当前位置:首页>文档>专题5.4平面向量基本定理及坐标表示-重难点题型精练(举一反三)(新高考地区专用)(解析版)_2.2025数学总复习_2023年新高考资料_一轮复习

专题5.4平面向量基本定理及坐标表示-重难点题型精练(举一反三)(新高考地区专用)(解析版)_2.2025数学总复习_2023年新高考资料_一轮复习

  • 2026-04-18 04:31:36 2026-03-18 03:23:25

文档预览

专题5.4平面向量基本定理及坐标表示-重难点题型精练(举一反三)(新高考地区专用)(解析版)_2.2025数学总复习_2023年新高考资料_一轮复习
专题5.4平面向量基本定理及坐标表示-重难点题型精练(举一反三)(新高考地区专用)(解析版)_2.2025数学总复习_2023年新高考资料_一轮复习
专题5.4平面向量基本定理及坐标表示-重难点题型精练(举一反三)(新高考地区专用)(解析版)_2.2025数学总复习_2023年新高考资料_一轮复习
专题5.4平面向量基本定理及坐标表示-重难点题型精练(举一反三)(新高考地区专用)(解析版)_2.2025数学总复习_2023年新高考资料_一轮复习
专题5.4平面向量基本定理及坐标表示-重难点题型精练(举一反三)(新高考地区专用)(解析版)_2.2025数学总复习_2023年新高考资料_一轮复习
专题5.4平面向量基本定理及坐标表示-重难点题型精练(举一反三)(新高考地区专用)(解析版)_2.2025数学总复习_2023年新高考资料_一轮复习
专题5.4平面向量基本定理及坐标表示-重难点题型精练(举一反三)(新高考地区专用)(解析版)_2.2025数学总复习_2023年新高考资料_一轮复习
专题5.4平面向量基本定理及坐标表示-重难点题型精练(举一反三)(新高考地区专用)(解析版)_2.2025数学总复习_2023年新高考资料_一轮复习
专题5.4平面向量基本定理及坐标表示-重难点题型精练(举一反三)(新高考地区专用)(解析版)_2.2025数学总复习_2023年新高考资料_一轮复习
专题5.4平面向量基本定理及坐标表示-重难点题型精练(举一反三)(新高考地区专用)(解析版)_2.2025数学总复习_2023年新高考资料_一轮复习
专题5.4平面向量基本定理及坐标表示-重难点题型精练(举一反三)(新高考地区专用)(解析版)_2.2025数学总复习_2023年新高考资料_一轮复习
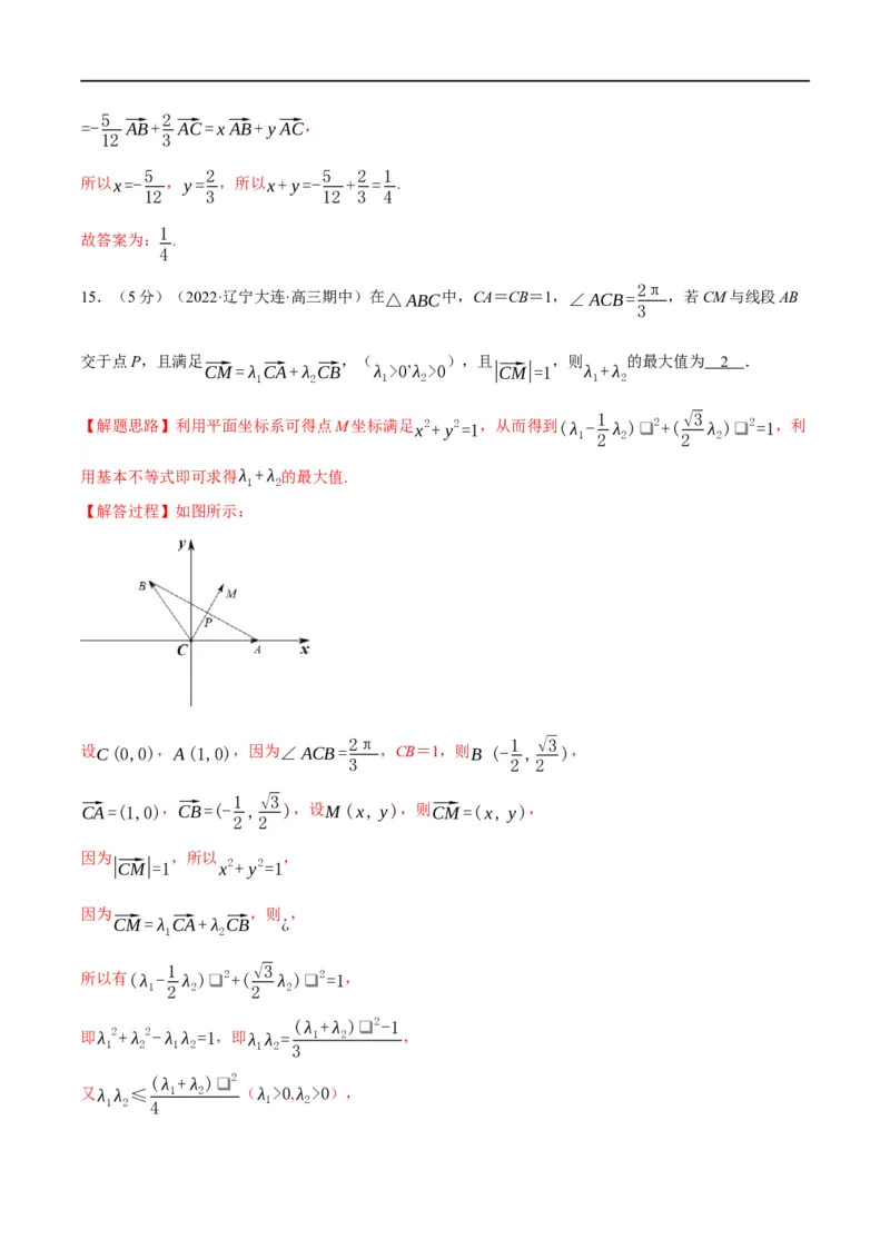
专题5.4平面向量基本定理及坐标表示-重难点题型精练(举一反三)(新高考地区专用)(解析版)_2.2025数学总复习_2023年新高考资料_一轮复习
专题5.4平面向量基本定理及坐标表示-重难点题型精练(举一反三)(新高考地区专用)(解析版)_2.2025数学总复习_2023年新高考资料_一轮复习
专题5.4平面向量基本定理及坐标表示-重难点题型精练(举一反三)(新高考地区专用)(解析版)_2.2025数学总复习_2023年新高考资料_一轮复习
专题5.4平面向量基本定理及坐标表示-重难点题型精练(举一反三)(新高考地区专用)(解析版)_2.2025数学总复习_2023年新高考资料_一轮复习
专题5.4平面向量基本定理及坐标表示-重难点题型精练(举一反三)(新高考地区专用)(解析版)_2.2025数学总复习_2023年新高考资料_一轮复习
专题5.4平面向量基本定理及坐标表示-重难点题型精练(举一反三)(新高考地区专用)(解析版)_2.2025数学总复习_2023年新高考资料_一轮复习
专题5.4平面向量基本定理及坐标表示-重难点题型精练(举一反三)(新高考地区专用)(解析版)_2.2025数学总复习_2023年新高考资料_一轮复习
专题5.4平面向量基本定理及坐标表示-重难点题型精练(举一反三)(新高考地区专用)(解析版)_2.2025数学总复习_2023年新高考资料_一轮复习
专题5.4平面向量基本定理及坐标表示-重难点题型精练(举一反三)(新高考地区专用)(解析版)_2.2025数学总复习_2023年新高考资料_一轮复习

文档信息

文档格式
docx
文档大小
0.649 MB
文档页数
20 页
上传时间
2026-03-18 03:23:25

文档内容

专题5.4 平面向量基本定理及坐标表示-重难点题型精练 参考答案与试题解析 一.选择题(共8小题,满分40分,每小题5分) 1.(5分)(2022·河南·高三阶段练习(文))若向量⃑BA=(4,2),⃑AC=(−1,−3),则⃑BC=( ) A.(3,−1) B.(−3,1) C.(−3,−1) D.(3,1) 【解题思路】利用向量坐标的加法运算,把向量的坐标代入计算即可. 【解答过程】∵⃑BC=⃑BA+⃑AC,∴⃑BC=⃑BA+⃑AC=(4,2)+(−1,3)=(3,−1). 故选:A. 2.(5分)(2022·全国·高三专题练习)已知向量⃗a,⃗b,⃗c在边长为1的正方形网格中的位置如图所示,用 基底 表示 ,则( ) {⃗a,⃗b} ⃗c A.⃗c=−2⃗a+3⃗b B.⃗c=2⃗a−3⃗b C.⃗c=−3⃗a+2⃗b D.⃗c=3⃗a−2⃗b 【解题思路】建立直角坐标系,得到⃗a,⃗b,⃗c的坐标,设⃗c=x⃗a+ y⃗b,联立解方程组,求出x,y得出结论. 【解答过程】建立如图直角坐标系,则⃗a=(2,1)−(1,0)=(1,1), , ⃗b=(0,4)−(2,1)=(−2,3) ⃗c=(7,1)−(0,4)=(7,−3)设⃗c=x⃗a+ y⃗b,则(7,−3)=x(1,1)+ y(−2,3) 所以¿ 解得:x=3,y=−2, 故⃗c=3⃗a−2⃗b, 故选:D. 3.(5分)在正方形ABCD中,E,F 分别为BC,CD的中点,则不正确的是( ) 1 1 A.⃗AC=⃗AF+ ⃗AB B.⃗AC=⃗AE+ ⃗AD 2 2 1 2 C.⃗AC= ⃗AE+ ⃗AF D.⃗AC=⃗AB+⃗AD 3 3 【解题思路】根据向量的线性运算,一一判断各选项,可得答案. 1 1 【解答过程】由题意可得⃗AC=⃗AF+⃗FC=⃗AF+ ⃗DC=⃗AF+ ⃗AB,A正确; 2 2 1 1 ⃗AC=⃗AE+⃗EC=⃗AE+ ⃗BC=⃗AF+ ⃗AD,故B正确; 2 2 1 1 1 1 由⃗AE=⃗AB+⃗BE=⃗AB+ ⃗BC=⃗AB+ ⃗AD , ⃗AF=⃗AD+⃗DF=⃗AD+ ⃗DC=⃗AD+ ⃗AB, 2 2 2 2 2 可得⃗AB+⃗AD= (⃗AE+⃗AF), 3 2 2 故⃗AC=⃗AB+⃗AD= ⃗AE+ ⃗AF,故C错误,D正确; 3 3 故选:C. 4.(5分)(2022·四川省高一阶段练习(理))设 ,向量 ,且 x,y∈R ⃗a=(x,1),⃗b=(1,y),⃗c=(2,−4) ⃗a⊥⃗b,⃗c//⃗b,则|⃗a+⃗b|等于( ) A.2√2 B.√10 C.3 D.4 【解题思路】由向量共线定理及垂直的坐标表示求得 、 ,应用向量线性运算、模长的 ⃗a=(2,1) ⃗b=(1,−2) 坐标表示求结果.2λ=1 【解答过程】由 ⃗c//⃗b知:⃗b=λ⃗c且λ∈R,则{ ,可得y=−2,即⃗b=(1,−2) , −4λ= y 由⃗a⊥⃗b知:x−2=0,可得x=2,即⃗a=(2,1), 所以 ,故 . ⃗a+⃗b=(3,−1) |⃗a+⃗b|=√10 故选:B. 5.(5分)(2022·江西赣州·高三期中(文))向量 , , ,若 ⃗a=(1,3) ⃗b=(3x−1,x+1) ⃗c=(5,7) ,且 ,则 的值为( ) (⃗a+⃗b)∥(⃗a+⃗c) ⃗c=m⃗a+n⃗b m+n 5 7 A.2 B. C.3 D. 2 2 【解题思路】先利用平面向量加减法的坐标运算和向量共线的坐标表示求出x=1,再利用向量的坐标表示 得到关于m、n的方程组进行求解. 【解答过程】由题意,得 , , ⃗a+⃗b=(3x,x+4) ⃗a+⃗c=(6,10) 因为 ,所以 ,解得 , (⃗a+⃗b)∥(⃗a+⃗c) 30x=6x+24 x=1 则 , ⃗c=m⃗a+n⃗b=(m,3m)+(2n,2n)=(m+2n,3m+2n)=(5,7) 即¿,解得¿,故m+n=3. 故选:C. 6.(5分)(2022·全国·高三专题练习)已知向量⃑OA=(3,−4),⃑OB=(6,−3),⃑OC=(5−m,−3−m). 若点A,B,C能构成三角形,则实数m应满足的条件为( ) 1 1 1 1 A.m= B.m≠ C.m≠ D.m≠ 2 2 3 4 【解题思路】根据题意得到⃑AB与⃑AC不共线,从而列出不等式,求出答案. 【解答过程】若点A,B,C能构成三角形,则这三点不共线,即⃑AB与⃑AC不共线, ∵⃑OA=(3,−4),⃑OB=(6,−3),⃑OC=(5−m,−3−m), ∴⃑AB=⃑OB−⃑OA=(3,1),⃑AC=⃑OC−⃑OA=(2−m,1−m), 1 ∴3(1−m)−(2−m)≠0,解得m≠ . 2 故选:B.π 7.(5分)(2022·江苏南通·高三开学考试)在△ABC中,AB=3,AC=2,A= ,过△ABC的外心O 3 的直线(不经过点A)分别交线段AB,AC于D,E,且⃑AD=λ⃑AB,⃑AE=μ⃑AC,则λ+μ的取值范围是 ( ) A.[11+4√6 13] B.[11+4√6 23] , , 18 10 18 15 C.[14+3√6 13] D.[14+3√6 23] , , 18 10 18 15 √7 【解题思路】求得BC=√7,外接圆的半径r= ,设⃑AO=x⃑AB+ y⃑AC,⃑BO=(x−1)⃑AB+ y⃑AC, √3 7 ⃑CO=x⃑AB+(y−1)⃑AC,根据|⃑AO|=|⃑BO|=|⃑CO|= ,结合⃑AD=λ⃑AB,⃑AE=μ⃑AC和 3 4 1 λ 8 10 D,O,E三点共线,得到 + =1,进而求得 ∈[ , ],利用基本不等式和函数的性质,即可求 9λ 6μ μ 15 3 得λ+μ取值范围. π 【解答过程】因为△ABC中,AB=3,AC=2,A= , 3 π 1 由余弦定理可得BC2=AB2+AC2−2AB⋅ACcos =9+4−2×3×2× =7, 3 2 BC √7 即BC=√7,且r= = , 2sinA √3 设⃑AO=x⃑AB+ y⃑AC, 则⃑BO=⃑BA+⃑AO=(x−1)⃑AB+ y⃑AC,⃑CO=⃑CA+⃑AO=x⃑AB+(y−1)⃑AC, 7 所以|⃑AO|=9x2+4(y−1) 2+6x(y−1)= , 3 7 7 同理可得9(x−1) 2+4 y2+6(x−1)y= ,9x2+4(y−1) 2+6x(y−1)= , 3 3 4 1 4 1 解得x= ,y= ,所以⃑AO= ⃑AB+ ⃑AC, 9 6 9 6 4 1 1 1 又因为⃑AD=λ⃑AB,⃑AE=μ⃑AC,所以⃑AO= ⋅ ⃑AD+ ⋅ ⃑AE, 9 λ 6 μ 4 1 因为D,O,E三点共线,可得 + =1, 9λ 6μ4 1 λ 10 因为λ∈[0,1],所以λ( + )∈[0,1],所以 ≤ , 9λ 6μ μ 3 λ 8 同理可得0<μ≤1,所以 ≥ μ 15 4 1 11 λ 4μ 所以λ+μ=(λ+μ)⋅( + )= + + , 9λ 6μ 18 6μ 9λ λ 8 10 11 t 4 设t= ∈[ , ],可得λ+μ= + + , μ 15 3 18 6 9t 11 t 4 1 4 2√2 令g(t)= + + ,可得g'(t)= − ,令g'(t)=0,解得t= , 18 6 9t 6 9t2 √3 8 2√2 当t∈[ , )时,g'(x)<0,g(t)单调递减; 15 √3 2√2 10 当t∈( , ]时,g'(x)>0,g(t)单调递增, √3 3 2√2 11 √1 4 11+4√6 所以当t= 时,λ+μ取得最小值,最小值为 +2 × = ; √3 18 6 9 18 8 23 10 39 8 10 又由g( )= ,g( )= ,可得g( )>g( ), 15 15 3 30 15 3 8 23 所以当t= 时,λ+μ取得最大值,最大值为 , 15 15 所以 的取值范围是[11+4√6 23]. λ+μ , 18 15 故选:B. 8.(5分)(2022·北京市高一阶段练习)如图,在四边形ABCD中, AB⊥AD,CD⊥CB,∠ABC=60∘,AB=2,AD=√3,E为线段CD的中点,F为线段AB上一动点(包 括端点),且⃑EF=λ⃑DA+μ⃑CB,则下列说法错误的是( )5 A.BC= 2 B.若F为线段AB的中点,则λ+μ=1 15 C.⃑FC⋅⃑FD的最小值为 4 8 D.μ的最大值比最小值大 5 【解题思路】建立平面直角坐标系,作出辅助线,利用相似求出边长,求出点的坐标,进而利用向量解决 四个选项. 【解答过程】以A为坐标原点,AB所在直线为x轴,AD所在直线为y轴,建立空间直角坐标系,过点C 作CG⊥x轴于点G,作CH⊥y轴于点H,过点B作BM⊥CH交HC的延长线于点M,则 △CDH∼△BCM, 因为AB⊥AD,CD⊥CB,∠ABC=60∘, 所以∠CDH=60°,设HD=x,则CH=√3x,则BM=AH=√3+x,CM=2−√3x, DH CH x √3x √3 则 = ,即 = ,解得:x= 或x=0(舍去), CM BM 2−√3x √3+x 4 则 (3 5√3), (3 9√3), A(0,0),B(2,0),D(0,√3),C , E , 4 4 8 8 √75 25 5 BC=√BM2+CM2= + = ,A说法正确; 16 16 2 若F为线段AB的中点,则F(1,0), 所以 (5 9√3) (5 5√3), ⃑EF= ,− ,⃑DA=(0,−√3),⃑CB= ,− 8 8 4 4 则¿,解得:¿,则λ+μ=1,B说法正确; 设F(m,0),0≤m≤2, 则 ⃑FC⋅⃑FD= (3 −m, 5√3) ⋅(−m,√3)=m2− 3 m+ 15 = ( m− 3) 2 + 231, 4 4 4 4 8 64 3 231 故当m= 时,⃑FC⋅⃑FD取得最小值,故最小值为 ,C选项说法错误; 8 64 ( 3 9√3),则 , ⃑EF= m− ,− ¿ 8 83 [ 3 13] 5 [ 3 13] 因为0≤m≤2,则m− ∈ − , ,所以 μ∈ − , , 8 8 8 4 8 8 [ 3 13] 13 ( 3 ) 8 解得:μ∈ − , , − − = , 10 10 10 10 5 8 所以μ的最大值比最小值大 ,D说法正确. 5 故选:C. 二.多选题(共4小题,满分20分,每小题5分) 9.(5分)(2022·贵州·高二阶段练习)已知向量⃑a=(1,2),⃑b=(m,−1),则下列结论错误的是( ) 1 A.若 ⃑a∥⃑b,则m= B.若 ⃑a⊥⃑b,则m=2 2 1 C.若|⃑a|=|⃑b|,则m=2 D.若 ⃑a+2⃑b=0⃑,则m=− 2 【解题思路】根据向量的坐标运算即可求解平行垂直以及模长,根据选项即可逐一判断. 1 【解答过程】对于选项A, ⃑a∥⃑b,则2m=−1,则m=− ,即选项A错误; 2 对于选项B,⃑a⊥⃑b,则1×m+2×(−1)=0,则m=2,即选项B正确; 对于选项C, ,则 ,解得 ,即选项C错误; |⃑a|=|⃑b| 12+22=m2+(−1) 2 m=±2 1 对于选项D, ⃑a+2⃑b=0⃑,即1+2m=0,则m=− ,即选项D正确, 2 故选:AC. 10.(5分)(2022·江苏·高二期中)在矩形ABCD中,AB=1,AD=2,动点P在以点C为圆心且与BD 相切的圆上.若⃗AP=λ⃗AB+μ⃗AD,则λ+μ的可能取值有( ) A.√5 B. 2√3 C.3 D.4【解题思路】建立平面直角坐标系,写出各点的坐标,用坐标表示⃗AP=λ⃗AB+μ⃗AD,用同角三角函数的 平方关系换元,转化为三角函数的最值问题. 【解答过程】以C为圆点,CB所在直线为x轴,CD所在直线为y轴建立平面直角坐标系, 4 则由已知有:C(0,0),B(2,0),A(2,1),D(0,1),即P(2−2μ,1−λ)在圆x2+ y2= 上, 5 所以有¿,则λ+μ=2−sin(θ+φ),∴λ+μ∈[1,3]. 故选:AC. 11.(5分)(2022·全国·高三专题练习)已知△ABC中,O是BC边上靠近B的三等分点,过点O的直 线分别交直线AB,AC于不同的两点M,N,设⃑AB=m⃑AM,⃑AC=n⃑AN,其中m>0,n>0,则下列结 论正确的是( ) 2 1 1 2 A.⃑AO= ⃑AB+ ⃑AC B.⃑AO= ⃑AB+ ⃑AC 3 3 3 3 C.2m+n=3 D.m+2n=3 【解题思路】根据向量基本定理,用⃑AB,⃑AC表达出⃑AO,用向量共线基本定理的推论结合题干信息进行 求解得到2m+n=3. 1 1 2 1 【解答过程】⃑AO=⃑AB+⃑BO=⃑AB+ ⃑BC=⃑AB+ (⃑AC−⃑AB)= ⃑AB+ ⃑AC,A正确,B错误; 3 3 3 3 2 1 2m 1 因为⃑AB=m⃑AM,⃑AC=n⃑AN,所以⃑AO= ⃑AB+ ⃑AC= ⃑AM+ n⃑AN, 3 3 3 3 又因为M,O,N三点共线, 2 1 所以 m+ n=1,故2m+n=3,C正确,D错误. 3 3 故选:AC. 12.(5分)(2022·浙江温州·高一期末)如图, 已知△ABC,△≝¿均为等边三角形, D,E,F分 别为BE,CF,AD的中点,P为△≝¿内一点 (含边界). ⃑AP=x⃑AB+ y⃑AC, 下列说法正确的是 ( )1 A.延长BE交AC于M, 则⃑CM= ⃑CA 3 B.若⃑OD+⃑OE+⃑OF=0⃑, 则O为△ABC的重心 1 C.若x+ y= ,则点P的轨迹是一条线段 2 1 D.x+ y的最小值是 3 【解题思路】A选项,作出辅助线,根据面积比求出AM=2CM,判断A选项; B选项,建立平面直角坐标系,设出△ABC边长为1,写出各点的坐标,然后写出直线CN,BM,AG的 方程,联立后求出D,E,F的坐标,求出△ABC与△≝¿的重心坐标,两者重合;C选项,设出点P的 1 坐标,利用向量关系⃑AP=x⃑AB+ y⃑AC及x+ y= 求出6m+2√3n−3=0,得出C正确;D选项,利用C 2 选项,得到 √3 ,结合 [ 5 5] [√3 2√3],求出 的最小值. x+ y=m+ n m∈ , ,n∈ , x+ y 3 14 7 14 7 【解答过程】A选项,因为已知△ABC,△≝¿均为等边三角形,D,E,F分别为BE,CF,AD 的中点, 连接CD,AE,BF,延长BE交AC于点M, 则S =S =S =S =S =S , △DBC △DCE △ABF △BDF △AEF △≝¿¿ 1 所以S =2S ,则AM=2CM,⃑CM= ⃑CA,A正确; △ABE △CBE 3 以点A为坐标原点,AB所在直线为x轴,垂直AB为y轴建立平面直角坐标系, 延长AD交BC于点G,延长CF交AB于点N,由A选项可知:CG=2BG,BN=2AN,设 边长为1,则 (1 ) (1 √3) (1 √3) (5 √3), △ABC B(1,0),N ,0 ,C , ,M , ,G , 3 2 2 3 3 6 6 √3 √3 则直线CN: y=3√3x−√3,直线BM:y=− x+ , 2 2 联立直线CN与BM,求得: ,所以 (3 2√3), ¿ E , 7 7 直线AG: √3 ,联立直线AG与BM,求得: ,所以 (5 √3), y= x ¿ D , 5 7 7 联立直线AG与CN,求得: ,所以 ( 5 √3), ¿ F , 14 14 因为⃑OD+⃑OE+⃑OF=0⃑, 则O为△≝¿的重心, 3 5 5 2√3 √3 √3 则 ( + + + + ) ,即 (1 √3), 7 7 14 7 7 14 O , O , 2 6 3 3 1 √3 而 的重心为 ( 0+1+ 0+0+ ) ,即(1 √3), △ABC 2 2 , , 2 6 3 3 故O为△ABC的重心,B正确; 设P(m,n),⃑AP=x⃑AB+ y⃑AC,结合B选项中建立的坐标系,可知:(1 √3),即 ,解得: (m,n)=x(1,0)+ y , ¿ ¿ 2 2 1 √3 2√3 1 若x+ y= , 则m− n+ n= ,整理得:6m+2√3n−3=0, 2 3 3 2 因为P为△≝¿内一点 (含边界),所以点P的轨迹是一条线段,C正确; √3 2√3 √3 结合C选项,可知x+ y=m− n+ n=m+ n, 3 3 3 其中 [ 5 5] [√3 2√3], m∈ , ,n∈ , 14 7 14 7 5 √3 √3 当m= ,n= 时,x+ y=m+ n取得最小值, 14 14 3 5 √3 √3 3 最小值为x+ y= + × = ,故D错误. 14 3 14 7 故选:ABC. 三.填空题(共4小题,满分20分,每小题5分) 13.(5分)已知向量⃗AB=(2,1),⃗BC=(7,m),⃗CD=(3,−1),若A,B,D三点共线,则m= 6 . 【解题思路】根据给定条件,求出⃗BD,再利用共线向量的坐标表示计算作答. 【解答过程】因⃗BC=(7,m),⃗CD=(3,−1),则⃗BD=⃗BC+⃗CD=(10,m−1), 又⃗AB=(2,1),且A,B,D三点共线,即⃗AB//⃗BD,因此2(m−1)−1×10=0,解得m=6, 所以m=6. 故答案为:6. 14.(5分)(2022·四川·高二阶段练习(理))在△ABC中,D,E分别是线段AB,BC上的点,且 2 1 AD=3DB,BE= BC,若⃗DE=x⃗AB+ y⃗AC ,则x+ y= . 3 4 【解题思路】根据已知条件结合平面向量基本定理将⃗DE用⃗AB,⃗AC表示,从而可求出x,y的值,进而可 求得x+ y. 2 【解答过程】因为AD=3DB,BE= BC, 3 1 2 所以⃗DB= ⃗AB,⃗BE= ⃗BC, 4 3 1 2 1 2 所以⃗DE=⃗DB+⃗BE= ⃗AB+ ⃗BC= ⃗AB+ (⃗AC-⃗AB) 4 3 4 35 2 =- ⃗AB+ ⃗AC=x⃗AB+ y⃗AC, 12 3 5 2 5 2 1 所以x=- ,y= ,所以x+ y=- + = . 12 3 12 3 4 1 故答案为: . 4 2π 15.(5分)(2022·辽宁大连·高三期中)在△ABC中,CA=CB=1,∠ACB= ,若CM与线段AB 3 交于点P,且满足 ,( , ),且 ,则 的最大值为 2 . ⃗CM=λ ⃗CA+λ ⃗CB λ >0 λ >0 |⃗CM|=1 λ +λ 1 2 1 2 1 2 【解题思路】利用平面坐标系可得点M坐标满足x2+ y2=1,从而得到(λ - 1 λ )❑ 2+( √3 λ )❑ 2=1,利 1 2 2 2 2 用基本不等式即可求得λ +λ 的最大值. 1 2 【解答过程】如图所示: 2π 1 √3 设C(0,0),A(1,0),因为∠ACB= ,CB=1,则B (- , ), 3 2 2 1 √3 ⃗CA=(1,0),⃗CB=(- , ),设M(x,y),则⃗CM=(x,y), 2 2 因为 ,所以 , |⃗CM|=1 x2+ y2=1 因为 ,则 , ⃗CM=λ ⃗CA+λ ⃗CB ¿ 1 2 所以有(λ - 1 λ )❑ 2+( √3 λ )❑ 2=1, 1 2 2 2 2 即λ 2+λ 2-λ λ =1,即λ λ = (λ 1 +λ 2 )❑ 2-1 , 1 2 1 2 1 2 3 (λ +λ )❑ 2 又λ λ ≤ 1 2 (λ >0,λ >0), 1 2 4 1 2(λ +λ )❑ 2-1 (λ +λ )❑ 2 所以 1 2 ≤ 1 2 , 3 4 解得0<λ +λ ≤2,当且仅当λ =λ =1时不等式取等号. 1 2 1 2 则λ +λ 的最大值为2. 1 2 故答案为:2. 16.(5分)(2022·江苏·高一期末)如图,正八边形ABCDEFGH中,若⃑AE=λ⃑AC+μ⃑AF (λ,μ∈R),则λ+μ的值为 √2 . 【解题思路】以HD、BF所在的直线分别为x、y轴建立平面直角坐标系,正八边形的中心O即为坐标原 点,设AC交y轴与M点,由正八边形的性质可得AC⊥ y轴,△AOM、△MOC为等腰直角三角形, 设OD=2,求出F、A、C、E点坐标及⃗AE、⃗AF、⃗AC坐标,根据 ⃗AE=λ⃗AC+μ⃗AF的坐标运算可得答案. 【解答过程】 如图,以HD、BF所在的直线分别为x、y轴建立平面直角坐标系,正八边形的中心O即为坐标原点,设 AC交y轴与M点,∠AOB=∠COB=∠AOH=∠EOD= (360) ∘ =45∘, 8 ∠ABC=180∘−45∘=135∘,所以∠BAC=22.5∘, ∠HAC=∠HAB−∠CAB=135∘−22.5∘=112.5∘,所以∠HAC+∠AHO=180∘,即AC⊥ y轴,△AOM、△MOC为等腰直角三角形, 设OD=2,则OD=OF=OE=OA=OC=2,F(0,2), 所以 ,所以 , , 与 关于 轴对称, AM=OM=MC=√2 A(−√2,−√2) C(√2,−√2) C E x 所以 , E(√2,√2) , , , ⃗AE=(2√2,2√2) ⃗AF=(√2,2+√2) ⃗AC=(2√2,0) 由 得 , ⃗AE=λ⃗AC+μ⃗AF (2√2,2√2)=λ(2√2,0)+μ(√2,2+√2) 即¿,解得¿, 所以λ+μ=2√2−2+2−√2=√2. 故答案为:√2. 四.解答题(共6小题,满分70分) 17.(10分)(2022·全国·高一课时练习)已知向量⃑a=(3,1),⃑b=(2,−1),O为坐标原点.若向量 ⃑OA=3⃑a−⃑b,⃑BA=2⃑b−⃑a,求向量⃑BO的坐标. 【解题思路】由向量线性运算可得⃑BO=⃑BA−⃑OA=−4⃑a+3⃑b,由向量坐标运算可求得结果. 【解答过程】 ,又 , , ∵⃑BO=⃑BA+⃑AO=⃑BA−⃑OA=(2⃑b−⃑a)−(3⃑a−⃑b)=−4⃑a+3⃑b ⃑a=(3,1) ⃑b=(2,−1) ∴⃑BO=(−12,−4)+(6,−3)=(−6,−7). 18.(12分)(2022·辽宁·高一阶段练习)已知向量⃑a=(1,2),⃑b=(−3,1). (1)求 ; |⃑a+2⃑b| (2)若向量⃑c=(−1,5),试以向量⃑a,⃑b为基底表示向量⃑c. 【解题思路】(1)根据向量坐标运算及模的坐标表示求解; (2)根据平面向量基本定理,利用待定系数法求解. 【解答过程】(1) ∵⃑a+2⃑b=(1,2)+(−6,2)=(−5,4), ∴ . |⃑a+2⃑b|=√(−5) 2+42=√41 (2) 设⃑c=λ⃑a+μb(λ,μ∈R). 则(−1,5)=λ(1,2)+μ(−3,1)=(λ−3μ,2λ+μ),∴¿,解得¿, ∴⃑c=2⃑a+⃑b. 19.(12分)(2022·全国·高一课时练习)已知向量⃗a=(3,2),⃑b=(−1,2),⃗c=(4,1). (1)求3⃗a+⃑b−2⃗c; (2)求满足⃗a=m⃑b+n⃗c的实数m和n的值; (3)若 ,求实数k的值. (⃗a+k⃗c)∥(2⃑b−⃗a) 【解题思路】(1)利用平面向量的坐标运算求解; (2)利用平面向量相等求解; (3)利用平面向量共线定理求解. 【解答过程】(1) 解:3⃗a+⃑b−2⃗c=3(3,2)+(−1,2)−2(4,1)=(9,6)+(−1,2)−(8,2)=(0,6); (2) 因为⃗a=m⃑b+n⃗c. 所以(3,2)=(−m+4n,2m+n), 则¿,解得¿. (3) ⃗a+k⃗c=(3+4k,2+k),2⃑b−⃗a=(−5,2), 因为 , (⃗a+k⃗c)∥(2⃑b−⃗a) 所以(3+4k)×2−(−5)×(2+k)=0, 16 解得k=− . 13 1 1 20.(12分)(2022·全国·高三专题练习)如图所示,在△ABO中,⃑OC= ⃑OA,⃑OD= ⃑OB,AD与BC 3 2 交于点M.设⃑OA=⃑a,⃑OB=⃑b.(1)试用向量⃑a,⃑b表示⃑OM; (2)在线段AC上取点E,在线段BD上取点F,使EF过点M,设⃑OE=λ⃑OA,⃑OF=μ⃑OB,其中λ,μ∈R. 1 2 证明: + 为定值,并求出该定值. λ μ 【解题思路】(1)设⃑OM=m⃑a+n⃑b,由A、D、M三点共线以及B、C、M三点共线可得出关于m与n的 方程组,解出这两个未知数,即可得出⃑OM关于⃑a、⃑b的表达式; λ⃑OA+μγ⃑OB λ μγ (2)设⃑EM=γ⃑MF,利用向量的减法运算可得出⃑OM= = ⃑a+ ⃑b,结合 1+γ 1+γ 1+γ 1 2 ⃑OM= ⃑a+ ⃑b可建立等式,即得. 5 5 【解答过程】(1) 设⃑OM=m⃑a+n⃑b(m∈R,n∈R), 由A,M,D三点共线,可知存在α(α∈R,且α≠−1),使得⃑AM=α⃑MD, 则⃑OM−⃑OA=α(⃑OD−⃑OM), 1 1 α 因为⃑OD= ⃑OB,所以⃑OM= ⃑a+ ⃑b, 2 1+α 2(1+α) 由平面向量基本定理得¿,即m+2n=1,① 同理,由B,M,C三点共线,可知存在β(β∈R,且β≠−1),使得⃑CM=β⃑MB, 则⃑OM−⃑OC=β(⃑OB−⃑OM), 1 1 β 又⃑OC= ⃑OA,所以⃑OM= ⃑a+ ⃑b, 3 3(β+1) 1+β 由平面向量基本定理得¿ 即3m+n=1,② 1 2 由①②得m= ,n= , 5 5 1 2 故⃑OM= ⃑a+ ⃑b; 5 5 (2) 由于E,M,F三点共线,则存在实数γ(γ∈R,且γ≠−1)使得⃑EM=γ⃑MF,即 ⃑OM−⃑OE=γ(⃑OF−⃑OM), ⃑OE+γ⃑OF 于是⃑OM= , 1+γ 又⃑OE=λ⃑OA,⃑OF=μ⃑OB,λ⃑OA+μγ⃑OB λ μγ 所以⃑OM= = ⃑a+ ⃑b, 1+γ 1+γ 1+γ 由平面向量基本定理得¿,消去γ, 1 2 得 + =5, λ μ 1 2 故 + 为定值,该定值为5. λ μ 21.(12分)(2022·上海市高一期末)如图,在平行四边形ABCD中, π AB=2,AD=3,∠BAD= ,⃑AF=⃑FD,⃑DE=λ⃑DC(0≤λ≤1),AE交BF于点N. 3 1 (1)若λ= ,⃑AN=μ⃑AE,求μ的值; 2 (2)求⃑BE⋅⃑FE的取值范围. 【解题思路】(1)由平面向量基本定理化简计算可得; 1 (2)以A为原点建立坐标系,表示出⃗BE⋅⃗FE =4λ2+ λ+3,根据单调性求取值范围. 2 【解答过程】(1) 1−t 因为⃗AN=⃗AF+⃗FN=⃗AF+t⃗FB=⃗AF+t(⃗AB−⃗AF) =(1−t)⃗AF+t⃗AB= ⃗AD+t⃗AB 2 1 又⃗AN=μ⃗AE=μ(⃗AD+ ⃗AB) 2 1−t 2 μ= μ= 2 5 所以{ ,解得{ . 1 1 μ=t t= 2 5 (2) 3 以A为原点建立如图坐标系,A(0,0)、B(1,√3)、D(3,0)、F( ,0)、C(4,√3), 21 3 因为⃗BE=⃗BF+⃗FD+⃗DE=( ,−√3)+( ,0)+λ(1,√3) 2 2 =(2+λ,√3λ−√3), 因为 3 3 3 ⃗FE=⃗FD+⃗DE=( ,0)+λ⃗DC=( ,0)+λ(1,√3)=( +λ,√3λ), 2 2 2 3 3 1 ⃗BE⋅⃗FE =(2+λ,√3λ−√3) ⋅( +λ,√3λ) =(2+λ)×( +λ)+(√3λ−√3)×√3λ=4λ2+ λ+3 2 2 2 1 1 令y=4λ2+ λ+3,则对称轴为λ=− ,∵0≤λ≤1, 2 16 1 所以y=4λ2+ λ+3在[0,1]单调递增, 2 所以当λ=0时,y=3, 15 λ=1时,y= , 2 15 ⃗BE⋅⃗FE的取值范围为[3, ]. 2 22.(12分)(2022·河南南阳·高一阶段练习)已知向量 . ⃑a=(cosx,2sinα+√2sinx),⃗b=(sinx,2cosα−√2cosx) (1)若⃑a//⃑b,求x+α的值; π (2)若α= ,函数f(x)=⃑a⋅⃑b,求f(x)的值域. 4 【解题思路】(1)根据向量平行的坐标运算公式,结合两角和的余弦公式化简即可; (2)根据向量数量积的坐标运算公式,运用三角函数相关知识化简原函数后,换元求解即可. 【解答过程】(1) 因为⃑a//⃑b, 所以cosx(2cosα−√2cosx)=sinx(2sinα+√2sinx),整理得 , 2(cosxcosα−sinxsinα)=√2(sin2x+cos2x) 所以2cos(x+α)=√2, √2 即cos(x+α)= , 2 π 则x+α=2kπ± ,k∈Z. 4 (2) π 因为α= , 4 所以f(x)=⃑a⋅⃑b=sinxcosx+2(1+sinx)(1−cosx) =−sinxcosx+2(sinx−cosx)+2 1 =− [1−(sinx−cosx) 2]+2(sinx−cosx) 2 1 3 = (sinx−cosx) 2+2(sinx−cosx)+ . 2 2 ( π) 令t=sinx−cosx,则t=√2sin x− ∈[−√2,√2]. 4 1 3 设函数g(t)= t2+2t+ ,t∈[−√2,√2], 2 2 则g(t)在区间[−√2,√2]上单调递增, 5 5 所以g(t) =g(−√2)= −2√2,g(t) =g(√2)= +2√2, min 2 max 2 [5 5 ] 所以f(x)的值域为 −2√2, +2√2 . 2 2