当前位置:首页>文档>专题23环境安全与国家安全-2023年高考地理一轮复习小题多维练(新高考专用)(原卷版)_9.2025地理总复习_2023年新高考复习资料_一轮复习_环境安全与国家安全

专题23环境安全与国家安全-2023年高考地理一轮复习小题多维练(新高考专用)(原卷版)_9.2025地理总复习_2023年新高考复习资料_一轮复习_环境安全与国家安全

  • 2026-04-06 16:14:51 2026-03-12 15:49:12

文档预览

专题23环境安全与国家安全-2023年高考地理一轮复习小题多维练(新高考专用)(原卷版)_9.2025地理总复习_2023年新高考复习资料_一轮复习_环境安全与国家安全
专题23环境安全与国家安全-2023年高考地理一轮复习小题多维练(新高考专用)(原卷版)_9.2025地理总复习_2023年新高考复习资料_一轮复习_环境安全与国家安全
专题23环境安全与国家安全-2023年高考地理一轮复习小题多维练(新高考专用)(原卷版)_9.2025地理总复习_2023年新高考复习资料_一轮复习_环境安全与国家安全
专题23环境安全与国家安全-2023年高考地理一轮复习小题多维练(新高考专用)(原卷版)_9.2025地理总复习_2023年新高考复习资料_一轮复习_环境安全与国家安全
专题23环境安全与国家安全-2023年高考地理一轮复习小题多维练(新高考专用)(原卷版)_9.2025地理总复习_2023年新高考复习资料_一轮复习_环境安全与国家安全
专题23环境安全与国家安全-2023年高考地理一轮复习小题多维练(新高考专用)(原卷版)_9.2025地理总复习_2023年新高考复习资料_一轮复习_环境安全与国家安全
专题23环境安全与国家安全-2023年高考地理一轮复习小题多维练(新高考专用)(原卷版)_9.2025地理总复习_2023年新高考复习资料_一轮复习_环境安全与国家安全
专题23环境安全与国家安全-2023年高考地理一轮复习小题多维练(新高考专用)(原卷版)_9.2025地理总复习_2023年新高考复习资料_一轮复习_环境安全与国家安全
专题23环境安全与国家安全-2023年高考地理一轮复习小题多维练(新高考专用)(原卷版)_9.2025地理总复习_2023年新高考复习资料_一轮复习_环境安全与国家安全
专题23环境安全与国家安全-2023年高考地理一轮复习小题多维练(新高考专用)(原卷版)_9.2025地理总复习_2023年新高考复习资料_一轮复习_环境安全与国家安全

文档信息

文档格式
docx
文档大小
1.206 MB
文档页数
10 页
上传时间
2026-03-12 15:49:12

文档内容

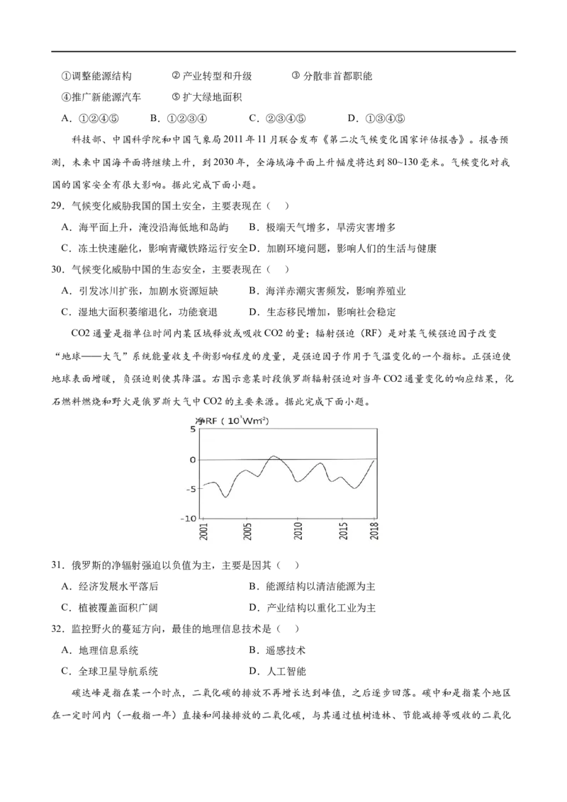
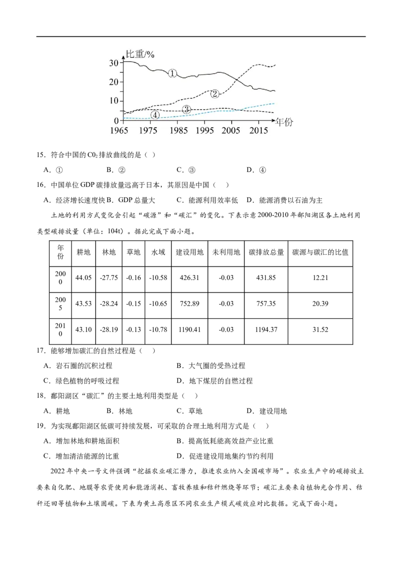
专题 23 环境安全与国家安全 读我国某区域图,完成下面小题。 1.甲地区突出的生态环境问题是( ) A.草地退化 B.次生盐渍化 C.水土流失 D.围湖造田 2.针对甲处突出的生态问题,可采取的措施是( ) A.合理放牧 B.退耕还湿 C.禁止樵采 D.合理用水 3.监测乙处荒漠化范围变化可采用的地理信息技术是( ) A.RS B.GIS C.GNSS D.数字地球 我国自20世纪70年代中期开始,到2013年结束,已经开展了八次森林资源清查工作。20世纪80年 代,由于受到木材开放政策的影响,南方林区森林资源被大量地消耗,出现“森林赤字”现象;80年代末 至90年代初,各地纷纷开展科学造林行动,并强化了森林经营管理措施,森林资源逐渐得到恢复。下图为 这八次森林资源清查期间我国不同林种面积所占比例分布图。据此完成下面小题。4.下列关于我国不同森林资源变化状况的描述,正确的是( ) A.用材林面积所占比重逐年减少 B.特用林的面积先增加后减少 C.薪炭林在第二次清查时比重最高 D.防护林变化趋势与用材林大致相反 5.20世纪80年代,南方林区受“森林赤字”的影响,最有可能出现的生态问题是( ) A.酸雨 B.土地沙化 C.红漠化 D.土壤盐碱化 6.导致近年来我国用材林面积减少的主要原因有( ) ①自然保护区的建设 ②大规模的砍伐 ③自然灾害的破坏 ④被调整为防护林 A.①② B.①④ C.②③ D.③④ 下图为“2018年2月17日至2月28日无锡市空气质量指数曲线图”(空气质量指数越小,表示空气 质量越好,数值超过100即表示有不同程度的污染),下表为该期间无锡市天气状况统计资料。阅读图表 完成下面小题。 7.下列关于空气质量与气象条件的关系,说法正确的是( ) ①降水能吸附尘埃,净化空气 ②微风有利于尘埃沉降,净化空气 ③风力越大,越有利于空气净化 ④晴天的空气质量比较好 A.①② B.③④ C.①③ D.②④ 8.造成城市空气质量下降的主要污染源有( ) ①汽车尾气 ②工业废水 ③地面扬尘 ④生活用天然气 A.①② B.③④ C.①③ D.②④ 9.无锡市2月17日的中度污染,可能带来的影响有( ) ①影响人体健康状况 ②交通能见度降低 ③降水量增加 ④建筑物易遭受腐蚀 A.①② B.③④ C.①③ D.②④ 《中国应对气候变化的政策与行动2017年度报告》中指出:由于我国大力推动节能减排,到2020年有望超额完成节能减排的行动目标。据此完成下面小题。 10.二氧化碳是导致近现代全球气温升高的主要温室气体,主要原因是其能够( ) A.吸收太阳短波辐射 B.反射地面长波辐射 C.吸收地面长波辐射 D.反射太阳短波辐射 11.气候变暖引起全球( ) A.农作物减产 B.海平面上升 C.洪涝加剧 D.干旱减轻 2021年7月28日重庆五里坡国家级自然保护区通过神农架边界微调的方式,成为世界自然遗产地, 吸引了全世界的目光,这里与东侧神农架自然保护区共同构成我国西南最大的温带森林。下图为“五里坡 国家级自然保护区局部等高线地形图”。据此完成下面小题。 12.五里坡( ) A.地形以高原为主 B.地势北高南低地形起伏大 C.河流没有结冰期 D.气候以温带季风气候为主 13.影响该区域温带森林广布的主要自然因素是( ) A.纬度位置 B.海陆位置 C.地势高低 D.地形坡向 14.五里坡成为国家级自然保护区的主要原因是( ) A.位置偏僻,生态环境好 B.植被茂盛,珍稀物种多 C.山清水秀,旅游业发达 D.山高谷深,垂直带谱多 中国提出2030年“碳达峰”、2060年“碳中和”的目标。下图为中、美、日、印四国C0 排放占全球 2 比重变化示意图。据此完成下面小题。15.符合中国的C0 排放曲线的是( ) 2 A.① B.② C.③ D.④ 16.中国单位GDP碳排放量远高于日本,其原因是中国( ) A.经济增长速度快B.GDP总量大 C.能源利用效率低 D.能源消费以石油为主 土地的利用方式变化会引起“碳源”和“碳汇”的变化。下表示意2000-2010年鄱阳湖区各土地利用 类型碳排放量(单位:104t)。据此完成下面小题。 年 耕地 林地 草地 水域 建设用地 未利用地 碳排放总量 碳源与碳汇的比值 份 200 44.05 -27.75 -0.16 -10.58 426.31 -0.03 431.85 12.21 0 200 43.53 -28.24 -0.15 -10.65 752.89 -0.03 757.35 20.39 5 201 43.10 -28.19 -0.13 -10.78 1190.41 -0.03 1194.37 31.52 0 17.能够增加碳汇的自然过程是( ) A.岩石圈的沉积过程 B.大气圈的受热过程 C.绿色植物的呼吸过程 D.地下煤层的自燃过程 18.鄱阳湖区“碳汇”的主要土地利用类型是( ) A.耕地 B.林地 C.草地 D.建设用地 19.为实现鄱阳湖区低碳可持续发展,可采取的合理土地利用方式是( ) A.增加林地和耕地面积 B.提高低耗能高效益产业比重 C.增加清洁能源的比重 D.促进建设用地集约节约利用 2022年中央一号文件强调“挖掘农业碳汇潜力,推进农业纳入全国碳市场”。农业生产中的碳排放主 要来自化肥、地膜等农资使用和能源消耗、畜牧养殖和秸秆燃烧等环节;碳汇主要来自植物光合作用、秸 秆还田等植物和土壤固碳。下表为黄土高原区不同农业生产模式碳效应对比数据。完成下面小题。农业生产模式 具体生产形式 亩均碳排放量/吨 亩均净碳汇量/吨 种养复合传统生产模式 粮食作物+家禽家畜 0.131 0.195 设施作物复种模式 蔬菜/瓜果类轮作(多茬) 0.587 -0.194 农林牧立体生产模式 粮食作物/家禽家畜+经济林园 0.141 0.130 (粮食作物/作物秸秆/饲草)→ 设施养殖循环生产模式 (家禽家畜+沼气技术)→粮食作 0.206 0.253 物 说明:净碳汇量常用碳汇量与碳排放量之间的差值来衡量 20.推测设施作物复种模式的碳排放主要来源于( ) A.畜牧养殖 B.地膜大量使用 C.秸秆燃烧 D.农业机械耗能 21.从发展低碳农业的角度,黄土高原区退耕还林农户适宜发展的生产模式是( ) A.种养复合传统生产模式 B.设施作物复种模式 C.农林牧立体生产模式 D.设施养殖循环生产模式 2021年全国两会,“碳达峰”“碳中和”被首次写入政府工作报告,我国要力争实现2030年前“碳 达峰”、2060年前”碳中和”目标,即2030年前某一年会是碳排放的极大值,之后会下降,至2060年前 实现“零排放”。据此完成下面小题。 22.当前我国推进“碳中和”的主要障碍是( ) A.能源消费以煤炭为主 B.提高清洁能源比重 C.公众环保意识较淡薄 D.生产技术进步缓慢 23.下列措施中有利于我国在2060年前实现“碳中和”的合理措施是( ) A.中部地区开发风能 B.东部地区发展水电 C.西北地区全面造林 D.东北地区优化产业结构 为保护生态环境、担当大国责任,力争2060年前实现碳中和目标,通过对地理环境、经济、能源等因 素的系统分析,将我国分为四大区域——传统能源仓库“北方走廊”、工业耗能大户“工业重镇”、能源 消费大户“东部集团”、清洁能源宝库“绿色地带”。下图为我国四大区域分布示意图。据此完成下面小 题。24.四大区域中,碳中和任务最重的是( ) A.北方走廊 B.工业重镇 C.东部集团 D.绿色地带 25.东部集团碳排放量大的原因是( ) A.化石能源储量大,煤炭使用占比高 B.重工业发达,清洁能源使用占比小 C.经济发达、人口稠密,能源消耗大 D.技术落后,能源综合利用效率低下 26.为实现碳中和目标,下列措施可行的是( ) A.“禁煤推清”,提高清洁能源使用比重B.优化产业结构,停止高耗能产业的发展 C.推进产业转移,重污企业迁至其他区域D.加强生态保护,强化生态系统调节能力 碳强度是指单位GDP的二氧化碳排放量。一般情况下,碳强度指标是随着技术进步和经济增长而下降 的。下图为“2010-2019年北京与全国碳强度变化趋势图”。据此完成下面小题。 27.关于图中信息的说法,错误的是( ) A.全国和北京的碳强度均呈现下降趋势 B.北京的碳强度明显优于全国,呈现更好的低碳发展状态 C.北京碳强度与全国碳强度的比值从2010年的0.36下降到2019年的0.25 D.2010年后,全国的碳排放量比北京下降更快 28.下列对北京降低碳排放总量采取的合理举措有( )①调整能源结构 ②产业转型和升级 ③分散非首都职能 ④推广新能源汽车 ⑤扩大绿地面积 A.①②④⑤ B.①②③④ C.②③④⑤ D.①③④⑤ 科技部、中国科学院和中国气象局2011年11月联合发布《第二次气候变化国家评估报告》。报告预 测,未来中国海平面将继续上升,到2030年,全海域海平面上升幅度将达到80~130毫米。气候变化对我 国的国家安全有很大影响。据此完成下面小题。 29.气候变化威胁我国的国土安全,主要表现在( ) A.海平面上升,淹没沿海低地和岛屿 B.极端天气增多,旱涝灾害增多 C.冻土快速融化,影响青藏铁路运行安全D.加剧环境问题,影响人们的生活与健康 30.气候变化威胁中国的生态安全,主要表现在( ) A.引发冰川扩张,加剧水资源短缺 B.海洋赤潮灾害频发,影响养殖业 C.湿地大面积萎缩退化,功能衰退 D.生态移民增加,影响社会稳定 CO2通量是指单位时间内某区域释放或吸收CO2的量;辐射强迫(RF)是对某气候强迫因子改变 “地球——大气”系统能量收支平衡影响程度的度量,是强迫因子作用于气温变化的一个指标。正强迫使 地球表面增暖,负强迫则使其降温。右图示意某时段俄罗斯辐射强迫对当年CO2通量变化的响应结果,化 石燃料燃烧和野火是俄罗斯大气中CO2的主要来源。据此完成下面小题。 31.俄罗斯的净辐射强迫以负值为主,主要是因其( ) A.经济发展水平落后 B.能源结构以清洁能源为主 C.植被覆盖面积广阔 D.产业结构以重化工业为主 32.监控野火的蔓延方向,最佳的地理信息技术是( ) A.地理信息系统 B.遥感技术 C.全球卫星导航系统 D.人工智能 碳达峰是指在某一个时点,二氧化碳的排放不再增长达到峰值,之后逐步回落。碳中和是指某个地区 在一定时间内(一般指一年)直接和间接排放的二氧化碳,与其通过植树造林、节能减排等吸收的二氧化碳相互抵消,实现二氧化碳“净零排放”。碳汇是从大气中清除二氧化碳的过程、活动或机制。我国承诺 在2030年前“碳达峰”,2060年实现“碳中和”。图为碳循环主要途径模式示意图。据此完成下面小题。 33.碳循环过程中的碳汇有( ) ①煤、石油、天然气燃烧 ②陆地植物光合作用 ③陆地动植物的呼吸 ④海洋生物的呼吸 ⑤海洋植物光合作用 ⑥降水中和 A.①②③ B.②⑤⑥ C.③④⑤ D.③⑤⑥ 34.我国为实现“碳达峰”和“碳中和”目标,下列措施有效的是( ) ①循环使用淡水资源 ②积极推广生物碳汇技术 ③调整优化能源消费结构 ④将高耗能企业转移出国 ⑤征收碳税,以促进行业绿色转型 ⑥停止使用化石燃料 A.①②③ B.②④⑤ C.②③⑤ D.③④⑥ 35.从长远看,实现“碳中和”会使( ) A.经济发展受阻 B.能源消耗减少 C.生态负担加重 D.极冰融化减缓 2021年8月9日,联合国政府间气候变化专门委员会评估报告指出:2019年,大气中CO 浓度为工业 2 化前(1750年)的148%,海洋吸收了大量的额外热量,气候变化严重影响人类社会的发展。过去30多年 来,我国大陆和海南岛近岸珊瑚消失了80%,实现碳中和(CO 产销平衡)是我国及国际社会面临的一项 2 艰巨任务。下图为1958~2018年全球和中国近海海洋表层水温距平变化示意图。据此完成下面小题。36.1958~2018年,中国近海与全球海洋的表层水温距平变化( ) A.呈正相关 B.呈负相关 C.幅度差异较大 D.完全一致 37.2000年以来,中国近海表层水温的变化会导致( ) A.强台风增多 B.海平面下降 C.鱼类资源减少 D.鱼群陆续北迁 38.我国实现碳中和的措施有( ) ①构建清洁能源体系 ②加快城市化进程 ③推进碳排放权交易 ④积极参与国际合作 A.①②③ B.①③④ C.②③④ D.①②④