当前位置:首页>文档>第35练空间向量的运算及其坐标表示(精练:基础+重难点)一轮复习讲义2024年高考数学高频考点题型归纳与方法总结(新高考通用)原卷版_2.2025数学总复习_2024年新高考资料

第35练空间向量的运算及其坐标表示(精练:基础+重难点)一轮复习讲义2024年高考数学高频考点题型归纳与方法总结(新高考通用)原卷版_2.2025数学总复习_2024年新高考资料

  • 2026-04-01 07:26:05 2026-03-25 16:19:42

文档预览

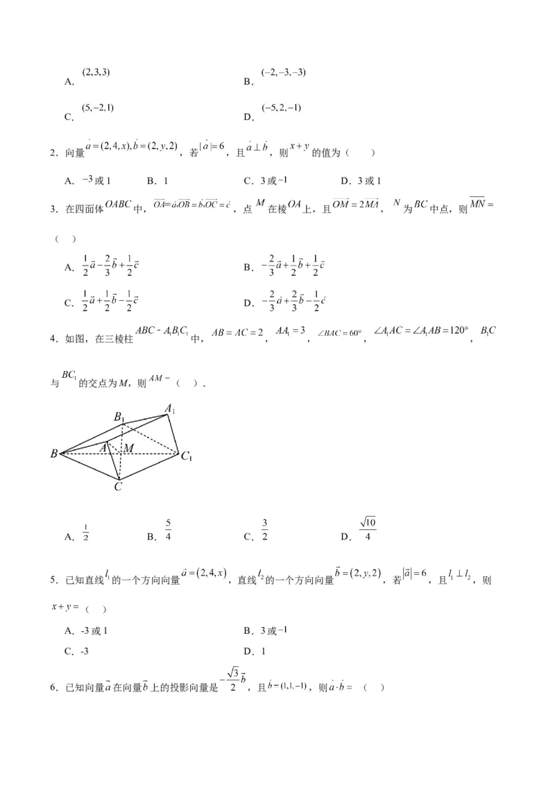
第35练空间向量的运算及其坐标表示(精练:基础+重难点)一轮复习讲义2024年高考数学高频考点题型归纳与方法总结(新高考通用)原卷版_2.2025数学总复习_2024年新高考资料
第35练空间向量的运算及其坐标表示(精练:基础+重难点)一轮复习讲义2024年高考数学高频考点题型归纳与方法总结(新高考通用)原卷版_2.2025数学总复习_2024年新高考资料
第35练空间向量的运算及其坐标表示(精练:基础+重难点)一轮复习讲义2024年高考数学高频考点题型归纳与方法总结(新高考通用)原卷版_2.2025数学总复习_2024年新高考资料
第35练空间向量的运算及其坐标表示(精练:基础+重难点)一轮复习讲义2024年高考数学高频考点题型归纳与方法总结(新高考通用)原卷版_2.2025数学总复习_2024年新高考资料
第35练空间向量的运算及其坐标表示(精练:基础+重难点)一轮复习讲义2024年高考数学高频考点题型归纳与方法总结(新高考通用)原卷版_2.2025数学总复习_2024年新高考资料
第35练空间向量的运算及其坐标表示(精练:基础+重难点)一轮复习讲义2024年高考数学高频考点题型归纳与方法总结(新高考通用)原卷版_2.2025数学总复习_2024年新高考资料
第35练空间向量的运算及其坐标表示(精练:基础+重难点)一轮复习讲义2024年高考数学高频考点题型归纳与方法总结(新高考通用)原卷版_2.2025数学总复习_2024年新高考资料
第35练空间向量的运算及其坐标表示(精练:基础+重难点)一轮复习讲义2024年高考数学高频考点题型归纳与方法总结(新高考通用)原卷版_2.2025数学总复习_2024年新高考资料
第35练空间向量的运算及其坐标表示(精练:基础+重难点)一轮复习讲义2024年高考数学高频考点题型归纳与方法总结(新高考通用)原卷版_2.2025数学总复习_2024年新高考资料
第35练空间向量的运算及其坐标表示(精练:基础+重难点)一轮复习讲义2024年高考数学高频考点题型归纳与方法总结(新高考通用)原卷版_2.2025数学总复习_2024年新高考资料
第35练空间向量的运算及其坐标表示(精练:基础+重难点)一轮复习讲义2024年高考数学高频考点题型归纳与方法总结(新高考通用)原卷版_2.2025数学总复习_2024年新高考资料
第35练空间向量的运算及其坐标表示(精练:基础+重难点)一轮复习讲义2024年高考数学高频考点题型归纳与方法总结(新高考通用)原卷版_2.2025数学总复习_2024年新高考资料
第35练空间向量的运算及其坐标表示(精练:基础+重难点)一轮复习讲义2024年高考数学高频考点题型归纳与方法总结(新高考通用)原卷版_2.2025数学总复习_2024年新高考资料
第35练空间向量的运算及其坐标表示(精练:基础+重难点)一轮复习讲义2024年高考数学高频考点题型归纳与方法总结(新高考通用)原卷版_2.2025数学总复习_2024年新高考资料
第35练空间向量的运算及其坐标表示(精练:基础+重难点)一轮复习讲义2024年高考数学高频考点题型归纳与方法总结(新高考通用)原卷版_2.2025数学总复习_2024年新高考资料
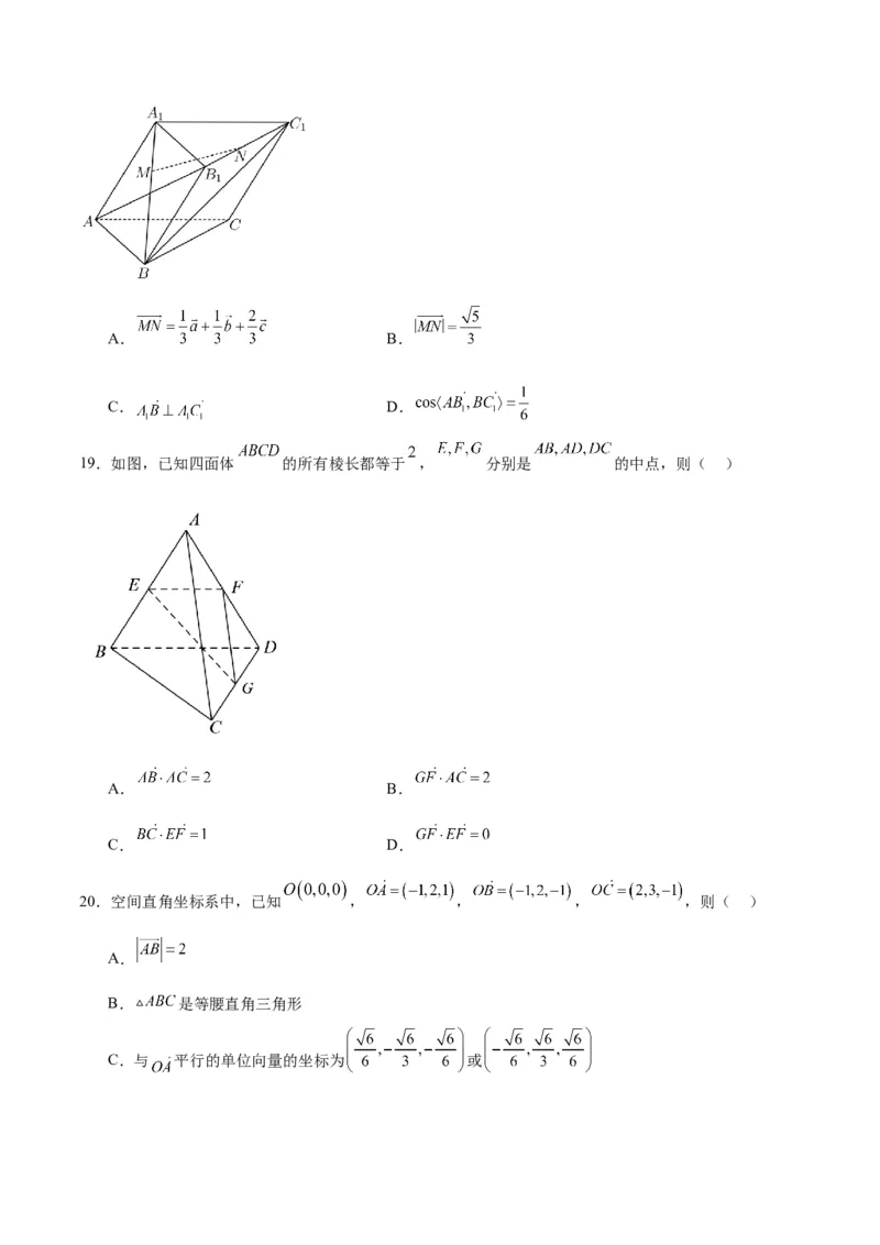
第35练空间向量的运算及其坐标表示(精练:基础+重难点)一轮复习讲义2024年高考数学高频考点题型归纳与方法总结(新高考通用)原卷版_2.2025数学总复习_2024年新高考资料

文档信息

文档格式
docx
文档大小
1.262 MB
文档页数
16 页
上传时间
2026-03-25 16:19:42

文档内容

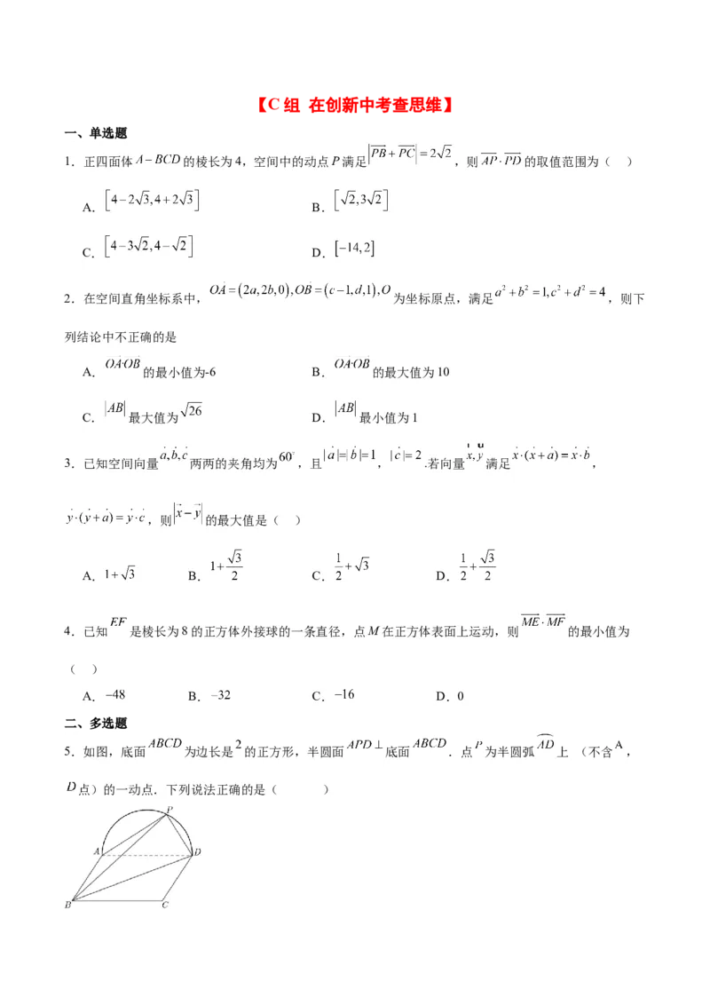
【一轮复习讲义】2024年高考数学高频考点题型归纳与方法总结(新高考通用) 第 35 练 空间向量的运算及其坐标表示(精练) 【A组 在基础中考查功底】 一、单选题 1.已知向量 , ,则下列结论正确的是( ) A. B. C. D. 2.已知向量 , ,且 ,则x的值为( ) A.4 B. C.5 D. 3.已知三棱锥 ,点M,N分别为 , 的中点,且 , , ,用 , , 表示 ,则 等于( ) A. B. C. D. 4.设 ,向量 , , 且 ,则 ( ) A. B. C.3 D.4 5.平行六面体 中,化简 ( ) A. B.C. D. 6.已知 为空间任意一点,若 ,则 四点( ) A.一定不共面 B.一定共面 C.不一定共面 D.无法判断 7.如图,在平行六面体 中, .点 在 上,且 , 则 ( ) A. B. C. D. 8.在平行六面体 中, 为 与 的交点,若 , , ,则下列向量 中与 相等的向量是( ) A. B. C. D. 9.如图,空间四边形OABC中, ,点M在 上,且 ,点N为BC中点, 则 ( )A. B. C. D. 10.四面体 中, , 为 中点,设 则 ( ) A. B. C. D. 11.已知点 , ,C为线段AB上一点,且 ,则点C的坐标为( ) A. B. C. D. 12.在四面体 中, , , ,D为BC的中点,E为AD的中点,则 =( ) A. B. C. D. 13.我国古代数学名著《九章算术》中,将底面为矩形且一侧棱垂直于底面的四棱锥称为阳马.如图,四 棱锥 为阳马, 平面 ,且 ,若 ,则 ( ) A. B. C. D.二、多选题 14.若 , , , 为空间不同的四点,则下列各式为零向量的是( ) ① ; ② ; ③ ; ④ . A.① B.② C.③ D.④ 15.已知A,B,C三点不共线,对平面ABC外的任一点O,下列条件中不能确定点M,A,B,C共面的 是( ) A. B. C. D. 16.在空间直角坐标系中,已知 , , ,则( ). A.点 关于 平面对称的点是 B.点 关于 轴对称的点是 C. D. 17.在正方体 中,设 , , ,则( ) A. B. C. D. 18.如图,在三棱柱 中, 分别是 上的点,且 .设 ,若 ,则下列说法中正确的是 ( )A. B. C. D. 19.如图,已知四面体 的所有棱长都等于 , 分别是 的中点,则( ) A. B. C. D. 20.空间直角坐标系中,已知 , , , ,则( ) A. B. 是等腰直角三角形 C.与 平行的单位向量的坐标为 或D. 在 方向上的投影向量的坐标为 21.在四棱锥 中,底面 是边长为 的正方形, ,则以下结论正确的有 ( ) A. B. C. D. 三、填空题 22.如图,三棱柱 中, 、 分别是 、 的中点,设 , , ,则 . 23.设 ,向量 ,则 . 24.已知向量 , ,且 与 互相垂直,则 的值是 . 25.已知 , ,且 ,则 . 26.已知空间向量 和 ,则 在 上的投影向量为 (用坐标表示). 27.在长方体 中,设 , ,则 . 28.已知向量 ,若 ,则 . 29.已知正方体 中,若点 是侧面 的中心,且 ,则 .30.已知基底 , , ,若 ,则 . 31.如图,正三棱柱 为的底面边长为 ,侧棱长为 ,则 与 所成的角的正弦值为 . 32.已知向量 满足 ,且 ,则 , 在 上的投影 向量的坐标为 . 33.如图,平行六面体 中, , , , , 则线段 的长为 . 【B组 在综合中考查能力】 一、单选题 1.在空间四边形ABCD中,若向量 , ,点E,F分别为线段BC,AD的中 点,则 的坐标为( )A. B. C. D. 2.向量 ,若 ,且 ,则 的值为( ) A. 或1 B.1 C.3或 D.3或1 3.在四面体 中, ,点 在棱 上,且 , 为 中点,则 ( ) A. B. C. D. 4.如图,在三棱柱 中, , , , , 与 的交点为M,则 ( ). A. B. C. D. 5.已知直线 的一个方向向量 ,直线 的一个方向向量 ,若 ,且 ,则 ( ) A.-3或1 B.3或 C.-3 D.1 6.已知向量 在向量 上的投影向量是 ,且 ,则 ( )A. B. C. D. 7.如图,在三棱锥 中, 是边长为3的正三角形, 是 上一点, , 为 的中点, 为 上一点且 ,则 ( ) A.5 B.3 C. D. 8.在平行六面体 中,其中 , , , 则 ( ) A.100 B. C.56 D.10 9.如图, , 分别是圆台上、下底面的两条直径,且 , , 是弧 靠近点 的三等分点,则 在 上的投影向量是( ). A. B. C. D.10.在正四面体 中, , , , 为 中点, 为 靠近 的三等分点,用向 量 , , 表示 ( ) A. B. C. D. 11.正四面体 的棱长为2,点D是 的重心,则 的值为( ) A. B. C. D. 12.在平行六面体 中,底面 是边长为2的正方形, , , 则异面直线 与 所成角的余弦值为( ) A. B. C. D. 13.已知空间向量 ,且 ,则 与 的夹角的余弦值为( ) A. B. C. D. 14.正方体 的棱长为2,P是空间内的动点,且 ,则 的最小值为 ( ). A. B. C. D. 15.如图,在棱长为1的正方体 中,点 在 上,点 在 上,则 的最小值为 ( )A.1 B. C. D. 二、多选题 16.已知向量 , , ,则下列结论正确的是( ) A. B. C.记 与 的夹角为 ,则 D.若 ,则 17.空间直角坐标系中,已知 , , , ,则( ) A. B. 与 夹角余弦值为 C.与 平行的单位向量的坐标为 或 D. 在 方向上的投影向量的坐标为 18.下列命题正确的是( ) A.若 是平面 的一个法向量, 是直线 上不同的两点,则 的充要条件是 B.已知 三点不共线,对于空间中任意一点 ,若 ,则 四点 共面C.已知 ,若 与 垂直,则 D.已知 的顶点分别为 ,则 边上的高 的长为 19.在下列条件中,使M与A,B,C不一定共面的是( ) A. B. C. D. 20.(多选)空间四边形ABCD中,若E,F,G,H分别为AB,BC,CD,DA边的中点,则下列各式成 立的是( ) A. B. C. D. 21.下面四个结论正确的是( ) A.已知向量 ,则 在 上的投影向量为 B.若对空间中任意一点 ,有 ,则 四点共面 C.已知 是空间的一组基底,若 ,则 也是空间的一组基底 D.若直线 的方向向量为 ,平面 的法向量 ,则直线 三、填空题 22.设空间向量 , ,若 ,则 . 23.已知空间三点坐标分别为 , , ,点 在平面 内,则实数 的值 为 . 24.已知空间向量 , , 两两夹角均为 ,其模均为1,则 . 25.在空间四边形 中, 为 中点, 为 的中点,若 ,则使 、 、 三点共线的 的值是 .26.如图所示,已知 平面ABC, , ,则向量 在向量 上的投影向 量是 . 27.在如图所示的平行六面体 中,已知 , , , N为 上一点,且 .若 ,则 的值为 . 28.已知 , ,则 最大值为 29.如图,空间四边形 的各边及对角线长都为2, 是 的中点, 在 上,且 ,则 向量 与向量 所成角的余弦值为 .【C组 在创新中考查思维】 一、单选题 1.正四面体 的棱长为4,空间中的动点P满足 ,则 的取值范围为( ) A. B. C. D. 2.在空间直角坐标系中, 为坐标原点,满足 ,则下 列结论中不正确的是 A. 的最小值为-6 B. 的最大值为10 C. 最大值为 D. 最小值为1 3.已知空间向量 两两的夹角均为 ,且 , .若向量 满足 , ,则 的最大值是( ) A. B. C. D. 4.已知 是棱长为8的正方体外接球的一条直径,点M在正方体表面上运动,则 的最小值为 ( ) A. B. C. D.0 二、多选题 5.如图,底面 为边长是 的正方形,半圆面 底面 .点 为半圆弧 上 (不含 , 点)的一动点.下列说法正确的是( )A. 的数量积不恒为 B.三棱锥 体积的最大值为 C.不存在点 ,使得 D.点 到平面 的距离取值范围为 6.在长方体 中, ,E,F为 的两个三等分点,点P是长方体 表面上的动点,则( ) A. 的最小值为 B. 的最大值为2 C. 的最小值为30° D. 的最大值为90° 三、填空题 7.已知点 为棱长等于 的正方体 内部一动点,且 ,则 的值达到最小时, 与 夹角大小为 . 8.已知平行六面体 , , ,则 . 9.在正三棱锥 中, , 为 的中点, 为 上靠近 的三等分点, 在平 面 上,且满足 , 在 的边界上运动,则直线 与 所成角的余弦值的取值范 围是 .10.已知共面的三个单位向量 , , 满足 ,若空间向量 满足 ,且对 于任意 , ,恒有 ,则 .