当前位置:首页>文档>专题29圆锥曲线中的定点问题(原卷版)_2.2025数学总复习_2024年新高考资料_3.2024专项复习_2024年新高考数学之圆锥曲线专项重难点突破练(新高考专用)

专题29圆锥曲线中的定点问题(原卷版)_2.2025数学总复习_2024年新高考资料_3.2024专项复习_2024年新高考数学之圆锥曲线专项重难点突破练(新高考专用)

  • 2026-04-09 14:04:12 2026-03-17 11:25:59

文档预览

专题29圆锥曲线中的定点问题(原卷版)_2.2025数学总复习_2024年新高考资料_3.2024专项复习_2024年新高考数学之圆锥曲线专项重难点突破练(新高考专用)
专题29圆锥曲线中的定点问题(原卷版)_2.2025数学总复习_2024年新高考资料_3.2024专项复习_2024年新高考数学之圆锥曲线专项重难点突破练(新高考专用)
专题29圆锥曲线中的定点问题(原卷版)_2.2025数学总复习_2024年新高考资料_3.2024专项复习_2024年新高考数学之圆锥曲线专项重难点突破练(新高考专用)
专题29圆锥曲线中的定点问题(原卷版)_2.2025数学总复习_2024年新高考资料_3.2024专项复习_2024年新高考数学之圆锥曲线专项重难点突破练(新高考专用)
专题29圆锥曲线中的定点问题(原卷版)_2.2025数学总复习_2024年新高考资料_3.2024专项复习_2024年新高考数学之圆锥曲线专项重难点突破练(新高考专用)
专题29圆锥曲线中的定点问题(原卷版)_2.2025数学总复习_2024年新高考资料_3.2024专项复习_2024年新高考数学之圆锥曲线专项重难点突破练(新高考专用)
专题29圆锥曲线中的定点问题(原卷版)_2.2025数学总复习_2024年新高考资料_3.2024专项复习_2024年新高考数学之圆锥曲线专项重难点突破练(新高考专用)

文档信息

文档格式
docx
文档大小
0.365 MB
文档页数
7 页
上传时间
2026-03-17 11:25:59

文档内容

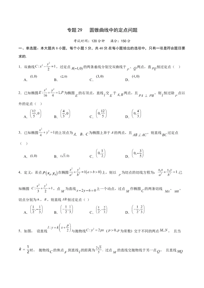
专题29 圆锥曲线中的定点问题 考试时间:120分钟 满分:150分 一、单选题:本大题共8小题,每个小题5分,共40分.在每小题给出的选项中,只有一项是符合题目要 求的. 1.双曲线 ,过定点 的两条垂线分别交双曲线于 、 两点,直 恒过定点( ) A. B. C. D. 2.已知椭圆 为椭圆 的右顶点,直线 交 于 两点,且 ,则 恒过除 点以 外的定点( ) A. B. C. D. 3.已知椭圆 的上顶点为 为椭圆上异于A的两点,且 ,则直线 过定点 ( ) A. B. C. D. 4.定义:若点 在椭圆 上,则以 为切点的切线方程为: .已 知椭圆 ,点 为直线 上一个动点,过点 作椭圆 的两条切线 , , 切点分别为 , ,则直线 恒过定点( ) A. B. C. D. 5.如图, 设直线 与抛物线 ( 为常数) 交于不同的两点 , 且当 时, 抛物线 的焦点 到直线 的距离为 . 过点 的直线交抛物线于另一点 , 且直线过点 , 则直线 过点( ) A. B. C. D. 6.已知直线l与抛物线 交于不同的两点A,B,O为坐标原点,若直线 的斜率之积为 ,则 直线l恒过定点( ) A. B. C. D. 7.已知 为双曲线 右支上的一个动点, 为双曲线的右焦点,若在 轴的负半轴上存在定点 ,使得 ,则 ( ) A. B. C. D. 8. 是抛物线C: 上一定点,A,B是C上异于P的两点,直线PA,PB的斜率 , 满足 为常数, ,且直线AB的斜率存在,则直线AB过定点( ) A. B. C. D. 二、多选题:本大题共4小题,每个小题5分,共20分.在每小题给出的选项中,只有一项或者多项是符 合题目要求的. 9.已知双曲线 的两个顶点分别是 ,两个焦点分别是 .P是双曲线上异于 的任意一点,则有( ) A. B.若 ,则 C.直线 的斜率之积等于 D.使得 为等腰三角形的点P有8个 10.已知 的左右顶点为 为 的上顶点, ,点 为直线 上的动点, 与 的另一个交点为 与 的另一个交点为 .则 的方程为( )直线 恒过定点( ) A. B. C. D. 11.已知抛物线 : , 为坐标原点,直线 交抛物线于 , 两点,若 , 则( ) A. B.直线 过定点 C. 的最小值为 D. 的最小值为2 12.已知 是抛物线 内一动点,直线 过点 且与抛物线 相交于 两点,则下列说法正 确的是( ) A. 时, 的最小值为 B. 的取值范围是 C.当点 是弦 的中点时,直线 的斜率为 D.当点 是弦 的中点时, 轴上存在一定点 ,都有 三、填空题:本大题共4小题,每小题5分,共20分.把答案填在答题卡中的横线上. 13.抛物线 上有三点 , , ,直线 和 的斜率之和为2,则直线 恒过定点的坐 标为 . 14.设 为椭圆 的两个焦点, 为 上一点,且 在第一象限,若 为等腰三角形,则 的坐标为 . 15.已知双曲线 的一条渐近线的倾斜角的正切值为 .若直线 ( 且 )与双曲线交于A,B两点,直线 , 的斜率的倒数和为 ,则直线 恒经过的定点 为 . 16.双曲线 的左、右两支上各有一点A、B,点B在直线 上的射影是点 ,若直线AB过右 焦点,则直线 必定经过的定点的坐标为 . 四、解答题:本大题共6小题,共70分.解答应写出必要的文字说明、证明过程或演算步骤. 17.设椭圆C: 的左、右顶点分别为A、B,且焦距为2.点P在椭圆上且异于A、B 两点.若直线PA与PB的斜率之积为 . (1)求椭圆C的标准方程; (2)过点 作不与 轴重合的直线与椭圆C相交于M、N两点,直线m的方程为: ,过点M 作 垂直于直线 ,交 于点E.判断直线 是否过定点,并说明理由. 18.已知椭圆E的中心在原点,周长为8的 的顶点, 为椭圆E的左焦点,顶点B,C在E 上,且边BC过E的右焦点. (1)求椭圆E的标准方程; (2)椭圆E的上、下顶点分别为M,N,点 若直线 , 与椭圆E的另一个交点 分别为点S,T,证明:直线ST过定点,并求该定点坐标.19.已知椭圆 的左顶点 ,点 是椭圆 上关于原点对称的两个动点(点 不与点 重合), 面积的最大值是2. (1)求椭圆 的方程. (2)若直线 与 轴分别相交于点 ,是否存在定点 ,总有 ?若存在,求出定点 的 坐标;若不存在,说明理由. 20.已知抛物线 : , 为坐标原点,过 作一条直线 ,与抛物线 相交于 , 两点,若线段 的最小值是2.(1)求抛物线 的方程; (2)当直线 与 轴垂直时,设 、 是抛物线 上异于 、 两点的两个不同的点,直线 、 相交于 点 ,直线 、 相交于点 ,证明:直线 恒过定点. 21.已知椭圆 的离心率为 ,长轴的左端点为 . (1)求C的方程; (2)过椭圆C的右焦点的任一直线l与椭圆C分别相交于M,N两点,且AM,AN与直线 ,分别相交于 D,E两点,求证:以DE为直径的圆恒过x轴上定点,并求出定点. 22.已知过曲线 上一点 作椭圆 的切线 ,则切线 的方程为 .若 为椭圆 上的动点,过 作 的切线 交圆 于 ,过 分别作 的切线 ,直线 交于点 . (1)求动点 的轨迹 的方程; (2)已知 为定直线 上一动点,过 的动直线 与轨迹 交于两个不同点 ,在线段 上取一点 , 满足 ,试证明动点 的轨迹过定点.