当前位置:首页>文档>2013年高考数学试卷(理)(上海)(解析卷)_历年高考真题合集_数学历年高考真题_新·PDF版2008-2025·高考数学真题_数学(按试卷类型分类)2008-2025_自主命题卷·数学(2008-2025)

2013年高考数学试卷(理)(上海)(解析卷)_历年高考真题合集_数学历年高考真题_新·PDF版2008-2025·高考数学真题_数学(按试卷类型分类)2008-2025_自主命题卷·数学(2008-2025)

  • 2026-04-14 22:10:30 2026-01-27 05:25:36

文档预览

2013年高考数学试卷(理)(上海)(解析卷)_历年高考真题合集_数学历年高考真题_新·PDF版2008-2025·高考数学真题_数学(按试卷类型分类)2008-2025_自主命题卷·数学(2008-2025)
2013年高考数学试卷(理)(上海)(解析卷)_历年高考真题合集_数学历年高考真题_新·PDF版2008-2025·高考数学真题_数学(按试卷类型分类)2008-2025_自主命题卷·数学(2008-2025)
2013年高考数学试卷(理)(上海)(解析卷)_历年高考真题合集_数学历年高考真题_新·PDF版2008-2025·高考数学真题_数学(按试卷类型分类)2008-2025_自主命题卷·数学(2008-2025)
2013年高考数学试卷(理)(上海)(解析卷)_历年高考真题合集_数学历年高考真题_新·PDF版2008-2025·高考数学真题_数学(按试卷类型分类)2008-2025_自主命题卷·数学(2008-2025)
2013年高考数学试卷(理)(上海)(解析卷)_历年高考真题合集_数学历年高考真题_新·PDF版2008-2025·高考数学真题_数学(按试卷类型分类)2008-2025_自主命题卷·数学(2008-2025)
2013年高考数学试卷(理)(上海)(解析卷)_历年高考真题合集_数学历年高考真题_新·PDF版2008-2025·高考数学真题_数学(按试卷类型分类)2008-2025_自主命题卷·数学(2008-2025)
2013年高考数学试卷(理)(上海)(解析卷)_历年高考真题合集_数学历年高考真题_新·PDF版2008-2025·高考数学真题_数学(按试卷类型分类)2008-2025_自主命题卷·数学(2008-2025)
2013年高考数学试卷(理)(上海)(解析卷)_历年高考真题合集_数学历年高考真题_新·PDF版2008-2025·高考数学真题_数学(按试卷类型分类)2008-2025_自主命题卷·数学(2008-2025)
2013年高考数学试卷(理)(上海)(解析卷)_历年高考真题合集_数学历年高考真题_新·PDF版2008-2025·高考数学真题_数学(按试卷类型分类)2008-2025_自主命题卷·数学(2008-2025)
2013年高考数学试卷(理)(上海)(解析卷)_历年高考真题合集_数学历年高考真题_新·PDF版2008-2025·高考数学真题_数学(按试卷类型分类)2008-2025_自主命题卷·数学(2008-2025)
2013年高考数学试卷(理)(上海)(解析卷)_历年高考真题合集_数学历年高考真题_新·PDF版2008-2025·高考数学真题_数学(按试卷类型分类)2008-2025_自主命题卷·数学(2008-2025)
2013年高考数学试卷(理)(上海)(解析卷)_历年高考真题合集_数学历年高考真题_新·PDF版2008-2025·高考数学真题_数学(按试卷类型分类)2008-2025_自主命题卷·数学(2008-2025)

文档信息

文档格式
pdf
文档大小
0.233 MB
文档页数
8 页
上传时间
2026-01-27 05:25:36

文档内容

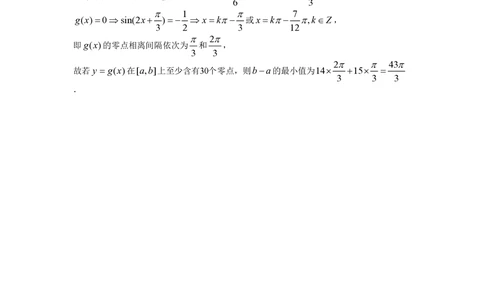
2013年上海市秋季高考理科数学 一、填空题 n+20 1.计算:lim = ______ n®¥3n+13 n+20 1 【解答】根据极限运算法则,lim = . n®¥3n+13 3 2.设mÎR,m2 +m-2+(m2 -1)i是纯虚数,其中i是虚数单位,则m= ________ ìm2 +m-2=0 【解答】í Þm=-2. î m2 -1¹0 x2 y2 x x 3.若 = ,则x+ y = ______ -1 1 y -y 【解答】x2 + y2 =-2xyÞ x+ y =0. 4.已知△ABC的内角A、B、C所对应边分别为a、b、c,若3a2 +2ab+3b2 -3c2 =0,则 角C的大小是_______________(结果用反三角函数值表示) 2 【解答】3a2 +2ab+3b2 -3c2 =0Þc2 =a2 +b2 + ab,故 3 1 1 cosC =- ,C =p-arccos . 3 3 5 æ aö 5.设常数aÎR,若ç x2 + ÷ 的二项展开式中x7项的系数为-10,则a= ______ è xø a 【解答】T =Cr(x2)5-r( )r,2(5-r)-r =7Þr =1,故C1a=-10Þa=-2. r+1 5 x 5 3 1 6.方程 + =3x-1的实数解为________ 3x -1 3 【解答】原方程整理后变为32x -2×3x -8=0Þ3x =4Þ x=log 4. 3 7.在极坐标系中,曲线r=cosq+1与rcosq=1的公共点到极点的距离为__________ 1± 5 1+ 5 【解答】联立方程组得r(r-1)=1Þr= ,又r³0,故所求为 . 2 2 8.盒子中装有编号为1,2,3,4,5,6,7,8,9的九个球,从中任意取出两个,则这两 个球的编号之积为偶数的概率是___________(结果用最简分数表示) C2 13 【解答】9个数5个奇数,4个偶数,根据题意所求概率为1- 5 = . C2 18 9 p 9.设AB是椭圆G的长轴,点C在G上,且ÐCBA= ,若AB=4,BC = 2,则G的两 4 个焦点之间的距离为________ x2 y2 【解答】不妨设椭圆G的标准方程为 + =1,于是可算得C(1,1),得 4 b2 4 4 6 b2 = ,2c= . 3 3 10.设非零常数d是等差数列x ,x ,x , ,x 的公差,随机变量x等可能地取值 1 2 3 L 19 x ,x ,x , ,x ,则方差Dx= _______ 1 2 3 L 19 第1页 | 共8页d2 【解答】Ex= x ,Dx= (92 +82 + +12 +02 +12 + +92) = 30|d |. 10 19 L L 1 2 11.若cosxcosy+sinxsin y = ,sin2x+sin2y = ,则sin(x+ y)= ________ 2 3 1 2 【解答】cos(x- y)= ,sin2x+sin2y =2sin(x+ y)cos(x- y)= ,故 2 3 2 sin(x+ y)= . 3 a2 12.设a为实常数,y = f(x)是定义在R上的奇函数,当x<0时, f(x)=9x+ +7, x 若 f(x)³a+1对一切x³0成立,则a的取值范围为________ a2 【解答】 f(0)=0,故0³a+1Þa£-1;当x>0时, f(x)=9x+ -7³a+1 x 8 即6|a|³a+8,又a£-1,故a£- . 7 13.在xOy平面上,将两个半圆弧(x-1)2 + y2 =1(x³1) 和(x-3)2 + y2 =1(x³3)、两条直线y =1和y =-1围成 的封闭图形记为D,如图中阴影部分.记D绕y轴旋转一周而 成的几何体为W,过(0,y)(| y|£1)作W的水平截面,所得 截面面积为4p 1- y2 +8p,试利用祖暅原理、一个平放 的圆柱和一个长方体,得出W的体积值为__________ 【解答】根据提示,一个半径为1,高为2p的圆柱平放, 一个高为2,底面面积8p的长方体,这两个几何体与W放 在一起,根据祖暅原理,每个平行水平面的截面面积都相等,故它们的体积相等,即W的 体积值为p×12×2p+2×8p=2p2 +16p. 14.对区间I上有定义的函数g(x),记g(I)={y| y = g(x),xÎI},已知定义域为[0,3]的 函数y = f(x)有反函数y = f -1(x),且 f -1([0,1))=[1,2), f -1((2,4])=[0,1),若方程 f(x)-x=0有解x ,则x = _____ 0 0 【解答】根据反函数定义,当xÎ[0,1)时, f(x)Î(2,4];xÎ[1,2)时, f(x)Î[0,1), 而y = f(x)的定义域为[0,3],故当xÎ[2,3]时, f(x)的取值应在集合 (-¥,0)È[1,2]È(4,+¥),故若 f(x )= x ,只有x =2. 0 0 0 二、选择题 15.设常数aÎR,集合A={x|(x-1)(x-a)³0},B={x|x³a-1},若AÈB= R, 则a的取值范围为( ) (A) (-¥,2) (B) (-¥,2] (C) (2,+¥) (D) [2,+¥) ì a³1 ì a£1 【解答】集合A讨论后利用数轴可知,í 或í ,解答选项为B. îa-1£1 îa-1£a 16.钱大姐常说“便宜没好货”,她这句话的意思是:“不便宜”是“好货”的() (A)充分条件 (B)必要条件 (C)充分必要条件 (D)既非充分也非必要条件 【解答】根据等价命题,便宜Þ没好货,等价于,好货Þ不便宜,故选B. 17.在数列{a }中,a =2n -1,若一个7行12列的矩阵的第i行第j列的元素 n n a =a ×a +a +a ,(i =1,2, ,7; j =1,2, ,12)则该矩阵元素能取到的不同数值的 i,j i j i j L L 个数为( ) 第2页 | 共8页(A)18 (B)28 (C)48 (D)63 【解答】a =a ×a +a +a =2i+j -1,而i+ j =2,3, ,19,故不同数值个数为18个, i,j i j i j L 选A. 18.在边长为1的正六边形ABCDEF中,记以A为起点,其余顶点为终点的向量分别为 ur uur uur uur uur uur uur uur uur uur a ,a ,a ,a ,a ;以D为起点,其余顶点为终点的向量分别为d ,d ,d ,d ,d .若m,M 分 1 2 3 4 5 1 2 3 4 5 ur uur uur uur uur uur 别为(a +a +a )×(d +d +d )的最小值、最大值,其中{i, j,k}Í{1,2,3,4,5}, i j k r s t {r,s,t}Í{1,2,3,4,5},则m,M 满足( ). (A) m=0,M >0 (B) m<0,M >0 (C) m<0,M =0 (D) m<0,M <0 uuur uuur uuur uuur ur uur 【解答】作图知,只有AF×DE = AB×DC >0,其余均有a ×d £0,故选D. i r 三、解答题 19.(本题满分12分)如图,在长方体ABCD- A B C D 中,AB=2,AD=1,A A=1,证明直线BC 平行于平面DA C,并 1 1 1 1 1 1 1 D 求直线BC 到平面D AC的距离. C 1 1 A 【解答】因为ABCD-A B C D 为长方体,故AB//C D,AB=C D , B 1 1 1 1 1 1 1 1 故ABC D 为平行四边形,故BC // AD ,显然B不在平面D AC上,于 C 1 1 1 1 1 1 D 1 是直线BC 平行于平面DA C; A 1 1 1 B 1 直线BC 到平面D AC的距离即为点B到平面D AC的距离设为 1 1 1 h 1 1 1 考虑三棱锥ABCD 的体积,以ABC为底面,可得V = ´( ´1´2)´1= 1 3 2 3 3 而DADC中,AC = DC = 5,AD = 2 ,故S = 1 1 1 DAD 1 C 2 1 3 1 2 2 所以,V = ´ ´h= Þh= ,即直线BC 到平面D AC的距离为 . 1 1 3 2 3 3 3 20.(6分+8分)甲厂以x 千克/小时的速度运输生产某种产品(生产条件要求 3 1£ x£10),每小时可获得利润是100(5x+1- )元. x (1)要使生产该产品2小时获得的利润不低于3000元,求x的取值范围; (2)要使生产900千克该产品获得的利润最大,问:甲厂应该选取何种生产速度?并求最大 利润. 3 3 【解答】(1)根据题意,200(5x+1- )³3000Þ5x-14- ³0 x x 又1£ x£10,可解得3£ x£10 900 3 1 1 61 (2)设利润为y元,则y = ×100(5x+1- )=9´104[-3( - )2 + ] x x x 6 12 故x=6时,y =457500元. max 21.(6分+8分)已知函数 f(x)=2sin(wx),其中常数w>0; p 2p (1)若y = f(x)在[- , ]上单调递增,求w的取值范围; 4 3 第3页 | 共8页p (2)令w=2,将函数y = f(x)的图像向左平移 个单位,再向上平移1个单位,得到函 6 数y = g(x)的图像,区间[a,b](a,bÎR且a0,根据题意有 ì p p - w³- ï ï 4 2 3 í Þ01,进而证明原点不是“C —C 型点”; 2 1 2 1 (3)求证:圆x2 + y2 = 内的点都不是“C —C 型点”. 1 2 2 2 【解答】:(1)C 的左焦点为F(- 3,0),过F的直线x=- 3与C 交于(- 3,± ), 1 1 2 与C 交于(- 3,±( 3+1)),故C 的左焦点为“C -C 型点”,且直线可以为x=- 3; 2 1 1 2 (2)直线y =kx与C 有交点,则 2 ì y =kx í Þ(|k|-1)|x|=1,若方程组有解,则必须|k|>1; î| y|=|x|+1 直线y =kx与C 有交点,则 2 ì y =kx 1 í Þ(1-2k2)x2 =2,若方程组有解,则必须k2 < îx2 -2y2 =2 2 故直线y =kx至多与曲线C 和C 中的一条有交点,即原点不是“C -C 型点”。 1 2 1 2 1 (3)显然过圆x2 + y2 = 内一点的直线l若与曲线C 有交点,则斜率必存在; 1 2 根据对称性,不妨设直线l斜率存在且与曲线C 交于点(t,t+1)(t ³0),则 2 l: y =(t+1)=k(x-t)Þkx- y+(1+t-kt)=0 1 |1+t-kt| 2 直线l与圆x2 + y2 = 内部有交点,故 < 2 k2 +1 2 1 化简得,(1+t-tk)2 < (k2 +1)。。。。。。。。。。。。① 2 若直线l与曲线C 有交点,则 1 ìy =kx-kt+t+1 ï 1 í x2 Þ(k2 - )x2 +2k(1+t-kt)x+(1+t-kt)2 +1=0 - y2 =1 2 ï î 2 1 D=4k2(1+t-kt)2 -4(k2 - )[(1+t-kt)2 +1]³0Þ(1+t-kt)2 ³2(k2 -1) 2 化简得,(1+t-kt)2 ³2(k2 -1)。。。。。② 1 由①②得,2(k2 -1)£(1+t-tk)2 < (k2 +1)Þk2 <1 2 1 但此时,因为t ³0,[1+t(1-k)]2 ³1, (k2 +1)<1,即①式不成立; 2 1 当k2 = 时,①式也不成立 2 第5页 | 共8页1 综上,直线l若与圆x2 + y2 = 内有交点,则不可能同时与曲线C 和C 有交点, 1 2 2 1 即圆x2 + y2 = 内的点都不是“C -C 型点” . 1 2 2 23.(3 分+6分+9分)给定常数c>0,定义函数 f(x)=2|x+c+4|-|x+c|,数列 a ,a ,a , 满足a = f(a ),nÎN*. 1 2 3 L n+1 n (1)若a =-c-2,求a 及a ;(2)求证:对任意nÎN*,a -a ³c,; 1 2 3 n+1 n (3)是否存在a ,使得a ,a , a , 成等差数列?若存在,求出所有这样的a ,若不存 1 1 2 L n L 1 在,说明理由. 【解答】:(1)因为c>0,a =-(c+2),故a = f(a )=2|a +c+4|-|a +c|=2 1 2 1 1 1 , a = f(a )=2|a +c+4|-|a +c|=c+10 3 1 2 2 (2)要证明原命题,只需证明 f(x)³ x+c对任意xÎR都成立, f(x)³ x+cÛ 2|x+c+4|-|x+c|³ x+c 即只需证明2|x+c+4|³|x+c|+x+c 若x+c£0,显然有2|x+c+4|³|x+c|+x+c=0成立; 若x+c>0,则2|x+c+4|³|x+c|+x+cÛ x+c+4> x+c显然成立 综上, f(x)³ x+c恒成立,即对任意的nÎN*,a -a ³c n+1 n (3)由(2)知,若{a }为等差数列,则公差d ³c>0,故n无限增大时,总有a >0 n n 此时,a = f(a )=2(a +c+4)-(a +c)=a +c+8 n+1 n n n n 即d =c+8 故a = f(a )=2|a +c+4|-|a +c|=a +c+8, 2 1 1 1 1 即2|a +c+4|=|a +c|+a +c+8, 1 1 1 当a +c³0时,等式成立,且n³2时,a >0,此时{a }为等差数列,满足题意; 1 n n 若a +c<0,则|a +c+4|=4Þa =-c-8, 1 1 1 此时,a =0,a =c+8, ,a =(n-2)(c+8)也满足题意; 2 3 L n 综上,满足题意的a 的取值范围是[-c,+¥)È{-c-8}. 1 22.(本题满分16分)本题共有3个小题.第1小题满分6分,第2小题满分5分,第3小题满 分8分. x2 如图,已知双曲线C : - y2 =1,曲线C :| y|=|x|+1.P是平面内一点,若存 1 2 2 在过点P的直线与C 、C 都有公共点,则称P为“C - C 型点”. 1 2 1 2 (1)在正确证明C 的左焦点是“C - C 型点”时,要使 1 1 2 用一条过该焦点的直线,试写出一条这样的直线的方程( 不要求验证); (2)设直线y =kx与C 有公共点,求证|k|>1,进而证 2 明原点不是“C - C 型点; 1 2 1 (3)求证:圆x2 + y2 = 内的点都不是“C - C 型点” 2 1 2 . 第6页 | 共8页2 22.解:(1)C 的左焦点为F(- 3,0),过F的直线x=- 3与C 交于(- 3,± ),与 1 1 2 C 交于(- 3,±( 3+1)),故C 的左焦点为“C -C 型点”,且直线可以为x=- 3; 2 1 1 2 (2)直线y =kx与C 有交点,则 2 ì y =kx í Þ(|k|-1)|x|=1,若方程组有解,则必须|k|>1; î| y|=|x|+1 直线y =kx与C 有交点,则 2 ì y =kx 1 í Þ(1-2k2)x2 =2,若方程组有解,则必须k2 < îx2 -2y2 =2 2 故直线y =kx至多与曲线C 和C 中的一条有交点,即原点不是“C -C 型点”。 1 2 1 2 1 (3)显然过圆x2 + y2 = 内一点的直线l若与曲线C 有交点,则斜率必存在; 1 2 根据对称性,不妨设直线l斜率存在且与曲线C 交于点(t,t+1)(t ³0),则 2 l: y =(t+1)=k(x-t)Þkx- y+(1+t-kt)=0 1 |1+t-kt| 2 直线l与圆x2 + y2 = 内部有交点,故 < 2 k2 +1 2 1 化简得,(1+t-tk)2 < (k2 +1)。。。。。。。。。。。。① 2 若直线l与曲线C 有交点,则 1 ìy =kx-kt+t+1 ï 1 í x2 Þ(k2 - )x2 +2k(1+t-kt)x+(1+t-kt)2 +1=0 - y2 =1 2 ï î 2 1 D=4k2(1+t-kt)2 -4(k2 - )[(1+t-kt)2 +1]³0Þ(1+t-kt)2 ³2(k2 -1) 2 化简得,(1+t-kt)2 ³2(k2 -1)。。。。。② 1 由①②得,2(k2 -1)£(1+t-tk)2 < (k2 +1)Þk2 <1 2 1 但此时,因为t ³0,[1+t(1-k)]2 ³1, (k2 +1)<1,即①式不成立; 2 1 当k2 = 时,①式也不成立 2 1 综上,直线l若与圆x2 + y2 = 内有交点,则不可能同时与曲线C 和C 有交点, 1 2 2 1 即圆x2 + y2 = 内的点都不是“C -C 型点”。 1 2 2 23.(本题满分18分)本题共有3个小题.第1小题满分3分,第2小题满分6分,第3小题满 分9分. 给定常数c>0,定义函数 f(x)=2|x+c+4|-|x+c|.数列a ,a ,a ,…满足 1 2 3 a = f(a ),nÎN*. n+1 n (1)若a =-c-2,求a 及a ; 1 2 3 (2)求证:对任意nÎN*,a -a ³c; n+1 n 第7页 | 共8页(3)是否存在a ,使得a ,a ,a ,…,a …成等差数列?若存在,求出所有这样的 1 1 2 3 n a ;若不存在,说明理由. 1 23.解:(1)因为c>0,a =-(c+2),故a = f(a )=2|a +c+4|-|a +c|=2, 1 2 1 1 1 a = f(a )=2|a +c+4|-|a +c|=c+10 3 1 2 2 (2)要证明原命题,只需证明 f(x)³ x+c对任意xÎR都成立, f(x)³ x+cÛ 2|x+c+4|-|x+c|³ x+c 即只需证明2|x+c+4|³|x+c|+x+c 若x+c£0,显然有2|x+c+4|³|x+c|+x+c=0成立; 若x+c>0,则2|x+c+4|³|x+c|+x+cÛ x+c+4> x+c显然成立 综上, f(x)³ x+c恒成立,即对任意的nÎN*,a -a ³c n+1 n (3)由(2)知,若{a }为等差数列,则公差d ³c>0,故n无限增大时,总有a >0 n n 此时,a = f(a )=2(a +c+4)-(a +c)=a +c+8 n+1 n n n n 即d =c+8 故a = f(a )=2|a +c+4|-|a +c|=a +c+8, 2 1 1 1 1 即2|a +c+4|=|a +c|+a +c+8, 1 1 1 当a +c³0时,等式成立,且n³2时,a >0,此时{a }为等差数列,满足题意; 1 n n 若a +c<0,则|a +c+4|=4Þa =-c-8, 1 1 1 此时,a =0,a =c+8, ,a =(n-2)(c+8)也满足题意; 2 3 L n 综上,满足题意的a 的取值范围是[-c,+¥)È{-c-8}。 1 第8页 | 共8页