当前位置:首页>文档>微专题:两条直线的相交、距离问题学案——2023届高考数学一轮《考点•题型•技巧》精讲与精练_2.2025数学总复习_赠品通用版(老高考)复习资料_一轮复习

微专题:两条直线的相交、距离问题学案——2023届高考数学一轮《考点•题型•技巧》精讲与精练_2.2025数学总复习_赠品通用版(老高考)复习资料_一轮复习

  • 2026-04-15 04:08:31 2026-03-20 08:02:38

文档预览

微专题:两条直线的相交、距离问题学案——2023届高考数学一轮《考点•题型•技巧》精讲与精练_2.2025数学总复习_赠品通用版(老高考)复习资料_一轮复习
微专题:两条直线的相交、距离问题学案——2023届高考数学一轮《考点•题型•技巧》精讲与精练_2.2025数学总复习_赠品通用版(老高考)复习资料_一轮复习
微专题:两条直线的相交、距离问题学案——2023届高考数学一轮《考点•题型•技巧》精讲与精练_2.2025数学总复习_赠品通用版(老高考)复习资料_一轮复习
微专题:两条直线的相交、距离问题学案——2023届高考数学一轮《考点•题型•技巧》精讲与精练_2.2025数学总复习_赠品通用版(老高考)复习资料_一轮复习
微专题:两条直线的相交、距离问题学案——2023届高考数学一轮《考点•题型•技巧》精讲与精练_2.2025数学总复习_赠品通用版(老高考)复习资料_一轮复习
微专题:两条直线的相交、距离问题学案——2023届高考数学一轮《考点•题型•技巧》精讲与精练_2.2025数学总复习_赠品通用版(老高考)复习资料_一轮复习
微专题:两条直线的相交、距离问题学案——2023届高考数学一轮《考点•题型•技巧》精讲与精练_2.2025数学总复习_赠品通用版(老高考)复习资料_一轮复习
微专题:两条直线的相交、距离问题学案——2023届高考数学一轮《考点•题型•技巧》精讲与精练_2.2025数学总复习_赠品通用版(老高考)复习资料_一轮复习
微专题:两条直线的相交、距离问题学案——2023届高考数学一轮《考点•题型•技巧》精讲与精练_2.2025数学总复习_赠品通用版(老高考)复习资料_一轮复习
微专题:两条直线的相交、距离问题学案——2023届高考数学一轮《考点•题型•技巧》精讲与精练_2.2025数学总复习_赠品通用版(老高考)复习资料_一轮复习
微专题:两条直线的相交、距离问题学案——2023届高考数学一轮《考点•题型•技巧》精讲与精练_2.2025数学总复习_赠品通用版(老高考)复习资料_一轮复习
微专题:两条直线的相交、距离问题学案——2023届高考数学一轮《考点•题型•技巧》精讲与精练_2.2025数学总复习_赠品通用版(老高考)复习资料_一轮复习
微专题:两条直线的相交、距离问题学案——2023届高考数学一轮《考点•题型•技巧》精讲与精练_2.2025数学总复习_赠品通用版(老高考)复习资料_一轮复习
微专题:两条直线的相交、距离问题学案——2023届高考数学一轮《考点•题型•技巧》精讲与精练_2.2025数学总复习_赠品通用版(老高考)复习资料_一轮复习
微专题:两条直线的相交、距离问题学案——2023届高考数学一轮《考点•题型•技巧》精讲与精练_2.2025数学总复习_赠品通用版(老高考)复习资料_一轮复习
微专题:两条直线的相交、距离问题学案——2023届高考数学一轮《考点•题型•技巧》精讲与精练_2.2025数学总复习_赠品通用版(老高考)复习资料_一轮复习
微专题:两条直线的相交、距离问题学案——2023届高考数学一轮《考点•题型•技巧》精讲与精练_2.2025数学总复习_赠品通用版(老高考)复习资料_一轮复习
微专题:两条直线的相交、距离问题学案——2023届高考数学一轮《考点•题型•技巧》精讲与精练_2.2025数学总复习_赠品通用版(老高考)复习资料_一轮复习
微专题:两条直线的相交、距离问题学案——2023届高考数学一轮《考点•题型•技巧》精讲与精练_2.2025数学总复习_赠品通用版(老高考)复习资料_一轮复习
微专题:两条直线的相交、距离问题学案——2023届高考数学一轮《考点•题型•技巧》精讲与精练_2.2025数学总复习_赠品通用版(老高考)复习资料_一轮复习
微专题:两条直线的相交、距离问题学案——2023届高考数学一轮《考点•题型•技巧》精讲与精练_2.2025数学总复习_赠品通用版(老高考)复习资料_一轮复习
微专题:两条直线的相交、距离问题学案——2023届高考数学一轮《考点•题型•技巧》精讲与精练_2.2025数学总复习_赠品通用版(老高考)复习资料_一轮复习
微专题:两条直线的相交、距离问题学案——2023届高考数学一轮《考点•题型•技巧》精讲与精练_2.2025数学总复习_赠品通用版(老高考)复习资料_一轮复习
微专题:两条直线的相交、距离问题学案——2023届高考数学一轮《考点•题型•技巧》精讲与精练_2.2025数学总复习_赠品通用版(老高考)复习资料_一轮复习
微专题:两条直线的相交、距离问题学案——2023届高考数学一轮《考点•题型•技巧》精讲与精练_2.2025数学总复习_赠品通用版(老高考)复习资料_一轮复习
微专题:两条直线的相交、距离问题学案——2023届高考数学一轮《考点•题型•技巧》精讲与精练_2.2025数学总复习_赠品通用版(老高考)复习资料_一轮复习
微专题:两条直线的相交、距离问题学案——2023届高考数学一轮《考点•题型•技巧》精讲与精练_2.2025数学总复习_赠品通用版(老高考)复习资料_一轮复习
微专题:两条直线的相交、距离问题学案——2023届高考数学一轮《考点•题型•技巧》精讲与精练_2.2025数学总复习_赠品通用版(老高考)复习资料_一轮复习
微专题:两条直线的相交、距离问题学案——2023届高考数学一轮《考点•题型•技巧》精讲与精练_2.2025数学总复习_赠品通用版(老高考)复习资料_一轮复习
微专题:两条直线的相交、距离问题学案——2023届高考数学一轮《考点•题型•技巧》精讲与精练_2.2025数学总复习_赠品通用版(老高考)复习资料_一轮复习
微专题:两条直线的相交、距离问题学案——2023届高考数学一轮《考点•题型•技巧》精讲与精练_2.2025数学总复习_赠品通用版(老高考)复习资料_一轮复习
微专题:两条直线的相交、距离问题学案——2023届高考数学一轮《考点•题型•技巧》精讲与精练_2.2025数学总复习_赠品通用版(老高考)复习资料_一轮复习

文档信息

文档格式
docx
文档大小
1.510 MB
文档页数
32 页
上传时间
2026-03-20 08:02:38

文档内容

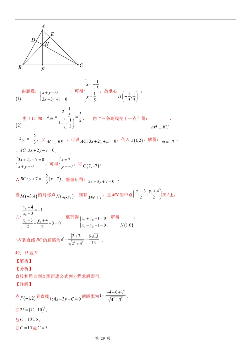
微专题:两条直线的相交、距离问题 【考点梳理】 1. 两条直线的交点坐标 一般地,将两条直线的方程联立,得方程组若方程组有唯一解,则两条直线相交,此解就是交点的坐标;若 方程组无解,则两条直线无公共点,此时两条直线平行. 2. 距离公式 (1)两点间的距离公式:点P(x ,y),P(x ,y)两点间的距离为|PP|= . 特别地,原点 O(0,0)与任一点P(x, 1 1 1 2 2 2 1 2 y)间的距离为|OP|=. (2)点到直线的距离公式:点P(x,y)到直线l:Ax+By+C=0的距离d=. 0 0 0 (3)两条平行直线间的距离:两条平行直线l:Ax+By+C =0与l:Ax+By+C =0(C ≠C )间的距离d=. 1 1 2 2 1 2 【题型归纳】 题型一: 相交直线的交点坐标 1.直线 与直线 互相垂直,且两直线交点位于第三象限,则实数a的值为 ( ) A.1 B.3 C.-1 D.-3 2.过两条直线 与 的交点,倾斜角为 的直线方程为( ) A. B. C. D. 3.经过两直线 与 的交点,且平行于直线 的直线方程是( ) A. B. C. D. 题型二: 两点间的距离公式 4.已知点 在直线 上的运动,则 的最小值是( ) A. B. C. D. 试卷第1页,共3页 学学科科网网((北北京京))股股份份有有限限公公司司5.以 , , 为顶点的三角形的面积等于( ) A.1 B. C. D.2 6.F为抛物线 的焦点,点 在C上,直线MF交C的准线于点N,则 ( ) A. B. C.5 D.12 题型三: 点到直线的距离公式 7.已知圆C经过点 ,且与直线 相切,则其圆心到直线 距离的最小值为( ) A.3 B.2 C. D. 8.已知点 ,向量 ,过点P作以向量 为方向向量的直线为l,则点 到直线l的距离为 ( ) A. B. C. D. 9.曲线 上的点到直线 的最短距离是( ) A.2 B. C. D. 题型四: 两平行线间的距离公式 10.已知直线 和 互相平行,则它们之间的距离是( ) A.4 B. C. D. 11.直线 : 与 : 之间的距离为( ) A. B. C. D. 12.两条平行直线 与 之间的距离为( ) 试卷第2页,共3页 学学科科网网((北北京京))股股份份有有限限公公司司A. B. C. D. 【双基达标】 13.已知点 , ,动点P在直线 上,则 的最小值是( ) A.3 B.4 C.5 D.6 14.点 到直线 的距离为( ) A. B. C. D. 15.唐代诗人李颀的诗《古从军行》开头两句说:“白日登山望烽火,黄昏饮马傍交河”,诗中隐含着一个有趣 的数学问题——“将军饮马”问题,即将军在观望烽火之后从山脚下某处出发,先到河边饮马后再回到军营,怎 样走才能使总路程最短?在平面直角坐标系中,设军营所在的位置为 ,若将军从山脚下的点 处出发, 河岸线所在直线l的方程为 ,则“将军饮马”的最短总路程是( ) A. B. C. D. 16.直线2y-x+1=0关于y-x=0对称的直线方程是( ) A.y-2x-1=0 B.y+2x-1=0 C..y+2x+1=0 D.2y+x+1=0 17.唐代诗人李颀的诗《古从军行》开头两句说:“白日登山望烽火,黄昏饮马傍交河.”诗中隐含着一个有趣的数 学问题——“将军饮马”问题,即将军在观望烽火之后从山脚下某处出发,先到河边饮马后再回到军营,怎样走 才能使总路程最短?在平面直角坐标系中,设军营所在位置为 ,若将军从点 处出发,河岸线所在 直线方程为 .则“将军饮马“的最短总路程为( ) A. B. C. D. 18.点(2,1)到直线l:x-2y+2=0的距离为( ) A. B. C. D.0 试卷第3页,共3页 学学科科网网((北北京京))股股份份有有限限公公司司19.已知直线l: ,则下列结论正确的是( ) A.直线l的倾斜角是 B.若直线m: ,则 C.点 到直线l的距离是1 D.过 与直线l平行的直线方程是 20.设集合 , ,若 ,则实数a的值为 ( ) A.4 B. C.4或 D. 或2 21.l,l 是分别经过A(1,1),B(0,-1)两点的两条平行直线,当l,l 间的距离最大时,直线l 的方程为( 1 2 1 2 1 ) A.x+2y-3=0 B.x-2y-3=0 C.2x-y-1=0 D.2x-y-3=0 22.已知三角形的三个顶点 , , ,则 边上中线的长为( ) A. B. C. D. 23.直线 , 为直线 上动点,则 的最小值为( ) A. B. C. D. 24.到 , 的距离相等的动点P满足的方程是( ) A. B. C. D. 25.在平面直角坐标系中,以 , , 为顶点构造平行四边形,下列各项中不能作为平行四边形第 四个顶点坐标的是( ) A. B. C. D. 试卷第4页,共3页 学学科科网网((北北京京))股股份份有有限限公公司司26.直线y=4x﹣5关于点P(2,1)对称的直线方程是( ) A.y=4x+5 B.y=4x﹣5 C.y=4x﹣9 D.y=4x+9 27.已知线段AB两端点的坐标分别为 和 ,若直线 与线段AB有交点,则实数m 的取值范围是( ) A. B. C. D. 28.已知点O(0,0),A(–2,0),B(2,0).设点P满足|PA|–|PB|=2,且P为函数y= 图像上的点, 则|OP|=( ) A. B. C. D. 29.若直线 与直线 的交点位于第二象限,则直线 的倾斜角的取值范围是( ) A. B. C. D. 30.已知直线 与直线 和 的距离相等,则 的方程是( ) A. B. C. D. 【高分突破】 一、单选题 31.设直线 , 为直线 上动点,则 的最小值为( ) A. B. C. D. 试卷第5页,共3页 学学科科网网((北北京京))股股份份有有限限公公司司32.已知点 , ,点 在 轴上,则 的最小值为( ) A.6 B. C. D. 33.已知圆 和圆 的公共弦所在的直线恒过定点 ,且点 在直线 上,则 的最小值为( ) A. B. C. D. 34.已知点 与 关于直线 对称,则 的值分别为( ) A.1,3 B. , C.-2,0 D. , 35.点 关于直线 的对称点是( ) A. B. C. D. 36.已知直线 : ,点 , ,若直线 与线段 相交,则 的取值范 围为( ) A. B. C. D. 37.在平面直角坐标系 中,若双曲线 ( , )的右焦点 到一条渐近线的距离为 , 则其离心率的值为 A. B. C. D. 二、多选题 38.若点A(a,1)到直线3x-4y=1的距离为1,则a的值为( ) A.0 B. C.5 D.- 39.已知直线 , , ,以下结论正确的是( ) A.不论 为何值时, 与 都互相垂直; 试卷第6页,共3页 学学科科网网((北北京京))股股份份有有限限公公司司B.当 变化时, 与 分别经过定点 和 C.不论 为何值时, 与 都关于直线 对称 D.如果 与 交于点M,则 的最大值是 40.已知平面上一点 ,若直线上存在点 使 ,则称该直线为“切割型直线”,下列直线中是“切 割型直线”的是( ) A. B. C. D. 41.在平面直角坐标系xOy中,已知 , ,点P满足 ,设点P的轨迹为C,下列结论正确的 是( ) A.C的方程为 B.在x轴上存在异于A,B的两个定点D,E,使得 C.当A,B,P三点不共线时, D.若点 ,则在C上存在点M,使得 三、填空题 42.已知直线l被两条直线 和 截得的线段的中点为 ,则直线l的一般式方 程为______. 43.已知直线l 与l:x+y-1=0平行,且l 与l 的距离为 ,则l 的方程为________. 1 2 1 2 1 44.已知实数a,b,c,d满足 ,则 的最小值为____________ 45.方程组 有无穷多组解,则实数 ___________ 46.已知直线l:ax-2y=2a-4,l:2x+a2y=2a2+4,当0<a<2时,直线l,l 与两坐标轴围成一个四边形, 1 2 1 2 当四边形的面积最小时,实数a=________. 47.已知直线 经过两条直线 和 的交点,且垂直于直线 ,则直线 方程 为___________. 试卷第7页,共3页 学学科科网网((北北京京))股股份份有有限限公公司司四、解答题 48.已知 的两条高所在的直线方程为 ,若点A坐标为 (1)求垂心H的坐标; (2)若 关于直线 的对称点为N,求点N到直线BC的距离. 49.已知点 到直线 的距离为1,求C的值. 50.已知直线 过点 ,且其倾斜角是直线 的倾斜角的 (1)求直线 的方程; (2)若直线 与直线 平行,且点 到直线 的距离是 ,求直线 的方程. 51.已知直线l: ,( ). (1)若直线l不经过第四象限,求k的取值范围; (2)若直线l交x轴的负半轴于点A,交y轴的正半轴于点B,O为坐标原点,设 的面积为S,求S的最小 值及此时直线l的方程. 52.已知 的顶点A(3,1),边AB上的高CE所在直线的方程为x+3y-5=0,AC边上中线BD所在的直线方 程为x+y-4=0 (1)求直线AB的方程; (2)求点C的坐标. 试卷第8页,共3页 学学科科网网((北北京京))股股份份有有限限公公司司参考答案 1.C 【解析】 【分析】 根据两直线垂直,列出关于a的方程,求得其值,结合两直线交点在第三象限,即可确定答案. 【详解】 由直线 与直线 互相垂直, 可得 ,解得 或3, 当 时,联立 ,解得交点坐标为 ,不合题意; 当 时,联立 ,解得交点坐标为 ,合乎题意, 故实数a的值为 , 故选:C 2.A 【解析】 【分析】 联立两条直线的方程求出交点坐标,再根据直线方程的点斜式即可求解. 【详解】 由 解得 ,故两直线交点为(-1,2), 故直线方程是: ,即 . 故选:A. 3.D 【解析】 【分析】 首先求两直线的交点坐标,再设直线方程为 ,将交点坐标代入方程,即可求出参数 的值,即可得 解; 【详解】 解:由 ,解得 ,所以直线 与 的交点为 ,设与直线 平行的直线为 ,所以 解得 ,所以直线方程为 ; 故选:D 4.A 【解析】 【分析】 表示点 与 距离的平方,求出 到直线 的距离,即可得到答案. 第 9 页【详解】 表示点 与 距离的平方, 因为点 到直线 的距离 , 所以 的最小值为 . 故选:A 5.A 【解析】 【分析】 先求出 及直线 的方程,再利用距离公式求出 到直线 的距离,按照三角形的面积公式即可求解. 【详解】 由题意知: ,直线 的方程为 ,即 ,则 到直线 的 距离为 , 故三角形的面积为 . 故选:A. 6.B 【解析】 【分析】 依据两点间距离公式去求 【详解】 点 在抛物线 上,则 ,解之得 ,则 又抛物线 的焦点F ,准线 则直线MF的方程为 ,则N 则 故选:B 7.D 【解析】 【分析】 利用已知可推出圆心C的轨迹为抛物线,利用抛物线的几何性质求解即可. 【详解】 解:依题意,设圆C的圆心 ,动点C到点P的距离等于到直线 的距离, 第 10 页根据抛物线的定义可得圆心C的轨迹方程为 , 设圆心C到直线 距离为d, , 当 时, , 故选:D. 8.B 【解析】 【分析】 先求得直线l的方程,再利用点到直线距离公式去求点 到直线l的距离即可. 【详解】 以向量 为方向向量的直线l的斜率 则过点P的直线l的方程为 ,即 则点 到直线l的距离 故选:B 9.D 【解析】 【分析】 求出 令 ,得 ,利用点到直线的距离公式可得答案. 【详解】 ,令 ,得 , 则点 到直线 的距离就是所求的最短距离, 即 . 故选:D. 10.D 【解析】 【分析】 先由平行求出 ,再由平行线间距离公式求解即可. 【详解】 由直线平行可得 ,解得 ,则直线方程为 ,即 ,则距离是 . 故选:D. 第 11 页11.B 【解析】 【分析】 先判断 与 平行,再由平行线间的距离公式求解即可. 【详解】 由 可得 ,即 与 平行,故 与 之间的距离为 . 故选:B. 12.C 【解析】 【分析】 根据两直线平行求出 ,再利用两平行直线之间的距离公式可求出结果. 【详解】 因为直线 与直线 平行, 所以 ,解得 , 将 化为 , 所以两平行直线 与 之间的距离为 . 故选:C 13.C 【解析】 【分析】 求得 关于直线 的对称点 ,利用两点间的距离公式求得 的最小值. 【详解】 关于直线 的对称点 的坐标为 , 则 , 则 的最小值是 . 故选:C 第 12 页14.B 【解析】 【分析】 直接代入点到直线距离公式,即可得解. 【详解】 根据距离公式可得: 点 到直线 的距离 , 故选:B. 15.D 【解析】 【分析】 先求点 关于直线 对称的点 ,再根据两点之间线段最短,即可得解. 【详解】 如图,设 关于直线 对称的点为 , 第 13 页则有 ,可得 ,可得 , 依题意可得“将军饮马”的最短总路程为 , 此时 , 故选:D. 16.A 【解析】 在直线2y-x+1=0上任取一点 ,设关于y-x=0的对称点为 ,再利用垂直平分求解. 【详解】 在直线2y-x+1=0上任取一点 ,设关于y-x=0的对称点为 , 则 ,解得 ,代入直线2y-x+1=0, 得y-2x-1=0, 故选:A 17.C 【解析】 作出图形,求出点 关于直线 的对称点 的坐标,在直线 上取点 ,利用 、 、 三点共线时 取得最小值即可得解. 【详解】 如下图所示,设点 关于直线 的对称点为 , 第 14 页由题意可得 ,解得 ,即点 , 在直线 上取点 ,由对称性可得 , 所以, , 当且仅当 、 、 三点共线时,等号成立, 因此,“将军饮马“的最短总路程为 . 故选:C. 【点睛】 思路点睛:本题考查“将军饮马”最短路径问题,求解此类问题的基本思路就是求得动点关于所在直线的对称点 后,利用三角形两边之和大于第三边的特点,利用三点共线时求得最值来求解. 18.B 【解析】 【分析】 直接运用点到直线距离公式进行求解即可. 【详解】 点(2,1)到直线l:x-2y+2=0的距离为 , 故选:B 19.D 【解析】 根据直线的倾斜角、斜率、点到直线的距离公式、两直线平行的条件逐一判断各个选项即可. 【详解】 ∵ : ,即 , ∴直线的斜率 , ∴ ,则A错; 第 15 页又 ,则B错; 点 到直线 的距离是 ,则C错; 过 与直线 平行的直线方程是 ,即 ,则D对; 故选:D. 【点睛】 本题主要考查直线的方程,属于基础题. 20.C 【解析】 【分析】 本题先化简集合A、集合B,再结合 ,确定直线 与 平行或直线 过 点 ,最后求实数a的值. 【详解】 解:集合A表示直线 ,即 上的点,但除去点 , 集合B表示直线 上的点, 当 时, 直线 与 平行或直线 过点 , 所以 或 , 解得 或 . 故选:C. 【点睛】 本题考查集合的运算、利用两条直线平行求参数、利用两条直线的交点求参数,是基础题. 21.A 【解析】 【分析】 根据题意,当两条平行直线与AB垂直时,两条平行直线的距离最大,求得直线l 的斜率,结合点斜式,即可求解. 1 【详解】 当两条平行直线与AB垂直时,两条平行直线的距离最大, 因为 ,所以 所以l 的方程为 ,即 . 1 故选:A. 22.B 【解析】 【分析】 第 16 页根据中点坐标公式求解出 中点 的坐标,结合两点间距离公式求解出 边上中线的长. 【详解】 设边 的中点为 . 因为 , ,所以 , , 即 ,所以 , 故选:B. 23.C 【解析】 【分析】 根据题意,所求最值即为 到直线 距离的平方,即可求解. 【详解】 解:由题意得: 表示 到 的距离的平方,而 为直线 上动点,所以 的最小 值,即为 到直线 距离的平方,即 , 故选:C 24.B 【解析】 【分析】 设点 ,利用 ,整理化简后可的点P满足的方程. 【详解】 设 , 因为点P到 , 的距离相等, 则 即 , 化简整理得: . 故选:B 【点睛】 本题主要考查了求点的轨迹方程,涉及两点间距离公式,属于基础题. 25.A 【解析】 【分析】 依次代入四个选项的坐标,求出每种情况下四边的长度,结合对边是否平行即可选出正确答案. 【详解】 设第四个顶点为 .当点 的坐标为 时, , , , 第 17 页.∵ , ,∴四边形 不是平行四边形.A不正确; 当 点坐标为 时,因为 ,即 且 , 故 是平行四边形,B正确; 当 点坐标为 时,因为 ,即 且 , 故 是平行四边形,C正确; 当 点坐标为 时,因为 ,即 且 , 故 是平行四边形,D正确; 故选:A. 【点睛】 本题考查了两点间的距离公式,考查了判断两直线是否平行,属于基础题. 26.C 【解析】 【分析】 设直线 上的点 关于点 的对称点的坐标为 ,求出 , ,再代入直线 中即 可得到对称直线的方程. 【详解】 设直线 上的点 关于点 的对称点的坐标为 , 所以 , ,所以 , , 将其代入直线 中,得到 ,化简得 , 故选:C. 【点睛】 本题主要考查的知识要点:直线的方程和中点坐标公式,属于基础题. 27.C 【解析】 【分析】 判断出直线 所过定点 ,结合图象求得 的取值范围 【详解】 直线 恒过的定点 , . 当 时,直线 方程为 ,与线段 有交点,符合题意. 当 时,直线 的斜率为 ,则 , 解得 或 ,综上, . 故选:C 第 18 页28.D 【解析】 【分析】 根据题意可知,点 既在双曲线的一支上,又在函数 的图象上,即可求出点 的坐标,得到 的值. 【详解】 因为 ,所以点 在以 为焦点,实轴长为 ,焦距为 的双曲线的右支上,由 可得, ,即双曲线的右支方程为 ,而点 还在函数 的图象上,所以, 由 ,解得 ,即 . 故选:D. 【点睛】 本题主要考查双曲线的定义的应用,以及二次曲线的位置关系的应用,意在考查学生的数学运算能力,属于基础 题. 29.D 【解析】 【分析】 联立方程组求得两直线的交点坐标,根据交点位于第二象限,列出不等式,求得 ,结合倾斜角和斜率的关 系,即可求解. 【详解】 联立方程组 ,解得 , 第 19 页因为两直线的交点位于第二象限,可得 且 ,解得 , 设直线 的倾斜角为 ,其中 ,即 ,解得 , 即直线 的倾斜角的取值范围是 . 故选:D. 30.D 【解析】 【分析】 设所求直线方程为: ,根据该直线与 和 的距离相等,建立方程 求解可得选项. 【详解】 设所求直线l方程为: , 因为直线l与 ; 距离相等,所以 ,解得 , 所以所求直线方程为: , 故选:D. 31.A 【解析】 【分析】 利用 的几何意义,通过数形结合即可得解. 【详解】 表示点 到点 距离的平方, 该距离的最小值为点 到直线 的距离,即 , 则 的最小值为 . 故选:A. 【点睛】 关键点点睛:本题考查点到线的距离公式,利用两点之间距离的几何意义,通过数形结合是解题的关键,属于基 第 20 页础题. 32.B 【解析】 【分析】 利用对称性,结合两点间线段最短进行求解即可. 【详解】 点 , ,点 在 轴上, 点 关系 轴的对称点为 , . 故选:B. 33.C 【解析】 先根据两圆方程得公共弦方程 ,再求得点 ,再根据 的几何意义即可求解. 【详解】 由圆 和圆 , 可得圆 和 的公共弦所在的直线方程为 , 联立 ,解得 ,即点 又因为点 在直线 上,即 , 又由原点到直线 的距离为 , 第 21 页即 的最小值为 . 故选:C. 【点睛】 本题考查圆的公共弦问题,直线过定点问题,点到直线的距离问题,考查数学运算能力与化归转化思想,是中档 题. 34.B 【解析】 点 关于直线 对称,则利用垂直关系,以及线段 的中点在直线 上,列式求解. 【详解】 ,若点 与 关于直线 对称, 则直线 与直线 垂直,直线 的斜率是 , 所以 ,得 . 线段 的中点 在直线 上,则 ,得 故选:B 35.B 【解析】 【分析】 设出对称点,根据对称 关系列出式子即可求解. 【详解】 解:设点 关于直线 的对称点是 , 则有 ,解得 , , 故点 关于直线 的对称点是 . 故选:B. 【点睛】 方法点睛:关于轴对称问题: (1)点 关于直线 的对称点 ,则有 ; (2)直线关于直线的对称可转化为点关于直线的对称问题来解决. 36.C 【解析】 第 22 页根据题意得直线 恒过点 ,进而得直线 的斜率 的取值范围为: 或 ,再根据 ,解 不等式即可得答案. 【详解】 直线 方程变形得: . 由 得 ,∴直线 恒过点 , , , 由图可知直线 的斜率 的取值范围为: 或 , 又 , ∴ 或 ,即 或 , 又 时直线的方程为 ,仍与线段 相交, ∴ 的取值范围为 . 故选:C. 【点睛】 本题解题的关键在于根据直线系方程 得直线 恒过点 .考查数形结合思想,运 算求解能力,是中档题. 37.B 【解析】 利用双曲线的简单性质,以及点到直线的距离列出方程,转化求解即可. 第 23 页【详解】 双曲线 ( , )的右焦点 到一条渐近线 的距离为 可得: 可得 ,即 所以双曲线的离心率为: . 故选:B. 【点睛】 本题考查双曲线的简单性质,焦点坐标,渐近线方程,还运用双曲线中焦点到渐近线的距离为 以及点到直线的距 离公式: . 38.AB 【解析】 【分析】 利用点到直线距离公式求解即可. 【详解】 点A(a,1)到直线3x-4y=1的距离为 故 ,解得 或 故选:AB 39.ABD 【解析】 【分析】 由两直线垂直的判定方法判断A;根据直线过定点的求解方法判断B;设 上一点 ,其关于 对称 的点是否在 上,判断C;联立两直线方程可求得 ,利用两点间距离公式表示出 ,根据函数最值的求法可 求得 的最大值,判断D. 【详解】 对于A, 恒成立, 恒成立,A正确; 对于B,对于直线 ,当 时, 恒成立,则 过定点 ;对于直线 ,当 时, 恒成立,则 恒过定点 ,B正确; 对于C,在 上任取点 ,关于直线 对称的点的坐标为 , 代入 方程知: 不在 上,C错误; 第 24 页对于D,联立 ,解得: ,即 , ,即 的最大值是 ,D正确. 故选:ABD. 40.BC 【解析】 【分析】 所给直线上的点到定点 距离能否取 ,可通过求各直线上的点到点 的最小距离,即点 到直线的距离来分 析,分别求出定点 到各选项的直线的距离,判断是否小于或等于4,即可得出答案. 【详解】 所给直线上的点到定点 距离能否取 ,可通过求各直线上的点到点 的最小距离,即点 到直线的距离来分 析. A.因为 ,故直线上不存在点到 距离等于 ,不是“切割型直线”;B.因为 ,所以 在直线上可以找到两个不同的点,使之到点 距离等于 ,是“切割型直线”; C.因为 ,直线上存在一点,使之到点 距离等于 ,是“切割型直线”;D.因为 ,故直线上不存在点到 距离等于 ,不是“切割型直线”. 故选:BC. 41.BCD 【解析】 【分析】 结合两点的距离公式计算即可判断A; 利用对称的特点即可判断B; 利用坐标表示向量的线性运算即可判断C; 结合点到直线的距离即可判断D. 【详解】 选项A:设 ,由条件, ,即 ,所以C的方程为 ,故A错误; 选项B:由对称性可知,存在D,E满足条件,故B正确; 选项C: , ,所以 ,故 ,故C正确; 选项D:由 知,M的轨迹是线段B的垂直平分线,其方程为 ,圆C的圆心 到l的 第 25 页距离 ,所以直线1与圆C相交,故在C上存在点M,使得 ,故D正确. 故选:BCD 42. 【解析】 【分析】 通过解方程组求出直线l与两直线交点的坐标,再利用中点坐标公式进行求解即可. 【详解】 设直线l的斜率为 ,因为直线l过 , 所以直线方程为 , 由 , 由 ,由题意可知: 是截得的线段的中点, 所以 ,即 , 故答案为: 43.x+y+1=0或x+y-3=0 【解析】 【分析】 根据两直线平行时,直线方程的特点,结合平行线距离公式进行求解即可. 【详解】 设l 的方程为x+y+C=0(C≠-1),由题意得 = ,得C=1或C=-3,故所求的直线方程为x+y+1=0 1 或x+y-3=0. 故答案为:x+y+1=0或x+y-3=0 44. 【解析】 【分析】 由题知所求式子为 与 两点间距离的平方,根据已知等式可知直线 上的点到直线 上点的距离的平方,利用点到直线的距离公式即求. 【详解】 ∵实数a,b,c,d满足 , ∴ , , ∴点 在直线 上,点 在直线 上, ∴ 的几何意义就是直线 上的点到直线 上点的距离的平方, 第 26 页故所求最小值为 . 故答案为: . 45. 【解析】 【分析】 由已知关于 的方程组 有无穷多组解,则直线 与直线 重合,根据两条直线重合对 应系数成比例,构造关于 的方程,解方程即可得到答案. 【详解】 解:若关于 的方程组 有无穷多组解, 则直线 与直线 重合, 即 , 解得 , 故答案为 . 【点睛】 本题考查的知识点是直线的一般式方程与直线的平行关系,其中根据已知分析出两条直线重合是解答本题的关键, 是基础题. 46. 【解析】 先确定两直线恒过定点P(2,2),再结合图像四边形的面积S= ,整理判断二次函数何时取最小值即可. 【详解】 由题意知,直线l,l 恒过定点P(2,2),如图所示, 1 2 第 27 页直线l 与y轴的交点为 ,直线l 与x轴的交点为 ,所以四边形的面积S= 1 2 ×2×(2-a)+ ×2×(a2+2)=a2-a+4= ,当a= 时,面积最小. 故答案为: . 【点睛】 本题解题关键是找出定点,数形结合,将四边形分成两个三角形求面积的表达式,再求最值. 47. 【解析】 【分析】 联立已知直线的方程可得交点的坐标,根据两直线垂直求出直线 的斜率,根据点斜式即可得直线 的方程. 【详解】 由 ,解可得 , 所以两直线的交点坐标为 , 则直线 过点 , 因为直线 与 垂直,所以直线 的斜率为 , 所以直线 的方程为: ,即 , 故答案为: . 48.(1) ;(2) . 【解析】 【分析】 根据三角形垂心的意义,结合条件已知 的两条高所在直线的方程分别为 , ,只须 求得这两条高线的交点即可. 求出 关于直线l : 的对称点为 ,求出BC: ,根据点到线的距离公式 计算即可. 【详解】 设 , 第 28 页由题意, ,可得 ,故垂心 ; 由(1)知: , 由“三条高线交于一点”得: , ,又 ,可设 ,代入 ,解得: , , ,可得 ,即 , ∴ ,整理后得: , 设 的对称点 ,则有 ,且MN的中点 在l上, ∴ ,整理得 ,解得 , ∴N到直线BC的距离为 . 49.15或5 【解析】 【分析】 直接利用点到直线距离公式列方程求解即可. 【详解】 点 到直线 的距离为 , 即 , 故 , 即 或 第 29 页50.(1) ;(2) 或 . 【解析】 【分析】 (1)先求得直线 的倾斜角,由此求得直线 的倾斜角和斜率,进而求得直线 的方程; (2)设出直线 的方程,根据点 到直线 的距离列方程,由此求解出直线 的方程. 【详解】 解(1)直线 的倾斜角为 , ∴直线 的倾斜角为 ,斜率为 , 又直线 过点 , ∴直线 的方程为 ,即 ; (2)设直线 的方程为 ,则点 到直线 的距离 , 解得 或 ∴直线 的方程为 或 51.(1) ;(2) S的最小值为16,直线l的方程为 【解析】 【分析】 (1)直线含参先求出定点,再利用数形结合求出k的取值范围; (2)直线过定点求面积的最值,可将直线直接设为截距式,再利用基本不等式求出其面积最小值及直线方程. 【详解】 (1) 直线方程为: ,所以直线恒过 .由图可得, 当直线由 逆时针旋转到 时,直线不过第四象限,所以 . (2)设直线l为 ,因为 在直线上,所以 . 又 ,所以 ,两边同时平方得: , ,当且仅当 ,即 , 时取等号,所以 的面积为 ,此时直线方程为 ,化简得: 第 30 页. 52.(1) ;(2) . 【解析】 【分析】 (1)求出直线AB的斜率为 ,再利用点斜式即可求解. (2)设 ,由题意可知 为AC中点可得 ,代入直线CE所在直线,再由 ,联立方 程即可求解. 【详解】 (1)∵CE⊥AB,且直线CE的斜率为 , ∴直线AB的斜率为 , ∴直线AB的方程为 ,即 ; (2)设 , 由 为AC中点可得 , ∴ , 解得 ,代入 , ∴ . 第 31 页第 32 页