当前位置:首页>文档>专题5.29相交线与平行线常见几何模型(综合练)(人教版)_初中数学_七年级数学下册(人教版)_专题突破练习-V4

专题5.29相交线与平行线常见几何模型(综合练)(人教版)_初中数学_七年级数学下册(人教版)_专题突破练习-V4

  • 2026-04-29 15:08:55 2026-03-25 14:34:07

文档预览

专题5.29相交线与平行线常见几何模型(综合练)(人教版)_初中数学_七年级数学下册(人教版)_专题突破练习-V4
专题5.29相交线与平行线常见几何模型(综合练)(人教版)_初中数学_七年级数学下册(人教版)_专题突破练习-V4
专题5.29相交线与平行线常见几何模型(综合练)(人教版)_初中数学_七年级数学下册(人教版)_专题突破练习-V4
专题5.29相交线与平行线常见几何模型(综合练)(人教版)_初中数学_七年级数学下册(人教版)_专题突破练习-V4
专题5.29相交线与平行线常见几何模型(综合练)(人教版)_初中数学_七年级数学下册(人教版)_专题突破练习-V4
专题5.29相交线与平行线常见几何模型(综合练)(人教版)_初中数学_七年级数学下册(人教版)_专题突破练习-V4
专题5.29相交线与平行线常见几何模型(综合练)(人教版)_初中数学_七年级数学下册(人教版)_专题突破练习-V4
专题5.29相交线与平行线常见几何模型(综合练)(人教版)_初中数学_七年级数学下册(人教版)_专题突破练习-V4
专题5.29相交线与平行线常见几何模型(综合练)(人教版)_初中数学_七年级数学下册(人教版)_专题突破练习-V4
专题5.29相交线与平行线常见几何模型(综合练)(人教版)_初中数学_七年级数学下册(人教版)_专题突破练习-V4
专题5.29相交线与平行线常见几何模型(综合练)(人教版)_初中数学_七年级数学下册(人教版)_专题突破练习-V4
专题5.29相交线与平行线常见几何模型(综合练)(人教版)_初中数学_七年级数学下册(人教版)_专题突破练习-V4
专题5.29相交线与平行线常见几何模型(综合练)(人教版)_初中数学_七年级数学下册(人教版)_专题突破练习-V4
专题5.29相交线与平行线常见几何模型(综合练)(人教版)_初中数学_七年级数学下册(人教版)_专题突破练习-V4
专题5.29相交线与平行线常见几何模型(综合练)(人教版)_初中数学_七年级数学下册(人教版)_专题突破练习-V4
专题5.29相交线与平行线常见几何模型(综合练)(人教版)_初中数学_七年级数学下册(人教版)_专题突破练习-V4
专题5.29相交线与平行线常见几何模型(综合练)(人教版)_初中数学_七年级数学下册(人教版)_专题突破练习-V4
专题5.29相交线与平行线常见几何模型(综合练)(人教版)_初中数学_七年级数学下册(人教版)_专题突破练习-V4
专题5.29相交线与平行线常见几何模型(综合练)(人教版)_初中数学_七年级数学下册(人教版)_专题突破练习-V4
专题5.29相交线与平行线常见几何模型(综合练)(人教版)_初中数学_七年级数学下册(人教版)_专题突破练习-V4
专题5.29相交线与平行线常见几何模型(综合练)(人教版)_初中数学_七年级数学下册(人教版)_专题突破练习-V4
专题5.29相交线与平行线常见几何模型(综合练)(人教版)_初中数学_七年级数学下册(人教版)_专题突破练习-V4
专题5.29相交线与平行线常见几何模型(综合练)(人教版)_初中数学_七年级数学下册(人教版)_专题突破练习-V4
专题5.29相交线与平行线常见几何模型(综合练)(人教版)_初中数学_七年级数学下册(人教版)_专题突破练习-V4
专题5.29相交线与平行线常见几何模型(综合练)(人教版)_初中数学_七年级数学下册(人教版)_专题突破练习-V4
专题5.29相交线与平行线常见几何模型(综合练)(人教版)_初中数学_七年级数学下册(人教版)_专题突破练习-V4
专题5.29相交线与平行线常见几何模型(综合练)(人教版)_初中数学_七年级数学下册(人教版)_专题突破练习-V4
专题5.29相交线与平行线常见几何模型(综合练)(人教版)_初中数学_七年级数学下册(人教版)_专题突破练习-V4
专题5.29相交线与平行线常见几何模型(综合练)(人教版)_初中数学_七年级数学下册(人教版)_专题突破练习-V4

文档信息

文档格式
docx
文档大小
3.262 MB
文档页数
29 页
上传时间
2026-03-25 14:34:07

文档内容

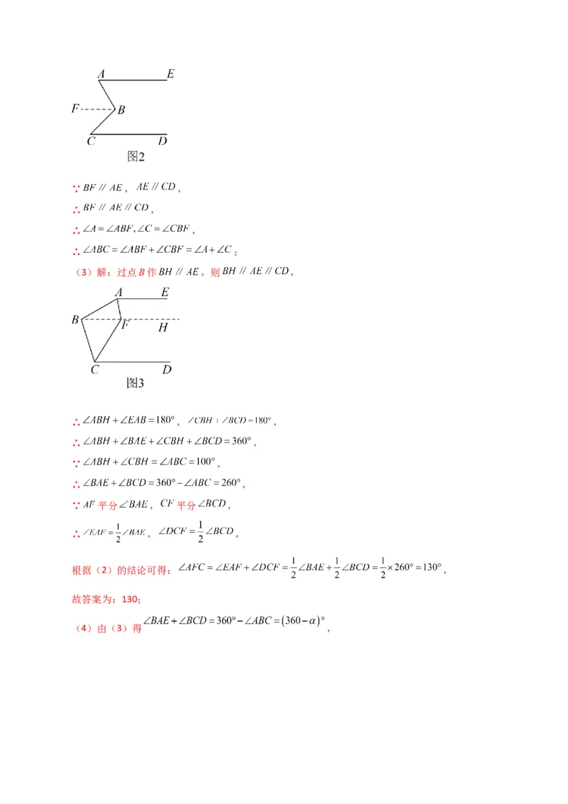
专题5.29 相交线与平行线常见几何模型(综合练) 一、单选题(本大题共10小题,每小题3分,共30分) 1.(2023下·河南平顶山·七年级统考期末)如图, , , ,则 的度数为( ) A.90° B.100° C.110° D.120° 2.(2023下·辽宁铁岭·七年级校考阶段练习)如图所示, , , ,则 的 度数为( ) A. B. C. D. 3.(2023上·广东广州·八年级校考期中)图1是男子竞技体操项目双杠的静止动作,图2是其俯视示 意图,已知 ,若 与 的夹角为 , ,则 的度数为( ) A. B. C. D. 4.(2024下·全国·七年级假期作业)已知 ,一个含有30°的角的三角尺按如图所示位置摆放,若 ,则 的度数为( )A.20° B.25° C.30° D.65° 5.(2023上·吉林长春·七年级校考期末)如图,l∥m,矩形ABCD的顶点B在直线m上,则∠α=( ) A.20° B.25° C.30° D.35° 6.(2024上·广东深圳·八年级统考期末)如图,小颖绘制一个潜望镜原理示意图,两个平面镜的镜面 与 平行,入射光线 与出射光线 平行.若入射光线 与镜面 的夹角 ,则 的度数为 ( ) A. B. C. D. 7.(2023下·浙江温州·七年级校联考期中)如图,已知直线 , 平分 ,过点C作 , 平分 分别交 于点H,G,过点A作 于点M.设 , ,则下列结论正确的是( )A. B. C. D. 8.(2022下·浙江宁波·七年级统考期末)如图, , ,设 , , 则 与 之间的数量关系正确的是( ) A. B. C. D. 与 没有数量关系 9.(2022下·河北唐山·七年级统考期中)如图,已知 , 于点 , , ,则 的度数是( ) A. B. C. D. 10.(2023上·四川宜宾·七年级四川省宜宾市第二中学校校考阶段练习)如图, 平分 交 于点E, , ,M,N分别是 延长线上的点, 和 的平 分线交于点F.下列结论:① ;② ;③ 平分 ;④ 为定值.其 中正确的有( )A.1个 B.2个 C.3个 D.4个 二、填空题(本大题共8小题,每小题4分,共32分) 11.(2024上·福建三明·八年级统考期末)如图, , , ,则 . 12.(2020上·黑龙江哈尔滨·七年级哈尔滨市萧红中学校考阶段练习)潜望镜中的两面镜子是互相平 行放置的,如图所示的光线经过镜子反射时,∠1=∠2,∠3=∠4,则可判断进入潜望镜和离开潜望镜的光 线是平行的,依据是: . 13.(2023上·黑龙江哈尔滨·七年级哈尔滨市萧红中学校考期中)如图,直线 ,小亮把一把含 30°的三角尺的直角顶点放在直线a上,把30°的顶点放在直线b上,若 ,则 的度数为 . 14.(2023下·七年级课时练习)如图, , , ,则 .15.(2023下·七年级课时练习)如图,已知 ,则 的度数为 . 16.(2023下·七年级课时练习)如图, , , , 表示图中三个角的角度,则 , , 三者之间的数量关系是 . 17.(2023上·黑龙江哈尔滨·八年级哈尔滨市第四十七中学校考期中)已知:如图, , 的平分线与 的平分线交于点M, , , ,则 . 18.(2023上·黑龙江哈尔滨·七年级校考期中)如图,已知 ,点 是 上方一点,点 分别在直线 、 上,连结 、 , 平分 , 交 的反向延长线于点 ,若 ,且 ,则 度数为 .三、解答题(本大题共6小题,共58分) 19.(8分)(2023下·河南驻马店·七年级统考期中)【问题背景】同学们,我们一起观察小猪的猪 蹄,你会发现一个我们熟悉的几何图形,我们就把这个图形形象的称为“猪蹄模型”,猪蹄模型中蕴含着 角的数量关系. (1)如图①, ,E为 之间一点,连接 ,得到 .试探究 与 之间的数量关系,并说明理由. (2)请你利用上述“猪蹄模型”得到的结论或解题方法,完成下面的问题: 【类比探究】如图②, ,线段 与线段 相交于点E, , , 平分 交直线 于点F,则 °. 20.(8分)(2022下·山东济南·六年级统考期末)如图1,已知点A是 外一点,连接 . 求 的度数. (1)阅读并补充下面推理过程: 解:过点A作 , 所以 , . 又因为 , 所以 . (2)从上面的推理过程中,我们发现平行线具有“等角转化”的功能,将 “凑”在一起,得出角之间的关系,使问题得以解决. 如图2,已知 ,试说明 (3)如图3,已知 , 平分 , 平分 ,若 ,则 的度数 为 °; (4)如图4,已知 , 平分 , 平分 , 平分 , 平分 , 平分 , 平分 …,若 ,则 的度数为 ;(用含a的代数式表示) 21.(10分)(山西省晋中市寿阳县2022-2023学年七年级下学期期中数学试题)综合与实践 【问题情境】 在综合与实践课上,同学们以“一个含 的直角三角尺和两条平行线”为背景开展数学活动.如图 1,已知两直线a,b且 和 , , , . (1)在图1中, ,求 的度数; 【深入探究】 (2)如图2,创新小组的同学把直线a向上平移,并把 的位置改变,发现 ,请说明 理由;【拓展应用】 (3)缜密小组在创新小组发现结论的基础上,将图2中的图形继续变化得到图3, 平分 , 此时发现 与 又存在新的数量关系,请直接写出 与 的数量关系. 22.(10分)(2023上·吉林长春·七年级统考期末)已知 ,点 在 上,点 在 上, 点 为射线 上一点. (1)【基础问题】如图1,试说明: .(完成下面的填空部分) 证明:过点 作直线 , ∵ , ∴_______①_______ . ∵ , ∴_______②_______ . ∵ , ∴ _______③_______(_______④_______). ∴ . (2)【类比探究】如图2,当点 在线段 延长线上时,请写出 、 、 三者之间的数 量关系,并说明理由. (3)【应用拓展】如图3,点 与点 重合, 平分 ,且 , ,那么 的度数为________.23.(10分)(2023下·云南玉溪·七年级统考期末)世界上最早记载潜望镜原理的古书,是公元前2 世纪我国西汉初期的《淮南万毕术》,书中记载的现象:“取大镜高悬,置水盆于其下,则见四邻矣.” 即潜望镜的雏形.如图,是一个潜望镜模型示意图,光线 经过互相平行的镜子 和镜子 反射后, 形成光线 ,人眼在 点即可看到 点的光线.已知 ,求证 .请完成下面的证 明,在括号内的横线上补充正确的结论或推理的依据. 证明: (已知), ( ) (已知), ( ) (等式的性质). , (平角的定义), , ( ). 24.(12分)(2018下·江苏南京·七年级校联考期中)模型与应用.【模型】 (1)如图①,已知AB∥CD,求证∠1+∠MEN+∠2=360°. 【应用】 (2)如图②,已知AB∥CD,则∠1+∠2+∠3+∠4+∠5+∠6的度数为 . 如图③,已知AB∥CD,则∠1+∠2+∠3+∠4+∠5+∠6+…+∠n的度数为 . (3)如图④,已知AB∥CD,∠AM M 的角平分线M O与∠CM Mn 的角平分线M O交于点O,若 1 2 1 n -1 n ∠M OM =m°. 1 n 在(2)的基础上,求∠2+∠3+∠4+∠5+∠6+……+∠n-1的度数.(用含m、n的代数式表示) 参考答案:1.C 【分析】过O作直线MN//AB,根据两直线平行,同旁内角互补即可求出 ,然后根据平行于同 一条直线的两直线平行可得MN//CD,进而可求出 ,从而求出 . 解:过O作直线MN//AB,如下图所示, ∵MN//AB, ∴ (两直线平行,同旁内角互补), ∴ , ∵MN//AB,AB//CD, , ∴MN//CD, ∴ , ∴ , ∴ , 故选:C. 【点拨】此题考查的是平行线的判定及性质,掌握构造平行线的方法是解决此题的关键. 2.C 解:本题考查了平行线的性质以及三角形外角的性质.假设 与 的交点为 ,因为 , 所以 ;根据三角形的一个外角等于不相邻的两个内角和,可得 ,所以 .故选C. 3.C 【分析】过点B作 ,则 ,利用平行线的性质,进行求解即可. 解:如图,过点B作 , ∵ ,∴ , ∴ , , ∵ , ∴ , ∴ . 故选:C. 【点拨】本题考查平行线的判定和性质.解题的关键是构造平行线. 4.B 【分析】过三角尺的顶点作平行线,根据平行线的性质求出∠4,故可求出 的度数. 解:如图,三角尺的顶点作平行线 ,则 ∴∠3= ,∠4=90°-∠3=25° 故 =∠4=25° 故选B. . 【点拨】此题主要考查平行线的性质,解题的关键是根据题意作出平行线进行求解. 5.B 解:试题解析:延长DC交直线m于E.如图所示: ∵l∥m, ∴∠CEB=65°. 在Rt△BCE中,∠BCE=90°,∠CEB=65°, ∴∠α=90°-∠CEB=90°-65°=25°; 故选B.考点:平行线的性质. 6.B 【分析】本题考查了平行性的性质.熟练掌握平行线的性质定理是解题的关键. 由题意知, , ,由 ,可得 ,进而可求 . 解:由题意知,入射光线与镜面的夹角等于反射光线与镜面的夹角,即 , , ∵ , ∴ , ∴ , 故选:B. 7.D 【分析】由三角形内角和定理和垂直的定义得 , ,则 ,由 得到 ,由 平分 得到 ,由 ,则 ,由 平分 得到 ,由 得到 ,整理即可得到答 案. 解:如图, ∵ 于点M. ∴ , ∴ , , ∴ , ∵ , ∴ , ∵ 平分 ,∴ , ∵ , ∴ , ∴ , ∵ 平分 , ∴ , ∵ , ∴ , ∴ , 故选:D 【点拨】此题考查了平行线的性质、三角形外角的性质、三角形内角和定理、角平分线的定义等知识, 熟练掌握平行线的性质、三角形外角的性质是解题的关键. 8.A 【分析】过C作 ∥ ,得到 ∥ ,因此 , ,由垂直的 定义得到 ,由邻补角的性质即可得到答案. 解:过C作 ∥ , ∥ , , , , , , , , ,故选:A. 【点拨】本题考查平行线的性质,关键是过C作 ,得到 ,由平行线的性质来解决 问题. 9.C 【分析】如图,过点H作 ,过点F作 ,根据平行线的性质定理进行解答即可. 解:如图,过点H作 ,过点F作 , ∴ , , ∵ , ∴ , ∴ , ∵ , , , ∴ , , ∴ , , ∵ , , ∴ , ∴ , ∵ , ∴ , ∴ ,∴ . 故选:C. 【点拨】本题考查了平行线的判定与性质,熟练掌握判定与性质定理,正确作出辅助线是解题的关键. 10.C 【分析】先根据AB⊥BC,AE平分∠BAD交BC于点E,AE⊥DE,∠1+∠2=90°,∠EAM和∠EDN的平 分线交于点F,由三角形内角和定理以及平行线的性质即可得出结论. 解:∵AB⊥BC,AE⊥DE, ∴∠1+∠AEB=90°,∠DEC+∠AEB=90°, ∴∠1=∠DEC, 又∵∠1+∠2=90°, ∴∠DEC+∠2=90°, ∴∠C=90°, ∴∠B+∠C=180°, ∴AB∥CD,故①正确; ∴∠ADN=∠BAD, ∵∠ADC+∠ADN=180°, ∴∠BAD+∠ADC=180°, 又∵∠AEB≠∠BAD, ∴AEB+∠ADC≠180°,故②错误; ∵∠4+∠3=90°,∠2+∠1=90°,而∠3=∠1, ∴∠2=∠4, ∴ED平分∠ADC,故③正确; ∵∠1+∠2=90°, ∴∠EAM+∠EDN=360°-90°=270°. ∵∠EAM和∠EDN的平分线交于点F, ∴∠EAF+∠EDF= ×270°=135°. ∵AE⊥DE, ∴∠3+∠4=90°, ∴∠FAD+∠FDA=135°-90°=45°, ∴∠F=180°-(∠FAD+∠FDA)=180-45°=135°,故④正确.故选:C. 【点拨】本题主要考查了平行线的性质与判定、三角形内角和定理、直角三角形的性质及角平分线的 计算,熟知三角形的内角和等于180°是解答此题的关键. 11.20 【分析】由 得到∠ABC+∠C=180°,再根据∠C=70°,BE⊥BC,即可求得∠ABE=180°-90°- 70°=20°. 解:∵ , ∴∠ABC+∠C=180°, 又∵∠C=70°,BE⊥BC, ∴∠ABE=180°-90°-70°=20°. 故答案为:20. 【点拨】考查了平行线的性质和垂线的定义,解题关键是根据图形和利用“两直线平行,同旁内角互 补”进行求解. 12.内错角相等,两直线平行 【分析】根据平行线的性质和判定即可求解. 解:∵AB CD, ∴∠2=∠3, ∵∠1=∠2,∠3=∠4, ∴∠1=∠2=∠3=∠4, ∴∠EFG=∠FGH,∴EF GH(内错角相等,两直线平行). 故答案为:内错角相等,两直线平行. 【点拨】此题主要是综合考查了平行线的判定和性质,牢记内错角相等,两直线平行. 13. 【分析】过点 作 ,可得 , ,可得 ,进而可求 的度数. 解:如图,过点 作 , , , , . 故答案为: . 【点拨】本题考查了平行线的性质与判断,解决本题的关键是正确作出辅助线. 14.130° 【分析】根据 , , 可以得到AD∥BC,∠DCB=50°, ∠DCB+∠ADC=180°,即可求解. 解:∵ ∴AD∥BC ∴∠DCB+∠ADC=180° ∵ ∴∠DCE=90° ∵ ∴∠DCB=50° ∴∠ADC=130° 故答案为:130°. 【点拨】本题主要考查了平行线的性质与判定,垂直的性质,解题的关键在于能够熟练掌握相关知识 进行求解. 15.25°【分析】要求∠D的度数,只需根据三角形的外角的性质求得该三角形的外角∠1的度数.显然根据 平行线的性质就可解决. 解:∵AB∥ED,∠B=60°,∠C=35°, ∴∠1=∠B=60°. ∵∠1=∠C+∠D, ∴∠D=∠1-∠C=60°-35°=25°. 故答案为:25°. 【点拨】本题考查了平行线的性质和外角的性质,根据两直线平行同位角相等和三角形外角的性质解 答. 16. 【解析】略 17. /88度 【分析】本题考查平行线的性质、角平分线的定义等,解题的关键是会添加常用辅助线(即过“拐 点”作平行线),一般而言,有几个“拐点”就需要作几条平行线,从而利用“拐点”模型的基本结论解 决问题;过点 、 、 分别作 ,根据平行线的传递性得出 ,再根据两直线平行内错角相等以及角平分线的定义即可求解; 解:过点 、 、 分别作 , ∵ , , 平分 , 平分 , , , ,, , , 故答案为: . 18. /52度 【分析】本题考查了平行线的性质与判定的综合运用,过点 作 ,过 作 ,设 , ,利用平行线的性质以及角平分线的定义即可得出结论,解题的关键是作辅助线 构造内错角,利用平行线的性质以及角的和差关系进行推算. 解:如图,过点 作 ,过 作 , 设 , , ∵ , 交于 , 平分 , ∴ , ∴ , ∵ , ∴ , ∵ , ∴ , ∵ ,∴ , ∴ , ∴ , ∵ , 平分 , ∴ , ∵ , ∴ , ∴ , ∴ , , ∵ , ∴ , ∴ , ∴ , 故答案为: . 19.(1) ,理由见分析;(2)58 【分析】(1)过E作 ,根据平行线的性质求解即可; (2)根据平行线的性质和角平分线的概念求解即可. 解:(1) , 理由如下: 过E作 ,如图, ∵ , ∴ , ∴ , ∴ ,即 ; (2)同(1)方法可知: , ∵ , , ∴ , ∴ , ∵ 平分 , ∴ . 【点拨】题目主要考查平行线的判定和性质,角平分线的计算,理解题意,熟练掌握运用平行线的判 定和性质是解题关键. 20.(1) ;(2)见分析;(3)130;(4) 【分析】(1)利用平行线的性质解答即可; (2)过点B作 ,得到 ,利用两直线平行内错角相等得到 ,由此得到结论; (3)过点B作 ,则 ,根据平行线的性质推出 ,再根据 角平分线求出 的度数; (4)依据(2)(3)的结论推理计算可得答案. (1)解:过点A作 , 所以 . 又因为 , 所以 . 故答案为: ; (2)解:过点B作 ,如图,∵ , , ∴ , ∴ , ∴ ; (3)解:过点B作 ,则 , ∴ , , ∴ , ∵ , ∴ , ∵ 平分 , 平分 , ∴ , , 根据(2)的结论可得: , 故答案为:130; (4)由(3)得 ,, ∵ 平分 , 平分 , ∴ , ∵ 平分 , 平分 , ∴ , ∵ 平分 , 平分 , ∴ , ∴ , 故答案为: . 【点拨】此题考查了平行线的性质的应用,正确作出辅助线,熟练掌握平行线的性质是解题的关键. 21.(1) ;(2)见分析;(3) ,理由见分析. 【分析】(1)根据 及 的和为 可求出 ,根据平行线的性质解答; (2)过点 作 ,根据平行线的性质得到 , ,结合图形计算,证 明结论; (3)过点 作 ,根据角平分线的定义、平行线的性质计算即可. (1)解:如答图1,∵ , , ∴ . ∵ , ∴ ; (2)解:理由如下: 如答图2,过点B作 . ∴ . ∵ , ∴ . ∴ . ∴ . ∴ . ∴ ; (3)解: . 理由如下: 如答图3,过点C作 .∴ . ∵ 平分 , , ∴ . ∵ , ∴ , . ∴ . ∵ , ∴ . ∴ . ∴ . 【点拨】本题考查的是角平分线定义、平行线的性质,解题的关键是掌握平行线的性质定理. 22.(1) ; ; ;两直线平行,内错角相等;(2) ,理由见分析; (3) 【分析】( )过点 作直线 ,根据平行线的性质与判定即可求解; ( )过点 作直线 ,同理可得 , ,则 ; ( )利用平行线的性质求出 的值,再利用平行线的性质进行计算即可; 本题主要考查了平行线的性质,平行公理,解题的关键在于能够熟练掌握平行线的性质. 解:(1)过点 作直线 , ∵ , ∴ (平行于同一条直线的两条直线平行), , ∴ , ∵ , ∴ (两直线平行,内错角相等),∴ ; 故答案为: ; ; ;两直线平行,内错角相等; (2)如图所示,过点 作直线 , 又∵ , ∴ , ∵ , ∴ , ∵ , ∴ , ∴ ; (3)如图所示, ∵ , ∴ , ∵ 平分 , ∴ , ∵ , ∴ , ∴ . 23. ;两直线平行,内错角相等;等量代换; ; ; ;内错角相等,两直线平行. 【分析】先根据“两直线平行,内错角相等”可得 ,又由于 ,可得 ,由平角的定义可得 , ,由此可得,根据“内错角相等,两直线平行”即可证明 . 解:证明: (已知), (两直线平行,内错角相等) (已知), (等量代换) (等式的性质). , (平角的定义), , (内错角相等,两直线平行) 故答案为: ;两直线平行,内错角相等;等量代换; ; ; ;内错角相等,两直 线平行. 【点拨】本题主要考查了平行线的性质和判定,熟练掌握平行线的判定和性质是解题的关键. 24.(1)证明见分析;(2)900° ,180°(n-1);(3)(180n-180-2m)° 【模型】(1)证明:过点E作EF∥CD, ∵AB∥CD, ∴EF∥AB, ∴∠1+∠MEF=180°, 同理∠2+∠NEF=180° ∴∠1+∠2+∠MEN=360° 【应用】(2)分别过E点,F点,G点,H点作L ,L ,L ,L 平行于AB,利用(1)的方法可得 1 2 3 4 ∠1+∠2+∠3+∠4+∠5+∠6=180×5=900°;由上面的解题方法可得:∠1+∠2+∠3+∠4+∠5+∠6+…+∠n=180°(n-1), 故答案是:900° , 180°(n-1); (3)过点O作SR∥AB, ∵AB∥CD, ∴SR∥CD, ∴∠AM O=∠M OR 1 1 同理∠C M O=∠M OR n n ∴∠A M O+∠CM O=∠M OR+∠M OR, 1 n 1 n ∴∠A M O+∠CM O=∠M OM =m°, 1 n 1 n ∵M O平分∠AM M , 1 1 2 ∴∠AM M =2∠A M O, 1 2 1 同理∠CM M =2∠CM O, n n-1 n ∴∠AM M +∠CM M =2∠AM O+2∠CM O=2∠M OM =2m°, 1 2 n n-1 1 n 1 n 又∵∠A M M +∠2+∠3+∠4+∠5+∠6+……+∠n-1+∠CM M =180°(n-1), 1 2 n n-1 ∴∠2+∠3+∠4+∠5+∠6+…+∠n-1=(180n-180-2m)° 点睛:本题考查了平行线的性质,角平分线的定义,解决此类题目,过拐点作平行线是解题的关键, 准确识图理清图中各角度之间的关系也很重要.