当前位置:首页>文档>专题14新定义型问题(解析版)_2.2025数学总复习_2025年新高考资料_专项复习_2024年高考真题和模拟题数学分类汇编(全国通用)(完结)

专题14新定义型问题(解析版)_2.2025数学总复习_2025年新高考资料_专项复习_2024年高考真题和模拟题数学分类汇编(全国通用)(完结)

  • 2026-04-03 06:57:39 2026-03-16 01:55:37

文档预览

专题14新定义型问题(解析版)_2.2025数学总复习_2025年新高考资料_专项复习_2024年高考真题和模拟题数学分类汇编(全国通用)(完结)
专题14新定义型问题(解析版)_2.2025数学总复习_2025年新高考资料_专项复习_2024年高考真题和模拟题数学分类汇编(全国通用)(完结)
专题14新定义型问题(解析版)_2.2025数学总复习_2025年新高考资料_专项复习_2024年高考真题和模拟题数学分类汇编(全国通用)(完结)
专题14新定义型问题(解析版)_2.2025数学总复习_2025年新高考资料_专项复习_2024年高考真题和模拟题数学分类汇编(全国通用)(完结)
专题14新定义型问题(解析版)_2.2025数学总复习_2025年新高考资料_专项复习_2024年高考真题和模拟题数学分类汇编(全国通用)(完结)
专题14新定义型问题(解析版)_2.2025数学总复习_2025年新高考资料_专项复习_2024年高考真题和模拟题数学分类汇编(全国通用)(完结)
专题14新定义型问题(解析版)_2.2025数学总复习_2025年新高考资料_专项复习_2024年高考真题和模拟题数学分类汇编(全国通用)(完结)
专题14新定义型问题(解析版)_2.2025数学总复习_2025年新高考资料_专项复习_2024年高考真题和模拟题数学分类汇编(全国通用)(完结)
专题14新定义型问题(解析版)_2.2025数学总复习_2025年新高考资料_专项复习_2024年高考真题和模拟题数学分类汇编(全国通用)(完结)
专题14新定义型问题(解析版)_2.2025数学总复习_2025年新高考资料_专项复习_2024年高考真题和模拟题数学分类汇编(全国通用)(完结)
专题14新定义型问题(解析版)_2.2025数学总复习_2025年新高考资料_专项复习_2024年高考真题和模拟题数学分类汇编(全国通用)(完结)
专题14新定义型问题(解析版)_2.2025数学总复习_2025年新高考资料_专项复习_2024年高考真题和模拟题数学分类汇编(全国通用)(完结)
专题14新定义型问题(解析版)_2.2025数学总复习_2025年新高考资料_专项复习_2024年高考真题和模拟题数学分类汇编(全国通用)(完结)
专题14新定义型问题(解析版)_2.2025数学总复习_2025年新高考资料_专项复习_2024年高考真题和模拟题数学分类汇编(全国通用)(完结)
专题14新定义型问题(解析版)_2.2025数学总复习_2025年新高考资料_专项复习_2024年高考真题和模拟题数学分类汇编(全国通用)(完结)
专题14新定义型问题(解析版)_2.2025数学总复习_2025年新高考资料_专项复习_2024年高考真题和模拟题数学分类汇编(全国通用)(完结)
专题14新定义型问题(解析版)_2.2025数学总复习_2025年新高考资料_专项复习_2024年高考真题和模拟题数学分类汇编(全国通用)(完结)
专题14新定义型问题(解析版)_2.2025数学总复习_2025年新高考资料_专项复习_2024年高考真题和模拟题数学分类汇编(全国通用)(完结)
专题14新定义型问题(解析版)_2.2025数学总复习_2025年新高考资料_专项复习_2024年高考真题和模拟题数学分类汇编(全国通用)(完结)
专题14新定义型问题(解析版)_2.2025数学总复习_2025年新高考资料_专项复习_2024年高考真题和模拟题数学分类汇编(全国通用)(完结)
专题14新定义型问题(解析版)_2.2025数学总复习_2025年新高考资料_专项复习_2024年高考真题和模拟题数学分类汇编(全国通用)(完结)
专题14新定义型问题(解析版)_2.2025数学总复习_2025年新高考资料_专项复习_2024年高考真题和模拟题数学分类汇编(全国通用)(完结)
专题14新定义型问题(解析版)_2.2025数学总复习_2025年新高考资料_专项复习_2024年高考真题和模拟题数学分类汇编(全国通用)(完结)
专题14新定义型问题(解析版)_2.2025数学总复习_2025年新高考资料_专项复习_2024年高考真题和模拟题数学分类汇编(全国通用)(完结)
专题14新定义型问题(解析版)_2.2025数学总复习_2025年新高考资料_专项复习_2024年高考真题和模拟题数学分类汇编(全国通用)(完结)
专题14新定义型问题(解析版)_2.2025数学总复习_2025年新高考资料_专项复习_2024年高考真题和模拟题数学分类汇编(全国通用)(完结)
专题14新定义型问题(解析版)_2.2025数学总复习_2025年新高考资料_专项复习_2024年高考真题和模拟题数学分类汇编(全国通用)(完结)
专题14新定义型问题(解析版)_2.2025数学总复习_2025年新高考资料_专项复习_2024年高考真题和模拟题数学分类汇编(全国通用)(完结)
专题14新定义型问题(解析版)_2.2025数学总复习_2025年新高考资料_专项复习_2024年高考真题和模拟题数学分类汇编(全国通用)(完结)
专题14新定义型问题(解析版)_2.2025数学总复习_2025年新高考资料_专项复习_2024年高考真题和模拟题数学分类汇编(全国通用)(完结)
专题14新定义型问题(解析版)_2.2025数学总复习_2025年新高考资料_专项复习_2024年高考真题和模拟题数学分类汇编(全国通用)(完结)
专题14新定义型问题(解析版)_2.2025数学总复习_2025年新高考资料_专项复习_2024年高考真题和模拟题数学分类汇编(全国通用)(完结)
专题14新定义型问题(解析版)_2.2025数学总复习_2025年新高考资料_专项复习_2024年高考真题和模拟题数学分类汇编(全国通用)(完结)
专题14新定义型问题(解析版)_2.2025数学总复习_2025年新高考资料_专项复习_2024年高考真题和模拟题数学分类汇编(全国通用)(完结)
专题14新定义型问题(解析版)_2.2025数学总复习_2025年新高考资料_专项复习_2024年高考真题和模拟题数学分类汇编(全国通用)(完结)
专题14新定义型问题(解析版)_2.2025数学总复习_2025年新高考资料_专项复习_2024年高考真题和模拟题数学分类汇编(全国通用)(完结)
专题14新定义型问题(解析版)_2.2025数学总复习_2025年新高考资料_专项复习_2024年高考真题和模拟题数学分类汇编(全国通用)(完结)
专题14新定义型问题(解析版)_2.2025数学总复习_2025年新高考资料_专项复习_2024年高考真题和模拟题数学分类汇编(全国通用)(完结)
专题14新定义型问题(解析版)_2.2025数学总复习_2025年新高考资料_专项复习_2024年高考真题和模拟题数学分类汇编(全国通用)(完结)
专题14新定义型问题(解析版)_2.2025数学总复习_2025年新高考资料_专项复习_2024年高考真题和模拟题数学分类汇编(全国通用)(完结)
专题14新定义型问题(解析版)_2.2025数学总复习_2025年新高考资料_专项复习_2024年高考真题和模拟题数学分类汇编(全国通用)(完结)
专题14新定义型问题(解析版)_2.2025数学总复习_2025年新高考资料_专项复习_2024年高考真题和模拟题数学分类汇编(全国通用)(完结)
专题14新定义型问题(解析版)_2.2025数学总复习_2025年新高考资料_专项复习_2024年高考真题和模拟题数学分类汇编(全国通用)(完结)
专题14新定义型问题(解析版)_2.2025数学总复习_2025年新高考资料_专项复习_2024年高考真题和模拟题数学分类汇编(全国通用)(完结)
专题14新定义型问题(解析版)_2.2025数学总复习_2025年新高考资料_专项复习_2024年高考真题和模拟题数学分类汇编(全国通用)(完结)
专题14新定义型问题(解析版)_2.2025数学总复习_2025年新高考资料_专项复习_2024年高考真题和模拟题数学分类汇编(全国通用)(完结)
专题14新定义型问题(解析版)_2.2025数学总复习_2025年新高考资料_专项复习_2024年高考真题和模拟题数学分类汇编(全国通用)(完结)
专题14新定义型问题(解析版)_2.2025数学总复习_2025年新高考资料_专项复习_2024年高考真题和模拟题数学分类汇编(全国通用)(完结)
专题14新定义型问题(解析版)_2.2025数学总复习_2025年新高考资料_专项复习_2024年高考真题和模拟题数学分类汇编(全国通用)(完结)
专题14新定义型问题(解析版)_2.2025数学总复习_2025年新高考资料_专项复习_2024年高考真题和模拟题数学分类汇编(全国通用)(完结)
专题14新定义型问题(解析版)_2.2025数学总复习_2025年新高考资料_专项复习_2024年高考真题和模拟题数学分类汇编(全国通用)(完结)
专题14新定义型问题(解析版)_2.2025数学总复习_2025年新高考资料_专项复习_2024年高考真题和模拟题数学分类汇编(全国通用)(完结)
专题14新定义型问题(解析版)_2.2025数学总复习_2025年新高考资料_专项复习_2024年高考真题和模拟题数学分类汇编(全国通用)(完结)
专题14新定义型问题(解析版)_2.2025数学总复习_2025年新高考资料_专项复习_2024年高考真题和模拟题数学分类汇编(全国通用)(完结)
专题14新定义型问题(解析版)_2.2025数学总复习_2025年新高考资料_专项复习_2024年高考真题和模拟题数学分类汇编(全国通用)(完结)
专题14新定义型问题(解析版)_2.2025数学总复习_2025年新高考资料_专项复习_2024年高考真题和模拟题数学分类汇编(全国通用)(完结)
专题14新定义型问题(解析版)_2.2025数学总复习_2025年新高考资料_专项复习_2024年高考真题和模拟题数学分类汇编(全国通用)(完结)
专题14新定义型问题(解析版)_2.2025数学总复习_2025年新高考资料_专项复习_2024年高考真题和模拟题数学分类汇编(全国通用)(完结)
专题14新定义型问题(解析版)_2.2025数学总复习_2025年新高考资料_专项复习_2024年高考真题和模拟题数学分类汇编(全国通用)(完结)
专题14新定义型问题(解析版)_2.2025数学总复习_2025年新高考资料_专项复习_2024年高考真题和模拟题数学分类汇编(全国通用)(完结)
专题14新定义型问题(解析版)_2.2025数学总复习_2025年新高考资料_专项复习_2024年高考真题和模拟题数学分类汇编(全国通用)(完结)
专题14新定义型问题(解析版)_2.2025数学总复习_2025年新高考资料_专项复习_2024年高考真题和模拟题数学分类汇编(全国通用)(完结)
专题14新定义型问题(解析版)_2.2025数学总复习_2025年新高考资料_专项复习_2024年高考真题和模拟题数学分类汇编(全国通用)(完结)
专题14新定义型问题(解析版)_2.2025数学总复习_2025年新高考资料_专项复习_2024年高考真题和模拟题数学分类汇编(全国通用)(完结)
专题14新定义型问题(解析版)_2.2025数学总复习_2025年新高考资料_专项复习_2024年高考真题和模拟题数学分类汇编(全国通用)(完结)
专题14新定义型问题(解析版)_2.2025数学总复习_2025年新高考资料_专项复习_2024年高考真题和模拟题数学分类汇编(全国通用)(完结)
专题14新定义型问题(解析版)_2.2025数学总复习_2025年新高考资料_专项复习_2024年高考真题和模拟题数学分类汇编(全国通用)(完结)
专题14新定义型问题(解析版)_2.2025数学总复习_2025年新高考资料_专项复习_2024年高考真题和模拟题数学分类汇编(全国通用)(完结)
专题14新定义型问题(解析版)_2.2025数学总复习_2025年新高考资料_专项复习_2024年高考真题和模拟题数学分类汇编(全国通用)(完结)
专题14新定义型问题(解析版)_2.2025数学总复习_2025年新高考资料_专项复习_2024年高考真题和模拟题数学分类汇编(全国通用)(完结)
专题14新定义型问题(解析版)_2.2025数学总复习_2025年新高考资料_专项复习_2024年高考真题和模拟题数学分类汇编(全国通用)(完结)
专题14新定义型问题(解析版)_2.2025数学总复习_2025年新高考资料_专项复习_2024年高考真题和模拟题数学分类汇编(全国通用)(完结)
专题14新定义型问题(解析版)_2.2025数学总复习_2025年新高考资料_专项复习_2024年高考真题和模拟题数学分类汇编(全国通用)(完结)
专题14新定义型问题(解析版)_2.2025数学总复习_2025年新高考资料_专项复习_2024年高考真题和模拟题数学分类汇编(全国通用)(完结)
专题14新定义型问题(解析版)_2.2025数学总复习_2025年新高考资料_专项复习_2024年高考真题和模拟题数学分类汇编(全国通用)(完结)
专题14新定义型问题(解析版)_2.2025数学总复习_2025年新高考资料_专项复习_2024年高考真题和模拟题数学分类汇编(全国通用)(完结)
专题14新定义型问题(解析版)_2.2025数学总复习_2025年新高考资料_专项复习_2024年高考真题和模拟题数学分类汇编(全国通用)(完结)
专题14新定义型问题(解析版)_2.2025数学总复习_2025年新高考资料_专项复习_2024年高考真题和模拟题数学分类汇编(全国通用)(完结)
专题14新定义型问题(解析版)_2.2025数学总复习_2025年新高考资料_专项复习_2024年高考真题和模拟题数学分类汇编(全国通用)(完结)
专题14新定义型问题(解析版)_2.2025数学总复习_2025年新高考资料_专项复习_2024年高考真题和模拟题数学分类汇编(全国通用)(完结)
专题14新定义型问题(解析版)_2.2025数学总复习_2025年新高考资料_专项复习_2024年高考真题和模拟题数学分类汇编(全国通用)(完结)
专题14新定义型问题(解析版)_2.2025数学总复习_2025年新高考资料_专项复习_2024年高考真题和模拟题数学分类汇编(全国通用)(完结)
专题14新定义型问题(解析版)_2.2025数学总复习_2025年新高考资料_专项复习_2024年高考真题和模拟题数学分类汇编(全国通用)(完结)
专题14新定义型问题(解析版)_2.2025数学总复习_2025年新高考资料_专项复习_2024年高考真题和模拟题数学分类汇编(全国通用)(完结)

文档信息

文档格式
docx
文档大小
4.045 MB
文档页数
84 页
上传时间
2026-03-16 01:55:37

文档内容

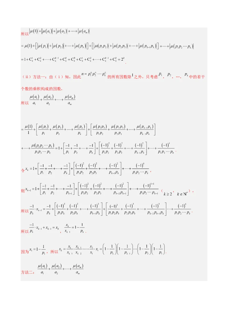
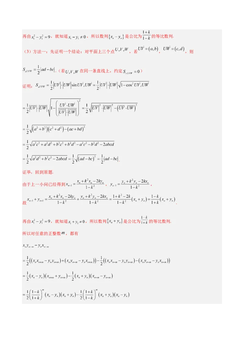
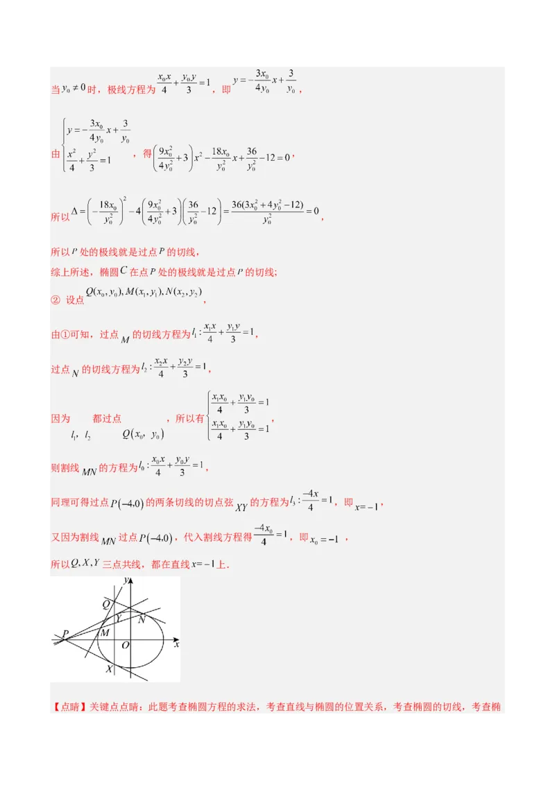
专题 14 新定义型问题 1.(新高考北京卷)生物丰富度指数 是河流水质的一个评价指标,其中 分别表示河流中的 生物种类数与生物个体总数.生物丰富度指数d越大,水质越好.如果某河流治理前后的生物种类数 没有 变化,生物个体总数由 变为 ,生物丰富度指数由 提高到 ,则( ) A. B. C. D. 【答案】D 【分析】根据题意分析可得 ,消去 即可求解. 【详解】由题意得 ,则 ,即 ,所以 . 故选:D. 2.(新高考上海卷)定义一个集合 ,集合中的元素是空间内的点集,任取 ,存在不全为0 的实数 ,使得 .已知 ,则 的充分条件是( ) A. B. C. D. 【答案】C 【分析】首先分析出三个向量共面,显然当 时,三个向量构成空间的一个基底,则即可分析出正确答案. 【详解】由题意知这三个向量 共面,即这三个向量不能构成空间的一个基底, 对A,由空间直角坐标系易知 三个向量共面,则当 无法推出 ,故A错误; 对B,由空间直角坐标系易知 三个向量共面,则当 无法推出 ,故A错误; 对C, 由空间直角坐标系易知 三个向量不共面,可构成空间的一个基底, 则由 能推出 , 对D,由空间直角坐标系易知 三个向量共面, 则当 无法推出 ,故D错误. 故选:C. 3.(新高考上海卷)已知函数 的定义域为R,定义集合 , 在使得 的所有 中,下列成立的是( ) A.存在 是偶函数 B.存在 在 处取最大值 C.存在 是严格增函数 D.存在 在 处取到极小值 【答案】B 【分析】对于ACD利用反证法并结合函数奇偶性、单调性以及极小值的概念即可判断,对于B,构造函数 即可判断.【详解】对于A,若存在 是偶函数, 取 , 则对于任意 , 而 , 矛盾, 故 A 错误; 对于B,可构造函数 满足集合 , 当 时,则 ,当 时, ,当 时, , 则该函数 的最大值是 ,则B正确; 对C,假设存在 ,使得 严格递增,则 ,与已知 矛盾,则C错误; 对D,假设存在 ,使得 在 处取极小值,则在 的左侧附近存在 ,使得 , 这与已知集合 的定义矛盾,故D错误; 故选:B. 4.(新高考上海卷)无穷等比数列 满足首项 ,记 ,若对 任意正整数 集合 是闭区间,则 的取值范围是 . 【答案】 【分析】当 时,不妨设 ,则 ,结合 为闭区间 可得 对任意的 恒成立,故可求 的取值范围. 【详解】由题设有 ,因为 ,故 ,故 , 当 时, ,故 ,此时 为闭区间, 当 时,不妨设 ,若 ,则 , 若 ,则 ,若 ,则 , 综上, , 又 为闭区间等价于 为闭区间, 而 ,故 对任意 恒成立, 故 即 ,故 , 故 对任意的 恒成立,因 , 故当 时, ,故 即 . 故答案为: . 【点睛】思路点睛:与等比数列性质有关的不等式恒成立,可利用基本量法把恒成立为转为关于与公比有 关的不等式恒成立,必要时可利用参变分离来处理. 5.(新课标全国Ⅰ卷)设m为正整数,数列 是公差不为0的等差数列,若从中删去两项 和 后剩余的 项可被平均分为 组,且每组的4个数都能构成等差数列,则称数列 是 可分数列. (1)写出所有的 , ,使数列 是 可分数列; (2)当 时,证明:数列 是 可分数列; (3)从 中一次任取两个数 和 ,记数列 是 可分数列的概率为 ,证 明: . 【答案】(1) (2)证明见解析(3)证明见解析 【分析】(1)直接根据 可分数列的定义即可; (2)根据 可分数列的定义即可验证结论; (3)证明使得原数列是 可分数列的 至少有 个,再使用概率的定义. 【详解】(1)首先,我们设数列 的公差为 ,则 . 由于一个数列同时加上一个数或者乘以一个非零数后是等差数列,当且仅当该数列是等差数列, 故我们可以对该数列进行适当的变形 , 得到新数列 ,然后对 进行相应的讨论即可. 换言之,我们可以不妨设 ,此后的讨论均建立在该假设下进行. 回到原题,第1小问相当于从 中取出两个数 和 ,使得剩下四个数是等差数列. 那么剩下四个数只可能是 ,或 ,或 . 所以所有可能的 就是 . (2)由于从数列 中取出 和 后,剩余的 个数可以分为以下两个部分,共 组,使得每 组成等差数列: ① ,共 组; ② ,共 组. (如果 ,则忽略②) 故数列 是 可分数列. (3)定义集合 ,. 下面证明,对 ,如果下面两个命题同时成立, 则数列 一定是 可分数列: 命题1: 或 ; 命题2: . 我们分两种情况证明这个结论. 第一种情况:如果 ,且 . 此时设 , , . 则由 可知 ,即 ,故 . 此时,由于从数列 中取出 和 后, 剩余的 个数可以分为以下三个部分,共 组,使得每组成等差数列: ① ,共 组; ② ,共 组; ③ ,共 组. (如果某一部分的组数为 ,则忽略之) 故此时数列 是 可分数列. 第二种情况:如果 ,且 . 此时设 , , . 则由 可知 ,即 ,故 . 由于 ,故 ,从而 ,这就意味着 .此时,由于从数列 中取出 和 后,剩余的 个数可以分为以下四个部分, 共 组,使得每组成等差数列: ① ,共 组; ② , ,共 组; ③全体 ,其中 ,共 组; ④ ,共 组. (如果某一部分的组数为 ,则忽略之) 这里对②和③进行一下解释:将③中的每一组作为一个横排,排成一个包含 个行, 个列的数表 以后, 个列分别是下面这些数: , , , . 可以看出每列都是连续的若干个整数,它们再取并以后,将取遍 中除开五个集合 , , , , 中的十个元素以外的所有数. 而这十个数中,除开已经去掉的 和 以外,剩余的八个数恰好就是②中出现的八个数. 这就说明我们给出的分组方式满足要求,故此时数列 是 可分数列. 至此,我们证明了:对 ,如果前述命题1和命题2同时成立,则数列 一定是 可分数列.然后我们来考虑这样的 的个数. 首先,由于 , 和 各有 个元素,故满足命题1的 总共有 个; 而如果 ,假设 ,则可设 , ,代入得 . 但这导致 ,矛盾,所以 . 设 , , ,则 ,即 . 所以可能的 恰好就是 ,对应的 分别是 ,总 共 个. 所以这 个满足命题1的 中,不满足命题2的恰好有 个. 这就得到同时满足命题1和命题2的 的个数为 . 当我们从 中一次任取两个数 和 时,总的选取方式的个数等于 . 而根据之前的结论,使得数列 是 可分数列的 至少有 个. 所以数列 是 可分数列的概率 一定满足 . 这就证明了结论. 【点睛】关键点点睛:本题的关键在于对新定义数列的理解,只有理解了定义,方可使用定义验证或探究 结论. 6.(新课标全国Ⅱ卷)已知双曲线 ,点 在 上, 为常数, .按照如下方式依次构造点 ,过 作斜率为 的直线与 的左支交于点 ,令 为 关于 轴 的对称点,记 的坐标为 . (1)若 ,求 ; (2)证明:数列 是公比为 的等比数列; (3)设 为 的面积,证明:对任意的正整数 , . 【答案】(1) , (2)证明见解析 (3)证明见解析 【分析】(1)直接根据题目中的构造方式计算出 的坐标即可; (2)根据等比数列的定义即可验证结论; (3)思路一:使用平面向量数量积和等比数列工具,证明 的取值为与 无关的定值即可.思路二:使用 等差数列工具,证明 的取值为与 无关的定值即可. 【详解】(1) 由已知有 ,故 的方程为 . 当 时,过 且斜率为 的直线为 ,与 联立得到 .解得 或 ,所以该直线与 的不同于 的交点为 ,该点显然在 的左支上. 故 ,从而 , . (2)由于过 且斜率为 的直线为 ,与 联立,得到方程 . 展开即得 ,由于 已经是直线 和 的公共点,故方程必有一根 . 从而根据韦达定理,另一根 ,相应的 . 所以该直线与 的不同于 的交点为 ,而注意到 的横坐标亦可通过 韦达定理表示为 ,故 一定在 的左支上. 所以 . 这就得到 , . 所以 .再由 ,就知道 ,所以数列 是公比为 的等比数列. (3)方法一:先证明一个结论:对平面上三个点 ,若 , ,则 .(若 在同一条直线上,约定 ) 证明: . 证毕,回到原题. 由于上一小问已经得到 , , 故 . 再由 ,就知道 ,所以数列 是公比为 的等比数列. 所以对任意的正整数 ,都有. 而又有 , , 故利用前面已经证明的结论即得 . 这就表明 的取值是与 无关的定值,所以 . 方法二:由于上一小问已经得到 , , 故 . 再由 ,就知道 ,所以数列 是公比为 的等比数列. 所以对任意的正整数 ,都有. 这就得到 , 以及 . 两式相减,即得 . 移项得到 . 故 . 而 , . 所以 和 平行,这就得到 ,即 . 【点睛】关键点点睛:本题的关键在于将解析几何和数列知识的结合,需要综合运用多方面知识方可得解. 7.(新高考北京卷)设集合 .对于给定 有穷数列 ,及序列 , ,定义变换 :将数列 的第 项加1,得到数列 ;将数列 的第 列加 ,得到数列 …;重复上述操作, 得到数列 ,记为 . (1)给定数列 和序列 ,写出 ; (2)是否存在序列 ,使得 为 ,若存在,写出一个符 合条件的 ;若不存在,请说明理由;(3)若数列 的各项均为正整数,且 为偶数,证明:“存在序列 ,使得 为常数列”的 充要条件为“ ”. 【答案】(1) (2)不存在符合条件的 ,理由见解析 (3)证明见解析 【分析】(1)直接按照 的定义写出 即可; (2)利用反证法,假设存在符合条件的 ,由此列出方程组,进一步说明方程组无解即可; (3)分充分性和必要性两方面论证. 【详解】(1)由题意得 ; (2)假设存在符合条件的 ,可知 的第 项之和为 ,第 项之和为 , 则 ,而该方程组无解,故假设不成立, 故不存在符合条件的 ; (3)我们设序列 为 ,特别规定 . 必要性: 若存在序列 ,使得 为常数列. 则 ,所以 . 根据 的定义,显然有 ,这里 , . 所以不断使用该式就得到, ,必要性得证. 充分性: 若 .由已知, 为偶数,而 ,所以 也是偶数. 我们设 是通过合法的序列 的变换能得到的所有可能的数列 中,使得 最小的一个. 上面已经证明 ,这里 , . 从而由 可得 . 同时,由于 总是偶数,所以 和 的奇偶性保持不变,从 而 和 都是偶数. 下面证明不存在 使得 . 假设存在,根据对称性,不妨设 , ,即 . 情况1:若 ,则由 和 都是偶数,知 . 对该数列连续作四次变换 后,新的 相比原来的 减少 ,这与 的最小 性矛盾; 情况2:若 ,不妨设 .情况2-1:如果 ,则对该数列连续作两次变换 后,新的 相比原来的 至少减少 ,这与 的 最小性矛盾; 情况2-2:如果 ,则对该数列连续作两次变换 后,新的 相比原来的 至少减少 ,这与 的 最小性矛盾. 这就说明无论如何都会导致矛盾,所以对任意的 都有 . 假设存在 使得 ,则 是奇数,所以 都是奇数,设为 . 则此时对任意 ,由 可知必有 . 而 和 都是偶数,故集合 中的四个元素 之和为偶数, 对该数列进行一次变换 ,则该数列成为常数列,新的 等于零,比原来的 更小,这与 的最小性 矛盾.综上,只可能 ,而 ,故 是常数列,充分性得证. 【点睛】关键点点睛:本题第三问的关键在于对新定义的理解,以及对其本质的分析. 8.(新高考上海卷)对于一个函数 和一个点 ,令 ,若 是 取到最小值的点,则称 是 在 的“最近点”. (1)对于 ,求证:对于点 ,存在点 ,使得点 是 在 的“最近点”; (2)对于 ,请判断是否存在一个点 ,它是 在 的“最近点”,且直线 与 在点 处的切线垂直; (3)已知 在定义域R上存在导函数 ,且函数 在定义域R上恒正,设点 , .若对任意的 ,存在点 同时是 在 的“最近 点”,试判断 的单调性. 【答案】(1)证明见解析 (2)存在, (3)严格单调递减 【分析】(1)代入 ,利用基本不等式即可; (2)由题得 ,利用导函数得到其最小值,则得到 ,再证明直线 与切线垂直即可; (3)根据题意得到 ,对两等式化简得 ,再利用“最近点”的定义得到不 等式组,即可证明 ,最后得到函数单调性.【详解】(1)当 时, , 当且仅当 即 时取等号, 故对于点 ,存在点 ,使得该点是 在 的“最近点”. (2)由题设可得 , 则 ,因为 均为 上单调递增函数, 则 在 上为严格增函数, 而 ,故当 时, ,当 时, , 故 ,此时 , 而 ,故 在点 处的切线方程为 . 而 ,故 ,故直线 与 在点 处的切线垂直. (3)设 , , 而 , , 若对任意的 ,存在点 同时是 在 的“最近点”, 设 ,则 既是 的最小值点,也是 的最小值点, 因为两函数的定义域均为 ,则 也是两函数的极小值点, 则存在 ,使得 ,即 ① ② 由①②相等得 ,即 , 即 ,又因为函数 在定义域R上恒正, 则 恒成立, 接下来证明 , 因为 既是 的最小值点,也是 的最小值点, 则 , 即 ,③ ,④ ③ ④得 即 ,因为 则 ,解得 , 则 恒成立,因为 的任意性,则 严格单调递减. 【点睛】关键点点睛:本题第三问的关键是结合最值点和极小值的定义得到 ,再利用最值 点定义得到 即可.一、单选题 1.(2024·湖南怀化·二模)给定整数 ,有 个实数元素的集合 ,定义其相伴数集 ,如果 ,则称集合 为一个 元规范数集.(注: 表示数集 中的最小数).对于集合 ,则( ) A. 是规范数集, 不是规范数集 B. 是规范数集, 是规范数集 C. 不是规范数集, 是规范数集 D. 不是规范数集, 不是规范数集 【答案】C 【分析】利用规范数集的定义,逐项判断即可得解. 【详解】集合 中, ,则 , 即 的相伴数集中的最小数不是1,因此 不是规范数集; 集合 , , , 即 的相伴数集中的最小数是1,因此 是规范数集. 故选:C 2.(2024·四川绵阳·模拟预测)一般地,任意给定一个角 ,它的终边 与单位圆的交点 的坐标, 无论是横坐标 还是纵坐标 ,都是唯一确定的,所以点 的横坐标 、纵坐标 都是关于角 的函数.下 面给出这些函数的定义: ①把点 的纵坐标 叫作 的正弦函数,记作 ,即 ; ②把点 的横坐标 叫作 的余弦函数,记作 ,即 ; ③把点 的纵坐标 的倒数叫作 的余割函数,记作 ,即 ; ④把点 的横坐标 的倒数叫作 的正割函数,记作 ,即 . 下列结论错误的是( )A. B. C.函数 的定义域为 D. 【答案】C 【分析】根据定义可判断A;利用定义转化为余弦求解可判断B;转化为余弦表示,根据分母不为0求解 可判断C;转化为正弦和余弦,利用平方关系和二倍角公式化简,由正弦函数性质可判断D. 【详解】由题知, , 对于A, ,A正确; 对于B, ,B正确; 对于C,函数 ,由 得 所以 的定义域为 ,C错误; 对于D, , 当 时,等号成立,D正确. 故选:C.3.(2024·河北邯郸·二模)对任意两个非零的平面向量 和 ,定义: , .若 平面向量 满足 ,且 和 都在集合 中,则 ( ) A.1 B. C.1或 D.1或 【答案】D 【分析】根据 ,得到 ,再利用题设中的定义及向量夹角的范围,得到 , ,再结合条件,即可求出结果. 【详解】因为 , 设向量 和 的夹角为 ,因为 ,所以 , 得到 , 又 ,所以 , 又 在集合 中,所以 ,即 ,得到 , 又因为 ,所以 或 , 所以 或 , 故选:D. 4.(2024·上海杨浦·二模)平面上的向量 、 满足: , , .定义该平面上的向量集合 .给出如下两个结论: ①对任意 ,存在该平面的向量 ,满足②对任意 ,存在该平面向量 ,满足 则下面判断正确的为( ) A.①正确,②错误 B.①错误,②正确 C.①正确,②正确 D.①错误, ②错误 【答案】C 【分析】根据给定条件,令 , ,设 ,利用向量模及数量积的坐标表示探求 的关系,再借助平行线间距离分析判断得解. 【详解】由 , , ,不妨令 , ,设 , ,得 ,而 , , 则 ,整理得 ,由 ,得 , 平行直线 和 间的距离为 , 到直线 和直线 距离相等的点到这两条直线的距离为 , 如图,阴影部分表示的区域为集合 ,因此无论 是否属于 ,都有 , 所以命题①②都正确. 故选:C 【点睛】思路点睛:已知几个向量的模,探求向量问题,可以在平面直角坐标系中,借助向量的坐标表示, 利用代数方法解决. 5.(2024·甘肃兰州·一模)球面上两点间距离的定义为:经过球面上两点的大圆在这两点间劣弧的长度 (大圆就是经过球心的平面截球面所得的圆).设地球的半径为 ,若甲地位于北纬 东经 ,乙地位于北纬 西经 ,则甲、乙两地的球面距离为( ) A. B. C. D. 【答案】C 【分析】分析甲、乙两地的球心角,即可得解. 【详解】甲、乙两地在北纬 线上,所对圆心角为 , 即甲、乙两地在北纬 线所在小圆的直径的两端,且小圆的半径 , 则 ,所以甲、乙两地的球心角为 , 故甲、乙两地的球面距离为 . 故选:C. 二、多选题 6.(2024·安徽芜湖·二模)在平面直角坐标系xOy中,角θ以坐标原点O为顶点,以x轴的非负半轴为始 边,其终边经过点 , ,定义 , ,则( ) A. B. C.若 ,则 D. 是周期函数 【答案】ACD 【分析】根据题意分别求出 , ,则 , ,从而 可对A判断求解,利用换元法令 可对B判断求解,由 求出 ,并结合 从而可对C判断求解,由可对D判断求解. 【详解】由题意得 在角 的终边上,且 ,所以 , , 则 , , 对A: ,故A正确; 对B: ,令 , 所以 ,故B错误; 对C: ,解得 , 又由 ,故C正确; 对D: ,因为 为周期函数,故D 正确. 故选:ACD. 7.(2024·全国·模拟预测)已知函数 和实数 , ,则下列说法正确的是( ) A.定义在 上的函数 恒有 ,则当 时,函数的图象有对称轴 B.定义在 上的函数 恒有 ,则当 时,函数具有周期性 C.若 , , ,则 , 恒成立 D.若 , , ,且 的4个不同的零点分别为 ,且,则 【答案】ACD 【分析】根据函数的对称性和周期性可分别判断AB;求出 时的解析式,然后根据自变量范围代入相 应表达式解不等式即可判断C;将问题转化为直线 与函数 有四个交点,结 合图象求得四根的关系即可判断D. 【详解】对于A,若 ,则 , 所以函数 的图象的对称轴为直线 ,故A正确. 对于B,当 时, . 若 ,则 ,函数不具有周期性,故B错误. 对于C,若 , ,则 , 当 时, , 则 , 即当 时, . 当 时, , 所以 ,所以 恒成立,C正确.对于D,当 时, ,则 , 令 , 作出函数 的图象和直线 ,如图. 要使 有4个不同的零点,则函数 的图象与直线 有4个不同的交点. 又 ,则 , 所以 , , 所以 , , 则 , 所以 ,D正确. 故选:ACD. 【点睛】思路点睛:关于函数零点个数的有关问题,一般转化为两个函数图象交点问题,利用函数图象分 析求解即可. 8.(2024·浙江绍兴·模拟预测)对于任意的两点 , ,定义 间的折线距离 ,反折线距离 , 表示坐标原点. 下列说法正确的是( ) A. .B.若 ,则 . C.若 斜率为 , . D.若存在四个点 使得 ,且 ,则 的取值范围 . 【答案】ABD 【分析】对于A,直接使用绝对值不等式即可证明;对于B,在使用绝对值不等式的同时考虑到绝对值不 等式取等的条件(即 , , 两两等价,对两个不等式两边同时平方即得结 论),即可判断;对于C,举出一个反例即可否定;对于D,先将问题转化为方程组的解的个数问题,然 后利用解析几何工具直观理解,猜出答案,最后再严格论证结果即可. 【详解】对于A,设 ,我们有 , 故A正确; 对于B,若 ,则 , 这意味着 . 从而由 ,知 , 即 ,所以 . 故 .而 . 故 . 从而由 ,知 ,故B正确; 对于C,考虑 , ,此时 ,所以 . 但 ,故C错误; 对于D,条件等价于关于 的方程组 ,即 有四个解. 如下图所示,该方程组可以直观地理解为正方形 和圆 有四个公共点,直观的理解即 为圆 与矩形上方的两条边所在的直线均相交, 且交点都在边的内部,而当 时,圆与上方的两条边相切, 当 时,圆与上方的边的交点恰落在端点上,故可猜测取值范围是 , 下面再使用二次方程工具严格证明此结论(也可以使用距离公式等其它方法证明). 若 满足原方程组,则 ,故 . 而 , 故 ,同时还有 .由于当 确定后, 只有唯一可能的取值 ,而方程组有四个解, 所以使得相应的 存在的 至少有四个. 根据前面的讨论,这样的 必满足 ,且 , 所以方程 必定在 上有四个解. 这表明关于 的方程 在 上一定有两个解, 所以首先有判别式为正数,结合 , 就有 . 同时,由于两根都在 内,故两根乘积为正数,故 ,即 . 这就证明了 . 最后,当 时,原方程组的确存在四组不同的解: , , , . 所以 的取值范围是 ,D正确. 故选:ABD. 三、填空题9.(2024·湖南长沙·三模)已知函数 ,任取 ,定义集合 ,点 满足 . 设 分别表示集合 中元素的最大值和最小值,记 ,试解答 以下问题: (1)若函数 ,则 ; (2)若函数 ,则 的最小正周期为 . 【答案】 1 2 【分析】(1)把 代入,然后计算 的最大值和最小值即可. (2)先表示出 ,然后根据 的位置分类分析 的值. 【详解】对于 ,因为函数 ,当 时, 且 , 即 ,令 ,即 ,解得 , 所以 ,所以 ; 对于 ,如图所示,若函数 ,此时,函数的最小正周期为 , 点 , 当点 在 点时,点 在曲线 上, ; 当点 在曲线上从 接近 时, 逐渐增大,当点 在 点时, ; 当点 在曲线上从 接近 时, 逐渐减小,当点 在 点时, , ;当点 在曲线上从 接近 时, 逐渐 增大,当点 在 点时, , 当点 在曲线上从 接近 时, 逐渐 减小,当点 在 点时, , ; 依此类推,发现 的最小正周期为 2 , 故答案为:(1)1;(2)2. 10.(2024·四川成都·模拟预测)定义在封闭的平面区域D内任意两点的距离的最大值称为平面区域D的 “直径”.如图,已知锐角三角形的三个顶点A,B,C在半径为1的圆上,角的对边分别为a,b,c, .分别以 各边为直径向外作三个半圆,这三个半圆和 构成平面区域D,则平面区域D的 “直径”的取值范围是 . 【答案】 【分析】(1)根据给定条件,利用正弦定理边化角,结合和角的正弦公式求出 ;(2)利用向量线性运算,结合向量的三角不等式求出区域D的“直径”关系式,再利用三角恒等变换结 合正弦函数性质求出范围即得. 【详解】如图,F,G是AC,BC的中点,E,F,G,H四点共线, 设P,Q分别为 、 上任意一点, , , 即PQ的长小于等于 周长的一半,当PQ与HE重合时取等, 同理,三个半圆上任意两点的距离最大值等于 周长的一半,因此区域D的“直径”为 的周长l 的一半, 由正弦定理得: , , , 则 . 由 为锐角三角形,得 ,即 , 则 , ,于是 , 所以平面区域D的“直径”的取值范围是 .故答案为: . 11.(2024·广东佛山·二模)近年,我国短板农机装备取得突破,科技和装备支撑稳步增强,现代农业建 设扎实推进.农用机械中常见有控制设备周期性开闭的装置.如图所示,单位圆O绕圆心做逆时针匀速圆周 运动,角速度大小为 ,圆上两点A,B始终满足 ,随着圆O的旋转,A,B两点的位置 关系呈现周期性变化.现定义:A,B两点的竖直距离为A,B两点相对于水平面的高度差的绝对值.假设运 动开始时刻,即 秒时,点A位于圆心正下方:则 秒时,A,B两点的竖直距离第一次为0; A,B两点的竖直距离关于时间t的函数解析式为 . 【答案】 【分析】以O为原点,以OA所在直线为y轴建立平面直角坐标系,利用三角函数定义表示点 的坐标, 由已知结合和角的正弦公式化简即得. 【详解】以O为原点,以OA所在直线为y轴,建立平面直角坐标系,由于角速 , 设点 ,圆上两点A、B始终保持 , 则 ,要使A、B两点的竖直距高为0, 则 ,第一次为0时, ,解得 , . 故答案为: ;【点睛】关键点点睛:涉及三角函数实际应用问题,探求动点坐标,找出该点所在射线为终边对应的角是 关键,特别注意,始边是x轴非负半轴. 12.(2024·山东枣庄·模拟预测)设 为平面上两点,定义 、已 知点P为抛物线 上一动点,点 的最小值为2,则 ;若斜率为 的直线l过点Q,点M是直线l上一动点,则 的最小值为 . 【答案】 2 【分析】利用定义结合二次函数求最值计算即可得第一空,过 作 并构造直角三角形,根据 的定义化折为直,结合直线与抛物线的位置关系计算即可. 【详解】设 ,则 , ,即 , 时取得最小值; 易知 , ,联立有 , 显然无解,即直线与抛物线无交点,如下图所示, 过 作 交l于N,过 作 , 则 ( 重合时取得等号), 设 ,则 ,所以 ,故答案为:2, 【点睛】思路点睛:对于曼哈顿距离的新定义问题可以利用化折为直的思想,数形结合再根据二次函数的 性质计算最值即可. 13.(2024·福建厦门·模拟预测)在n维空间中( , ),以单位长度为边长的“立方体”的顶点 坐标可表示为n维坐标 ,其中 .则5维“立方体”的顶点个数是 ; 定义:在n维空间中两点 与 的曼哈顿距离为 .在5维 “立方体”的顶点中任取两个不同的顶点,记随机变量X为所取两点间的曼哈顿距离,则 . 【答案】 32 【分析】第一空由题意根据分步乘法原理,求解即可;第二空先确定样本点总数,再得到 的可能取值, 求出概率 ,列出分布列,求出期望. 【详解】(1) 的可能值为0,1( , ).故五维立方体的顶点有 个. (2)依题意,样本空间的样本点记为 ,M,N为五维立方体的顶点 样本点总数: 当 时,有k个第i维坐标值不同,有 个第i维坐标值相同. 满足 的样本点 个数为 .所以 . 故分布列为: X 1 2 3 4 5 P . 故答案为:32; . 【点睛】关键点点睛:本题第二空关键在于确定当 时,有k个第i维坐标值不同,有 个第i维坐 标值相同,再由 求出概率. 四、解答题 14.(2024·福建泉州·二模)进位制是人们为了计数和运算方便而约定的记数系统,如果约定满二进一, 就是二进制:满十进一,就是十进制:满十六进一,就是十六进制.k进制的基数就是k.我们日常生活中 最熟悉、最常用的就是十进制.例如,数3721也可以表示为: 一般地, 如果k是大于1的整数,那么以k为基数的k进制数可以表示为 .其 中 .为了简便,也会把它写成一串数字连写在一起的形式: ,如果不加下标就默认是十进制. (1)令集合 ,将B中的元素按从大到小的顺序排列, 则第100个数为多少?(2)若 ,记 为整数n的二进制表达式中0的个数,如 ,求 的值. (用数字作答) (3)十进制中的数999在其他进制中是否也可以表示成一个各位数字之和为27的三位数?如果能,请求出 所有的k进制数;如果不能,请说明理由. 【答案】(1) (2)129 (3)能, . 【分析】(1)将集合B中的元素都乘以 ,得集合中的最大数,可得从大到小的顺序排列的第100个数, 再除以 即可. (2)从 到 中,对应的二进制数从 到 中,最多六位数.最高位只能是1,结合数位 讨论 的值和个数,可求 的值. (3)由 且 ,得 ,又 , 符合条件的 有 三个值可取,计算出对应的 即可. 【详解】(1)将集合B中的元素都乘以 , 得集合 ,则 中的最大数为 . 在10进制中,从624起从大到小排列的第100个数是 ,这就是 中的元素按从大到小顺序 排列的第100个数, 所以B中的元素按从大到小的顺序排列,第100个数为 . (2) , .∴从 到 中,对应的二进制数从 到 中,最多六位数.最高位只能是1, ∴0的个数只能是1个,2个,3个,4个,5个, 或 或 或 或 或 , 有 共6个; 有 个; 有 个; 有 个; 有 个; 有 个. . (3)假设存在这样的k进制数 , 则 , , ①要想使 且 ,∴x,y,z中必有大于9的数,则 ; ② , 综上, , 所以, k x y z ① 12 81 13 5 11 11 ② 18 54 19 2 14 11 ③ 27 36 28 1 7 19综上可知,满足题意的k进制数有3个,分别为: . 【点睛】方法点睛: 在实际解决“新定义”问题时,关键是正确提取新定义中的新概念、新公式、新性质、新模式等信息,确 定新定义的名称或符号、概念、法则等,并进行信息再加工,寻求相近知识点,明确它们的共同点和不同 点,探求解决方法,在此基础上进行知识转换,有效输出,合理归纳,结合相关的数学技巧与方法来分析 与解决! 15.(2024·湖南长沙·二模)集合论在离散数学中有着非常重要的地位.对于非空集合 和 ,定义和集 ,用符号 表示和集 内的元素个数. (1)已知集合 , , ,若 ,求 的值; (2)记集合 , , , 为 中所有元素之和, ,求 证: ; (3)若 与 都是由 个整数构成的集合,且 ,证明:若按一定顺序排列, 集合 与 中的元素是两个公差相等的等差数列. 【答案】(1) (2)证明见解析 (3)证明见解析 【分析】(1)根据新定义求出 ,则 , , 且 ,即可求解; (2)由新定义可得 ,结合等差数列前n项求和公式计算可得 ,利用裂项相消法计算即可证明; (3)设集合 , ( , ),则,进而 ,结合放缩法计算可得 、 ,即可证明. 【详解】(1)由题: , 所以 , , 且 , 从而 , , ,故 . (2)若 , , , ,使 ,其中 , , , , 则 ,故 , . , , . (3)设集合 , ,其中 , . 则 , 这里共 个不同元素,又 ,所以上面为和集 中的所有元素. 又 , 这里共 个不同元素,也为合集 中的所有元素, 所以有 ,即 . 一般地,由 , ,可得 ,即 . 同理可得 ,得证. 【点睛】方法点睛:学生在理解相关新概念、新法则(公式)之后,运用学过的知识,结合已掌握的技能, 通过推理、运算等解决问题.在新环境下研究“旧”性质.主要是将新性质应用在“旧”性质上,创造性地 证明更新的性质,落脚点仍然是数列的有关性质或求和. 16.(2024·辽宁葫芦岛·二模)设数阵 ,其中 .设 ,其中 , 且 .定义变换 为“对于数阵的每一列, 若其中有t或 ,则将这一列中所有数均保持不变;若其中没有t且没有 ,则这一列中每个数都乘以 ”( ), 表示“将 经过 变换得到 ,再将 经过 变换得到 ,…, 以此类推,最后将 经过 变换得到 .记数阵 中四个数的和为 . (1)若 , ,写出 经过 变换后得到的数阵 ,并求 的值; (2)若 , ,求 的所有可能取值的和; (3)对任意确定的一个数阵 ,证明: 的所有可能取值的和不大于 . 【答案】(1) ,0 (2)40 (3)证明见解析 【分析】(1)直接由变换 以及 的定义即可求解; (2)对集合 分类讨论,进而得出 的所有情况即可求解;(3)分 是否相等进行讨论,当 ,在 的所有非空子集中,分:含有 且不含 的子集、含有 且不含 的子集、同时含有 和 的子集和不含 也不含 的子集,四种情况进行讨 论,当 ,分含有 的子集和不含有 的子集两种情况讨论即可求解. 【详解】(1)因为 , , 经过 变换得到的数阵 , 经过 变换得到的数阵 , 所以 . (2)若 ,则 或 , 可得 ,4种情况; 若 或 , ,则 , 可得 ,4种情况; 若 ,从 和 中各取出一个元素a,b, , , ,则 , 可得 ,8种; 若 , ,则 或 ,可得 ,4种情况; 综上, 的所有可能取值的和 ; (3)若 ,在 的所有非空子集中, ①含有 且不含 的子集共 个, 其中含有奇数个元素的集合有8个,经过变换后第一列均仍为 , ; 其中含有偶数个元素的集合有8个,经过变换后第一列均变为 , ; ②含有 且不含 的子集共 个, 其中含有奇数个元素的集合有8个,经过变换后第一列均仍为 , ; 其中含有偶数个元素的集合有8个,经过变换后第一列均变为 , ; ③同时含有 和 的子集共 个, 其中含有奇数个元素的集合有8个,经过变换后第一列均变为 , ; 其中含有偶数个元素的集合有8个,经过变换后第一列均仍为 , ; ④不含 也不含 的子集共 个, 其中含有奇数个元素的集合有8个,经过变换后第一列均变为 , ; 其中含有偶数个元素的集合有7个,经过变换后第一列均变为 , ; 若 ,在 的所有非空子集中, ①含有 的子集共 个, 其中含有奇数个元素的集合有16个,经过变换后第一列均变为 , ;其中含有偶数个元素的集合有16个,经过变换后第一列均仍为 , ; ②不含 的子集共 个, 其中含有奇数个元素的集合有16个,经过变换后第一列均变为 , ; 其中含有偶数个元素的集合有15个,经过变换后第一列均仍为 , ; 综上,经过变换后,所有 的第一列数的和为 同理,经过变换后所有 的第二列数的和为 . 所以 的所有可能取值的和为 , 又因为 ,所以 的所有可能取值的和不超过 . 【点睛】关键点点睛:第三问的关键是要做到有序讨论,从而可以做到不重不漏,由此即可顺利得解. 17.(2024·浙江·三模)莫比乌斯函数,由德国数学家和天文学家莫比乌斯提出,数学家梅滕斯首先使用 作为莫比乌斯函数的记号,其在数论中有着广泛应用.所有大于1的正整数 都可以被唯一表示为有限 个质数的乘积形式: ( 为 的质因数个数, 为质数, , ),例如: ,对应 , , , , , , .现对任意 ,定义莫比乌 斯函数 . (1)求 , ; (2)已知 ,记 ( 为 的质因数个数, 为质数, , )的所有因数从小到大依次为 , ,…, . (ⅰ)证明: ; (ⅱ)求 的值(用 ( )表示). 【答案】(1) , (2)(ⅰ)证明见解析;(ⅱ) 【分析】(1)由 , ,根据所给定义计算可得; (2)(ⅰ)依题意只考虑 , ,…, 中的若干个数的乘积构成的因数,从 个质数中任选 个数的乘积一共有 种结果,再由组合数公式计算可得; (ⅱ)由(ⅰ)分析可知,因此 的所有因数除 之外,只考虑 , ,…, 中的若干个 数的乘积构成的因数,即可推导出 ,最后利用累乘法计算可得. 【详解】(1)因为 ,因为 的指数 ,所以 ; 又 ,易知 , , , , , 所以 ; (2)(ⅰ) 的因数中如有平方数,根据莫比乌斯函数的定义, , 因此 的所有因数除 之外,只考虑 , ,…, 中的若干个数的乘积构成的因数, 从 个质数中任选 个数的乘积一共有 种结果,所以 . (ⅱ)方法一:由(ⅰ)知,因此 的所有因数除 之外,只考虑 , ,…, 中的若干 个数的乘积构成的因数, 所以 . 令 , 则 ( , ), 所以 . 所以 , . 因为 ,所以 . 方法二:. 由展开式原理可知, 的展开式即为上式所求. 【点睛】关键点点睛:本题关键是理解题干所给定义,得到 的所有因数除 之外,只考虑 , ,…, 中的若干个数的乘积构成的因数. 18.(2024·山东济南·三模)高斯二项式定理广泛应用于数学物理交叉领域.设 , ,记 , ,并规定 .记 ,并规定 .定义 (1)若 ,求 和 ; (2)求 ; (3)证明: . 【答案】(1) ,(2) , . (3)证明见解析 【分析】(1)结合新定义,分别带入计算即可得; (2)结合新定义,分 及 进行计算即可得; (3)令 ,可得 , ,即可得再分 且 与 进行计 算即可得. 【详解】(1)若 , , 而 ; (2)当 时, . 当 时,由 , 可得 . 因此 , ; (3)要证 ,只需证 , 令 , 一方面, , 另一方面, , 当 且 时,由于 , 比较两式中 的系数可得 , 则 , 由 可知 , 当 时,由 , 可知: , 此时命题也成立. 当 时, 也成立. 综上所述, . 【点睛】思路点睛:关于新定义题的思路有: (1)找出新定义的几个要素,找出要素分别代表什么意思; (2)由已知条件,看所求的是什么问题,进行分析,转换成数学语言; (3)将已知条件代入新定义中;(4)结合数学知识进行解答. 19.(2024·湖北黄冈·二模)第二十五届中国国际高新技术成果交易会(简称“高交会”)在深圳闭幕.会 展展出了国产全球首架电动垂直起降载人飞碟.观察它的外观造型,我们会被其优美的曲线折服.现代产品 外观特别讲究线条感,为此我们需要刻画曲线的弯曲程度.考察如图所示的光滑曲线 上的曲线 段 ,其弧长为 ,当动点从 沿曲线段 运动到 点时, 点的切线 也随着转动到 点的切线 , 记这两条切线之间的夹角为 (它等于 的倾斜角与 的倾斜角之差).显然,当弧长固定时,夹角越大, 曲线的弯曲程度就越大;当夹角固定时,弧长越小则弯曲程度越大,因此可以定义 为曲线段 的平均曲率;显然当 越接近 ,即 越小, 就越能精确刻画曲线 在点 处的弯曲程度,因此定义 (若极限存在)为曲线 在点 处的曲率.(其中 , 分别表示 在点 处的一阶、二阶导数) (1)已知抛物线 的焦点到准线的距离为3,则在该抛物线上点 处的曲率是多少? (2)若函数 ,不等式 对于 恒成立,求 的取值范围; (3)若动点 的切线沿曲线 运动至点 处的切线,点 的切线与 轴的交点为 .若 , , 是数列 的前 项和,证明 .【答案】(1) (2) (3)证明见解析 【分析】(1)首先根据已知条件求出 的值,再分别求出函数的一阶导数和二阶导数,代入公式求解即 可; (2)根据 的奇偶性和单调性得到 ,根据 , 的奇偶 性和 得到在 处三角函数 的曲率不大于曲线 的曲率,代入公式求解即可; (3)首先求出在 处的切线方程,进而得到 与 之间的关系,构造函数 得到数 列 是等比数列,根据 的通项公式得到 和 ,适当放缩得到 ,进而得到 . 【详解】(1) 抛物线 的焦点到准线的距离为3, , 即抛物线方程为 ,即 ,则 , , 又抛物线在点 处的曲率,则 , 即在该抛物线上点 处的曲率为 ; (2) , 在 上为奇函数,又 在 上为减函数.对于 恒成立等价于 对于 恒成立. 又因为两个函数都是偶函数, 记 , ,则曲线 恒在曲线 上方, , ,又因为 , 所以在 处三角函数 的曲率不大于曲线 的曲率,即 , 又因为 , , , ,所以 ,解得: , 因此, 的取值范围为 ; (3)由题可得 , 所以曲线 在点 处的切线方程是 , 即 , 令 ,得 ,即 , 显然 , , 由 ,知 ,同理 , 故 ,从而 , 设 ,即 ,所以数列 是等比数列,故 ,即 ,从而 , 所以 , , , 当 时,显然 ; 当 时, , , 综上, . 【点睛】关键点点睛:本题的关键点之一在于理解所给新定义平均曲率,利用新定义解决函数恒成立问题; 关键点之二在于新定义平均曲率与数列结合,通过切线方程转化为数列相邻项之间的关系,再构造新数列 求出通项公式,最后适当放缩求数列的前 项和. 20.(2024·重庆·模拟预测)对于数列 ,定义 ,满足 ,记 ,称 为由数列 生成的“ 函 数”. (1)试写出“ 函数” ,并求 的值; (2)若“ 函数” ,求n的最大值; (3)记函数 ,其导函数为 ,证明:“ 函数”. 【答案】(1) , (2)5 (3)证明见解析 【分析】结合新定义可得 ,结合等差数列及叠加法可求得 ; (1)代入 即可求解;(2)代入 ,结合分组求和及应用导数求最值即可(3)由 ,结合导数的运算即可求解. 【详解】(1)由定义及 .知 , 所以 是公差为m的等差数列,所以 . 因为 ,所以 , 所以 ,即 . 当 时,有 , , …… , 所以 , 即 .(1)当 时, , 所以“ 函数” . 当 时, . (2)当 时, , 故“ 函数” . 由 ,得 . 令 ,则 , 所以 在 上单调递增. 因为 .所以当 时, ,所以当 时, , 故n的最大值为5. (3)证明:由题意得由 ,得 , 所以 ,所以 , 所以 【点睛】本题考查新定义数列,考查考生的运算求解能力和逻辑推理能力. 21.(2024·福建厦门·三模)帕德近似是法国数学家亨利·帕德发明的用有理多项式近似特定函数的方法, 在计算机数学中有着广泛的应用.已知函数 在 处的 阶帕德近似定义为: ,且满足: , , ,…, .其中 , ,…, .已知 在 处的 阶帕德近似为 . (1)求实数a,b的值; (2)设 ,证明: ; (3)已知 是方程 的三个不等实根,求实数 的取值范围,并证明: . 【答案】(1) , (2)证明见解析 (3) ,证明见解析 【分析】(1)结合题意,利用导数计算即可得;(2)由题意可得 ,借助导数研究其单调性即其正负即可得解; (3)设 ,借助导数,分 及 进行讨论,结合函数单调性与零点的存在性定理计算可得 当且仅当 时, 存在三个不等实根,且满足 ,且 ,结合(2)中 所得,代入计算并化简即可得解. 【详解】(1)依题意可知, ,因为 ,所以 , 此时, ,因为 , , 所以 , , 因为 ,所以 ; (2)依题意, , , 故 在 单调递增, 由 ,故 , , , , 综上, , ; (3)不妨设 ,令 , , 当 时, ,此时 单调递增, 不存在三个不等实根;当 时,令 ,其判别式 , 若 ,即 , 恒成立,即 , 此时 单调递减, 不存在三个不等实根; 若 ,即 , 存在两个不等正实根 , 此时有当 时, , 单调递减, 当 时, , 单调递增, 当 时, , 单调递减, 又因为 ,且 ,故 , 因为 ,所以 ,即 , 所以 , 所以存在 ,满足 , 又因为 , 故存在 ,满足 , 故当且仅当 时, 存在三个不等实根, 且满足 ,且 , 由(2)可知,当 时, , 因此, ,故 , 化简可得: , 因此 ,命题得证. 【点睛】关键点点睛:本题关键点在于借助导数与零点的存在性定理得到当且仅当 时, 存在三个不等实根,且满足 ,且 后,结合(2)中所得 ,从而得到 ,再进行化简即可得. 22.(2024·河北·二模)已知 为实数,用 表示不超过 的最大整数,例如 ,对 于函数 ,若存在 ,使得 ,则称函数 是“ 函数”. (1)判断函数 是否是“ 函数”; (2)设函数 是定义在 上的周期函数,其最小正周期是 ,若 不是“ 函数”,求 的最小值; (3)若函数 是“ 函数”,求 的取值范围. 【答案】(1) 是“ 函数”, 不是“ 函数” (2)1 (3) ,且 【分析】(1)根据“ 函数”的定义即可判断 是否是“ 函数”. (2)根据周期函数的定义,结合“ 函数”的条件,进行判断和证明即可.(3)根据“ 函数”的定义,分别讨论 , 和 时,满足的条件即可. 【详解】(1)函数 是 函数,设 , 则 , 所以存在 ,使得 ,所以函数 是“ 函数”. 函数 ,函数的最小正周期为 ,函数的图象如图所示, 不妨研究函数在 这个周期的图象. 设 ,则 , 所以 , 所以函数 不是“ 函数”. (2)因为 是以 为最小正周期的周期函数,所以 . 假设 ,则 ,所以 ,矛盾. 所以必有 . 而函数 的周期为1,且显然不是 函数. 综上所述, 的最小值为1. (3)当函数 是“ 函数”时, 若 ,则 显然不是 函数,矛盾. 若 ,则 ,所以 在 上单调递增, 此时不存在 ,使得 , 同理不存在 ,使得 , 又注意到 ,即不会出现 的情形, 所以此时 不是 函数. 当 时,设 ,所以 , 所以有 ,其中 , 当 时,因为 ,所以 , 所以 , 当 时, , 因为 ,所以 , 所以 . 综上所述, ,且 . 【点睛】方法点睛:新定义题型的特点是:通过给出一个新概念,或约定一种新运算,或给出几个新模型 来创设全新的问题情景,要求考生在阅读理解的基础上,依据题目提供的信息,联系所学的知识和方法, 实现信息的迁移,达到灵活解题的目的:遇到新定义问题,应耐心读题,分析新定义的特点,弄清新定义 的性质,按新定义的要求,“照章办事”,逐条分析、验证、运算,使问题得以解决. 23.(2024·河北秦皇岛·二模)定义:如果函数 和 的图象上分别存在点M和N关于x轴 对称,则称函数 和 具有 关系.(1)判断函数 和 是否具有C关系; (2)若函数 和 不具有C关系,求a的取值范围; (3)若函数 和 在区间 上具有C关系,求m的取值范围. 【答案】(1) 与 具有C关系,理由见解析 (2) (3) . 【分析】(1)根据定义,若 与 具有C关系,则在 与 的定义域的交集上存在x,使得 ,计算得解; (2)根据题意, 在 上的值恒为负或恒为正. 若 在 上恒成立,由 ,即 ,利用导数判断 矛盾;若 在 上恒成立,转化为 ,令 ,利用导数求出 的最大值,得解; (3)构造函数 ,将问题转化为 在 上存在零点,分类讨论 与 , 利用导数与函数的关系证得 时, 在 上有零点,从而得解. 【详解】(1) 与 具有C关系,理由如下: 根据定义,若 与 具有C关系,则在 与 的定义域的交集上存在x,使得 , 又 , , ,所以 ,即 ,即得 ,解得 ,所以 与 具有C关系. (2)因为 , , 令 , , 因为 与 不具有C关系,又 在 上的图象连续不断,所以 在 上的值恒为负 或恒为正. 若 在 上恒成立,则 ,即 , 又当 时, , 令 ,所以 ,令 ,所以 , 令 ,解得 ,所以 在 上单调递增,在 上单调递减,所以 , 所以 ,与假设矛盾,所以不存在 使得 在 上恒成立. 若 在 上恒成立,即 , 令 ,所以 , 又 在 上单调递减, 所以当 时, ,所以 , 当 时, ,所以 , 所以 在 上单调递增,在 上单调递减, 所以 , 所以 ,即 的取值范围是 .(3)因为 , , 令 ,则 , 因为 与 在 上具有C关系,所以 在 上存在零点, 因为 , 当 且 时, 因为 , ,所以 , 所以 在 上单调递增,则 ,此时 在 上不存在零点,不满足题意; 当 时,当 时, ,所以 , 当 时,令 ,则 , 所以 在 上单调递增,且 , , 故 在 上存在唯一零点,设为 ,使得 , 所以当 , ;当 , ; 又当 时, , 所以 在 上单调递减,在 上单调递增, 所以 在 上存在唯一极小值点 , 因为 ,所以 ,又因为 ,所以 在 上存在唯一零点 , 所以函数 与 在 上具有C关系. 综上, 的取值范围是 . 【点睛】关键点睛:本题解题的关键是理解新定义,得到 与 具有C关系,则在 与 的 定义域的交集上存在x,使得 ,从而得解. 24.(2024·山东泰安·模拟预测)定义:设 和 均为定义在 上的函数,它们的导函数分 别为 和 ,若不等式 对任意实数 恒成立,则称 和 为“相伴函数”. (1)给出两组函数,① 和 ;② 和 ,分别判断这两组函数是否为 “相伴函数”; (2)若 是定义在 上的可导函数, 是偶函数, 是奇函数, ,问是否存在 使得 和 为“相伴函数”?若存在 写出 的一个值,若不存在说明理由; (3) ,写出“ 和 为相伴函数”的充要条件,证明你的结 论. 【答案】(1)第①组是,第②组不是 (2)存在, (3) ,证明见解析 【分析】(1)根据题意,结合相伴函数的定义,逐个运算和判定,即可求解;(2)根据题意得 ,得到 ,若 和 为“相伴函数”得到 ,分类讨论,即可求解; (3)根据题意,得到“ 和 为相伴函数”的充要条件 ,结合充分条件和必要条 件的判定方法,以及三角恒等变换的公式,作出证明,即可求解. 【详解】(1)第①组是,第②组不是. ①中,函数 和 ,可得 和 , 所以 ,所以这两组函数是“相伴函数”. ②中,函数 和 , 和 , 所以 不一定为非正数, 所以这两组函数不是 “相伴函数”. (2)存在 ,使得 和 为“相伴函数”. 证明如下: 由 , 所以 , 可得 . 若 和 为“相伴函数”则 成立, 即 ,若 ,由 ,可得 , 则 可取 ,满足 成立; 若 ,所以 , 若 ,则不等式 无解;若 ,则 无解, 综上可得,存在 ,使得 和 为“相伴函数”. (3)“ 和 为相伴函数”的充要条件是 . 因为 , 若 和 为相伴函数 即 对 恒成立, 可得 , 即 , 即 ,可得 , 由于 取遍 内的所有实数,因此当且仅当 时成立, 所以 ,所以必要性得证. 下面证明充分性: 已知 ,则 , ,此时 ,所以 , 即 成立, 和 为相伴函数. 所以“ 和 为相伴函数”的充要条件是 . 【点睛】方法点睛:与新定义有关的问题的求解策略: 1、通过给出一个新的定义,或约定一种新的运算,或给出几个新模型来创设新问题的情景,要求在阅读 理解的基础上,依据题目提供的信息,联系所学的知识和方法,实心信息的迁移,达到灵活解题的目的; 2、遇到新定义问题,应耐心读题,分析新定义的特点,弄清新定义的性质,按新定义的要求,“照章办 事”,逐条分析、运算、验证,使得问题得以解决; 3、若新定义与函数有关,可得利用函数的解析式,结合函数的性质等相关知识,转化为函数的基本性质 或运算法则求解; 4、若新定义与集合的运算有关,要熟记集合的性质以及集合的运算法则,必要时可利用集合的韦恩图, 更加直观的求解. 25.(2024·山东泰安·模拟预测)已知数列 是斐波那契数列,其数值为: .这一 数列以如下递推的方法定义: .数列 对于确定的正整数 ,若存在 正整数 使得 成立,则称数列 为“ 阶可分拆数列”. (1)已知数列 满足 .判断是否对 ,总存在确定的正整数 ,使得数列 为“ 阶可分拆数列”,并说明理由. (2)设数列 的前 项和为 , (i)若数列 为“ 阶可分拆数列”,求出符合条件的实数 的值; (ii)在(i)问的前提下,若数列 满足 , ,其前 项和为 .证明:当 且 时, 成立. 【答案】(1)存在,理由见解析(2)(i)0;(ii)证明见解析 【分析】(1)由已知可得 可得 由定义可得结论; (2)当 时, ,(i)由已知可得存在正整数 使得 成立,当 时, 可求得 ,当 时,可得 ,方程无解,可得结论; (ii)法一:当 时,易得 ,计算可得 ,由(1)可 得 , ,利用错位相减法可得 ,可证结论成立; 法二:同法一可得 , ,两边同乘以 , 可求得 ,可证结论. 【详解】(1)存在,理由如下: 由已知得 , , , 即 对 ,当正整数 时,存在 ,使得 成立, 即数列 为“ 阶可分拆数列”; (2) , 当 时, , 当 时, , (i)若数列 为“ 阶可分拆数列”,则存在正整数 使得 成立,当 时, ,即 ,解得 , 当 时, ,即 , 因 ,所以 ,又 , 故方程 无解. 综上所述,符合条件的实数a的值为 . (ii)方法一: 证明: , 当 时, , , , 由(i)知 ,所以 , ①, ②, 由①-②可得 , ,, , 当 且 时, 成立. 方法二: 证明: , 当 时, , , , 由(i)知 ,所以 , ①, ②, ③, 由① ② ③可得 , , 当 且 时, 成立. 【点睛】思路点睛:本题为数列新定义题,由题意可知对于确定 的存在 即可,以及错位相减法在数列求和中的应用.. 26.(2024·山东·模拟预测)设 , .如果存在 使得 ,那么就说 可被 整除(或 整 除 ),记做 且称 是 的倍数, 是 的约数(也可称为除数、因数). 不能被 整除就记做 . 由整除的定义,不难得出整除的下面几条性质:①若 , ,则 ;② , 互质,若 , , 则 ;③若 ,则 ,其中 . (1)若数列 满足, ,其前 项和为 ,证明: ; (2)若 为奇数,求证: 能被 整除; (3)对于整数 与 , ,求证: 可整除 . 【答案】(1)证明见解析 (2)证明见解析 (3)证明见解析 【分析】(1)利用等比数列前 项和公式,求得 ,再结合二项式定理以及整除性质②即可 得出证明; (2)由二项展开式可得 为奇数时,满足 ,可得结论; (3)分别对整数 为奇数和偶数进行分类讨论,利用 表达式将 的表达式化简成含有 的式子,再结合(2)中的结论即可证明 可整除 . 【详解】(1)因为 ,可知数列 是以 为首项,公比为 的等比数列; 所以 , 而 ,且31与9互质;易知 , 所以 ; , 所以 ; 结合整除性质②可知: ; (2)因为 , 且 为奇数,所以 ; 因此 能被 整除. (3)易知 . 当 时, , , 上式中 ,由(2)知, 能被 整除, 另一方面, ,上式中 ,所以 也能被 整除,且 与 互质, 所以 能被 整除,即 能被 整除. 类似可证当 时, , , 显然 ,由(2)知, 能被 整除; 另一方面, , 所以 能被 整除;且 与 互质. 能被 整除. 综上可知 能被 整除. 【点睛】关键点点睛:本题关键在于对整数 的奇、偶进行分类讨论,得出 的表达式,将 的 表达式通过拆分化简成含有 中的式子,再结合(2)中的结论以及整除性质,即可得出证明. 27.(2024·浙江温州·三模)现有 张形状相同的卡片,上而分别写有数字 ,将这 张卡片充分混合后,每次随机抽取一张卡片,记录卡片上的数 字后放回,现在甲同学随机抽取4次. (1)若 ,求抽到的4个数字互不相同的概率; (2)统计学中,我们常用样本的均值来估计总体的期望.定义 为随机变量 的 阶矩,其中1阶矩就 是 的期望 ,利用 阶矩进行估计的方法称为矩估计.(ⅰ)记每次抽到的数字为随机变量 ,计算随机变量 的1阶矩 和2阶矩 ;(参考公式: ) (ⅱ)知甲同学抽到的卡片上的4个数字分别为3,8,9,12,试利用这组样本并结合(ⅰ)中的结果来 计算 的估计值 .( 的计算结果通过四舍五入取整数) 【答案】(1) (2)(ⅰ) , ;(ⅱ) 【分析】(1)根据相互独立事件的概率公式计算可得; (2)(ⅰ)根据 阶矩的定义、期望公式及等差数列求和公式计算可得;(ⅱ)首先求出样本数据的 阶 矩及 阶矩,结合(ⅰ)的中的结果得到方程组,解得即可. 【详解】(1)依题意可得抽到的 个数字互不相同的概率 ; (2)(ⅰ)依题意 的可能取值为 , , , , 且 ( 且 ), 所以 , 依题意 的可能取值为 , , , 且 ( 且 ), 所以; (ⅱ)依题意样本数据 , , , 为期望(平均数)为 , 则 , , , 为期望(平均数)为 , 所以 , 消去 得 , 整理得 ,解得 (负值已舍去), 又 , ,所以 . 28.(2024·湖南长沙·三模)已知椭圆 的左、右焦点分别为 为上顶点, 离心率 为 ,直线 与圆 相切. (1)求椭圆 的标准方程; (2)椭圆方程 ,平面上有一点 . 定义直线方程 是椭圆 在 点 处的极线. ① 若 在椭圆 上,证明: 椭圆 在点 处的极线就是过点 的切线; ② 若过点 分别作椭圆 的两条切线和一条割线,切点为 ,割线交椭圆 于 两点, 过点 分别作椭圆 的两条切线,且相交于点 . 证明: 三点共线.【答案】(1) (2)①证明见解析;② 证明见解析 【分析】(1)由题意得 , ,再结合 ,从而可求出 ,进而可求出椭圆 的标准方程; (2)①由定义可知椭圆 在点 处的极线方程为 ,然后分 和 两种情况 证明;②设点 ,然后由①可得过点 的切线方程和过点 的切线方程,则可 求出割线 的方程,同时可求出切点弦 的方程,从而可证得结论. 【详解】(1)由已知 , ,则 所以直线 ,即 , 该直线与圆 与相切,则 , 所以解得 , , 故椭圆 的标准方程为 (2)① 由(1)得椭圆 的方程是 . 因为 在椭圆 上,所以 ,即 , 由定义可知椭圆 在点 处的极线方程为 , 当 时, ,此时极线方程为 ,所以 处的极线就是过点 的切线,当 时,极线方程为 ,即 , 由 ,得 , 所以 , 所以 处的极线就是过点 的切线, 综上所述,椭圆 在点 处的极线就是过点 的切线; ② 设点 , 由①可知,过点 的切线方程为 , 过点 的切线方程为 , 因为 都过点 ,所以有 , 则割线 的方程为 , 同理可得过点 的两条切线的切点弦 的方程为 ,即 , 又因为割线 过点 ,代入割线方程得 ,即 , 所以 三点共线,都在直线 上. 【点睛】关键点点睛:此题考查椭圆方程的求法,考查直线与椭圆的位置关系,考查椭圆的切线,考查椭圆中点共线问题,解题的关键是合理利用过椭圆上一点的切线方程的定义,考查计算能力,属于较难题. 29.(2024·江西·二模)在三维空间中,立方体的坐标可用三维坐标 表示,其中 ,而在 维空间中 ,以单位长度为边长的“立方体”的顶点坐标可表示为 维坐标 ,其中 .现有如下定义:在 维空间中两点间的曼哈顿距 离为两点 与 坐标差的绝对值之和,即为 .回答下列问题: (1)求出 维“立方体”的顶点数; (2)在 维“立方体”中任取两个不同顶点,记随机变量 为所取两点间的曼哈顿距离. ①求 的分布列与期望; ②求 的方差. 【答案】(1) 个 (2)①分布列见解析, ;② 【分析】(1)由题根据分步计数乘法原理,即可确定顶点个数; (2)由离散型随机变量的分布列步骤,数学期望公式,方差公式及二项式定理计算即可. 【详解】(1)对于 维坐标 , , 所以共有 种不同的点,即共有 个顶点. (2)①对于 的随机变量,在坐标 与 中有 个坐标 值不同,剩下 个坐标相同,此时对应情况数有 种, 所以 , 则 的分布列为:1 2 所以 , 倒序相加得, , 所以 ; ② , 设 , 两边求导得, , 两边乘以 后得, , 两边求导得, , 令 得, , 所以 . 【点睛】方法点睛:在计算数学期望和方差时,应用两个等式:① ;② . 30.(2024·湖北·模拟预测)龙泉游泳馆为给顾客更好的体验,推出了A和B两个套餐服务,顾客可选择 A和B两个套餐之一,并在App平台上推出了优惠券活动,下表是该游泳馆在App平台10天销售优惠券 情况. 日期t 1 2 3 4 5 6 7 8 9 10销售量 千张 1.9 1.98 2.2 2.36 2.43 2.59 2.68 2.76 2.7 0.4 经计算可得: . (1)因为优惠券购买火爆,App平台在第10天时系统出现异常,导致当天顾客购买优惠券数量大幅减少, 已知销售量y和日期t呈线性关系,现剔除第10天数据,求y关于t的经验回归方程 结果中的数值用分数 表示 ; (2)若购买优惠券的顾客选择A套餐的概率为 ,选择B套餐的概率为 ,并且A套餐可以用一张优惠券, B套餐可以用两张优惠券,记App平台累计销售优惠券为n张的概率为 ,求 ; (3)记(2)中所得概率 的值构成数列 . ①求 的最值; ②数列收敛的定义:已知数列 ,若对于任意给定的正数 ,总存在正整数 ,使得当 时, ,( 是一个确定的实数),则称数列 收敛于 .根据数列收敛的定义证明数列 收敛. 参考公式: . 【答案】(1) (2) (3)①最大值为 ,最小值为 ;②证明见解析 【分析】(1)计算出新数据的相关数值,代入公式求出 的值,进而得到y关于t的回归方程;(2)由题意可知 ,其中 ,构造等比数列,再利用等比数列的通项 公式求解; (3)①分n为偶数和n为奇数两种情况讨论,结合指数函数的单调性求解; ②利用数列收敛的定义,准确推理、运算,即可得证. 【详解】(1)解:剔除第10天的数据,可得 , , 则 , 所以 , 可得 ,所以 . (2)解:由题意知 ,其中 , 所以 ,又由 , 所以 是首项为1的常数列,所以 所以 ,又因为 , 所以数列 是首项为 ,公比为 的等比数列, 故 ,所以 . (3)解:①当 为偶数时, 单调递减, 最大值为 ;当 为奇数时, 单调递增,最小值为 , 综上可得,数列 的最大值为 ,最小值为 . ②证明:对任意 总存在正整数 , 其中 表示取整函数 , 当 时, , 所以数列 收敛. 【点睛】知识方法点拨:与新定义有关的问题的求解策略: 1、通过给出一个新的定义,或约定一种新的运算,或给出几个新模型来创设新问题的情景,要求在阅读 理解的基础上,依据题目提供的信息,联系所学的知识和方法,实心信息的迁移,达到灵活解题的目的; 2、遇到新定义问题,应耐心读题,分析新定义的特点,弄清新定义的性质,按新定义的要求,“照章办 事”,逐条分析、运算、验证,使得问题得以解决. 方法点拨:与数列有关的问题的求解策略: 3、若新定义与数列有关,可得利用数列的递推关系式,结合数列的相关知识进行求解,多通过构造的分 法转化为等差、等比数列问题求解,求解过程灵活运用数列的性质,准确应用相关的数列知识.