当前位置:首页>文档>专题12二次函数中的存在性问题专训(教师版)_初中数学_九年级数学上册(人教版)_重难点专题提升-V7_2024版

专题12二次函数中的存在性问题专训(教师版)_初中数学_九年级数学上册(人教版)_重难点专题提升-V7_2024版

  • 2026-04-01 22:03:18 2026-03-22 02:59:04

文档预览

专题12二次函数中的存在性问题专训(教师版)_初中数学_九年级数学上册(人教版)_重难点专题提升-V7_2024版
专题12二次函数中的存在性问题专训(教师版)_初中数学_九年级数学上册(人教版)_重难点专题提升-V7_2024版
专题12二次函数中的存在性问题专训(教师版)_初中数学_九年级数学上册(人教版)_重难点专题提升-V7_2024版
专题12二次函数中的存在性问题专训(教师版)_初中数学_九年级数学上册(人教版)_重难点专题提升-V7_2024版
专题12二次函数中的存在性问题专训(教师版)_初中数学_九年级数学上册(人教版)_重难点专题提升-V7_2024版
专题12二次函数中的存在性问题专训(教师版)_初中数学_九年级数学上册(人教版)_重难点专题提升-V7_2024版
专题12二次函数中的存在性问题专训(教师版)_初中数学_九年级数学上册(人教版)_重难点专题提升-V7_2024版
专题12二次函数中的存在性问题专训(教师版)_初中数学_九年级数学上册(人教版)_重难点专题提升-V7_2024版
专题12二次函数中的存在性问题专训(教师版)_初中数学_九年级数学上册(人教版)_重难点专题提升-V7_2024版
专题12二次函数中的存在性问题专训(教师版)_初中数学_九年级数学上册(人教版)_重难点专题提升-V7_2024版
专题12二次函数中的存在性问题专训(教师版)_初中数学_九年级数学上册(人教版)_重难点专题提升-V7_2024版
专题12二次函数中的存在性问题专训(教师版)_初中数学_九年级数学上册(人教版)_重难点专题提升-V7_2024版
专题12二次函数中的存在性问题专训(教师版)_初中数学_九年级数学上册(人教版)_重难点专题提升-V7_2024版
专题12二次函数中的存在性问题专训(教师版)_初中数学_九年级数学上册(人教版)_重难点专题提升-V7_2024版
专题12二次函数中的存在性问题专训(教师版)_初中数学_九年级数学上册(人教版)_重难点专题提升-V7_2024版
专题12二次函数中的存在性问题专训(教师版)_初中数学_九年级数学上册(人教版)_重难点专题提升-V7_2024版
专题12二次函数中的存在性问题专训(教师版)_初中数学_九年级数学上册(人教版)_重难点专题提升-V7_2024版
专题12二次函数中的存在性问题专训(教师版)_初中数学_九年级数学上册(人教版)_重难点专题提升-V7_2024版
专题12二次函数中的存在性问题专训(教师版)_初中数学_九年级数学上册(人教版)_重难点专题提升-V7_2024版
专题12二次函数中的存在性问题专训(教师版)_初中数学_九年级数学上册(人教版)_重难点专题提升-V7_2024版
专题12二次函数中的存在性问题专训(教师版)_初中数学_九年级数学上册(人教版)_重难点专题提升-V7_2024版
专题12二次函数中的存在性问题专训(教师版)_初中数学_九年级数学上册(人教版)_重难点专题提升-V7_2024版
专题12二次函数中的存在性问题专训(教师版)_初中数学_九年级数学上册(人教版)_重难点专题提升-V7_2024版
专题12二次函数中的存在性问题专训(教师版)_初中数学_九年级数学上册(人教版)_重难点专题提升-V7_2024版
专题12二次函数中的存在性问题专训(教师版)_初中数学_九年级数学上册(人教版)_重难点专题提升-V7_2024版
专题12二次函数中的存在性问题专训(教师版)_初中数学_九年级数学上册(人教版)_重难点专题提升-V7_2024版
专题12二次函数中的存在性问题专训(教师版)_初中数学_九年级数学上册(人教版)_重难点专题提升-V7_2024版
专题12二次函数中的存在性问题专训(教师版)_初中数学_九年级数学上册(人教版)_重难点专题提升-V7_2024版
专题12二次函数中的存在性问题专训(教师版)_初中数学_九年级数学上册(人教版)_重难点专题提升-V7_2024版
专题12二次函数中的存在性问题专训(教师版)_初中数学_九年级数学上册(人教版)_重难点专题提升-V7_2024版
专题12二次函数中的存在性问题专训(教师版)_初中数学_九年级数学上册(人教版)_重难点专题提升-V7_2024版
专题12二次函数中的存在性问题专训(教师版)_初中数学_九年级数学上册(人教版)_重难点专题提升-V7_2024版
专题12二次函数中的存在性问题专训(教师版)_初中数学_九年级数学上册(人教版)_重难点专题提升-V7_2024版
专题12二次函数中的存在性问题专训(教师版)_初中数学_九年级数学上册(人教版)_重难点专题提升-V7_2024版
专题12二次函数中的存在性问题专训(教师版)_初中数学_九年级数学上册(人教版)_重难点专题提升-V7_2024版
专题12二次函数中的存在性问题专训(教师版)_初中数学_九年级数学上册(人教版)_重难点专题提升-V7_2024版
专题12二次函数中的存在性问题专训(教师版)_初中数学_九年级数学上册(人教版)_重难点专题提升-V7_2024版
专题12二次函数中的存在性问题专训(教师版)_初中数学_九年级数学上册(人教版)_重难点专题提升-V7_2024版
专题12二次函数中的存在性问题专训(教师版)_初中数学_九年级数学上册(人教版)_重难点专题提升-V7_2024版
专题12二次函数中的存在性问题专训(教师版)_初中数学_九年级数学上册(人教版)_重难点专题提升-V7_2024版
专题12二次函数中的存在性问题专训(教师版)_初中数学_九年级数学上册(人教版)_重难点专题提升-V7_2024版
专题12二次函数中的存在性问题专训(教师版)_初中数学_九年级数学上册(人教版)_重难点专题提升-V7_2024版
专题12二次函数中的存在性问题专训(教师版)_初中数学_九年级数学上册(人教版)_重难点专题提升-V7_2024版
专题12二次函数中的存在性问题专训(教师版)_初中数学_九年级数学上册(人教版)_重难点专题提升-V7_2024版
专题12二次函数中的存在性问题专训(教师版)_初中数学_九年级数学上册(人教版)_重难点专题提升-V7_2024版
专题12二次函数中的存在性问题专训(教师版)_初中数学_九年级数学上册(人教版)_重难点专题提升-V7_2024版
专题12二次函数中的存在性问题专训(教师版)_初中数学_九年级数学上册(人教版)_重难点专题提升-V7_2024版
专题12二次函数中的存在性问题专训(教师版)_初中数学_九年级数学上册(人教版)_重难点专题提升-V7_2024版
专题12二次函数中的存在性问题专训(教师版)_初中数学_九年级数学上册(人教版)_重难点专题提升-V7_2024版
专题12二次函数中的存在性问题专训(教师版)_初中数学_九年级数学上册(人教版)_重难点专题提升-V7_2024版
专题12二次函数中的存在性问题专训(教师版)_初中数学_九年级数学上册(人教版)_重难点专题提升-V7_2024版
专题12二次函数中的存在性问题专训(教师版)_初中数学_九年级数学上册(人教版)_重难点专题提升-V7_2024版
专题12二次函数中的存在性问题专训(教师版)_初中数学_九年级数学上册(人教版)_重难点专题提升-V7_2024版
专题12二次函数中的存在性问题专训(教师版)_初中数学_九年级数学上册(人教版)_重难点专题提升-V7_2024版
专题12二次函数中的存在性问题专训(教师版)_初中数学_九年级数学上册(人教版)_重难点专题提升-V7_2024版
专题12二次函数中的存在性问题专训(教师版)_初中数学_九年级数学上册(人教版)_重难点专题提升-V7_2024版
专题12二次函数中的存在性问题专训(教师版)_初中数学_九年级数学上册(人教版)_重难点专题提升-V7_2024版
专题12二次函数中的存在性问题专训(教师版)_初中数学_九年级数学上册(人教版)_重难点专题提升-V7_2024版
专题12二次函数中的存在性问题专训(教师版)_初中数学_九年级数学上册(人教版)_重难点专题提升-V7_2024版
专题12二次函数中的存在性问题专训(教师版)_初中数学_九年级数学上册(人教版)_重难点专题提升-V7_2024版
专题12二次函数中的存在性问题专训(教师版)_初中数学_九年级数学上册(人教版)_重难点专题提升-V7_2024版
专题12二次函数中的存在性问题专训(教师版)_初中数学_九年级数学上册(人教版)_重难点专题提升-V7_2024版
专题12二次函数中的存在性问题专训(教师版)_初中数学_九年级数学上册(人教版)_重难点专题提升-V7_2024版
专题12二次函数中的存在性问题专训(教师版)_初中数学_九年级数学上册(人教版)_重难点专题提升-V7_2024版
专题12二次函数中的存在性问题专训(教师版)_初中数学_九年级数学上册(人教版)_重难点专题提升-V7_2024版
专题12二次函数中的存在性问题专训(教师版)_初中数学_九年级数学上册(人教版)_重难点专题提升-V7_2024版
专题12二次函数中的存在性问题专训(教师版)_初中数学_九年级数学上册(人教版)_重难点专题提升-V7_2024版
专题12二次函数中的存在性问题专训(教师版)_初中数学_九年级数学上册(人教版)_重难点专题提升-V7_2024版
专题12二次函数中的存在性问题专训(教师版)_初中数学_九年级数学上册(人教版)_重难点专题提升-V7_2024版
专题12二次函数中的存在性问题专训(教师版)_初中数学_九年级数学上册(人教版)_重难点专题提升-V7_2024版
专题12二次函数中的存在性问题专训(教师版)_初中数学_九年级数学上册(人教版)_重难点专题提升-V7_2024版
专题12二次函数中的存在性问题专训(教师版)_初中数学_九年级数学上册(人教版)_重难点专题提升-V7_2024版
专题12二次函数中的存在性问题专训(教师版)_初中数学_九年级数学上册(人教版)_重难点专题提升-V7_2024版
专题12二次函数中的存在性问题专训(教师版)_初中数学_九年级数学上册(人教版)_重难点专题提升-V7_2024版
专题12二次函数中的存在性问题专训(教师版)_初中数学_九年级数学上册(人教版)_重难点专题提升-V7_2024版
专题12二次函数中的存在性问题专训(教师版)_初中数学_九年级数学上册(人教版)_重难点专题提升-V7_2024版
专题12二次函数中的存在性问题专训(教师版)_初中数学_九年级数学上册(人教版)_重难点专题提升-V7_2024版
专题12二次函数中的存在性问题专训(教师版)_初中数学_九年级数学上册(人教版)_重难点专题提升-V7_2024版
专题12二次函数中的存在性问题专训(教师版)_初中数学_九年级数学上册(人教版)_重难点专题提升-V7_2024版
专题12二次函数中的存在性问题专训(教师版)_初中数学_九年级数学上册(人教版)_重难点专题提升-V7_2024版
专题12二次函数中的存在性问题专训(教师版)_初中数学_九年级数学上册(人教版)_重难点专题提升-V7_2024版
专题12二次函数中的存在性问题专训(教师版)_初中数学_九年级数学上册(人教版)_重难点专题提升-V7_2024版
专题12二次函数中的存在性问题专训(教师版)_初中数学_九年级数学上册(人教版)_重难点专题提升-V7_2024版
专题12二次函数中的存在性问题专训(教师版)_初中数学_九年级数学上册(人教版)_重难点专题提升-V7_2024版
专题12二次函数中的存在性问题专训(教师版)_初中数学_九年级数学上册(人教版)_重难点专题提升-V7_2024版
专题12二次函数中的存在性问题专训(教师版)_初中数学_九年级数学上册(人教版)_重难点专题提升-V7_2024版
专题12二次函数中的存在性问题专训(教师版)_初中数学_九年级数学上册(人教版)_重难点专题提升-V7_2024版
专题12二次函数中的存在性问题专训(教师版)_初中数学_九年级数学上册(人教版)_重难点专题提升-V7_2024版
专题12二次函数中的存在性问题专训(教师版)_初中数学_九年级数学上册(人教版)_重难点专题提升-V7_2024版
专题12二次函数中的存在性问题专训(教师版)_初中数学_九年级数学上册(人教版)_重难点专题提升-V7_2024版
专题12二次函数中的存在性问题专训(教师版)_初中数学_九年级数学上册(人教版)_重难点专题提升-V7_2024版
专题12二次函数中的存在性问题专训(教师版)_初中数学_九年级数学上册(人教版)_重难点专题提升-V7_2024版
专题12二次函数中的存在性问题专训(教师版)_初中数学_九年级数学上册(人教版)_重难点专题提升-V7_2024版
专题12二次函数中的存在性问题专训(教师版)_初中数学_九年级数学上册(人教版)_重难点专题提升-V7_2024版
专题12二次函数中的存在性问题专训(教师版)_初中数学_九年级数学上册(人教版)_重难点专题提升-V7_2024版
专题12二次函数中的存在性问题专训(教师版)_初中数学_九年级数学上册(人教版)_重难点专题提升-V7_2024版
专题12二次函数中的存在性问题专训(教师版)_初中数学_九年级数学上册(人教版)_重难点专题提升-V7_2024版

文档信息

文档格式
docx
文档大小
8.193 MB
文档页数
97 页
上传时间
2026-03-22 02:59:04

文档内容

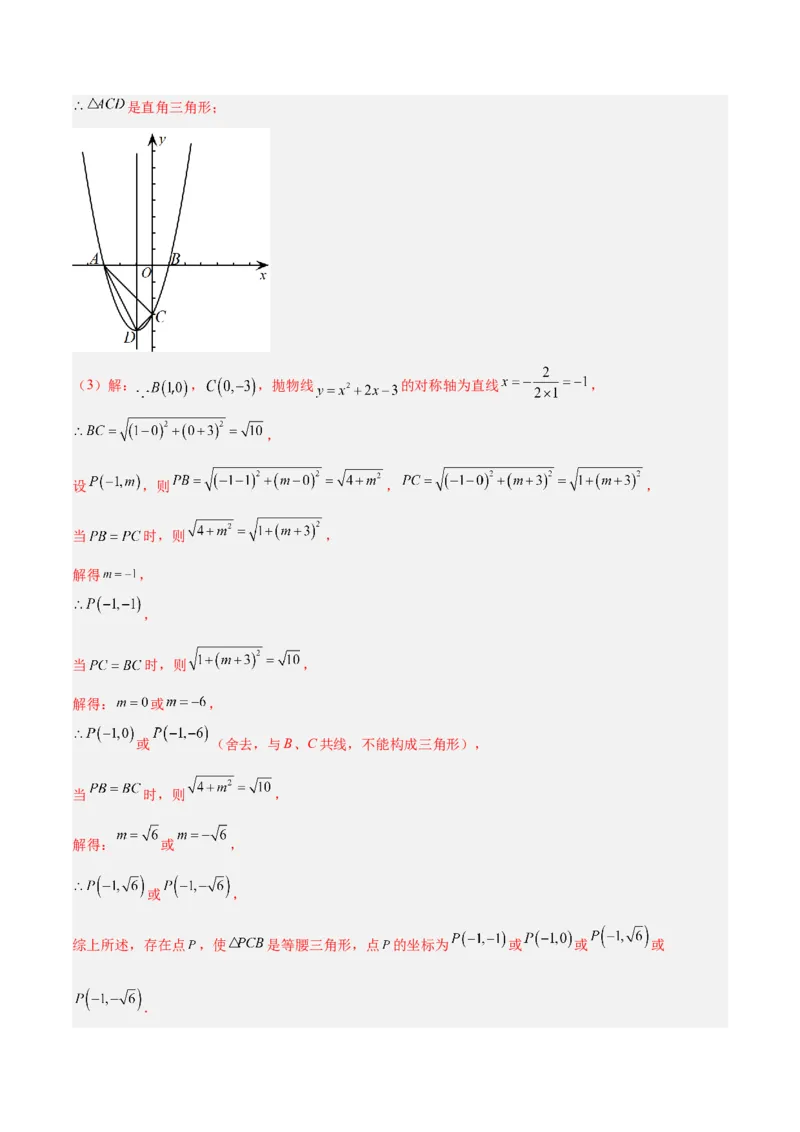
专题12 二次函数中的存在性问题专训 【题型目录】 题型一 二次函数中直角三角形的存在性问题 题型二 二次函数中等腰三角形的存在性问题 题型三 二次函数中等腰直角三角形的存在性问题 题型四 二次函数中特殊角度的存在性问题 题型五 二次函数中平行四边形的存在性问题 题型六 二次函数中矩形的存在性问题 题型七 二次函数中菱形的存在性问题 题型八 二次函数中正方形的存在性问题 【经典例题一 二次函数中直角三角形的存在性问题】 【例1】(2023秋·陕西安康·九年级统考期末)如图,已知抛物线的顶点坐标为 ,与x轴交于A、B 两点(点A在点B的右侧),与y轴交于点 ,点P在 所在直线下方的抛物线上,过点P作 轴,交 于点D. 备用图 (1)求该抛物线的函数解析式; (2)连接 ,问是否存在点P,使得 是直角三角形?若存在,求出点P的坐标;若不存在,请说明 理由. 【答案】(1) (2)存在,点P的坐标为 或【分析】(1)设抛物线解析式为顶点式,代入 即可求解; (2)由 为锐角可知分两种情况:①当点P为直角顶点时,可得点 与点B重合,求出点B坐标即 可;②当点A为直角顶点时,证明 、 关于x轴对称,求出直线 的解析式,设 ,则 ,根据关于x轴对称的点的坐标特征列方程求解即可. 【详解】(1)解: 抛物线的顶点坐标为 , 可设该抛物线的解析式为 , 将 代入得: , 解得 , 抛物线的解析式为 ,即 ; (2)由题意可知, 为锐角, 需分点P为直角顶点和点A为直角顶点两种情况进行分析: ①当点P为直角顶点时,如图,点P、D分别在点 、 的位置. , 轴, 轴, 点A在x轴上, 点 也在x轴上, 此时点 与点B重合, 令 ,得 , 解得 , , 点A在点B的右侧,, , 此时点 的坐标为 ; ②当点A为直角顶点时,如图,点P、D分别在点 、 的位置. , , , 为等腰直角三角形, , , , 平分 , 又 轴, , 、 关于x轴对称, 设直线 的解析式为 , 将 , 代入得 , 解得 , 直线 的解析式为 , 设 ,则 , ,解得 , (舍), 当 时, , 此时点 的坐标为 . 综上可得,存在点P,使得 是直角三角形,点P的坐标为 或 . 【点睛】本题考查了待定系数法的应用,一次函数的图象和性质,二次函数的图象和性质,等腰直角三角 形的判定和性质等知识,熟练掌握数形结合思想与分类讨论思想的应用是解题的关键. 【变式训练】 1.(2023·湖北十堰·统考一模)抛物线 经过A、 、 三点.点D为抛物线的顶 点,连接 、 、 、 . (1)求抛物线的解析式; (2)在y轴上是否存在一点E,使 为直角三角形?若存在,请你直接写出点E的坐标;若不存在,请说明理由. 【答案】(1) ; (2)存在,符合题意的点E的坐标为 或 或 或 . 【分析】(1)利用待定系数法求解即可; (2)分三种情况: , , 讨论即可. 【详解】(1)解:∵ 经过 、 , ∴ ,解得 , ∴抛物线的解析式为: ; (2)解:在y轴上存在点E,使 为直角三角形,理由如下: ∵抛物线的解析式为 , ∴ , 设E点坐标为 , ∴ , , , 当 时,有 , ∴ , 解得 , ∴此时点E的坐标为 ; 当 时, , ,解得 , ∴此时点E的坐标为 ; 当 时, , , 解得 或 , ∴此时点E的坐标为 或 . 综上所述,符合题意的点E的坐标为 或 或 或 . 【点睛】本题考查了二次函数与特殊三角形,掌握待定系数法,勾股定理等知识是解题的关键. 2.(2023春·全国·九年级专题练习)如图,在平面直角坐标系 中,直线l: 与x轴,y轴分别 交于点A,B,抛物线 经过点B,且与直线l的另一个交点为 . (1)求n的值和抛物线的解析式. (2)已知P是抛物线上位于直线 下方的一动点(不与点B,C重合),设点P的横坐标为a.当a为何值 时, 的面积最大,并求出其最大值. (3)在抛物线上是否存在点M,使 是以 为直角边的直角三角形?若存在,直接写出点M的坐标; 若不存在,请说明理由.【答案】(1) , ; (2)当 时, 的面积最大,最大值为64; (3)存在点M,使 是以 为直角边的直角三角形,此时点M的坐标为 或 【分析】(1)先求出 ,再把点B、C的坐标代入抛物线的表达式,即可求解; (2)过点P作y轴的平行线交 于点H,连接 ,设点P的坐标为 ,则点 ,可得 , 再由 的面积 ,结合二次函数的性质,即可求解; (3)分两种情况讨论:当点B为直角顶点时,当点C为直角顶点时,即可求解. 【详解】(1)解:对于 , 令 ,则 , 令 ,解得: , 当 时, , ∴点A、B、C的坐标分别为 ; 将点B、C的坐标代入抛物线的表达式得: ,解得: , ∴抛物线的表达式为 ; (2)解:如图,过点P作y轴的平行线交 于点H,连接 ,设点P的坐标为 ,则点 , ∴ , ∴ 的面积 , ∵ , ∴当 时, 的面积存在最大值,最大值为64; (3)解:存在,理由如下: ①当点B为直角顶点时,如图,此时 ,分别过点M和点C作y轴的垂线,垂足分别为N,D, ∵ , ∴ , ∴ , ∵ ,∴ , 即 是等腰直角三角形, ∴ , 设 ,则 , ∴ , ∵点M在抛物线上, ∴ ,解得 或0(舍), ∴ , ∴ ; ②当点C为直角顶点时,如图,此时 ,过点 作y轴的垂线 ,过点C作x轴的垂线 , 由①知 , ∴ , ∴ , ∴ , 设点 的横坐标为m,则 ,∴ , ∴ ,解得 或8(舍), ∴ . 综上所述,存在点M,使 是以 为直角边的直角三角形,此时点M的坐标为 或 . 【点睛】本题主要考查了二次函数的图象和性质,等腰直角三角形的判定和性质,熟练掌握二次函数的图 象和性质,等腰直角三角形的判定和性质,利用数形结合思想解答是解题的关键. 3.(2023春·山东菏泽·九年级菏泽市牡丹区第二十一初级中学校考阶段练习)如图,已知抛物线 的顶点坐标为 ,且与y轴交于点 ,与x轴交于A、B两点(点A在点 B的右侧),点P是该抛物线上一动点,从点C沿抛物线向点A运动(点P与A不重合),过点P作 轴,交线段 于点D. (1)求该抛物线的函数关系式; (2)设 , 的长度为l,求l与x的函数关系式,并求l的最大值; (3)当 是直角三角形时,求点P的坐标. 【答案】(1) (2) ,最大值为 (3) 或【分析】(1)根据题意可设 ,再将 代入,即可求解; (2)先求出 ,再求出直线 的函数关系式, ,可得到l与x 的函数关系式,再结合二次函数的性质,即可求解; (3)分两种情况,结合直角三角形的性质,即可求解. 【详解】(1)解:∵抛物线的顶点为 , ∴可设 , 将 代入上式得 , 解得: , ∴该抛物线的函数关系式为 ; (2)解:令 ,得 , 解得 , ∵点A在点B的右边, ∴ , 设直线 的函数关系式为 , 将 代入上式得, ,解得: , ∴直线 的函数关系式为 , ∵D在直线 上,P在抛物线 上,且 轴, ∴ , ∴ ,即l与x的函数关系式为 , ∴当 时,l取得最大值为 . (3)解:分两种情况: ①当点P为直角顶点时,如图1,点P与点B重合, 由(2)可知 , ∴ . ②当点A为直角顶点时,如图2, ∵ , ∴ , 当 时, , ∴ 平分 , 又∵ 轴, ∴ , ∴P与D关于x轴对称, ∵ ,∴ , 整理得 , ∴ (舍去), 当 时, , ∴P的坐标为 . ∴满足条件的P点坐标为 或 . 【点睛】本题主要考查的是二次函数的综合应用,解答本题主要应用了待定系数法求二次函数、一次函数 的解析式,二次函数的性质、依据题意列出l与x的函数关系式是解答问题(2)的关键,证得点D与P关 于x轴对称,利用关于x轴对称点的特点列出关于x的方程是解答问题(3)的关键. 【经典例题二 二次函数中等腰三角形的存在性问题】 【例2】(2023秋·广东湛江·九年级校考期末)如图,抛物线 的顶点为 ,与 轴相 交于点 ,与 轴交于点 , (点 在点 的左边). (1)求抛物线的解析式. (2)如图,连接 , , .试判定 的形状,并说明理由; (3)在抛物线的对称轴上是否存在点 ,使 是等腰三角形?若存在,请求出点 的坐标,若不存在, 请说明理由;【答案】(1) (2) 是直角三角形,理由见解析 (3)存在,点 的坐标为 或 或 或 【分析】(1)将 , 代入 ,从而得到 , 的值即可得到抛物线的解析式; (2)令 ,求得点 的坐标,得到 , , 的长度,根据勾股定理的逆定理即可得出结论; (3)先求得抛物线的对称轴 , 的长度,设 ,根据等腰三角形的定义,分三种情况: , , ,列出关于 的方程求解即可. 【详解】(1)解:将 , 代入 , 得: , 解得: , 抛物线的解析式为 ; (2)解: 是直角三角形,理由如下: 由(1)知抛物线的解析式为 , 当 时, , 解得: 或 , , , , , , ,是直角三角形; (3)解: , ,抛物线 的对称轴为直线 , , 设 ,则 , , 当 时,则 , 解得 , , 当 时,则 , 解得: 或 , 或 (舍去,与B、C共线,不能构成三角形), 当 时,则 , 解得: 或 , 或 , 综上所述,存在点 ,使 是等腰三角形,点 的坐标为 或 或 或 .【点睛】本题考查了待定系数法求解析式,二次函数与坐标轴的交点,勾股定理的逆定理,等腰三角形的 定义,熟练掌握知识点并灵活运用是解题的关键,第(3)小问注意分类讨论. 【变式训练】 1.(2023春·广西南宁·九年级校考阶段练习)在平面直角坐标系 中,抛物线 过点 , . (1)求抛物线的解析式; (2)在 轴是否存在一个动点 ,使 是以 为腰的等腰三角形,若存在,求出 点的坐标; (3)平移抛物线,平移后的顶点为 ,如果 ,设直线 ,在这条直线的右侧原抛物线和新 抛物线的 均随 的增大而增大,求 的取值范围. 【答案】(1)抛物线的解析式为 (2)点 的坐标为 或 (3) 的取值范围为 【分析】(1)根据待定系数法求出抛物线解析式即可; (2)根据题意,设出点 的坐标为 ,再根据等腰三角形的定义,得出当 时,根据两点之 间的距离,得出 ,解出即可得出点 的坐标; (3)根据(1)的结论抛物线的解析式为 ,得出抛物线的顶点坐标为 ,即点 为原抛物 线的顶点,再根据题意,得出抛物线向右平移了 个单位,再根据三角形的面积得出 , 解之得出 ,然后分两种情况:当 时,即平移后的抛物线的对称轴为直线 ,得出 的取值 范围;当 时,即平移后的抛物线的对称轴为直线 ,得出 的取值范围,综合即可得出 的取 值范围.【详解】(1)解:∵抛物线 过点 , , ∴把点 , 代入解析式, 可得: , 解得: , ∴抛物线的解析式为 ; (2)解:∵动点 在 轴上, ∴设点 的坐标为 , ∵ 是以 为腰的等腰三角形, 当 时, ∵ , , ∴ , , ∴ , 解得: 或 , ∴点 的坐标为 或 ; (3)解:∵抛物线的解析式为 , ∴抛物线的顶点坐标为 ,即点 为原抛物线的顶点, ∵平移后的抛物线的顶点为 , ∴抛物线向右平移了 个单位,∴ , 解得: , 当 时, 即平移后的抛物线的对称轴为直线 , ∵在直线 的右侧原抛物线和新抛物线的 均随 的增大而增大, ∴ ; 当 时, 即平移后的抛物线的对称轴为直线 , ∵在直线 的右侧原抛物线和新抛物线的 均随 的增大而增大, ∴ , ∴ 满足 , ∴在直线 的右侧原抛物线和新抛物线的 均随 的增大而增大, 的取值范围为 . 【点睛】本题考查了利用待定系数法求二次函数解析式、等腰三角形的定义、两点之间的距离、化简绝对 值、坐标与图形、二次函数的图形与性质、二次函数的平移,解本题的关键在正确求出二次函数解析式, 并熟练掌握相关的知识点. 2.(2023春·广东云浮·九年级校考阶段练习)如图,已知抛物线 与x轴相交于点A和点B (点A在点B左侧),与y轴交于点C,连接 ,点E在线段 上运动. (1)求抛物线的对称轴和直线 的解析式. (2)过点E作x轴的垂线,交抛物线于点D,求 的最大值和此时点D的坐标. (3)在抛物线的对称轴上是否存在点Q,使得以 为顶点的三角形是等腰三角形?若存在,请直接写 出点Q的坐标;若不存在,请说明理由.【答案】(1)对称轴为直线 ,直线 的解析式为 (2) 的最大值为 ,此时点D的坐标为 (3)存在, 或 或 或 或 【分析】(1)利用二次函数的性质和待定系数法求解即可; (2)设 ,则 , ,则 ,根据二次函数的性质求解即可; (3)设 ,利用两点距离坐标公式和等腰三角形的定义分 、 、 三种情况 求解即可. 【详解】(1)解: , ∴抛物线的对称轴为直线 ; 令 ,则 , 解得 , , ∴ , , 令 ,则 , ∴ , 设直线 的解析式为 , 将 , 代入,得 , 解得 , ∴直线 的解析式为 ; (2)解:由题意,设 ,则 , ,∴ , ∵ , ∴当 时, 最大,最大值为 , , ∴ 的最大值为 ,此时点D的坐标为 ; (3)解:存在. 设 ,则 , , , 根据题意,分三种情况: 当 时,有 ,解得: 或 ; 当 时,有 ,解得 ; 当 时,有 ,解得 或 , 综上,符合题意的点Q坐标为 或 或 或 或 . 【点睛】本题考查二次函数的图象与性质、待定系数法求一次函数解析式、等腰三角形的定义、两点距离 坐标公式、坐标与图形性质等知识,熟练掌握二次函数的图象与性质,灵活运用数形结合思想和分类讨论 思想求解是解答的关键. 3.(2023秋·吉林·九年级统考期末)如图,抛物线 经过 , 两点,并且与 轴交于点 .(1)求此抛物线的解析式; (2)直接写出直线 的解析式为___________; (3)若点 是第一象限的抛物线上的点,且横坐标为 ,过点 作 轴的垂线交 于点 ,设 的长为 ,求 与 之间的函数关系式及 的最大值; (4)在 轴的负半轴上是否存在点 ,使以 , , 三点为顶点的三角形为等腰三角形?如果存在,直接 写出点 的坐标;如果不存在,说明理由. 【答案】(1) (2) (3) ,当 时, 最大值为 (4)存在, 或 【分析】(1)把 , 代入抛物线解析式,即可求解; (2)根据抛物线解析式求出点 的坐标,再利用待定系数法,即可求解; (3)根据题意可得点 ,点 ,从而得到 ,再根据二次函数的性质, 即可求解; (4)分三种情况:当 时,当 时,当 时,即可求解. 【详解】(1)解: 抛物线 经过 , 两点, ,解得: , 抛物线的解析式为 ; (2)解:当 时, , 点 , 设直线 的解析式为 , 把点 , 代入得: , 解得: , 直线 的解析式为 ; (3)解:如图, 点 是第一象限的抛物线上的点,且横坐标为 , 点 , 轴, 点 , , , 当 时,h的值最大,最大值为4;(4)解:在 轴的负半轴上存在点 ,使以 , , 三点为顶点的三角形为等腰三角形,理由如下: 当 时, , , 点 ,点 在 轴的负半轴上, 点 ; 当 时, 点 , , , , , , 点 在 轴的负半轴上, 点 ; 当 时,点 位于 的垂直平分线上, , 点 位于 的垂直平分线上, 此时点 与点 重合,不合题意,舍去; 综上所述,在 轴的负半轴上存在点 或 ,使以 , , 三点为顶点的三角形为等腰 三角形. 【点睛】本题主要考查了求二次函数和一次函数的解析式,二次函数的图象和性质,等腰三角形的性质, 熟练掌握用待定系数法求二次函数和一次函数的解析式,二次函数的图象和性质,等腰三角形的性质是解 题的关键. 【经典例题三 二次函数中等腰直角三角形的存在性问题】 【例3】(2023·全国·九年级专题练习)如图,已知抛物线与x轴交于 ,B两点,顶点为 , E为对称轴上一点,D,F为抛物线上的点(点D位于对称轴左侧),且四边形 为正方形.(1)求该抛物线的解析式; (2)如图1,求正方形 的面积; (3)如图2,连接 ,与 交于点M,与y轴交于点N,若P为抛物线上一点,Q为直线 上一点,且 P,Q两点均位于直线 下方,当 是以点M为直角顶点的等腰直角三角形时,求点P的坐标. 【答案】(1)该抛物线的解析式为 (2)正方形 的面积是32 (3)点P的坐标为 【分析】(1)利用待定系数法求解抛物线的解析式即可; (2)如图1,过点F作 ,垂足为R.设 ,则 , , ,则 ,再列方程求解即可; (3)先求解 , , ,再求解直线 的解析式为 ,设 .如图2, 过点P,Q分别作 的垂线,垂足分别为T,G.证明 ,可得 .利用 点P在抛物线上,列方程,再解方程即可. 【详解】(1)解: 抛物线的顶点为 , 设该抛物线的解析式为 ,将 代入,解得 , 该抛物线的解析式为 ,即 . (2)如图1,过点F作 ,垂足为R. 设 , 则 , , . 四边形 是正方形, , , 解得 (舍去)或 , , , , 正方形 的面积是32. (3)解:令 解得: , 轴, , ,设直线 为 解得 则直线 的解析式为 . 设 . 如图2,过点P,Q分别作 的垂线,垂足分别为T,G. 是等腰直角三角形, , , . 又 , , , , , . 点P在抛物线上, , 解得 , . , , 点P的坐标为 . 【点睛】本题考查的是等腰直角三角形的性质,全等三角形的判定与性质,正方形的性质,一元二次方程 的解法,利用待定系数法求解二次函数的解析式,二次函数的性质,熟练的运用等腰直角三角形与正方形 的性质建立方程是解本题的关键.【变式训练】 1.(2023·宁夏银川·校考二模)如图,在平面直角坐标系xOy中,抛物线y=﹣x2+2x+3与x轴交于点A, B(点A在点B的左侧),与y轴交于点C,抛物线顶点为点D. (1)求B,C,D三点坐标; (2)如图1,抛物线上有E,F两点,且EF//x轴,当△DEF是等腰直角三角形时,求线段EF的长度; (3)如图2,连接BC,在直线BC上方的抛物线上有一动点P,当△PBC面积最大时,点P坐标. 【答案】(1) 、 、 ; (2) ; (3) . 【分析】(1)对于 ,令 ,解得x=3或-1,令x=0,则y=3,故点A、B、C的坐 标分别为(-1,0)、(3,0)、(0,3),,函数的对称轴为x=1,当x=1时, =4,即可求解; (2) DEF是等腰直角三角形,EF∥x轴轴,则根据函数的对称性,只有∠EDF为直角一种情况,即 HF=D△H,即可求解; (3)由 PBC面积 ,即可求解. △ 【详解】(1)解:对于 ,令 =0,解得x=3或-1,令x=0,则y=3, 故点 、 、 的坐标分别为 、 、 ,函数的对称轴为 ,当 时, , 故点 的坐标为 , 故 , , 三点坐标分别为 、 、 ; (2) 是等腰直角三角形, 轴, 则根据函数的对称性,只有 为直角一种情况, 设点 ,点 和点 关于函数对称轴对称,故点 , 过点 作 与点 , 是等腰直角三角形,故 为等腰直角三角形, 故 ,即 , 则 ,解得 (舍去)或0, 故 , 则 ; (3)过点 作 轴交 于点 ,由点 、 的坐标得,直线 的表达式为 , 设点 的坐标为 ,则点 , 则 面积 , ,故 面积存在最大值,此时 , 故点 . 【点睛】本题为二次函数综合题,主要考查了二次函数的解析式的求法和与几何图形结合的综合能力的培 养.要会利用数形结合的思想把代数和几何图形结合起来,利用点的坐标的意义表示线段的长度,从而求 出线段之间的关系. 2.(2023春·海南省直辖县级单位·八年级文昌中学校考期末)如图,抛物线 与 轴交于 , 两点,与 轴交于点 . (1)求抛物线的解析式; (2)点 是抛物线的顶点,请画出四边形 ,并求出四边形 的面积;(3)点 是抛物线上一动点,设点 的横坐标为 ,点 为抛物线对称轴 上一点.若 是等 腰直角三角形,请直接写出所有满足条件的点 的坐标,并写出其中一种情况的计算过程. 【答案】(1) (2)15 (3) 或 或 【分析】(1)利用待定系数法求解即可; (2)如图所示,过点D作 轴于G,先求出 ,再根据 进 行求解即可; (3)分图3-1,图3-2,图3-3三种情况,利用一线三垂直模型构造全等三角形进行求解即可. 【详解】(1)解:把 , 代入 中得: , ∴ , ∴抛物线解析式为 ; (2)解:如图所示,过点D作 轴于G, ∵抛物线解析式为 , ∴抛物线顶点D的坐标为 , ∴ , 在 中,当 时, , ∴ , ∴ ,∵ , , ∴ , ∴ ; (3)解:设 , 如图3-1所示,当 时, 过点E作 于M,设直线 交x轴于H, ∴ , ∵ 是等腰直角三角形, , ∴ , ∵ , ∴ , ∴ , ∴ , 由(2)可知 , ∴ , ∴ , ∴ ,解得 或 (舍去), ∴ , ∴ ; 如图3-2所示,当 时, 过点E作 轴于M, ∴ , ∵ 是等腰直角三角形, , ∴ , ∵ , ∴ , ∴ , ∴ , ∴ , 解得 或 (舍去), ∴ ;如图3-3所示,当 时, 过点E作 于M,过点B作 交 延长线于N, 同理可证 , ∴ , ∴ , 解得 或 (舍去), ∴ , ∴ ; 综上所述, 或 或 . 【点睛】本题是二次函数综合,考查了待定系数法求函数解析式,等腰三角形的性质,全等三角形的性质 与判定等等,利用分类讨论的思想求解是解题的关键. 3.(2023·吉林松原·校联考三模)在平面直角坐标系中,已知抛物线 (a为常数,且 ), 此抛物线与y轴交于点A,过点A作y轴的垂线与此抛物线交于点B,点A与点B不重合. (1)抛物线的对称轴为直线 _______; (2)当抛物线经过坐标原点时,①求此抛物线所对应的二次函数表达式; ②当 (m为常数)时,y的最小值为 ,求m的值; (3)若点P是抛物线对称轴上的点,其纵坐标为 ,当以点A,B,P三个点为顶点的三角形是等腰直角 三角形时,求出a的值. 【答案】(1)2 (2)① ;② 或3 (3) 或3 【分析】(1)根据对称轴公式求对称轴即可; (2)①由抛物线经过坐标原点可得 ,从而得到二次函数的解析式; ②分 , , 三种情况,根据二次函数的增减性求解即可; (3)由以点A,B,P三个点为顶点的三角形是等腰直角三角形可知点P是直角顶点,根据点A、B的坐标 求得点P的坐标为 ,由题意可知点P的坐标为 ,从而得到 ,从而得解. 【详解】(1)解:依题意得∶ 抛物线的对称轴为直线 故答案为:2; (2)解:①∵抛物线经过坐标原点, ,解得 , 抛物线的解析式为 . ② 当 ,即 时, 此时开口向上,在 上,y随着x的增大而减小, ∴当 时,y取最小值 ,即 解得 (不合题意,舍去), ; 当 ,即 时, 此时对称轴处取最小值, ∴当 时,y的最小值为 ,不存在最小值为 的情况;当 时,此时开口向上,在 上,y随着x的增大而增大, ∴当 时,y取最小值 ,即 , 解得 , (不合题意,舍去). 综上所述,m的值为 或3. (3)解:∵以点A,B,P三个点为顶点的三角形是等腰直角三角形,点P是抛物线对称轴上的点, ∴点P是直角顶点,(否则点P在直线 或y轴上,不合题意) 设 与对称轴的交点为Q,则根据对称性可知点Q是 的中点. 作出图形如下: 令 ,解得 , ∴ 又令 ,解得 ∴ ∴ , 又∵点Q是 的中点, ∴ ∵点A,B,P三个点为顶点的三角形是等腰直角三角形,点P是直角顶点, ∴ , ∴ 又∵点P是抛物线对称轴上的点,其纵坐标为 ,∴点P的坐标为 , ∴ , 解得: 或3 即a的值为 或3. 【点睛】本题考查二次函数的图像与性质,二次函数与几何综合等知识,掌握相关知识和分类讨论思想是 解题的关键. 【经典例题四 二次函数中特殊角度的存在性问题】 【例4】(2023·江苏苏州·统考二模)如图,已知抛物线M交x轴于 与 两点,交y轴于点 ,点 在抛物线 上运动. (1)求出抛物线 的解析式; (2)是否存在点 (在 上方),使得 ?若存在,求点 的坐标;若不存在,请说明理由. 【答案】(1) ; (2)存在, . 【分析】(1)利用待定系数法直接求出抛物线解析式即可; (2)先过点A作 垂直于 ,取 ,连接 交抛物线与点 ,构建等腰直角三角形,得出 ,点D作 轴,利用全等三角形的性质得出点 的坐标,利用待定系数法求出直线 的解析式,与抛物线联立成方程组,解方程组即可得出结论. 【详解】(1)设抛物线 的解析式为 ,把 , , 代入得,, 解得, , ∴抛物线 的解析式为 ; (2)存在点 (在 上方),使得 ; 过点A作 垂直于 ,取 ,连接 交抛物线与点 ,过点D作 轴, ∵ 垂直于 , ∴ , ∵ , ∴ , 又∵ , , ∴ , ∴ , , ∴ , ∴ , 设直线 的解析式为 ,把 , 代入,得 , 解得: , ∴ ,与抛物线联立得: , 解得: 或 , ∴ , 故存在点 ,使得 . 【点睛】本题主要考查了待定系数法,全等三角形的判定和性质,函数图象的交点等知识,解题的关键是 能否正确构建等腰直角三角形,得出 ,从而求解. 【变式训练】 1.(2023春·广东汕头·九年级统考阶段练习)如图,已知拋物线 与 轴交于点 , ,与 轴交于点 .点 是抛物线上一动点,且在直线 的下方,过点 作 轴,垂 足为 ,交直线 于点 .(1)求抛物线的函数解析式; (2)连接 ,若 ,求点 的坐标; (3)连接 ,求四边形 面积的最大值. 【答案】(1) (2) (3) 【分析】(1)运用待定系数法求抛物线解析式即可; (2)如图:过点C作 于点F,则 ,进而得到 ,则 ;再由 可得 ,设 ,则 ,可确定点P的坐 标,最后将点P的坐标代入计算即可解答; (3)如图:设P的坐标为 ,则 ,进而得到 , , ;再根据 求出函数解析 式,最后根据二次函数的性质求最值即可解答. 【详解】(1)解:由拋物线 与 轴交于点 , ,与 轴交于点 则 ,解得: 所以抛物线的函数解析式为 .(2)解:如图:过点C作 于点F,则 ∴ ∴ ∴ . ∵ ∴ . 设 ,则 . ∴ . ∵点P在抛物线上, ∴ ,解得 或 (舍去). ∴点P的坐标为 . (3)解:如图:设P的坐标为 ,则 ∴ , , ∴ = ∴四边形 面积的最大值为 .【点睛】本题主要考查了求二次函数解析式、二次函数图像的性质等知识点,灵活运用二次函数的性质成 为解答本题的关键. 2.(2023·山西晋城·校联考模拟预测)综合与探究 抛物线 与 轴交于A, 两点(点A在点 的左侧),与 轴交于点 .已知点A的坐标 为 ,点 的坐标为 , 是线段 上的一个动点,点 从点 出发沿 方向向点A移动,运 动速度为每秒2个单位长度,过点 作 轴的垂线,与抛物线交于点 ,设点 的运动时间为 . (1)求抛物线的函数表达式和点 的坐标. (2)如图1,当 时,作直线 , 是直线 上方抛物线上一点,连接 , , 是抛物线对称轴 上的一个动点.当 的面积最大,且 是等腰三角形时,请直接写出点 的坐标. (3)如图2,连接 , ,是否存在某一时刻,使 ?若存在,请求出 的值;若不存在,请说 明理由. 【答案】(1) .点 的坐标为 (2)点 的坐标为 或 或 或 或 (3)存在,【分析】(1)把 , 代入解析式求解即可得到解析式,再令 即可得到答案; (2)当 时,求出D点坐标,求出直线 解析式,过点 作 轴于点 ,交直线 于点 , 过点 作 于点 ,设 ,表示出 ,根据面积最大得到点坐标,再 结合 是等腰三角形分类讨论即可得到答案; (3)过点 作 ,交 的延长线于点 ,过点 作 轴于点 ,证明 ,得 到K点坐标,结合 列式求解即可得到答案; 【详解】(1)解:把 , 分别代入 ,得 解得 ∴抛物线的函数表达式为 , 当 时, .解得 , , ∴点 的坐标为 ; (2)解:点 的坐标为 或 或 或 或 , 当 时, , ∴ . 把 代入 ,得 , ∴点 的坐标为 , 设直线 的函数表达式为 , 把 , 分别代入,得 解得 ,∴直线 的函数表达式为 , 如解图,过点 作 轴于点 ,交直线 于点 ,过点 作 于点 , 设 ,则 , ∴ , ∴ , ∵ , , ∴当 时, 的面积最大. 当 时, , ∴点 的坐标为 , ∴ , ∵ , ∴抛物线的对称轴为直线 ,设点 的坐标为 , ∴ , , ①当 时, ,∴ ,解得 , ②当 时, , ∴ ,解得 , ③当 时, , ∴ ,解得 , 综上所述,点 的坐标为 或 或 或 或 ; (3)解:存在,如解图,过点 作 ,交 的延长线于点 ,过点 作 轴于点 , 在 中, , ∴ , ∴ ,∴ , ∵ , , ∴ , 又∵ , ∴ , ∴ , , ∴ , ∴点 的坐标为 , 设直线 的函数表达式为 ,把 , 分别代入,得 解得 , ∴直线 的函数表达式为 , 设点 的坐标为 , ∵点 在抛物线上,∴ ,解得 , (舍去), ∴点 的横坐标为 , ∴ ; 【点睛】本题考查二次函数综合运用中的特殊三角形,特殊角及最大面积题,解题的关键是设出点的坐标 根据特殊关系列式求解. 3.(2023·青海西宁·统考二模)如图,二次函数的图象与 轴交于点 和点 ,与 轴交于点 , 且顶点 的坐标为 ,对称轴与直线 交于点 ,与 轴交于点 ,连接 . (1)求二次函数的解析式; (2)点 在 上方二次函数图象上,且 的面积等于6,求点 的坐标; (3)在二次函数图象上是否存在一点 ,使得 ?若存在,求出直线 与 轴的交点 的坐标;若不存在,请说明理由. 【答案】(1) (2) (3)存在, 或【分析】(1)由题意可设二次函数的解析式为 ,然后把点A的坐标代入求解即可; (2)由题意可得 ,则可得直线 的解析式为 ,然后可得 ,进而问题可求解; (3)由题意可分①当 在 内部且 时,令直线 与 轴的交点为点 ,② 当 在 外部,且 时,令直线 与 轴的交点为点 ,然后根据等 腰直角三角形的性质及勾股定理可进行求解. 【详解】(1)解:设二次函数的解析式为设二次函数的解析式为 , 把顶点 代入,得 ,把点 代入得: , ∴ , ∴二次函数的解析式为 ; (2)解:∵ , ∴ , 设直线 的解析式为 ,把 的坐标代入,得 , 解得 , ∴直线 的解析式为 , ∵二次函数 的对称轴是直线 , ∴ 点的横坐标为 , ∴ , ∴ ,∵ , ∴ , ∴ , ∴ , ∴ 点的横坐标为 , ∴ , ∴ ; (3)解:存在,理由如下: ∵点 坐标为 , ∴ , ∴ 为等腰直角三角形, ∴ , ∵抛物线的顶点 , ∴ 两点关于直线 对称, ∴点 坐标为 , ①当 在 内部且 时,令直线 与 轴的交点为点 , ∵ , , ∴ , ∵ , ∴ , 又 , ∴ ,∴ , ∴点 的坐标为 , ∴直线 与 轴的交点 的坐标为 ; ②当 在 外部,且 时,令直线 与 轴的交点为点 , ∵ , , ∴ ,即过点 作 的垂线与抛物线的交点为为 则在 中, , ∴ 解得 ,∴ 与 轴的交点 的坐标为 , 综上所述,直线 与 轴的交点 的坐标为 或 . 【点睛】本题主要考查二次函数的综合,熟练掌握二次函数的图象与性质是解题的关键. 【经典例题五 二次函数中平行四边形的存在性问题】 【例5】(2023秋·山西大同·九年级大同一中校考期末)如图,抛物线 与 轴交于 , 两点,直线 与抛物线交于 、 两点,与 轴交于点 . (1)求出抛物线与直线的解析式; (2)已知点 为线段 上一动点,过点 作 轴的平行线交抛物线于点 ,连接 、 ,求 的 最大面积; (3)若点 是 轴上的一动点,点 是抛物线上一动点,当以点 、 、 、 四点为顶点的四边形是平 行四边形时,请你直接写出符合条件的点 的坐标. 【答案】(1) ; (2) (3) 或 或 或【分析】(1)待定系数法求解析式即可求解; (2)先求得点 的坐标,当 取得最大值时, 的面积取得最大值,设 ,则 ,进而表示出 ,根据二次函数的性质求得 的最大值,即可求解; (3)先求得 点的坐标,分 为对角线与边两种情况讨论,根据平行四边形的性质即可求解. 【详解】(1)解:∵抛物线 与 轴交于 , 两点, ∴ 解得: , ∴抛物线解析式为: ; 将点 代入 , ∴ , 解得: , ∴直线解析式为: ; (2)依题意,联立 解得: , ∴∵ , ∴当 取得最大值时, 的面积取得最大值, 设 ,则 ∴ ∴ 时, 取得最大值为 , ∴ 的面积最大值为 ; (3)∵ 是 与 轴的交点, 当 时, , ∴ ; ①当 为边时, ∵ , , 在 轴上, ∴ ,则点 的纵坐标为 , ∵ 在 上, ∴ , 解得: ∴ 或 , ②当 为对角线时,则 的中点在 轴上, ∴ 的纵坐标为 , ∴解得: ∴ 或 综上所述, 或 或 或 【点睛】本题考查了待定系数法求解析式,面积问题,平行四边形的性质,熟练掌握是二次函数的性质解 题的关键. 【变式训练】 1.(2023·黑龙江绥化·统考模拟预测)如图,在平面直角坐标系中, 为坐标原点,抛物线 与 轴相交于点 , ,顶点为A点,连接 . (1)点A的坐标和 的度数;(2)将抛物线 向右平移 个单位长度,再向下平移 个单位长度,得到抛物线其顶点为 连接 和 ,把 沿 翻折得到四边形 ,试判断其形状,说明理由; (3)在(2)的情况下,判断点 是否在抛物线 上,请说明理由; (4) 为 轴上的一个动点,在抛物线 上是否存在点 ,使以 , , , 为顶点的四边形平行四边形? 若存在,请直接写出点 的坐标;若不存在,请说明理由. 【答案】(1) ,45° (2)菱形,理由见解析 (3)不在,理由见解析 (4)存在,Q(6,4) 【分析】 由 得, ,故可得出抛物线的顶点 的坐标,令 得出 点 的坐标过点 作 轴,垂足为 ,由 可知点 的坐标,故可得出 ,由此即 可得出结论; 由题意可知抛物线 的二次项系数为 ,由此可得抛物线 的解析式过点 作 轴,垂足为 ; 过点 作 ,垂足为 ,与 轴交于点 ,根据勾股定理可求出 的长,同理可得 的长, ,由翻折不变性的性质可知, ,由此即可得出结论; 过点 作 轴,垂足为 ,由于 和 关于 对称, ,故可得出 ,再根据 可知 ,根据全等三角形的判定定理可知 ,故可得出点 的坐标把 代入抛物线 进行检验即可得出结论; 由于点 为 轴上的一个动点,点 在抛物线 上,故设 ,由于 为该四边形的一 条边,故 为对角线,由于点 在 轴上,根据中点坐标的定义即可得出 的值,故可得出结论. 【详解】(1)解:∵由 得, , 抛物线的顶点A的坐标为 ,令 ,解得 , , 点 的坐标为 , 过点A作 轴,垂足为 , , 点 的坐标为 ,点 的坐标为 , , ; (2)解:四边形 为菱形. 由题意可知抛物线 的二次项系数为 ,且过顶点 的坐标是 , 抛物线的解析式为: ,即 , 过点 作 轴,垂足为 ;过点A作 ,垂足为 ,与 轴交于点 , , , , , , 同理, , , 由翻折不变性的性质可知, , 故四边形 为菱形. (3)解:如图 ,点 不在抛物线 上. 理由如下: 过点 作 轴,垂足为 , 和 关于 对称, ,, , , 又 , , , , , 点 的坐标为 , 把 代入抛物线 得 , 点 不在抛物线 上; (4)解:存在符合条件的点 . 点 为 轴上的一个动点,点 在抛物线 上, 设 , 为该四边形的一条边, 为对角线, ,解得 , (当 时 点坐标为 ,此时 , , 三点在同一 条直线上 , 点 的坐标为 . 【点睛】本题考查的是二次函数综合题,涉及到抛物线的性质、菱形的判定与性质、平行四边形的性质等 知识,难度适中,解题的关键是熟练掌握二次函数的图象和性质,菱形的判定和性质,平行四边形的判定和性质. 2.(2023·湖南岳阳·统考一模)如图,在平面直角坐标系中,抛物线 与x轴交于点A,B, 与y轴交于点C,直线 过点B,与y轴交于点D,点C与点D关于x轴对称.点P是线段 上一 动点,过点P作x轴的垂线交抛物线于点M,交直线 于点N. (1)求抛物线的解析式; (2)当 的面积最大时,求点P的坐标; (3)在(2)的条件下,在y轴上是否存在点Q,使得以Q,M,N,D为顶点的四边形是平行四边形,若存 在,求出点Q的坐标;若不存在;说明理由 【答案】(1) (2) (3)存在, 或 【分析】(1)首先根据二次函数的解析式,可求得点C的坐标,根据对称性质即可求得点D的坐标,即可求 得一次函数解析式及点B的坐标,再利用待定系数法,即可求得抛物线的解析式; (2)设 ,则 , ,可求得 ,再根据 及二次函数的性质,即可解决问题; (3)由(2)知, , , ,再分两种情况,即可分别求解.【详解】(1)解:令 ,则 , , ∵点C与点D关于x轴对称. , 把 代入 ,得, , , , 令 ,得 , 解得 , , 把B点坐标代入 中,得 , 解得, , ∴抛物线的解析式为: ; (2)设 ,则 , , 则 , , , ∴当 时, 的面积最大, 此时,P点的坐标为 ;(3)解:存在, 由(2)知, , , , 点Q在y轴上, , 当 时,以Q,M,N,D为顶点的四边形是平行四边形, ,且点Q在y轴上, 点Q的纵坐标为: 可 或 . 【点睛】本题考查了二次函数的性质,二次函数图象上点的坐标特征,待定系数法求二次函数及一次函数 的解析式,平行四边形的判定,采用数形结合的思想是解决此类题的关键. 3.(2023春·山东日照·八年级统考期末)如图,在平面直角坐标系 中,抛物线 与 轴交 于 、 两点,与 轴交于点C,对称轴为直线 ,点 的坐标为 .(1)求该抛物线的表达式及顶点坐标; (2)在直线 的下方的抛物线上存在一点M,使得 的面积最大,请求出点M的坐标 (3)点F是抛物线上的动点,点D是抛物线顶点坐标,作 交 轴于点 ,是否存在点F,使得以 A、D、E、F为顶点的四边形是平行四边形?若存在,请写出所有符合条件的点F的坐标;若不存在,请 说明理由. 【答案】(1)抛物线的表达式为 ,顶点坐标 (2) (3)存在,理由见详解, 或 【分析】(1)根据对称轴公式及待定系数法即可; (2)过点 作 轴交 于点 ,连接 ,待定系数法求出 解析式,设 , 再根据 列式即可得答案; (3)设对称轴 与 轴交于点 ,连接 ,过点 于点 ,设 ,则 , ,当 时,以A、D、E、F为顶点的四边形是平行四边形,再证明 ,得 ,再列方程即可得答案. 【详解】(1)解:抛物线 对称轴为直线 ,点 的坐标为 ,得 ,解得 , 故该抛物线的表达式为 ,顶点坐标 ; (2)解:如图,过点 作 轴交 于点 ,连接 ,设 , 抛物线的表达式为 , 当 时, ,即 , 当 时, 或 , , 设直线 的解析式为 ,代入 , , 得 ,解得: , ∴直线 的解析式为 , , , , ,抛物线开口向下, ∴ 时, 最大,此时 ; (3)解:存在,理由如下: 设对称轴 与 轴交于点 ,连接 ,过点F作 于点 ,设 ,则 , , , , , 当 时,以A、D、E、F为顶点的四边形是平行四边形, , , 抛物线的表达式为 , , ,解得 或 , 当 时,与点 重合,不符合题意,舍去, . 故 或 . 【点睛】本题考查二次函数综合应用,涉及待定系数法、函数图象上点坐标的特征、全等三角形判定与性 质等知识,解题的关键是用含字母的代数式表示相关点的坐标和相关线段的长度. 【经典例题六 二次函数中矩形的存在性问题】 【例6】(2023·北京朝阳·统考二模)图1是一块铁皮材料的示意图,线段 长为 ,曲线是抛物线的 一部分,顶点C在 的垂直平分线上,且到 的距离为 .以 中点O为原点,建立如图2所示的 平面直角坐标系.(1)求图2中抛物线的表达式(不要求写出自变量的取值范围); (2)要从此材料中裁出一个矩形,使得矩形有两个顶点在 上,另外两个顶点在抛物线上,求满足条件的 矩形周长的最大值. 【答案】(1) (2)10 【分析】(1)先求出抛物线顶点C的坐标为 ,A的坐标为 ,然后利用待定系数法求解即可; (2)先证明 关于抛物线对称轴对称,则E、F关于抛物线对称轴对称,设点F的坐标为 ,则 ,求出 ,根据矩形周长公式列出矩形周长与m的二次函数关系式, 利用二次函数的性质求解即可. 【详解】(1)解:由题意得抛物线顶点C的坐标为 ,A的坐标为 , 设抛物线解析式为 , ∴ , 解得 , ∴抛物线解析式为 ; (2)解:如图所示,∵四边形 是矩形, ∴ , ∵E、F都在x轴上, ∴ 轴, ∴ 关于抛物线对称轴对称,∴E、F关于抛物线对称轴对称, 设点F的坐标为 ,则 , ∴ , , ∴ , ∴矩形 的周长 , ∵ , ∴当 时,矩形 的周长有最大值10. 【点睛】本题主要考查了二次函数的实际应用,矩形的性质,正确理解题意并熟练掌握二次函数的相关知 识是解题的关键. 【变式训练】 1.(2023·山东菏泽·统考一模)如图,抛物线 与坐标轴相交于 , 两点,点 D为直线 下方抛物线上一动点,过点D作x轴的垂线,垂足为G; 交直线 于点E. (1)求抛物线的函数表达式;(2)求 的最大值; (3)过点B的直线 交y轴于点C,交直线 于点F,H是y轴上一点,当四边形 是矩形时, 求点H的坐标. 【答案】(1) (2)2 (3) 【分析】(1)利用待定系数法即可求解抛物线的函数表达式; (2)利用待定系数法求出直线 的解析式为 ,设点D的坐标是 ,则点E的 坐标是 ,得到 ,根据二次函数的 性质即可得到 的最大值; (3)先求出 ,得到 ,根据四边形 是矩形,得到 , , 则 ,由 轴得到 , ,则 , , 同理可得 , ,则 ,得到 ,得到点H的坐标. 【详解】(1)解:∵抛物线 与坐标轴相交于 , 两点, ∴ , 解得 , ∴抛物线的函数表达式为 ;(2)设直线 的解析式为 ,把 , 代入得, , 解得 , ∴直线 的解析式为 , 设点D的坐标是 ,则点E的坐标是 , ∴ , ∴当 时, 的最大值是2; (3)解:过点B的直线 交y轴于点C, 当 时, , ∴点C的坐标为 , ∴ , ∴ , ∵四边形 是矩形,∴ , , ∴ , ∵过点D作x轴的垂线,垂足为G, ∴ 轴 , ∴ , , ∴ , ∴ , ∵ , , ∴ ∴ ∴ , ∴ , ∴ , ∴点H的坐标是 . 【点睛】此题考查了二次函数图象和性质、矩形的性质、全等三角形的判定和性质,数形结合和准确计算 是解题的关键. 2.(2023·山东泰安·校考二模)如图所示,在平面直角坐标系中,直线 交坐标轴于B、C两点, 抛物线 经过B、C两点,且交x轴于另一点 .点D为抛物线在第一象限内的一点, 过点D作 , 交 于点P,交x轴于点Q.(1)求抛物线的解析式; (2)设点P的横坐标为m,在点D的移动过程中,存在 ,求出m值; (3)在抛物线上取点E,在平面直角坐标系内取点F,问是否存在以C、B、E、F为顶点且以 为边的矩形? 如果存在,请求出点F的坐标;如果不存在,请说明理由. 【答案】(1) (2) (3)存在,此时点 的坐标为 或 【分析】(1)根据一次函数的解析式求出点 的坐标,再利用待定系数法求解即可得; (2)先根据 求出 ,从而可得 ,再根据平 行线的判定可得 ,从而可得点 的纵坐标与点 的纵坐标相同,即为3,由此即可得; (3)设点 的坐标为 ,分两种情况:①四边形 是矩形,②四边形 是矩形,先联立二 次函数和一次函数的解析式求出点 的坐标,再根据矩形的性质求解即可得. 【详解】(1)解:一次函数 , 当 时, ,即 , 当 时, ,解得 ,即 , 把 , 代入 得 , 解得 , 则抛物线的解析式为 . (2)解: , , , ,, , , 点 的纵坐标与点 的纵坐标相同,即为3, 当 时, ,解得 或 (舍去), 则 . (3)解:存在,求解如下: 设点 的坐标为 , ①当四边形 是矩形时,则 , ∵直线 的解析式为 , ∴设直线 的解析式为 , 把点 代入得 , 直线 的解析式为 , 联立 ,解得 或 (即为点 ,舍去), , 四边形 是矩形,且 , , , ,解得 , 则此时点 的坐标为 ; ②当四边形 是矩形时,则 , 设直线 的解析式为 , 将点 代入得: ,解得 ,则直线 的解析式为 , 联立 ,解得 或 (即为点 ,舍去), , 四边形 是矩形,且 , , , ,解得 , 则此时点 的坐标为 , 综上,存在以 、 、 、 为顶点且以 为边的矩形,此时点 的坐标为 或 . 【点睛】本题考查了二次函数与一次函数的综合、矩形的性质等知识点,较难的是题(3),正确分两种 情况讨论是解题关键 3.(2023·黑龙江齐齐哈尔·统考二模)综合与探究 如图,在平面直角坐标系中,抛物线 与 轴交于 、 两点,与 轴交于点 , . (1)求抛物线解析式,并直接写出直线 的解析式; (2)点 在此拋物线的对称轴上,当 最大时,点 的坐标为______; (3)若点 是第三象限内抛物线上的一个动点,过点 作 轴于点 ,交 于点 ,过点 作 交直线 于点 ,求 周长的最大值及此时点 的坐标;(4)点 在抛物线上,在平面内是否存在点 ,使以点 、 、 、 为顶点的四边形是以 为边的矩 形,若存在,请直接写出点 的坐标;若不存在,请说明理由. 【答案】(1) ; (2) (3)最大值为 ,点 的坐标为 (4)存在, , 【分析】(1)求得 ,再将两点代入抛物线解析式,再求出点 的坐标,再根据待定系数法,求得直 线 的解析式,即可解答; (2)根据三角形三边关系,可得当 在 的延长线上时, 最大,即可解答; (3)设点 ,根据直线 的解析式为 ,可得 ,故 等腰直角 三角形,即 最大时,周长最大,即可解答; (4)根据题意勾股定理求得点 的坐标,根据中点公式求得点 的坐标. 【详解】(1) 、 , 点 的坐标为 , 将 , 代入抛物线解析式,可得 , 解得 抛物线的表达式为 ; , 设直线 的解析式为 ,将 , 代入解析式可得 , 解得 直线 的解析式为: (2)解:根据三角形三边关系,可得 ,即当 在 的延长线上时, 最大, 设直线 的解析式为 , 将 , 代入解析式得 ,解得 , 直线 的解析式为 , 根据 可得抛物线的对称轴为 , 把 代入 ,得 , . (3)解:设点 , , ( ) 直线 的解析式为 , , , 轴, , 为等腰直角三角形, 的周长 ,当 取最大值时, 的周长最大, 根据 ,当 , 最大,最大值为 , 的周长的最大值为 , 此时点 的坐标为 . (4)解:设 , ①当 时, , 根据勾股定理可得 , , , 可得方程: , 解得 , (舍), , ②当 时, , 可得方程: , 解得 , (舍), 设 , 当 时,根据中点公式可得可得: ,解得 , , 同理可得 ,综上所述,存在点 ,使以点 、 、 、 为顶点的四边形是以 为边的矩形, , . 【点睛】本题考查了用待定系数法求一次函数与二次函数的解析式,等腰三角形的性质,二次函数与四边 形的综合应用,勾股定理,中点公式,掌握数形结合思想是解题的关键. 【经典例题七 二次函数中菱形的存在性问题】 【例7】(2023·西藏拉萨·统考一模)如图,已知经过 , 两点的抛物线 与 轴 交于点 . (1)求此抛物线的解析式及点 的坐标; (2)若线段 上有一动点 不与 、 重合 ,过点 作 轴交抛物线于点 . ①求当线段 的长度最大时点M的坐标; ②是否存在一点 ,使得四边形 为菱形?若存在,求出 的坐标;若不存在,请说明理由. 【答案】(1) ; (2)① ;②不存在,理由见解析 【分析】(1)将 , 代入 ,待定系数法求解析式即可求解; (2)①先待定系数法求得直线 的解析式为 ,设M的坐标为 ,则 , 进而得出 关于 的函数关系式,根据二次函数的性质得出线段 的长度最大时,求得 点的值,即可点M的坐标; ②当根据菱形的性质得出 ,求得 ,进而计算 ,得出 进行判断, 即可得出结论. 【详解】(1)解:将 , 代入 , 得 , 解得: , ∴抛物线解析式为: , 当 时, ,即 ; (2)解:①设直线 的解析式为 , 将点 代入得, , 解得: , ∴直线 的解析式为 , 设M的坐标为 ,则 , ∴ , ∵ , ∴当 时, 取得最大值, ∴ ; ②∵四边形 是菱形,则 , ∴ , ∴ ,此时 , , ∴ , ∴不存在点 使得四边形 为菱形. 【点睛】本题考查了二次函数综合运用,线段最值问题,菱形的性质,熟练掌握二次函数的性质是解题的 关键. 【变式训练】 1.(2023·陕西西安·西安市铁一中学校考模拟预测)如图,在平面直角坐标系中,抛物线L: 与x轴交于 , 两点,其对称轴直线l与x轴交于点D. (1)求抛物线L的函数表达式. (2)将抛物线L向左平移得到抛物线 ,当抛物线 经过原点时,与原抛物线的对称轴相交于点E,点F为 抛物线 对称轴上的一点,点M是平面内一点,若以点A,E,F,M为顶点的四边形是以 为边的菱形, 请求出满足条件的点M的坐标. 【答案】(1) (2)点M的坐标为 或 或 或 【分析】(1)利用待定系数法求解即可; (2)根据平移的性质得到抛物线 的解析式为 ,求出点E的坐标,设 ,分两种情况: 当 时,则 ;当 时,则 ,利用两点间的距离公式列方程求解.【详解】(1)解:将 , 代入 ,得 ,解得 , ∴抛物线L的函数表达式是 (2)∵抛物线L向左平移得到抛物线 , , ∴抛物线L向左平移3个单位得到抛物线 , ∴抛物线 过点 , 设抛物线 的解析式为 , ∴ ,解得 , ∴ , ∵抛物线 与原抛物线的对称轴相交于点E,原抛物线对称轴为直线 , ∴ , ∴ , ∵点F为抛物线 对称轴上的一点,对称轴为直线 , ∴设 , ∵以点A,E,F,M为顶点的四边形是以 为边的菱形, ∴当 时,则 ,∴ , 解得 , ∴F的坐标为 或 , ∵以点A,E,F,M为顶点的四边形是以 为边的菱形, ∴ , ∴点M的坐标为 或 ; 当 时,则 , ∴ , 解得 , ∴F的坐标为 或 , ∵以点A,E,F,M为顶点的四边形是以 为边的菱形, ∴ ,∴点M的坐标为 或 , 综上,点M的坐标为 或 或 或 . 【点睛】此题考查了待定系数法求函数解析式,菱形的性质,二次函数平移的规律,坐标系中两点间的距 离,正确掌握二次函数与图形问题是解题的关键. 2.(2023·全国·九年级专题练习)如图,抛物线 与 轴交于点 和点 .与 轴交 于点 ,连接 . (1)求抛物线的解析式; (2)如图1,点 是第二象限内抛物线上的一点,当点 到 , 距离相等时,求点 的坐标; (3)如图2,点 在抛物线上,点 在直线 上,在抛物线的对称轴上是否存在点 ,使四边形 为 菱形?若存在,请直接写出点 的坐标;若不存在,请说明理由. 【答案】(1) (2) (3)存在, 【分析】(1)用待定系数法求函数的解析式即可; (2)由题意知 点在 的角平分线上,设 与 轴交于点 ,过 作 交于 点,求出 点 坐标,直线 与抛物线的交点即为所求; (3)设 ,由菱形的性质可知 点与 点关于直线 对称,求出 ,再将点 代入函数的解析式求出 的值即可. 【详解】(1)解:将 , 代入 , ∴ ,解得 , ∴抛物线的解析式为 . (2)解:令 ,则 ,解得 或 ,且点 在正半轴上, ∴ , ∴ , 在 中, , 如图所示,设 与 轴交于点 ,过 作 于 点, ∵点 到 距离相等, ∴ 点在 的角平分线上,则 , ∴ ,则 , 在 中, ,即 ,解得 , ∴ , 设直线 的解析式为 ,∴ ,解得 , ∴ , 联立方程组 ,解得 或 , ∴ . (3)解:存在点 ,使四边形 为菱形,理由如下, ∵ , ,设直线 的解析式为 , ∴ ,解得 , ∴直线 的解析式为 , ∵ , ∴抛物线的对称轴为直线 , 如图所示, 过点 交 于点 ,假设四边形 为菱形,设 ,∴ , 点与 点关于直线 对称,即点 关于直线 对称的点是 ,根据点关 于直线对称点的坐标公式可知, ∴点 的横坐标为 ,纵坐标为 , ∴ , ∴ ,解得 或 , ∴ (舍)或 , ∴ 点坐标为 . 【点睛】本题考查二次函数的图像及性质,熟练掌握二次函数的图像及性质,角平分线的性质,勾股定理, 菱形的性质,点与直线对称的性质是解题的关键. 3.(2023秋·重庆南川·九年级统考期末)如图1,在平面直角坐标系中,二次函数 的 图象与 轴于 , 两点,与y轴交于C点,点P是直线BC下方抛物线上一动点. (1)求这个二次函数的解析式; (2)当动点Р运动到什么位置时,使四边形ACPB的面积最大,求出此时四边形ACPB的面积最大值和P的 坐标; (3)如图2,点M在抛物线对称轴上,点N是平面内一点,是否存在这样的点M、N,使得以点M、N、A、C为顶点的四边形是菱形?若存在,请直接写出所有M点的坐标;若不存在,请说明理由. 【答案】(1) (2)当 时,四边形ABCP的最大值是 ,此时点P的坐标为 (3)存在, 、 、 、 【分析】(1)由二次函数 的图象与x轴交于 两点,直接利用待定系数法, 即可求得这个二次函数的表达式; (2)设点P的坐标为 ,即可由 求得答案; (3)分别从当 , ,AC为对角线,结合菱形的性质去分析求解即可求得答案. 【详解】(1)∵二次函数 的图象与x轴交于 两点, ∴ , 解得: , ∴这个二次函数的表达式为: ; (2)设点P的坐标为∵ ∴当 时,四边形ABCP的最大值是 ,此时点P的坐标为 (3)∵ ∴抛物线的对称轴为直线 , 当 时, , ∴ 设点M的坐标为 ,则: , , , 设 的中点为Q,则点Q的坐标为 即 , ∴ , 当 时,则 ∴ 解得, ∴ 、 ; 当 时,则 , ∴ 解得, ∴ 、 ;舍去,此时M、A、C三点共线,无法构成菱形当AC为对角线时则有: ∴ 解得, ∴ ∴存在这样的点M、N能够使得以点M、N、A、C为顶点的四边形是菱形,此时点M的坐标为: 、 、 、 【点睛】此题属于二次函数的综合题,考查了待定系数求函数解析式的知识、二次函数的最值问题以及菱 形的性质.注意掌握分类讨论思想的应用是解此题的关键. 【经典例题八 二次函数中正方形的存在性问题】 【例8】(2023·陕西西安·校考三模)如图,抛物线 与x轴交于点A和点B,与y轴交于 点C.点B坐标为 ,点C坐标为 ,点D是抛物线的顶点. (1)求抛物线的解析式及点D的坐标; (2)点M是抛物线上的动点,过点M作 轴与抛物线交于点N,点P在x轴上,在坐标平面内是否存 在点Q,使得以线段 为对角线的四边形 为正方形,若存在,请求出点Q的坐标,若不存在,请 说明理由. 【答案】(1) ,(2)存在, 或 【分析】(1)由 、 的坐标,利用待定系数法可求得抛物线解析式,再求其顶点 即可; (2)由于 、 两点关于对称轴对称,可知点 为对称轴与 轴的交点,点 在对称轴上,可设出 点 的坐标,则可表示出 的坐标,代入抛物线解析式可求得 点的坐标. 【详解】(1)解:把 、 两点坐标代入抛物线解析式可得 , 解得 , 抛物线解析式为 , , ; (2)存在,如图, 点 、 关于抛物线对称轴对称,且四边形 为正方形, 点 为抛物线对称轴与 轴的交点,点 在抛物线的对称轴上, 设 ,则 坐标为 , 点 在抛物线 的图象上, , 解得 或 , 或 .【点睛】本题考查抛物线与 轴的交点,待定系数法求函数解析式,二次函数的性质,确定出 、 的位 置是解题的关键. 【变式训练】 1.(2023·安徽合肥·统考模拟预测)对于一个函数,自变量x取a时,函数值y也等于a,则称a是这个函 数的不动点.已知抛物线 . (1)若抛物线经过点 ,求该抛物线的顶点坐标; (2)如图,在(1)的条件下,在x轴上方作平行于x轴的直线l,与抛物线交于B,C两点(点C在对称轴 的右侧),过点B,C作x轴的垂线,垂足分别为E,D.当矩形 为正方形时,求B点的坐标. (3)若抛物线 有两个相异的不动点a、b,且 ,求m的取值范围. 【答案】(1)顶点坐标为 (2)B点坐标为 (3) 【分析】(1)将点 代入二次函数解析式求出 ,再将一般式化为顶点式求解即可; (2)由矩形 为正方形时,得到 ,设B点坐标为 ,根据B到对称轴距离等于 C到对称轴距离相等求解即可; (3)由抛物线 有两个相异的不动点a、b,则a、b是方程 的两个不相等的 实数根,且 ,得到方程 有两个不相等的实数根,进而求解即可.【详解】(1)∵二次函数 的图象经过 , ∴ , ∴ , ∴ , ∴顶点坐标为 . (2)当矩形 为正方形时, , 设B点坐标为 , ∴C点坐标为 , 即 , ∵对称轴为:直线 ,B到对称轴距离等于C到对称轴距离相等, ∴ , 解得 (不合题意舍去), 时, , ∴B点坐标为: . (3)∵抛物线 有两个相异的不动点a、b, ∴a、b是方程 的两个不相等的实数根,且 , 整理得 , ∴ , 解得 , 令 ,画出该二次函数的草图为:∴当 时, 解得 , ∴ . 【点睛】本题考查了二次函数的综合应用,涉及二次函数的图象和性质、一元二次方程的根的判别式,待 定系数法求函数解析式,解题的关键是掌握二次函数与方程的关系. 2.(2023·山西大同·校联考模拟预测)综合与探究 如图,抛物线 与x轴交于 , 两点,与y轴交于点C,直线 与x轴 交于点D,与y轴交于点E.若M为第一象限内抛物线上一点,过点M且垂直于x轴的直线交DE于点 N,连接 , . (1)求抛物线的函数表达式及D,E两点的坐标. (2)当 时,求点M的横坐标. (3)G为平面直角坐标系内一点,是否存在点M使四边形 是正方形.若存在,请直接写出点G的坐 标;若不存在,请说明理由. 【答案】(1)抛物线的函数表达式为 , , (2) 或(3)存在,点G的坐标为 【分析】(1)把点 , 代入函数 ,得到二元一次方程组,求解a,b的值, 即可得到抛物线的函数表达式;把 , 分别代入 ,即可得到点E,点D的坐标. (2)设点M的横坐标为m,则点M的坐标为 ,点N的坐标为 . 过点M作 轴于点P,过点N作 轴于点Q,可证 ,得到 , .①当点M在点C的上方时,四边形 为平行四边形, ,得到 ,解方程可得m的值;②当点M在点C的下方时, ,得到 ,解方程可得m的值.综上可求得点M的横坐标. (3)设 与x轴交于点H,则当 时,四边形 是正方形,此时 , ,则 ,进而得到点M的坐标为 ,根据平移性质可得点G的坐标为 . 【详解】(1)把 , 代入 中,得 ,解得 ∴抛物线的函数表达式为 . 把 代入 中,得 ,∴ 把 代入 中,得 , ∴ (2)设点M的横坐标为m, ∴点M的坐标为 ,点N的坐标为 . 如图,过点M作 轴于点P,过点N作 轴于点Q. ∵ 轴 ∴ 轴 ∴ 又∵ ∴ , ∴ , . 如图1,当点M在点C的上方时,∵ ∴ ∴四边形 为平行四边形, ∴ ∴ , 解得 (舍去), . 如图2,当点M在点C的下方时, , ∴ , 解得 (舍去), . 综上所述,点M的横坐标为 或 .(3)存在,点G的坐标为 如图3,设 与x轴交于点H 当 时,四边形 是正方形, ∴当 , 时,四边形 是正方形, ∴ , ∴ 把 代入 中,得 ∴点M的坐标为 根据平移性质可得点G的坐标为 【点睛】本题考查待定系数法,坐标平面内两点间的距离,三角形全等的判定与性质,平行四边形及正方 形的判定与性质,正确作出辅助线,综合运用各个知识是解题的关键. 3.(2023·四川成都·校考三模)如图,在平面直角坐标系 中,直线 与 轴交于点 ,与 轴 交于点 ,抛物线 经过 两点, 是位于对称轴左侧的抛物线上的一个动点.(1)求抛物线的对称轴方程; (2)若点 满足 ,求点 的坐标; (3)设 是抛物线的对称轴上一点, 是坐标平面内一点,若四边形 是正方形,求此正方形的面积. 【答案】(1) (2) (3)正方形 的面积为 或 【分析】(1)由 可知 , ,进而求得抛物线解析式为 ,即可得抛物 线的对称轴方程; (2)由题意可知 ,可知 ,进而值 为线段 的垂直平分线,设其与 交于点 ,可得 ,可求得 的解析式为 ,联立 求解即可; (3)由四边形 是正方形,可知 是等腰直角三角形,可得 , ,设 , 与 轴交于点 ,分当点 在 轴上方时和当点 在 轴下方时分别进行讨论求解 即可.【详解】(1)解:∵直线 与 轴交于点 ,与 轴交于点 , ∴当 时, ,当 时, ,即: , , 把 , ,代入 得: ,解得 , ∴抛物线解析式为 , ∴抛物线的对称轴方程为 ; (2)∵ , , ∴ , ∵ , ∴ , ∴ 为线段 的垂直平分线, 设其与 交于点 ,则点 的横坐标为: ,纵坐标为: , ∴ , 设 的解析式为 ,代入 ,可得 ,解得 , ∴ 的解析式为 , 联立 ,解得: 或 (舍去) ∴(3)∵四边形 是正方形, ∴ 是等腰直角三角形, ∴ , , 设 , 与 轴交于点 , 当点 在 轴上方时,过点 作 于 ,此时 , 则 ∴ ,则 , ∴ , ∴ , ,∵ , , ∴ , , 则 , ,即: , ∴ , ∵点 在抛物线 上, ∴ ,解得: , (舍去), ∴ ,则 , ∴正方形 的面积为 ; 当点 在 轴下方时,过点 作 于 ,此时 , 则 ∴ ,则 , ∴ ,∴ , , ∵ , , ∴ , , 则 , , 即: , ∴ , ∵点 在抛物线 上, ∴ ,解得: , (舍去), ∴ ,则 , ∴正方形 的面积为 ; 综上,正方形 的面积为 或 . 【点睛】本题考查利用待定系数法求函数解析式,垂直平分线的判定,正方形的性质及全等三角形的判定 及性质,添加辅助线,利用数形结合是解决问题的关键.