 5254 东营科技职业学院 文史 统招 231.079008119 5255 青岛恒星科技学院 文史 统招 217.061018116 5256 青岛黄海学院 文史 统招 246.078025105 5257 青岛求实职业技术学院 文史 统招 232.081012106 5258 山东现代学院 文史 统招 283.097011150 5259 山东协和学院 文史 统招 5260 山东工程职业技术大学 文史 统招 5264 潍坊工商职业学院 文史 统招 236.081022107 5265 泰山科技学院 文史 统招 5268 山东外事职业大学 文史 统招 223.074011101 5270 齐鲁理工学院 文史 统招 290.083038111 5271 潍坊理工学院 文史 统招 197.052020103 5273 山东文化产业职业学院 文史 统招 www.sxkszx.cn/news/2024826/n7932122552.html 19/242025/4/19 18:15 山西省2024年普通高校招生专科(文史类)院校投档最低分 院校 计划 院校名称 科类 最低分 代码 性质 5275 山东海事职业学院 文史 统招 233.075016112 5277 烟台黄金职业学院 文史 统招 206.089015077 5278 日照航海工程职业学院 文史 统招 227.073011129 5285 郑州澍青医学高等专科学校 文史 统招 356.102041163 5300 郑州电力职业技术学院 文史 统招 343.095054170 5302 漯河食品工程职业大学 文史 统招 299.068041105 5312 南阳职业学院 文史 统招 206.079019095 5316 鹤壁能源化工职业学院 文史 统招 248.067025111 5330 武汉生物工程学院 文史 统招 337.095021144 5335 武汉信息传播职业技术学院 文史 统招 298.086036127 5336 武昌职业学院 文史 统招 250.086033098 5337 武汉商贸职业学院 文史 统招 269.081044111 5342 武汉工商学院 文史 统招 309.100031117 5347 武汉学院 文史 统招 370.099043153 5348 武汉工程科技学院 文史 统招 195.057010096 5351 黄冈科技职业学院 文史 统招 231.076028106 5367 湖南外国语职业学院 文史 统招 199.074013081 5372 湖南三一工业职业技术学院 文史 统招 389.093081163 5380 广州康大职业技术学院 文史 统招 193.078016084 5388 广东岭南职业技术学院 文史 统招 197.051028099 5389 广东亚视演艺职业学院 文史 统招 5395 广州涉外经济职业技术学院 文史 统招 5396 广州南洋理工职业学院 文史 统招 195.056018096 5398 惠州经济职业技术学院 文史 统招 5401 广东工商职业技术大学 文史 统招 221.074016097 5405 广州华南商贸职业学院 文史 统招 5406 广州华立科技职业学院 文史 统招 5407 广州珠江职业技术学院 文史 统招 5409 广东文理职业学院 文史 统招 5410 广州城建职业学院 文史 统招 5411 广东南方职业学院 文史 统招 5412 广州华商职业学院 文史 统招 5413 广州华夏职业学院 文史 统招 5414 广州东华职业学院 文史 统招 5415 广东创新科技职业学院 文史 统招 5417 广东碧桂园职业学院 文史 统招 www.sxkszx.cn/news/2024826/n7932122552.html 20/242025/4/19 18:15 山西省2024年普通高校招生专科(文史类)院校投档最低分 院校 计划 院校名称 科类 最低分 代码 性质 5418 广东酒店管理职业技术学院 文史 统招 5419 广东肇庆航空职业学院 文史 统招 5433 广西经济职业学院 文史 统招 5434 广西科技职业学院 文史 统招 195.073020080 5441 桂林生命与健康职业技术学院 文史 统招 5442 海口经济学院 文史 统招 5443 三亚城市职业学院 文史 统招 184.056018082 5446 三亚航空旅游职业学院 文史 统招 246.070025119 5447 海南科技职业大学 文史 统招 5448 三亚理工职业学院 文史 统招 222.068016093 5449 三亚中瑞酒店管理职业学院 文史 统招 204.058024102 5455 重庆信息技术职业学院 文史 统招 221.067021101 5456 重庆传媒职业学院 文史 统招 294.078025126 5457 重庆建筑科技职业学院 文史 统招 5463 重庆应用技术职业学院 文史 统招 5464 重庆科创职业学院 文史 统招 212.075024057 5468 重庆公共运输职业学院 文史 统招 347.098034168 5469 重庆艺术工程职业学院 文史 统招 267.084024118 5470 重庆轻工职业学院 文史 统招 238.081026097 5483 四川国际标榜职业学院 文史 统招 195.079011080 5493 四川文化艺术学院 文史 统招 319.082045127 5495 四川科技职业学院 文史 统招 215.081018099 5498 四川长江职业学院 文史 统招 244.061026111 5500 四川电影电视学院 文史 统招 348.100025147 5501 四川汽车职业技术学院 文史 统招 5506 四川西南航空职业学院 文史 统招 300.092038131 5508 眉山药科职业学院 文史 统招 5510 德阳城市轨道交通职业学院 文史 统招 5513 天府新区航空旅游职业学院 文史 统招 273.077020113 5519 南充电影工业职业学院 文史 统招 5520 绵阳飞行职业学院 文史 统招 203.035024120 5521 德阳农业科技职业学院 文史 统招 5524 广元中核职业技术学院 文史 统招 265.099013119 5537 云南经济管理学院 文史 统招 227.067023110 5550 昆明卫生职业学院 文史 统招 331.082024125 5556 西安外事学院 文史 统招 355.108048131 www.sxkszx.cn/news/2024826/n7932122552.html 21/242025/4/19 18:15 山西省2024年普通高校招生专科(文史类)院校投档最低分 院校 计划 院校名称 科类 最低分 代码 性质 5557 西安翻译学院 文史 统招 313.074056120 5559 西安思源学院 文史 统招 241.088013116 5560 西安高新科技职业学院 文史 统招 281.091033106 5561 陕西国际商贸学院 文史 统招 335.000091034 5562 西安城市建设职业学院 文史 统招 225.082012101 5563 陕西服装工程学院 文史 统招 290.098025120 5564 西安交通工程学院 文史 统招 332.087065133 5566 西安工商学院 文史 统招 340.091033141 5567 西安海棠职业学院 文史 统招 287.090022122 5568 西安汽车职业大学 文史 统招 263.085024113 5570 西安明德理工学院 文史 统招 309.097035140 5571 西安信息职业大学 文史 统招 253.088021095 5572 陕西旅游烹饪职业学院 文史 统招 216.093005091 5573 西安医学高等专科学校 文史 统招 377.092051143 5575 榆林能源科技职业学院 文史 统招 274.096015114 5585 银川科技学院 文史 统招 267.080031115 5637 德州工程职业学院 文史 统招 5724 北京中医药大学东方学院 文史 统招 400.000095074 5804 武汉纺织大学外经贸学院 文史 统招 346.097032138 5812 湖北工程学院新技术学院 文史 统招 256.090027115 5840 西南财经大学天府学院 文史 统招 314.081037122 5859 西安科技大学高新学院 文史 统招 375.098036156 6019 山西省财政税务专科学校 文史 统招 385.097037161 6021 长治职业技术学院 文史 统招 279.077042095 6022 山西艺术职业学院 文史 统招 273.090007130 6023 晋城职业技术学院 文史 统招 282.092026119 6024 山西药科职业学院 文史 统招 322.102030140 6025 山西工程职业学院 文史 统招 353.104045160 6027 大同煤炭职业技术学院 文史 统招 279.085031107 6028 山西机电职业技术学院 文史 统招 321.097035164 6029 山西财贸职业技术学院 文史 统招 319.091041128 6030 山西林业职业技术学院 文史 统招 291.093037126 6031 山西水利职业技术学院 文史 统招 294.083016127 6032 阳泉职业技术学院 文史 统招 283.087037135 6033 临汾职业技术学院 文史 统招 293.100034133 6034 山西职业技术学院 文史 统招 349.080061144 www.sxkszx.cn/news/2024826/n7932122552.html 22/242025/4/19 18:15 山西省2024年普通高校招生专科(文史类)院校投档最低分 院校 计划 院校名称 科类 最低分 代码 性质 6035 山西金融职业学院 文史 统招 316.090034141 6036 太原城市职业技术学院 文史 统招 303.092022150 6041 山西信息职业技术学院 文史 统招 220.076014111 6044 山西体育职业学院 文史 统招 243.078022124 6045 山西警官职业学院 文史 统招 340.095037166 6046 山西国际商务职业学院 文史 统招 246.085008132 6047 潞安职业技术学院 文史 统招 251.081027106 6048 太原旅游职业学院 文史 统招 292.092020151 6049 山西旅游职业学院 文史 统招 290.080042122 6050 山西管理职业学院 文史 统招 275.078018153 6051 山西电力职业技术学院 文史 统招 372.109050156 6052 忻州职业技术学院 文史 统招 315.098022145 6053 山西同文职业技术学院 文史 统招 243.091009123 6054 晋中职业技术学院 文史 统招 327.096029128 6055 山西华澳商贸职业学院 文史 统招 208.062035091 6056 山西运城农业职业技术学院 文史 统招 240.082015101 6057 运城幼儿师范高等专科学校 文史 统招 6059 山西老区职业技术学院 文史 统招 248.097013114 6060 山西经贸职业学院 文史 统招 294.085023123 6061 朔州职业技术学院 文史 统招 273.096040094 6062 运城职业技术大学 文史 统招 311.092042115 6063 山西铁道职业技术学院 文史 统招 361.079030171 6064 晋中师范高等专科学校 文史 统招 207.081018089 6065 阳泉师范高等专科学校 文史 统招 225.088012092 6066 山西青年职业学院 文史 统招 279.083034119 6067 运城护理职业学院 文史 统招 359.091079161 6069 运城师范高等专科学校 文史 统招 252.081043115 6070 朔州师范高等专科学校 文史 统招 248.082015095 6071 吕梁职业技术学院 文史 统招 264.085020126 6073 大同师范高等专科学校 文史 统招 232.082010118 6074 太原幼儿师范高等专科学校 文史 统招 6075 长治幼儿师范高等专科学校 文史 统招 228.080035087 6076 山西通用航空职业技术学院 文史 统招 279.093029121 6077 朔州陶瓷职业技术学院 文史 统招 262.092020117 6078 山西工程科技职业大学 文史 统招 397.102039144 6079 山西卫生健康职业学院 文史 统招 376.000092085 www.sxkszx.cn/news/2024826/n7932122552.html 23/242025/4/19 18:15 山西省2024年普通高校招生专科(文史类)院校投档最低分 院校 计划 院校名称 科类 最低分 代码 性质 6081 山西省政法管理干部学院 文史 统招 246.080028121 6082 吕梁师范高等专科学校 文史 统招 198.067009106 注:小数点后1-3位为语文成绩,4-6位为数学成绩,7-9位为综合成绩。小数点后1-3位为 者为上年录取后未报到考生,4-6位为语文成绩,7-9位为数学成绩。投档人数小于计划数的院校 档最低分为空。 主办单位:山西省招生考试管理中心 | 版权所有:山西省招生考试管理中心 晋公网安备:14011002000215号 地址:山西省太原市晋源区(长风商务区)集阜北街9号 联系电话:0351-4862604 NO.V135 www.sxkszx.cn/news/2024826/n7932122552.html 24/24