当前位置:首页>文档>专题14函数的图象(二)(含2021-2023高考真题)(原卷版)_2.2025数学总复习_2024年新高考资料_3.2024专项复习_2024年新高考数学之函数专项重难点突破练(新高考专用)

专题14函数的图象(二)(含2021-2023高考真题)(原卷版)_2.2025数学总复习_2024年新高考资料_3.2024专项复习_2024年新高考数学之函数专项重难点突破练(新高考专用)

  • 2026-04-09 07:56:32 2026-03-16 00:06:28

文档预览

专题14函数的图象(二)(含2021-2023高考真题)(原卷版)_2.2025数学总复习_2024年新高考资料_3.2024专项复习_2024年新高考数学之函数专项重难点突破练(新高考专用)
专题14函数的图象(二)(含2021-2023高考真题)(原卷版)_2.2025数学总复习_2024年新高考资料_3.2024专项复习_2024年新高考数学之函数专项重难点突破练(新高考专用)
专题14函数的图象(二)(含2021-2023高考真题)(原卷版)_2.2025数学总复习_2024年新高考资料_3.2024专项复习_2024年新高考数学之函数专项重难点突破练(新高考专用)
专题14函数的图象(二)(含2021-2023高考真题)(原卷版)_2.2025数学总复习_2024年新高考资料_3.2024专项复习_2024年新高考数学之函数专项重难点突破练(新高考专用)
专题14函数的图象(二)(含2021-2023高考真题)(原卷版)_2.2025数学总复习_2024年新高考资料_3.2024专项复习_2024年新高考数学之函数专项重难点突破练(新高考专用)
专题14函数的图象(二)(含2021-2023高考真题)(原卷版)_2.2025数学总复习_2024年新高考资料_3.2024专项复习_2024年新高考数学之函数专项重难点突破练(新高考专用)
专题14函数的图象(二)(含2021-2023高考真题)(原卷版)_2.2025数学总复习_2024年新高考资料_3.2024专项复习_2024年新高考数学之函数专项重难点突破练(新高考专用)
专题14函数的图象(二)(含2021-2023高考真题)(原卷版)_2.2025数学总复习_2024年新高考资料_3.2024专项复习_2024年新高考数学之函数专项重难点突破练(新高考专用)
专题14函数的图象(二)(含2021-2023高考真题)(原卷版)_2.2025数学总复习_2024年新高考资料_3.2024专项复习_2024年新高考数学之函数专项重难点突破练(新高考专用)
专题14函数的图象(二)(含2021-2023高考真题)(原卷版)_2.2025数学总复习_2024年新高考资料_3.2024专项复习_2024年新高考数学之函数专项重难点突破练(新高考专用)

文档信息

文档格式
docx
文档大小
0.496 MB
文档页数
10 页
上传时间
2026-03-16 00:06:28

文档内容

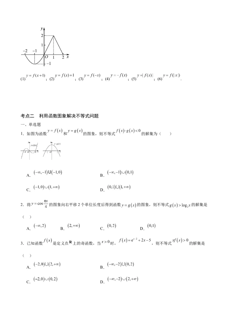
专题14 函数的图象(二) 考点一 函数图象的变换 一、单选题 1.为了得到函数 的图象,只需把函数 的图象上的所有点( ) A.向左平移2个单位长度,再向上平移2个单位长度 B.向右平移2个单位长度,再向下平移2个单位长度 C.向左平移1个单位长度,再向上平移1个单位长度 D.向右平移1个单位长度,再向上平移1个单位长度 2.要得到函数 的图象,只需将指数函数 的图象( ) A.向左平移1个单位 B.向右平移1个单位 C.向左平移 个单位 D.向右平移 个单位 3.为了得到 的图象,只需将 的图象( ) A.向右平移1个单位,再向下平移2个单位 B.向右平移1个单位,再向上平移2个单位 C.向左平移1个单位,再向上平移2个单位 D.向左平移1个单位,再向下平移2个单位 4.为了得到函数 的图像,只需将函数 的图像( ) A.向右平移3个单位,再向上平移2个单位 B.向左平移3个单位,再向下平移2个单位 C.向右平移3个单位,再向下平移2个单位 D.向左平移3个单位,再向上平移2个单位 5.要得到 的图像,只要将 的图像( ) A.向左平移 个单位 B.向右平移 个单位 C.向左平移 个单位 D.向右平移 个单位6.把函数 图象上所有点的横坐标都伸长为原来的2倍,纵坐标不变,再把图象向右平移2个单位 长度,此时图象对应的函数为 ,则 ( ) A. B. C.0 D. 7.已知函数 的图象如下图所示,则 的大致图象是( ) A. B. C. D. 8.若函数 的图象向左平移一个单位长度,所的图象与曲线 关于 轴对称,则 ( ) A. B. C. D. 二、解答题 9.利用函数 的图象,作出下列各函数的图象. (1) ;(2) (3) ;(4) ;(5) ;(6) . 10.已知函数 定义在 上的图象如图所示,请分别画出下列函数的图象:(1) ;(2) ;(3) ;(4) ;(5) ;(6) . 考点二 利用函数图象解决不等式问题 一、单选题 1.如图为函数 和 的图象,则不等式 的解集为( ) A. B. C. D. 2.将 的图象向右平移2个单位长度后得到函数 的图象,则不等式 的解集是 ( ) A. B. C. D. 3.已知函数 是定义在 上的奇函数,当 时, ,则不等式 的解集是 ( ) A. B. C. D.4.已知函数 , ,则不等式 的解集为( ) A. B. C. D. 5.已知函数 的定义域为R, ,且 在 上递增,则 的解集为( ) A. B. C. D. 6.已知函数 ,则 的解集是( ) A. B. C. D. 二、多选题 7.设函数 的定义域为R,满足 ,且当 时, ,若对任意 ,都有 ,则实数m的取值可以是( ) A.3 B.4 C. D. 8.已知函数 是定义在 上的偶函数,当 时, 的图象如图所示,则满足不等式 的x可能是( )A. B.0 C.1 D.2 9.定义在R上的函数 ,满足 ,且当 时, ,则使得 在 上恒成立的m可以是( ) A. B. C. D. 10.函数 , ,其中 .记 ,设 ,若不等式 恒有解,则实数 的值可以是( ) A. B. C. D. 三、填空题 11.已知函数 ,则不等式 的解集是______. 12.不等式 的解集为________. 13.定义在R上的函数 满足 ,且当 时, .若对任意 ,都有 ,则t的取值范围是__________. 14.已知函数 ,若不等式 恒成立,则实数a的范围是____________. 四、解答题 15.已知函数 , .(1)在给出的坐标系中画出函数 的图像; (2)若关于 的不等式 恒成立,求实数 的取值范围. 16.已知函数 . (1)在坐标系中作出函数 的图象; (2)若 ,求实数 的取值范围. 考点三 利用函数图象解决方程的根与交点问题一、单选题 1.方程 的解的个数是( ). A.0个 B.1个 C.2个 D.3个 2.已知函数 ,若函数 有两个不同的零点,则实数 的取值范围是 ( ) A. B. C. D. 3.已知函数 ,若方程 有四个不同的解 且 ,则 的取值范围是( ) A. B. C. D. 4.函数 的图象和函数 的图象的交点的个数为( ) A.1 B.2 C.3 D.4 5.已知函数 ,若实数 ,则函数 的零点个数为( ) A.0或1 B.1或2 C.1或3 D.2或3 6.已知函数 ,若关于 的方程 恰有5个不同的实根,则 的取值范围为( ) A. B. C. D.7.已知函数 ,若方程 有四个不同的实数根,则实数a的取值范围是 ( ) A. B. C. D. 8.已知函数 ,若方程 有两个实根,且两实根之和小于0,则实数 的取值范围是( ) A. B. C. D. 9.函数 的图像与函数 的图像所有交点的横坐标之和等于( ) A.8 B.10 C.12 D.14 10.已知函数 ,若函数 有6个不同的零点,且最小的零点为 ,则 ( ) A.6 B. C.2 D. 二、多选题 11.关于x的方程 ,给出下列四个判断:其中正确的为( ) A.存在实数k,使得方程恰有4个不同的实根; B.存在实数k,使得方程恰有5个不同的实根; C.存在实数k,使得方程恰有6个不同的实根; D.存在实数k,使得方程恰有8个不同的实根; 12.已知函数 ,若方程 有四个不等实根 ( ),则 下列说法正确的是( )A. B. C. D. 最小值为2 13.已知函数 ,若关于 的方程 有两解,则实数 的值可能为( ) A. B. C. D. 14.已知函数 ,若函数 恰好有4个不同的零点,则实数 的取值可 以是( ) A. B. C.0 D.2 三、填空题 15.已知定义在 上的函数 ,满足 ,当 时, ,若方程 在区间 内有实数解,则实数 的取值范围为__________. 16.已知 ,若关于 的方程 有五个相异的实数根,则 的取值 范围是______. 17.已知函数 , ,若 有2个不同的零点,则实数 的取值范围是 ____. 18.已知定义域为R的偶函数 满足 ,且当 时, ,若将方程 实数解的个数记为 ,则 _________. 四、解答题19.已知函数 . (1)作出函数 的图象; (2)就a的取值范围讨论函数 的零点的个数. 20.已知函数 ,在区间 上有最大值8,有最小值0,设 . (1)求 , 的值; (2)不等式 在 上有解,求实数 的取值范围; (3)若方程 有三个不同的实数解,求实数 的取值范围.