当前位置:首页>文档>专题14.28因式分解100题(分层练习)(基础练)-(人教版)_初中数学_八年级数学上册(人教版)_专题突破练习-V4_2024版

专题14.28因式分解100题(分层练习)(基础练)-(人教版)_初中数学_八年级数学上册(人教版)_专题突破练习-V4_2024版

  • 2026-03-24 14:00:06 2026-03-22 07:25:47

文档预览

专题14.28因式分解100题(分层练习)(基础练)-(人教版)_初中数学_八年级数学上册(人教版)_专题突破练习-V4_2024版
专题14.28因式分解100题(分层练习)(基础练)-(人教版)_初中数学_八年级数学上册(人教版)_专题突破练习-V4_2024版
专题14.28因式分解100题(分层练习)(基础练)-(人教版)_初中数学_八年级数学上册(人教版)_专题突破练习-V4_2024版
专题14.28因式分解100题(分层练习)(基础练)-(人教版)_初中数学_八年级数学上册(人教版)_专题突破练习-V4_2024版
专题14.28因式分解100题(分层练习)(基础练)-(人教版)_初中数学_八年级数学上册(人教版)_专题突破练习-V4_2024版
专题14.28因式分解100题(分层练习)(基础练)-(人教版)_初中数学_八年级数学上册(人教版)_专题突破练习-V4_2024版
专题14.28因式分解100题(分层练习)(基础练)-(人教版)_初中数学_八年级数学上册(人教版)_专题突破练习-V4_2024版
专题14.28因式分解100题(分层练习)(基础练)-(人教版)_初中数学_八年级数学上册(人教版)_专题突破练习-V4_2024版
专题14.28因式分解100题(分层练习)(基础练)-(人教版)_初中数学_八年级数学上册(人教版)_专题突破练习-V4_2024版
专题14.28因式分解100题(分层练习)(基础练)-(人教版)_初中数学_八年级数学上册(人教版)_专题突破练习-V4_2024版
专题14.28因式分解100题(分层练习)(基础练)-(人教版)_初中数学_八年级数学上册(人教版)_专题突破练习-V4_2024版
专题14.28因式分解100题(分层练习)(基础练)-(人教版)_初中数学_八年级数学上册(人教版)_专题突破练习-V4_2024版
专题14.28因式分解100题(分层练习)(基础练)-(人教版)_初中数学_八年级数学上册(人教版)_专题突破练习-V4_2024版
专题14.28因式分解100题(分层练习)(基础练)-(人教版)_初中数学_八年级数学上册(人教版)_专题突破练习-V4_2024版
专题14.28因式分解100题(分层练习)(基础练)-(人教版)_初中数学_八年级数学上册(人教版)_专题突破练习-V4_2024版
专题14.28因式分解100题(分层练习)(基础练)-(人教版)_初中数学_八年级数学上册(人教版)_专题突破练习-V4_2024版
专题14.28因式分解100题(分层练习)(基础练)-(人教版)_初中数学_八年级数学上册(人教版)_专题突破练习-V4_2024版
专题14.28因式分解100题(分层练习)(基础练)-(人教版)_初中数学_八年级数学上册(人教版)_专题突破练习-V4_2024版
专题14.28因式分解100题(分层练习)(基础练)-(人教版)_初中数学_八年级数学上册(人教版)_专题突破练习-V4_2024版
专题14.28因式分解100题(分层练习)(基础练)-(人教版)_初中数学_八年级数学上册(人教版)_专题突破练习-V4_2024版
专题14.28因式分解100题(分层练习)(基础练)-(人教版)_初中数学_八年级数学上册(人教版)_专题突破练习-V4_2024版
专题14.28因式分解100题(分层练习)(基础练)-(人教版)_初中数学_八年级数学上册(人教版)_专题突破练习-V4_2024版
专题14.28因式分解100题(分层练习)(基础练)-(人教版)_初中数学_八年级数学上册(人教版)_专题突破练习-V4_2024版
专题14.28因式分解100题(分层练习)(基础练)-(人教版)_初中数学_八年级数学上册(人教版)_专题突破练习-V4_2024版
专题14.28因式分解100题(分层练习)(基础练)-(人教版)_初中数学_八年级数学上册(人教版)_专题突破练习-V4_2024版
专题14.28因式分解100题(分层练习)(基础练)-(人教版)_初中数学_八年级数学上册(人教版)_专题突破练习-V4_2024版
专题14.28因式分解100题(分层练习)(基础练)-(人教版)_初中数学_八年级数学上册(人教版)_专题突破练习-V4_2024版
专题14.28因式分解100题(分层练习)(基础练)-(人教版)_初中数学_八年级数学上册(人教版)_专题突破练习-V4_2024版
专题14.28因式分解100题(分层练习)(基础练)-(人教版)_初中数学_八年级数学上册(人教版)_专题突破练习-V4_2024版
专题14.28因式分解100题(分层练习)(基础练)-(人教版)_初中数学_八年级数学上册(人教版)_专题突破练习-V4_2024版
专题14.28因式分解100题(分层练习)(基础练)-(人教版)_初中数学_八年级数学上册(人教版)_专题突破练习-V4_2024版
专题14.28因式分解100题(分层练习)(基础练)-(人教版)_初中数学_八年级数学上册(人教版)_专题突破练习-V4_2024版
专题14.28因式分解100题(分层练习)(基础练)-(人教版)_初中数学_八年级数学上册(人教版)_专题突破练习-V4_2024版
专题14.28因式分解100题(分层练习)(基础练)-(人教版)_初中数学_八年级数学上册(人教版)_专题突破练习-V4_2024版
专题14.28因式分解100题(分层练习)(基础练)-(人教版)_初中数学_八年级数学上册(人教版)_专题突破练习-V4_2024版
专题14.28因式分解100题(分层练习)(基础练)-(人教版)_初中数学_八年级数学上册(人教版)_专题突破练习-V4_2024版
专题14.28因式分解100题(分层练习)(基础练)-(人教版)_初中数学_八年级数学上册(人教版)_专题突破练习-V4_2024版
专题14.28因式分解100题(分层练习)(基础练)-(人教版)_初中数学_八年级数学上册(人教版)_专题突破练习-V4_2024版
专题14.28因式分解100题(分层练习)(基础练)-(人教版)_初中数学_八年级数学上册(人教版)_专题突破练习-V4_2024版
专题14.28因式分解100题(分层练习)(基础练)-(人教版)_初中数学_八年级数学上册(人教版)_专题突破练习-V4_2024版
专题14.28因式分解100题(分层练习)(基础练)-(人教版)_初中数学_八年级数学上册(人教版)_专题突破练习-V4_2024版
专题14.28因式分解100题(分层练习)(基础练)-(人教版)_初中数学_八年级数学上册(人教版)_专题突破练习-V4_2024版
专题14.28因式分解100题(分层练习)(基础练)-(人教版)_初中数学_八年级数学上册(人教版)_专题突破练习-V4_2024版
专题14.28因式分解100题(分层练习)(基础练)-(人教版)_初中数学_八年级数学上册(人教版)_专题突破练习-V4_2024版
专题14.28因式分解100题(分层练习)(基础练)-(人教版)_初中数学_八年级数学上册(人教版)_专题突破练习-V4_2024版
专题14.28因式分解100题(分层练习)(基础练)-(人教版)_初中数学_八年级数学上册(人教版)_专题突破练习-V4_2024版
专题14.28因式分解100题(分层练习)(基础练)-(人教版)_初中数学_八年级数学上册(人教版)_专题突破练习-V4_2024版
专题14.28因式分解100题(分层练习)(基础练)-(人教版)_初中数学_八年级数学上册(人教版)_专题突破练习-V4_2024版
专题14.28因式分解100题(分层练习)(基础练)-(人教版)_初中数学_八年级数学上册(人教版)_专题突破练习-V4_2024版
专题14.28因式分解100题(分层练习)(基础练)-(人教版)_初中数学_八年级数学上册(人教版)_专题突破练习-V4_2024版
专题14.28因式分解100题(分层练习)(基础练)-(人教版)_初中数学_八年级数学上册(人教版)_专题突破练习-V4_2024版
专题14.28因式分解100题(分层练习)(基础练)-(人教版)_初中数学_八年级数学上册(人教版)_专题突破练习-V4_2024版
专题14.28因式分解100题(分层练习)(基础练)-(人教版)_初中数学_八年级数学上册(人教版)_专题突破练习-V4_2024版
专题14.28因式分解100题(分层练习)(基础练)-(人教版)_初中数学_八年级数学上册(人教版)_专题突破练习-V4_2024版
专题14.28因式分解100题(分层练习)(基础练)-(人教版)_初中数学_八年级数学上册(人教版)_专题突破练习-V4_2024版
专题14.28因式分解100题(分层练习)(基础练)-(人教版)_初中数学_八年级数学上册(人教版)_专题突破练习-V4_2024版
专题14.28因式分解100题(分层练习)(基础练)-(人教版)_初中数学_八年级数学上册(人教版)_专题突破练习-V4_2024版
专题14.28因式分解100题(分层练习)(基础练)-(人教版)_初中数学_八年级数学上册(人教版)_专题突破练习-V4_2024版
专题14.28因式分解100题(分层练习)(基础练)-(人教版)_初中数学_八年级数学上册(人教版)_专题突破练习-V4_2024版
专题14.28因式分解100题(分层练习)(基础练)-(人教版)_初中数学_八年级数学上册(人教版)_专题突破练习-V4_2024版
专题14.28因式分解100题(分层练习)(基础练)-(人教版)_初中数学_八年级数学上册(人教版)_专题突破练习-V4_2024版
专题14.28因式分解100题(分层练习)(基础练)-(人教版)_初中数学_八年级数学上册(人教版)_专题突破练习-V4_2024版
专题14.28因式分解100题(分层练习)(基础练)-(人教版)_初中数学_八年级数学上册(人教版)_专题突破练习-V4_2024版
专题14.28因式分解100题(分层练习)(基础练)-(人教版)_初中数学_八年级数学上册(人教版)_专题突破练习-V4_2024版
专题14.28因式分解100题(分层练习)(基础练)-(人教版)_初中数学_八年级数学上册(人教版)_专题突破练习-V4_2024版
专题14.28因式分解100题(分层练习)(基础练)-(人教版)_初中数学_八年级数学上册(人教版)_专题突破练习-V4_2024版
专题14.28因式分解100题(分层练习)(基础练)-(人教版)_初中数学_八年级数学上册(人教版)_专题突破练习-V4_2024版
专题14.28因式分解100题(分层练习)(基础练)-(人教版)_初中数学_八年级数学上册(人教版)_专题突破练习-V4_2024版
专题14.28因式分解100题(分层练习)(基础练)-(人教版)_初中数学_八年级数学上册(人教版)_专题突破练习-V4_2024版
专题14.28因式分解100题(分层练习)(基础练)-(人教版)_初中数学_八年级数学上册(人教版)_专题突破练习-V4_2024版
专题14.28因式分解100题(分层练习)(基础练)-(人教版)_初中数学_八年级数学上册(人教版)_专题突破练习-V4_2024版
专题14.28因式分解100题(分层练习)(基础练)-(人教版)_初中数学_八年级数学上册(人教版)_专题突破练习-V4_2024版
专题14.28因式分解100题(分层练习)(基础练)-(人教版)_初中数学_八年级数学上册(人教版)_专题突破练习-V4_2024版

文档信息

文档格式
docx
文档大小
4.049 MB
文档页数
73 页
上传时间
2026-03-22 07:25:47

文档内容

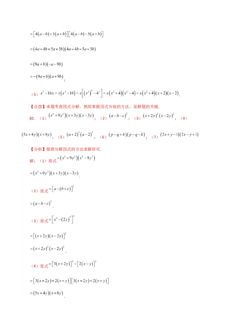
专题14.28 因式分解100 题(分层练习)(基础练) 1.(2023春·江苏苏州·七年级校考期中)将下列各式因式分解: (1) ; (2) . 2.(2023春·湖南永州·七年级校考阶段练习)因式分解 (1) (2) 3.(2023春·山东聊城·七年级统考期末)把下列各式进行因式分解: (1) ; (2) . 4.(2023春·广西贺州·七年级校考期中)因式分解: (1) (2) 5.(2023秋·全国·八年级课堂例题)把下列各式分解因式: (1) ; (2) . 6.(2023秋·河南周口·八年级校考期末)已知 , , (1)求代数式 的值; (2)求代数式 的值. 7.(2023秋·河北保定·九年级校考开学考试)分解因式:(1) (2) 8.(2023春·安徽滁州·七年级校联考期中)分解因式: (1) ; (2) . 9.(2023春·陕西西安·八年级校考期中)因式分解: (1) ; (2) . 10.(2023春·福建漳州·八年级校考期中)分解因式: (1) ; (2) . 11.(2023春·湖南永州·七年级校考期中)因式分解: (1) ; (2) . 12.(2023春·陕西西安·八年级校考期中)因式分解: (1) . (2) . 13.(2023秋·八年级课时练习)分解因式: (1) ; (2) ;(3) . 14.(2023秋·八年级课时练习)分解因式: (1) ; (2) ; (3) . 【陷阱】___________ 15.(2020秋·上海浦东新·七年级校考期中)因式分解: (1) . (2) . 16.(2023春·四川达州·八年级校考期末)因式分解: (1) ; (2) ; 17.(2023秋·八年级课时练习)分解因式: (1) . (2) . 18.(2023秋·八年级课时练习)分解因式: (1) ; (2) ;(3) . 19.(2023秋·八年级课时练习)分解因式: (1) . (2) . (3) . 20.(2023秋·八年级课时练习)分解因式: (1) ; (2) ; (3) ; (4) . 21.(2023秋·八年级课时练习)分解因式: (1) . (2) . 22.(2023秋·八年级课时练习)分解因式: (1) . (2) . 23.(2023春·浙江金华·七年级校考期中)分解因式: (1) ; (2)2a3-8a.24.(2023秋·八年级课时练习)分解因式: (1) . (2) . (3) . (4) . 25.(2023秋·江苏淮安·八年级淮安市浦东实验中学校考开学考试)因式分解: (1) ; (2) . 26.(2023秋·全国·八年级课堂例题)把下列各式分解因式: (1) ; (2) ; (3) ; (4) . 27.(2023秋·全国·八年级课堂例题)把下列各式分解因式: (1) ; (2) ; (3) ; (4) ; (5) ; (6) .28.(2023春·湖南株洲·七年级校考期中)分解因式: ① ② ③ ④ 29.(2023春·宁夏银川·八年级校考期末)因式分解: (1) ; (2) . 30.(2023春·福建宁德·八年级校考期中)因式分解: (1) ; (2) . 31.(2023春·河南三门峡·八年级统考开学考试)把下列各式分解因式: (1) (2) (3) 32.(2023春·山东青岛·八年级校考阶段练习)分解因式: (1) ; (2) ; (3) (4) 33.(2023春·江苏扬州·七年级校考阶段练习)因式分解:(1) . (2) . 34.(2023春·辽宁丹东·八年级校考期中)因式分解: (1) (2) 35.(2023春·山东青岛·八年级统考期末)因式分解: (1) ; (2) . 36.(2023春·辽宁沈阳·八年级统考期中)把下列各式分解因式: (1) ; (2) . 37.(2023春·江苏泰州·七年级校考期中)因式分解 (1) (2) (3) (4) 38.(2023春·山东济南·八年级校考期中)分解因式: (1) (2) (3) (4)(5) (6) 39.(2023春·江苏南京·七年级校考期中)因式分解. (1) ; (2) . 40.(2022秋·新疆乌鲁木齐·八年级校考期中)分解因式: (1) ; (2) . 41.(2022秋·山东东营·八年级校考阶段练习)分解因式 : (1) ; (2) 42.(2023春·山东济南·八年级统考期中)因式分解 (1) (2) 43.(2023春·辽宁沈阳·八年级沈阳市第四十三中学校考期中)因式分解: (1) (2) 44.(2023春·辽宁沈阳·八年级统考阶段练习)把下列各式因式分解:(1) ; (2) . 45.(2022秋·山东东营·八年级统考开学考试)分解因式: (1) (2) ; (3) ; 46.(2023春·江苏苏州·七年级校联考期中)分解因式: (1) ; (2) ; (3) . 47.(2023春·山东聊城·七年级校联考阶段练习)因式分解: (1) (2) (3) 48.(2021秋·湖南长沙·八年级统考期末)分解因式: (1) ; (2) .49.(2023春·江苏宿迁·七年级校考期中)因式分解: (1) ; (2) . 50.(2023春·江苏淮安·七年级统考期末)分解因式: (1) ; (2) . 51.(2023春·宁夏银川·八年级校考期中)因式分解: (1) (2) 52.(2023秋·河南漯河·八年级校考期末)因式分解: (1) (2) 53.(2023春·陕西西安·八年级校考期中)分解因式: (1) . (2) . 54.(2022秋·山东东营·八年级校考阶段练习)分解因式: (1) ; (2) ;(3) ; (4) . 55.(2022秋·山东威海·八年级校考期中)因式分解: (1) ; (2) ; (3) ; (4) ; (5) . 56.(2023春·江苏泰州·七年级校考阶段练习)因式分解: (1) ; (2) . 57.(2023春·贵州贵阳·八年级校考阶段练习)把下列各式因式分解: (1) (2) 58.(2023春·四川达州·八年级四川省渠县中学校考期末)因式分解: (1) ; (2) .59.(2023春·江苏连云港·七年级统考期中)因式分解: (1) (2) . 60.(2023春·辽宁丹东·八年级校联考期末)因式分解: (1) ; (2) . 61.(2021春·广东佛山·八年级校考阶段练习)分解因式: (1) . (2) . 62.(2023春·江苏扬州·七年级统考期末)因式分解: (1) (2) 63.(2023春·江苏泰州·七年级校联考阶段练习)把下列各式因式分解: (1) (2) 64.(2023秋·浙江杭州·八年级统考开学考试)因式分解: (1) ; (2) . 65.(2023春·江苏苏州·七年级校联考阶段练习)分解因式: (1) ; (2) .66.(2023春·浙江杭州·七年级校联考阶段练习)因式分解: (1) (2) 67.(2023春·江苏淮安·七年级淮阴中学新城校区校联考阶段练习)分解因式: (1) ; (2) . 68.(2020秋·福建龙岩·八年级校考阶段练习)因式分解 (1) ; (2) ; (3) . 69.(2020秋·福建泉州·八年级校考阶段练习)因式分解 (1) (2) 70.(2022秋·福建厦门·八年级校考期中)因式分解 (1) (2) (3) 71.(2023秋·八年级课时练习)因式分解:(1) ; (2) ; (3) . 72.(2021春·安徽合肥·七年级合肥市庐阳中学校考期中)分解因式: (1) . (2) . 73.(2021春·安徽合肥·七年级合肥寿春中学校考期中)因式分解: (1) . (2) . 74.(2023春·江苏无锡·七年级校考阶段练习)把下列各式分解因式: (1) ; (2) . 75.(2023春·江苏苏州·七年级统考期末)将下列各式分解因式: (1) ; (2) . 76.(2023春·江苏盐城·七年级校考期末)因式分解 (1) (2)77.(2023春·江苏无锡·七年级校联考阶段练习)分解因式 (1) ; (2) . 78.(2023秋·八年级课时练习)把下列各式分解因式: (1) ; (2) . 79.(2023秋·八年级课时练习)分解因式: (1) ; (2) . 80.(2023秋·八年级课时练习)分解因式: (1) ; (2) ; (3) ; (4) . 81.(2023秋·八年级课时练习)分解因式: (1) ; (2) ; (3) ; (4) ;(5) . 82.(2023秋·八年级课时练习)因式分解: (1) ; (2) ; (3) ; (4) ; (5) ; (6) ; (7) . 83.(2023秋·八年级课时练习)因式分解: (1)(添项) ; (2)(拆项) ; (3)(换元) . 84.(2023春·江苏扬州·七年级校考阶段练习)因式分解:(1) (2) 85.(2022春·江苏连云港·七年级统考期中)把下列各式分解因式: (1) ; (2) . 86.(2022秋·河南鹤壁·八年级统考期中)因式分解: (1) (2) 87.(2023春·浙江宁波·七年级校考期末)因式分解: (1) ; (2) . 88.(2021春·安徽六安·七年级校考阶段练习)分解因式 (1) ; (2) . 89.(2022秋·湖南衡阳·八年级校考期中)因式分解: (1) ; (2) 90.(2022秋·福建泉州·八年级校考阶段练习)因式分解: (1) (2)91.(2023秋·北京海淀·八年级校考期中)分解因式 (1) (2) 92.(2023秋·山东淄博·八年级校考阶段练习) (1)分解因式: ; (2)分解因式: . 93.(2022秋·北京·八年级校考期末)分解因式: (1) (2) (3) 94.(2022秋·四川眉山·八年级校考期中)因式分解: (1) ; (2) . 95.(2022春·江苏连云港·七年级海州实验中学校考期中)将下列各式因式分解: (1) ; (2) . 96.(2023秋·山东济宁·九年级济宁市第十五中学校考阶段练习)把下列各式因式分解. (1) ; (2) ;(3) ; (4) . 97.(2023秋·江西宜春·八年级江西省丰城中学校考阶段练习)分解因式: (1) ; (2) ; (3) . 98.(2021秋·湖北武汉·八年级武汉外国语学校(武汉实验外国语学校)校考期末)因式分解: (1) ; (2) . 99.(2023秋·吉林长春·八年级校考阶段练习)因式分解: (1) ; (2) . 100.(2022春·广东梅州·八年级统考期末)分解因式: (1) . (2)参考答案: 1.(1) ;(2) 【分析】(1)根据公式法因式分解即可; (2)先提取公因式,再用公式法因式分解即可. (1)解: ; (2)解: . 【点拨】本题考查了提公因式法与公式法的综合运用,熟练掌握因式分解的方法是解题的关键. 2.(1) ;(2) 【分析】(1)先提公因式,再用公式法进行因式分解即可; (2)先把 处理成 ,再用提公因式进行因式分解即可. (1)解: ; (2)解: . 【点拨】本题主要考查了因式分解,把一个多项式化为几个整式的积的形式,这种式子变形叫做这个 多项式的因式分解,也叫作把这个多项式分解因式,解题关键是熟练掌握提取公因式和公式法进行因式分 解. 3.(1) ;(2) 【分析】(1)先提公因式,再利用平方差公式继续分解即可解答; (2)先提公因式,再利用完全平方公式继续分解即可解答.(1)解: ; (2) . 【点拨】本题考查了提公因式法与公式法的综合运用,一定要注意如果多项式的各项含有公因式,必 须先提公因式. 4.(1) ;(2) 【分析】(1)先提取公因式,再根据平方差公式因式分解即可; (2)先提取公因式,再根据完全平方公式因式分解即可. (1)解: ; (2)解: . 【点拨】本题考查了用公式法进行因式分解,一个多项式有公因式首先提取公因式,然后再用其他方 法进行因式分解,同时因式分解要彻底,直到不能分解为止. 5.(1) ;(2) 【分析】(1)先提取公因式 ,再利用完全平方公式进行分解即可; (2)先提取公因式 ,再利用完全平方公式进行分解即可. (1)解: ; (2)解:. 【点拨】本题考查了综合提公因式和公式法分解因式,熟练掌握完全平方公式 是解题的关键. 6.(1) ;(2)3 【分析】(1)根据完全平方公式 ,将已知代数式的值代入求解; (2)将原式变形,用已知代数式表示, ,将已知代数式的值代入 求解. (1)解:∵ , 又∵ , , ∴ , ∴ ; (2)解: , ∵ , , ∴原式 . 【点拨】本题考查完全平方公式,因式分解,将原式变形用已知的代数式表示是解题的关键. 7.(1) ;(2) 【分析】(1)运用平方差公式,完全平方公式进行因式分解即可; (2)运用提公因式法,完全平方公式进行因式分解即可. (1)解: .(2)解: . 【点拨】本题主要考查提公因式法,公式法进行因式分解,掌握以上知识的运用是解题的关键. 8.(1) ;(2) 【分析】(1)利用完全平方公式即可进行因式分解; (2)综合利用提公因式法和公式法即可进行因式分解. (1)解: ; (2)解: . 【点拨】本题考查因式分解.熟练掌握各分解方法,根据式子特点选择合适的方法是解题关键. 9.(1) ;(2) . 【分析】(1)利用提取公因式法进行因式分解即可; (2)先利用提取公因式法,再利用完全平方公式求解即可. (1)解: ; (2) . 【点拨】此题考查了因式分解,解题的关键是掌握因式分解的方法,公式法和提公因式法. 10.(1) ;(2) 【分析】(1)提公因式,再运用平方差公式分解; (2)运用完全平方公式分解;(1)解:原式 (2)解:原式 【点拨】本题考查提公因式法,公式法因式分解;熟练掌握分解方法是解题的关键. 11.(1) ;(2) 【分析】(1)直接利用平方差公式进行分解即可得到答案; (2)先提取公因式 ,再利用完全平方公式进行分解即可. (1)解: ; (2)解: . 【点拨】本题考查了利用公式法进行因式分解、综合提公因式法和公式法进行因式分解,熟练掌握平 方差公式和完全平方公式是解题的关键. 12.(1) ;(2) 【分析】(1)运用提取公因式法分解即可. (2) 运用平方差公式和完全平方公式分解即可. 解:(1) . (2) .【点拨】本题考查了因式分解,熟练掌握提取公因式和公式法分解因式是解题的关键. 13.(1) ;(2) ;(3) 【分析】(1)直接提取公因式 进行分解因式即可; (2)直接提取公因式 进行分解因式即可; (3)直接提取公因式 进行分解因式即可. (1)解:原式 ; (2)解:原式 ; (3)解:原式 . 【点拨】本题主要考查了分解因式,熟知提公因式法分解因式是解题的关键. 14. , , ,见分析 【分析】(1)提公因式 ,进而求出结果即可 (2)提公因式 ,进而求出结果即可 (3)提公因式 ,进而求出结果即可. 解:正解:(1)原式 . (2)原式 . (3)原式 . 陷阱:(1)公因式没提尽. (2)提出 后括号内还有一项1漏掉. (3)提出 之后括号内的各项都要变号. 【点拨】本题主要考查因式分解的方法,掌握提公因式法正确提取公因式是正确解答的关键. 15.(1) ;(2) 【分析】(1)利用完全平方公式分解因式即可;(2)先提公因式,然后再用十字相乘法和平方差公式分解因式即可. (1)解: ; (2)解: . 【点拨】本题主要考查了分解因式,解题的关键是熟练掌握完全平方公式 ,平方差公式 . 16.(1) ;(2) 【分析】(1)利用提公因式法进行分解,即可解答; (2)利用完全平方公式进行分解,即可解答. (1)解: ; (2)解: . 【点拨】本题考查了提公因式法与公式法的综合运用,一定要注意如果多项式的各项含有公因式,必 须先提公因式.17.(1) ;(2) 【分析】(1)先提取公因式 ,再根据平方差公式分解因式即可; (2)根据整式的混合运算法则计算,再根据平方差公式分解因式即可. (1)解: ; (2)解: . 【点拨】本题主要考查因式分解.掌握公式法分解因式和综合提公因式和公式法分解因式是解题关键. 18.(1) ;(2) ;(3) 【分析】(1)直接利用平方差公式分解; (2)先提公因式,再利用平方差公式分解; (3)利用平方差公式分解. (1)解: ; (2) ;(3) 【点拨】本题考查了因式分解,解题的关键是掌握提公因式法以及平方差公式的应用. 19.(1) ;(2) ;(3) 【分析】(1)先利用完全平方公式,再利用平方差公式进行二次分解即可; (2)先利用多项式的乘法法则将原式展开,合并后再利用完全平方公式进行分解即可; (3)两次利用完全平方公式进行分解即可. (1)解: ; (2) ; (3) . 【点拨】本题考查公式法分解因式,多项式的乘法,积的乘方,幂的乘方.掌握平方差公式、完全平方公式的结构特征是解题的关键. 20.(1) ;(2) ;(3) ;(4) 【分析】(1)直接利用完全平方公式分解即可; (2)先提出公因式 ,再利用完全平方公式分解即可; (3)先提出负号,再利用完全平方公式分解即可; (4)将 当作一个整体,再利用完全平方公式分解即可. (1)解: ; (2) ; (3) ; (4) . 【点拨】本题考查利用提公因式和完全平方公式分解因式.掌握完全平方公式的结构特征是解题的关 键. 21.(1) ;(2) 【分析】(1)利用提公因式法因式分解即可; (2)利用提公因式法因式分解即可. 解:(1). (2) . 【点拨】此题考查了因式分解的方法,解题的关键是熟练掌握因式分解的方法.因式分解的方法有: 提公因式法,平方差公式法,完全平方公式法,十字相乘法等. 22.(1) ;(2) 【分析】(1)利用提公因式法因式分解即可; (2)利用提公因式法因式分解即可. 解:(1) ; (2) . 【点拨】此题考查了因式分解的方法,解题的关键是熟练掌握因式分解的方法.因式分解的方法有: 提公因式法,平方差公式法,完全平方公式法,十字相乘法等. 23.(1) ;(2) 【分析】(1)用提取公因式法分解即可; (2)先提取公因式 ,再用平方差公式分解. 解:(1) (2) 【点拨】本题考查了因式分解,把一个多项式化成几个整式的乘积的形式,叫做因式分解.因式分解 常用的方法有:①提公因式法;②公式法;③十字相乘法;④分组分解法.因式分解必须分解到每个因式 都不能再分解为止.24.(1) ;(2) ;(3) ;(4) 【分析】(1)利用完全平方公式进行因式分解; (2)利用完全平方公式进行因式分解; (3)先提出负号,再利用完全平方公式进行因式分解; (4)利用完全平方公式进行因式分解. 解:(1) (2) (3) (4) 【点拨】本题考查公式法进行因式分解,有公因式需要先提公因式,再利用公式法进行因式分解. 25.(1) ;(2)【分析】(1)根据平方差公式因式分解,即可求解; (2)先提公因式 ,然后根据平方差公式因式分解即可求解. (1)解: ; (2)解: . 【点拨】本题考查了因式分解,熟练掌握因式分解的方法是解题的关键. 26.(1) ;(2) ;(3) ;(4) 【分析】(1)提取公因式 即可; (2)提取公因式 即可; (3)先把第一个括号提取公因式a,再提取公因式 即可; (4)提取公因式 即可; (1)解: ; (2) ; (3) ; (4). 【点拨】本题考查的是提公因式分解因式,理解整体公因式是解本题的关键. 27.(1) ;(2) ;(3) ;(4) ;(5) ;(6) 【分析】(1)提取公因式a即可; (2)提取公因式a即可; (3)提取公因式 即可; (4)提取公因式 即可; (5)提取公因式 即可; (6)提取公因式 即可; (1)解: ; (2) ; (3) ; (4) ; (5) ; (6) . 【点拨】本题考查的是提公因式分解因式,熟记提公因式法分解因式是解本题的关键. 28.① ;② ;③ ;④ 【分析】①直接提公因式即可分解;②直接利用平方差公式分解;③直接利用完全平方公式分解;④ 先提公因式,再利用平方差公式分解. 解:①; ② ; ③ ; ④ . 【点拨】本题考查了因式分解,解题的关键是掌握提公因式法,公式法以及两者结合使用. 29.(1) ;(2) 【分析】(1)先变形,提取公因式,再用平方差公式分解因式即可; (2)先提取公因式,再用完全平方公式分解因式即可. (1)解: ; (2) 【点拨】本题考查分解因式,熟练掌握提公因式法和公式法的运用是解题的关键. 30.(1) ;(2)【分析】(1)提取公因式 分解因式即可; (2)先提取公因式 ,再利用完全平方公式分解因式. (1)解: ; (2)解: . 【点拨】本题考查了提公因式法与公式法分解因式,要求灵活使用各种方法对多项式进行因式分解, 一般来说,如果可以先提取公因式的要先提取公因式,再考虑运用公式法分解. 31.(1) ;(2) ;(3) 【分析】(1)运用平方差公式分解因式即可; (2)运用十字相乘法分解因式即可; (3)先提取公因式3,再运用完全平方公式分解因式即可. (1)解: ; (2) ; (3) . 【点拨】本题考查分解因式,掌握分解因式常见的几种方法,是解题的关键. 常见的分解因式方法 有:提公因式法,公式法,十字相乘法. 32.(1) ;(2) ;(3) ;(4)【分析】(1)将原式变形后,提取公因式即可; (2)先提取公因式,再根据平方差公式分解因式即可; (3)先提取公因式,再根据完全平方公式分解因式即可; (4)直接用平方差公式分解因式即可. (1)解: . (2)解: . (3)解: . (4)解: . 【点拨】本题考查了因式分解——运用公式法,提取公因式法;熟练掌握因式分解的方法是解题的关 键. 33.(1) ;(2) 【分析】(1)先提公因式,再利用完全平方公式分解;(2)直接利用平方差公式分解. (1)解: ; (2) . 【点拨】本题考查了因式分解,解题的关键是掌握提公因式法和公式法的综合运用. 34.(1) ;(2) 【分析】(1)先提公因式,再利用平方差公式继续分解即可解答; (2)先利用平方差公式,再利用完全平方公式继续分解即可解答. (1)解: ; (2) . 【点拨】本题考查了提公因式法与公式法的综合运用,一定要注意如果多项式的各项含有公因式,必 须先提公因式. 35.(1) ;(2) 【分析】(1)先提取公因式,再利用完全平方公式进行因式分解; (2)先提取公因式,再利用平方差公式进行因式分解. (1)解:(2)解: 【点拨】本题考查因式分解,解题的关键是综合运用提取公因式法和公式法. 36.(1) ;(2) 【分析】(1)连续利用平方差公式进行因式分解即可; (2)先提取公因式,再利用完全平方公式因式分解即可. 解:(1) ; (2) . 【点拨】本题考查因式分解,熟练掌握因式分解的方法是关键,解答此类型题目时需特别注意因式分 解必须彻底. 37.(1) ;(2) ;(3) ;(4) 【分析】(1)根据提公因式法可进行求解; (2)根据平方差公式可进行求解; (3)先提公因式然后利用完全平方公式可进行求解; (4)根据平方差公式可进行求解.(1)解:原式 ; (2)解:原式 ; (3)解:原式 ; (4)解:原式 . 【点拨】本题主要考查因式分解,熟练掌握因式分解是解题的关键. 38.(1) ;(2) ;(3) ;(4) ;(5) ;(6) 【分析】(1)根据提公因式法可进行因式分解; (2)根据平方差公式可进行因式分解; (3)根据提公因式法及完全平方公式可进行因式分解; (4)根据提公因式可进行因式分解; (5)根据平方差公式可进行因式分解; (6)根据提公因式可进行因式分解. (1)解:原式 ; (2)解:原式 ; (3)解:原式 ; (4)解:原式 ;(5)解:原式 ; (6)解:原式 . 【点拨】本题主要考查因式分解,熟练掌握因式分解的方法是解题的关键. 39.(1) ;(2) 【分析】(1)根据平方差公式计算即可; (2)先提取公因式,再根据完全平方公式计算即可. (1)解:原式 ; (2)解:原式 . 【点拨】本题考查因式分解.掌握提公因式法和公式法分解因式是解题关键. 40.(1) ;(2) 【分析】(1)先提公因式,然后再用平方差公式分解因式即可; (2)先提公因式,然后再用完全平方公式分解因式即可. (1)解: . (2)解:. 【点拨】本题主要考查了因式分解,解题的关键是熟练掌握平方差公式 和完全 平方公式 . 41.(1) ;(2) 【分析】(1)直接提取公因式a,再利用完全平方公式分解因式得出答案; (2)直接利用平方差公式以及完全平方公式分解因式得出答案. (1)解: ; (2)解: . 【点拨】本题考查了用提公因式法和公式法进行因式分解,一个多项式有公因式首先提取公因式,然 后再用其他方法进行因式分解,同时因式分解要彻底,直到不能分解为止. 42.(1) ;(2) 【分析】(1)先提取公因数3,再利用平方差公式分解因式即可; (2)先提取公因式4,再利用完全平方公式分解因式即可. (1)解:; (2)解: . 【点拨】本题主要考查了分解因式,熟知分解因式的方法是解题的关键. 43.(1) ;(2) 【分析】(1)原式先提取公因式 ,再运用平方差公式进行分解即可; (2)原式先提取公因式2,再运用差的完全平方公式进行分解即可. 解:(1) ; (2) . 【点拨】本题主要考查了提公因式法与公式法的综合运用,熟练掌握因式分解的方法是解答本题的关 键. 44.(1) ;(2) 【分析】(1)先提公因式,再利用平方差公式继续分解即可解答; (2)先利用完全平方公式,再利用平方差公式继续分解即可解答.(1)解: ; (2)解: . 【点拨】本题考查了提公因式法与公式法的综合运用,一定要注意如果多项式的各项含有公因式,必 须先提公因式. 45.(1) ;(2) ;(3) 【分析】(1)利用完全平方差公式进行因式分解即可; (2)直接利用提公因式因式分解即可; (3)利用平方差公式因式分解即可. 解:(1) (2) (3)【点拨】本题考查了利用乘法公式的逆运算和提公因式法进行因式分解,解题的关键是善于熟练运用 乘法公式. 46.(1) ;(2) ;(3) 【分析】(1)用完全平方公式分解因式; (2)先提公因式,然后用平方差公式分解因式; (3)将 看做一个整体,然后用十字相乘法,分解因式即可. (1)解: ; (2)解: ; (3)解: . 【点拨】本题主要考查了因式分解,解题的关键是熟练掌握因式分解的方法,准确计算. 47.(1) ;(2) ;(3) 【分析】(1)运用平方差公式即可求解; (2)运用提公因式法,公式法因式分解即可; (3)运用平方差公式即可求解.(1)解: . (2)解: . (3)解: . 【点拨】本题主要考查因式分解,掌握提公因式法,公式法进行因式分解的方法是解题的关键. 48.(1) ;(2) 【分析】(1)先提公因式,然后再用平方差公式分解因式即可; (2)先将多项式变形为 ,然后用完全平方公式分解因式即可. (1)解: ; (2)解: . 【点拨】本题主要考查了分解因式,解题的关键是熟练掌握完全平方公式 和平方差公式 . 49.(1) ;(2) 【分析】(1)先提公因式,再利用平方差公式分解; (2)先分组,利用完全平方公式变形,再利用平方差公式分解. (1)解: ; (2) . 【点拨】本题考查了因式分解,解题的关键是掌握因式分解的方法,提公因式法,乘法公式,以及分 组分解法. 50.(1) ;(2) 【分析】(1)根据提公因式法和平方差公式求解即可; (2)根据提公因式法和完全平方公式,求解即可. (1)解: ; (2) 【点拨】此题考查了因式分解的方法,解题的关键是熟练掌握提公因式法和公式法.51.(1) ;(2) . 【分析】(1)根据提公因式法因式分解即可; (2)先提取公因式,再用公式法因式分解即可. (1)解: (2)解: 【点拨】本题考查了提公因式法与公式法的综合运用,熟练掌握因式分解的方法是解题的关键. 52.(1) ;(2) 【分析】(1)先提公因式,再利用平方差公式进行因式分解; (2)先用平方差公式,再用完全平方公式进行因式分解即可. (1)解:原式 ; (2)原式 . 【点拨】本题考查因式分解.解题的关键是熟练掌握因式分解的方法. 53.(1) ;(2) 【分析】(1)利用提公因式法分解因式即可; (2)利用公式法分解因式即可. 解:(1); (2) . 【点拨】此题考查了因式分解的方法,解题的关键是熟练掌握因式分解的方法.因式分解的方法有: 提公因式法,平方差公式法,完全平方公式法,十字相乘法等. 54.(1) ;(2) ;(3) ;(4) 【分析】(1)先提出公因式,再利用平方差公式法进行因式分解,即可求解; (2)先提出公因式,再利用平方差公式法进行因式分解,即可求解; (3)先提出公因式,再利用平方差公式法进行因式分解,即可求解; (4)先利用平方差公式法进行因式分解,再提出公因式,即可求解. (1)解:原式 (2)解:原式 (3)解:原式(4)解:原式 【点拨】本题主要考查了多项式的因式分解,熟练掌握多项式的因式分解方法——提公因式法、公式 法、十字相乘法、分组分解法,并会结合多项式的特征,灵活选用合适的方法是解题的关键. 55.(1) ;(2) ;(3) ;(4) ;(5) 【分析】(1)根据提公因式进行因式分解即可; (2)先提取公因式,再根据完全平方公式进行因式分解即可; (3)先提取公因式,再根据完全平方公式进行因式分解即可; (4)根据提公因式进行因式分解即可; (5)先去括号,然后再根据完全平方公式进行因式分解即可. (1)解: = ; (2) = ; (3) = ; (4) = ; (5) = 【点拨】本题主要考查因式分解,熟练掌握因式分解的方法是解题的关键. 56.(1) ;(2) 【分析】(1)先提公因式,再用完全平方公式法因式分解即可; (2)先提公因式,再用平方差公式法因式分解即可. (1)解:原式; (2)原式 . 【点拨】本题考查因式分解.熟练掌握综合提公因式和公式法进行因式分解是解题的关键. 57.(1) ;(2) 【分析】(1)利用提公因式法即可求解. (1)先利用提公因式法,再利用公式法即可. (1)解: . (2) . 【点拨】本题考查了因式分解,熟练掌握提公因式法和公式法分解因式是解题的关键. 58.(1) ;(2) 【分析】(1)直接提取公因式 分解因式即可; (2)先提取公因式 ,然后利用完全平方公式进一步进行因式分解. (1)解:原式 (2)解:原式 【点拨】本题考查了因式分解的常用方法:提公因式法和公式法.根据式子特点选用正确的方法是解 题关键.59.(1) ;(2) 【分析】(1)利用平方差公式分解因式即可; (2)先提取公因式 ,然后利用完全平方公式分解因式即可. (1)解:原式 ; (2)原式 . 【点拨】本题主要考查了因式分解中的公式法和提公因式法,熟练掌握平方差公式和完全平方公式是 解题的关键. 60.(1) ;(2) 【分析】(1)利用提公因式法进行因式分解即可; (2)利用提公因式法及平方差公式进行因式分解即可. (1)解:原式 ; (2)解:原式 . 【点拨】本题考查因式分解,解题的关键是掌握提公因式法和公式法. 61.(1) ;(2) 【分析】(1)直接提公因式即可. (2)直接提公因式 即可. 解:(1)(2) 【点拨】本题考查了直接提公因式进行因式分解,解题的关键是找到最大的公因式. 62.(1) ;(2) 【分析】(1)提公因式 ,即可求解; (2)先提公因式 ,然后根据平方差公式因式分解即可求解. (1)解: ; (2)解: . 【点拨】本题考查了因式分解,熟练掌握因式分解的方法是解题的关键. 63.(1) ;(2) 【分析】(1)利用提公因式法和平方差公式求解即可; (2)利用平方差公式求解即可. (1)解: ; (2)解: 【点拨】此题考查了因式分解的方法,涉及了提公因式法和平方差公式,解题的关键是掌握因式分解 的有关方法.64.(1) ;(2) 【分析】(1)利用提公因式法分解因式; (2)利用完全平方公式和平方差公式分解因式. (1)解: ; (2) . 【点拨】本题考查了因式分解,解题的关键是掌握因式分解的方法. 65.(1) ;(2) 【分析】(1)先提公因式4,再利用平方差公式分解因式; (2)提公因式2,再根据完全平方公式分解因式. (1)解: (2) . 【点拨】此题考查了因式分解,正确掌握因式分解的定义及因式分解的方法:提公因式法和公式法是 解题的关键. 66.(1) ;(2)【分析】(1)先提取公因式 ,再利用完全平方公式进行分解即可; (2)先利用完全平方公式进行分解,再利用平方差公式进行二次分解即可. 解:(1) (2) 【点拨】本题考查了提取公因式与公式法分解因式,掌握因式分解的基本方法是解题的关键.要灵活 使用各种方法对多项式进行因式分解.一般来说,如果可以先提取公因式的要先提取公因式,再考虑运用 公式法分解. 67.(1) ;(2) 【分析】(1)直接利用平方差公式进行分解即可; (2)先提取公因式,再利用完全平方公式继续分解. (1)解:原式 ; (2)解:原式 . 【点拨】本题考查了因式分解,把一个多项式化成几个整式的乘积的形式,叫做因式分解.因式分解 常用的方法有:①提公因式法;②公式法;③十字相乘法;④分组分解法.因式分解必须分解到每个因式 都不能再分解为止. 68.(1) ;(2) ;(3) . 【分析】(1)提公因式 分解即可; (2)利用平方差公式分解即可; (3)展开整理后,利用完全平方公式分解即可.(1)解: ; (2)解: ; (3)解: . 【点拨】本题考查了用提公因式法和公式法进行因式分解,一个多项式有公因式首先提取公因式,然 后再用其他方法进行因式分解,同时因式分解要彻底,直到不能分解为止. 69.(1) ;(2) 【分析】(1)先提公因式,再根据平方差公式进行因式分解; (2)先提公因式,再根据完全平方公式进行因式分解. (1)解: = = ; (2)解: = = . 【点拨】本题主要考查了因式分解,运用公式法以及提公因式法,掌握平方差公式和完全平方公式是 解答本题的关键. 70.(1) ;(2) ;(3) 【分析】(1)利用提公因式法求解即可; (2)利用平方差公式因式分解即可;(3)先提公因式,然后利用完全平方公式因式分解即可. (1)解: ; (2) (3) . 【点拨】题目主要考查因式分解,熟练掌握提公因式法及公式法是解题关键. 71.(1) ;(2) ;(3) 【分析】根据分解因式的方法求解即可. (1)解:原式 ; (2)原式 . (3)原式 . 【点拨】此题考查了因式分解的方法,解题的关键是熟练掌握因式分解的方法.因式分解的方法有: 提公因式法,平方差公式法,完全平方公式法,十字相乘法等. 72.(1) ;(2) 【分析】(1)先提取公因式 ,再利用完全平方公式即可; (2)先提取公因数 ,再利用平方差公式即可.(1)解: ; (2)解: . 【点拨】本题考查了因式分解,牢记完全平方公式 和平方差公式 是解题关键. 73.(1) ;(2) 【分析】(1)先提公因式,然后利用完全平方公式进行因式分解即可; (2)先利用平方差公式,然后利用完全平方公式进行因式分解即可. (1)解: , ; (2)解: , ; 【点拨】本题考查了综合提公因式与公式法进行因式分解,利用公式法进行因式分解.解题的关键在 于对知识的熟练掌握与灵活运用. 74.(1) ;(2) 【分析】(1)先提公因式 ,然后根据平方差公式进行因式分解即可求解; (2)根据完全平方公式与平方差公式进行因式分解即可求解. (1)解:; (2)解: . 【点拨】本题考查了因式分解,熟练掌握因式分解的方法是解题的关键. 75.(1) ;(2) 【分析】(1)先提公因式,再利用完全平方公式继续分解即可解答; (2)先提公因式,再利用平方差公式继续分解即可解答. (1)解: ; (2) . 【点拨】本题考查了提公因式法与公式法的综合运用,一定要注意如果多项式的各项含有公因式,必 须先提公因式,掌握平方差公式 和完全平方公式 . 76.(1) ;(2) 【分析】(1)先提取公因式,后套用公式分解即可.(2)先乘法公式展开,后套用公式分解即可. (1)解: . (2)解: . 【点拨】本题考查了用提公因式法和公式法进行因式分解,一个多项式有公因式首先提取公因式,然 后再用其他方法进行因式分解,同时因式分解要彻底,直到不能分解为止. 77.(1) ;(2) 【分析】(1)直接提取公因式即可; (2)先将加法转化为减法,再利用平方差公式分解即可. (1)解: ; (2)解: . 【点拨】本题考查了因式分解,因式分解的步骤是:先考虑提公因式法,再考虑公式法;注意:因式 分解要分解到再也不能分解为止. 78.(1) ;(2) 【分析】(1)两次运用平方差公式分解即可; (2)根据完全平方公式和平方差公式解答即可. 解:(1). (2) . 【点拨】本题考查了利用公式法分解因式,熟练掌握完全平方公式和平方差公式是解题关键. 79.(1) ;(2) 【分析】(1)利用完全平方公式进行因式分解即可; (2)先根据多项式乘多项式的法则,展开,再利用完全平方公式进行因式分解. (1)解:原式 ; (2)原式 . 【点拨】本题考查因式分解.熟练掌握因式分解的方法,是解题的关键. 80.(1) ;(2) ;(3) ;(4)【分析】(1)先提公因式,再利用平方差公式进行因式分解; (2)利用完全平方公式进行因式分解即可; (3)先提公因式,再利用完全平方公式进行因式分解; (4)先提公因式,再利用平方差公式进行因式分解. (1)解:原式 ; (2)原式 ; (3)原式 (4)原式 . 【点拨】本题考查因式分解,熟练掌握因式分解的方法,是解题的关键. 81.(1) ;(2) ;(3) ;(4) ;(5) 【分析】(1)平方差法因式分解; (2)平方差法因式分解; (3)平方差法因式分解; (4)平方差法因式分解; (5)先提公因式,再用平方差法因式分解. (1)解: ; (2) ; (3) (4); (5) . 【点拨】本题考查因式分解.熟练掌握因式分级的方法,是解题的关键. 82.(1) ;(2) ;(3) ;(4) ;(5) ;(6) ;(7) 【分析】根据分解因式的方法求解即可. 解:(1)原式 . (2)原式 . (3)原式 . (4)原式 .(5)原式 . (6)原式 . (7)原式 . 【点拨】此题考查了因式分解的方法,解题的关键是熟练掌握因式分解的方法.因式分解的方法有: 提公因式法,平方差公式法,完全平方公式法,十字相乘法等. 83.(1) ;(2) ;(3) 【分析】根据分解因式的方法求解即可. 解:(1)原式 . (2)方法一:原式. 方法二:原式 . (3)设 , 则原式 . 【点拨】此题考查了因式分解的方法,解题的关键是熟练掌握因式分解的方法.因式分解的方法有: 提公因式法,平方差公式法,完全平方公式法,十字相乘法等. 84.(1) ;(2) 【分析】(1)利用平方差公式因式分解; (2)先提公因式 ,再利用完全平方差公式求解. (1)解: . (2)解:. 【点拨】本题考查了利用提公因式法及公式法因式分解,解题的关键是掌握平方差公式. 85.(1) ;(2) 【分析】(1)原式利用平方差公式分解即可; (2)原式提取公因式,再利用完全平方公式分解即可. (1)解:原式 ; (2)原式 . 【点拨】此题考查了提公因式法与公式法的综合运用,熟练掌握因式分解的方法是解本题的关键. 86.(1) ;(2) 【分析】(1)先提取公因式,然后利用平方差公式进行因式分解即可; (2)先提取公因式,然后利用完全平方公式进行因式分解即可. (1)解:原式 ; (2)原式 【点拨】此题考查了因式分解,解题的关键是掌握因式分解的方法,公式法和提公因式法. 87.(1) ;(2) 【分析】(1)此多项式有公因式,直接提取公因式即可分解; (2)此多项式有公因式,应先提取公因式,再对余下的多项式进行观察,有 项,可采用完全平方公 式继续分解. (1)解: (2). 【点拨】本题考查了提公因式法与公式法分解因式,要求灵活使用各种方法对多项式进行因式分解, 一般来说,如果可以先提取公因式的要先提取公因式,再考虑运用公式法分解. 88.(1) ;;(2) . 【分析】( )先提公因数 ,再套用平方差公式分解即可; ( )先分组分解,再用完全平方公式和平方差公式分解即可. 解:(1)原式 , , ; (2)原式 , , , . 【点拨】此题考查了整式的因式分解,掌握提取公因式法、公式法是解决本题的关键,一个多项式有 公因式首先提取公因式,然后再用其它方法进行因式分解. 89.(1) ;(2) 【分析】(1)先提出公因式,再利用平方差公式进行因式分解,即可求解; (2)先提出公因式,再利用完全平方公式进行因式分解,即可求解. (1)解:; (2)解: 【点拨】本题主要考查了多项式的因式分解,熟练掌握多项式的因式分解方法——提公因式法、公式 法、十字相乘法、分组分解法,并会结合多项式的特征,灵活选用合适的方法是解题的关键. 90.(1) ;(2) 【分析】(1)先提取公因式 ,再利用平方差公式继续分解即可; (2)先利用完全平方差公式,再利用平方差公式继续分解即可. 解:(1) (2) 【点拨】本题考查了用提公因式法和公式法进行因式分解,一个多项式有公因式首先提取公因式,然 后再用其他方法进行因式分解,同时因式分解要彻底,直到不能分解为止. 91.(1) ;(2) 【分析】(1)先提公因式,然后利用完全平方公式法分解因式; (2)先提公因式,然后利用平方差公式法分解因式. 解:(1); (2) . 【点拨】此题考查了因式分解的方法,解题的关键是熟练掌握因式分解的方法.因式分解的方法有: 提公因式法,平方差公式法,完全平方公式法,十字相乘法等. 92.(1) ;(2) . 【分析】(1)利用平方差公式分解因式即可得到结果; (2)先提取公因式,再利用完全平方公式继续分解即可得到结果. 解:(1) ; (2) . 【点拨】本题考查了用提公因式法和公式法进行因式分解,一个多项式有公因式首先提取公因式,然 后再用其他方法进行因式分解,同时因式分解要彻底,直到不能分解为止. 93.(1) ;(2) ;(3) 【分析】(1)先提取公因数3,然后利用平方差公式分解因式即可;(2)先去括号,然后合并同类项,再利用完全平方公式分解因式即可; (3)先去括号,然后利用十字相乘法分解因式即可. (1)解: ; (2) ; (3) . 【点拨】本题主要考查了因式分解,熟知因式分解的方法是解题的关键. 94.(1) ;(2) 【分析】(1)先提取公因式 ,再利用平方差公式进行分解即可得到答案; (2)先提取公因式 ,再利用完全平方差公式进行分解即可得到答案. (1)解: ; (2)解: . 【点拨】本题考查了综合提公因式法和公式法分解因式,先提取公因式,再利用完全平方公式和平方 差公式进行分解是解题的关键. 95.(1) ;(2) 【分析】(1)直接提取公因式即可; (2)先提取公因式,然后利用平方差公式进行因式分解即可.(1)解: ; (2) . 【点拨】题目主要考查因式分解的方法,包括提公因式法及公式法,熟练掌握这两种方法是解题关键. 96.(1) ;(2) ;(3) ;(4) 【分析】(1)提公因式法因式分解; (2)利用平方差公式法因式分解; (3)利用完全平方公式进行因式分解; (4)先用平方差公式,再利用完全平方公式进行因式分解. (1)解: ; (2) ; (3) ; (4) . 【点拨】本题考查因式分解,熟练掌握因式分解的方法,是解题的关键.注意,一定要分解彻底. 97.(1) ;(2) ;(3) 【分析】(1)先提取公因式 ,再利用完全平方公式分解因式即可得; (2)先提取公因式 ,再利用平方差公式分解因式即可得;(3)利用完全平方公式分解因式即可得. (1)解:原式 . (2)解:原式 . (3)解:原式 . 【点拨】本题考查了因式分解,熟练掌握因式分解的常用方法(提取公因式法、十字相乘法、公式法、 分组分解法等)是解题关键. 98.(1) ;(2) 【分析】(1)先提公因式,然后再用平方差公式分解因式即可; (2)先提公因式,然后再用完全平方公式分解因式即可. (1)解: ; (2)解: . 【点拨】本题主要考查了因式分解,解题的关键是熟练掌握因式分解的方法,准确计算.99.(1) ;(2) 【分析】(1)原式变形后,提取公因式 ,再运用平方差公式进行分解即可; (2)原式先提取公因式2,再运用完全平方公式进行分解即可. (1)解: ; (2)解: . 【点拨】本题考查了用提公因式法和公式法进行因式分解,一个多项式有公因式首先提取公因式,然 后再用其他方法进行因式分解,同时因式分解要彻底,直到不能分解为止. 100.(1) ;(2) 【分析】(1)运用提公因式,平方差公式的运用即可求解; (2)运用乘法公式进行因式分解即可求解. (1)解: 原式 . (2)解: 原式. 【点拨】本题主要考查提公因式法,乘法公式分解因式,掌握以上知识是解题的关键.