当前位置:首页>文档>专题7.8坐标方法的简单应用(分层练习)(提升练)-(人教版)_初中数学_七年级数学下册(人教版)_专题突破练习-V4

专题7.8坐标方法的简单应用(分层练习)(提升练)-(人教版)_初中数学_七年级数学下册(人教版)_专题突破练习-V4

  • 2026-04-16 05:27:33 2026-03-25 16:48:00

文档预览

专题7.8坐标方法的简单应用(分层练习)(提升练)-(人教版)_初中数学_七年级数学下册(人教版)_专题突破练习-V4
专题7.8坐标方法的简单应用(分层练习)(提升练)-(人教版)_初中数学_七年级数学下册(人教版)_专题突破练习-V4
专题7.8坐标方法的简单应用(分层练习)(提升练)-(人教版)_初中数学_七年级数学下册(人教版)_专题突破练习-V4
专题7.8坐标方法的简单应用(分层练习)(提升练)-(人教版)_初中数学_七年级数学下册(人教版)_专题突破练习-V4
专题7.8坐标方法的简单应用(分层练习)(提升练)-(人教版)_初中数学_七年级数学下册(人教版)_专题突破练习-V4
专题7.8坐标方法的简单应用(分层练习)(提升练)-(人教版)_初中数学_七年级数学下册(人教版)_专题突破练习-V4
专题7.8坐标方法的简单应用(分层练习)(提升练)-(人教版)_初中数学_七年级数学下册(人教版)_专题突破练习-V4
专题7.8坐标方法的简单应用(分层练习)(提升练)-(人教版)_初中数学_七年级数学下册(人教版)_专题突破练习-V4
专题7.8坐标方法的简单应用(分层练习)(提升练)-(人教版)_初中数学_七年级数学下册(人教版)_专题突破练习-V4
专题7.8坐标方法的简单应用(分层练习)(提升练)-(人教版)_初中数学_七年级数学下册(人教版)_专题突破练习-V4
专题7.8坐标方法的简单应用(分层练习)(提升练)-(人教版)_初中数学_七年级数学下册(人教版)_专题突破练习-V4
专题7.8坐标方法的简单应用(分层练习)(提升练)-(人教版)_初中数学_七年级数学下册(人教版)_专题突破练习-V4
专题7.8坐标方法的简单应用(分层练习)(提升练)-(人教版)_初中数学_七年级数学下册(人教版)_专题突破练习-V4
专题7.8坐标方法的简单应用(分层练习)(提升练)-(人教版)_初中数学_七年级数学下册(人教版)_专题突破练习-V4
专题7.8坐标方法的简单应用(分层练习)(提升练)-(人教版)_初中数学_七年级数学下册(人教版)_专题突破练习-V4
专题7.8坐标方法的简单应用(分层练习)(提升练)-(人教版)_初中数学_七年级数学下册(人教版)_专题突破练习-V4
专题7.8坐标方法的简单应用(分层练习)(提升练)-(人教版)_初中数学_七年级数学下册(人教版)_专题突破练习-V4
专题7.8坐标方法的简单应用(分层练习)(提升练)-(人教版)_初中数学_七年级数学下册(人教版)_专题突破练习-V4
专题7.8坐标方法的简单应用(分层练习)(提升练)-(人教版)_初中数学_七年级数学下册(人教版)_专题突破练习-V4
专题7.8坐标方法的简单应用(分层练习)(提升练)-(人教版)_初中数学_七年级数学下册(人教版)_专题突破练习-V4
专题7.8坐标方法的简单应用(分层练习)(提升练)-(人教版)_初中数学_七年级数学下册(人教版)_专题突破练习-V4
专题7.8坐标方法的简单应用(分层练习)(提升练)-(人教版)_初中数学_七年级数学下册(人教版)_专题突破练习-V4
专题7.8坐标方法的简单应用(分层练习)(提升练)-(人教版)_初中数学_七年级数学下册(人教版)_专题突破练习-V4
专题7.8坐标方法的简单应用(分层练习)(提升练)-(人教版)_初中数学_七年级数学下册(人教版)_专题突破练习-V4
专题7.8坐标方法的简单应用(分层练习)(提升练)-(人教版)_初中数学_七年级数学下册(人教版)_专题突破练习-V4

文档信息

文档格式
docx
文档大小
2.906 MB
文档页数
25 页
上传时间
2026-03-25 16:48:00

文档内容

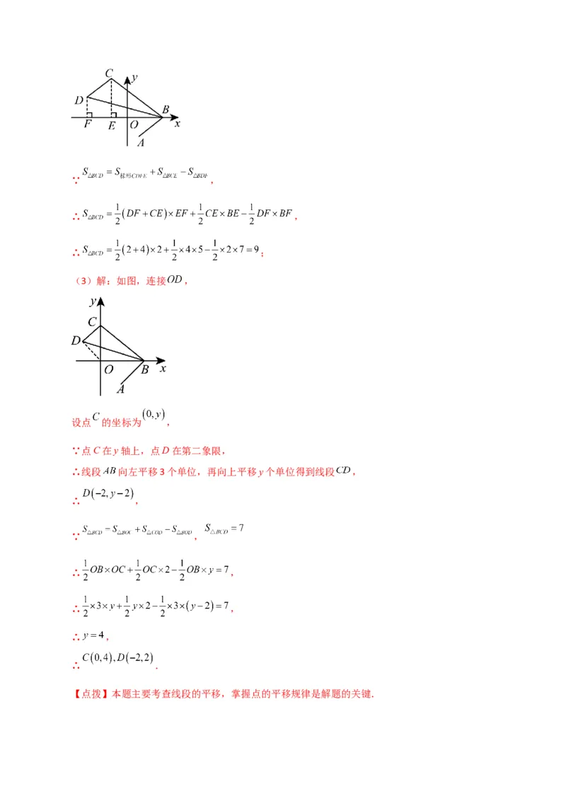
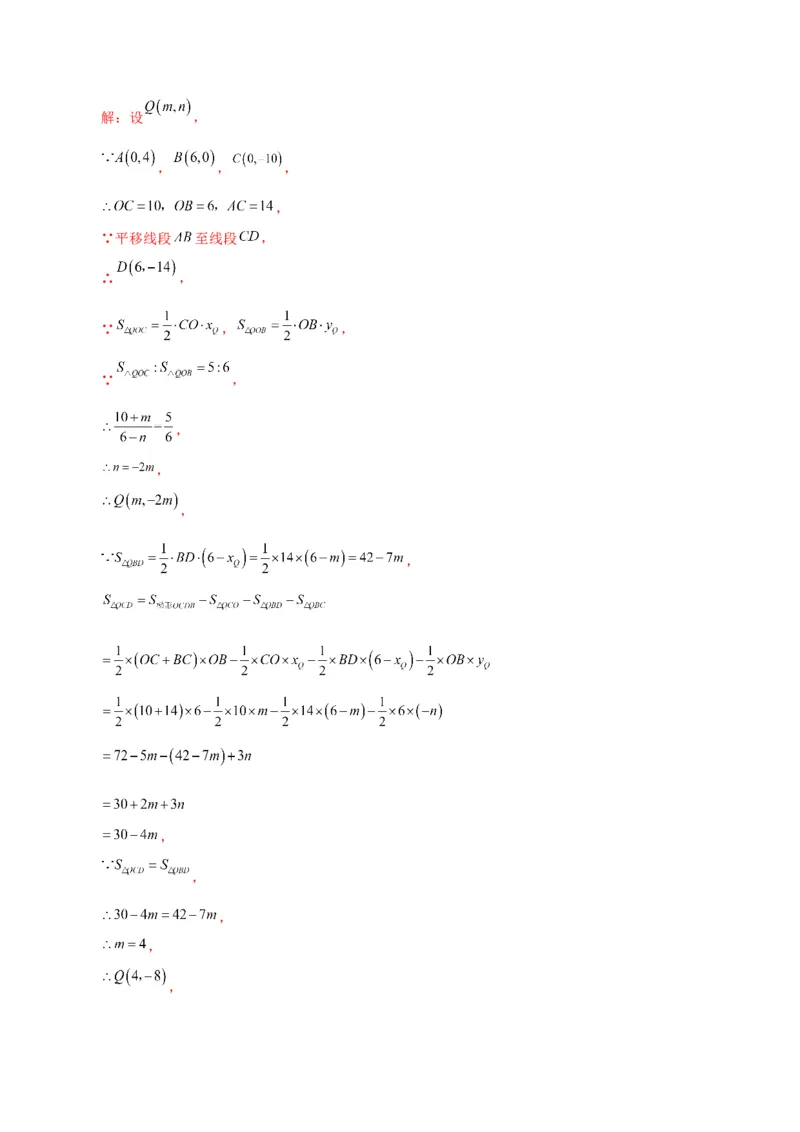
专题7.8 坐标方法的简单应用(分层练习)(提升练) 一、单选题(本大题共10小题,每小题3分,共30分) 1.(22·23七年级下·广西南宁·期末)某气象台为了预报台风,首先需要确定台风中心的位置,则下 列说法能确定台风中心位置的是( ) A.北纬 B.距气象台 海里 C.北纬 ,东经 D.北海市附近 2.(18·19七年级下·山西忻州·期中)已知 、 ,点 在 轴上,且 的面积为5,则 点 的坐标为( ) A. B. C. 或 D.无法确定 3.(23·24八年级上·安徽滁州·阶段练习)在平面直角坐标系中,将点 先向左平移3个单位长 度,再向下平移2个单位长度得到点B,则点B的坐标是( ) A. B. C. D. 4.(22·23八年级下·河南南阳·期中)如图,在平面直角坐标系中,点A、B的坐标分别为 , ,将线段 平移至 ,那么 的值为( ) A.3 B.4 C.5 D.6 5.(22·23七年级下·河北石家庄·期中)在平面直角坐标系中, , ,其中,则下列对PQ的长度判断正确的是( ) A. B. C. D.无法确定 6.(22·23七年级下·湖北十堰·阶段练习)在平面直角坐标系中,将点A先向右平移3个单位,再向下 平移4个单位,得到点 ,若点A位于第四象限,则m、n的取值范围分别是( ) A. , B. , C. , D. , 7.(18·19七年级下·广西玉林·期中)平面上的点 通过上下平移,不能与下面的点重合的是 ( ) A. B. C. D. 8.(18·19七年级下·湖北武汉·期中)如图,在平面直角坐标系中,已知A(﹣2,0),B(5,0),C (0,3),平移线段AC至线段BD,点P在四边形OBDC内,满足S =S ,S :S =5:6,则点P PCD PBD POB POC △ △ △ △ 的坐标为( ) A.(2,1) B.(2,4) C.(3,2) D.(4,2) 9.(2024九年级·全国·竞赛)在平面直角坐标系中,将点 绕原点 按逆时针方向旋转30°得到 点 ,延长 到 ,使得 ;再将点 绕点 按逆时针方向旋转30°得到点 ,然后延长 到 ,使得 ;…;如此操作下去,则点 的坐标为( ) A. B. C. D. 10.(23·24八年级上·湖北恩施·期末)如图,边 经过原点 ,点 在 轴上, 于点 , 若点 , , ,则 的值是()A.8 B.12 C.16 D.20 二、填空题(本大题共8小题,每小题4分,共32分) 11.(23·24九年级上·河南周口·期中)观察中国象棋的棋盘,其中黑方“炮”的位置可以用平面坐标 来表示,红方“马”的位置可以用平面坐标 来表示,红“马”走完几步后到达点 B,则表示点 B位置的平面坐标是 . 12.(22·23七年级下·河北石家庄·期中)如图,在一次春游活动中,位于A处的七 班准备前往相距 的B处与七 班会合,如果用方向和距离描述位置,则七 班在七 班的 处; 的算术 平方根为 . 13.(22·23七年级下·河南周口·期末)将一组数 , , , , 按下面的方法进行排列: …… 若 的位置记为 , 的位置记为 ,则这组数中最大的有理数的位置记为 . 14.(22·23七年级下·吉林四平·期末)把点 向右平移1个单位长度后,点 正好落在 轴 上,则 的值为 . 15.(23·24八年级上·江苏·期末)在平面直角坐标系中,把点 向下平移 个单位得到点 ,则代数式 的值为 . 16.(22·23八年级上·安徽芜湖·阶段练习)如图,在平面直角坐标系中,将线段 平移使得一个端 点与点 重合,已知点 , , ,则线段 平移后另一个端点的坐标为 . 17.(20·21七年级下·湖北武汉·期中)如图,在平面直角坐标系中,已知 , , , 平移线段 至线段 ,点Q在四边形 内,满足 , ,则点Q的坐 标为 .18.(16·17七年级·北京·期中)根据指令 ,机器人在平面上完成如下动作: 先原地逆时针旋转角度 ,再朝其面对的方向沿直线行走距离 ,现机器人在直角坐标系的坐标原点,且 面对 轴的正方向. ( )若给机器人下一个指令 ,则机器人应移动到点 . ( )由机器人在( )的位置和面对方向开始,给机器人下一个指令 ,可使其移动到点 . 三、解答题(本大题共6小题,共58分) 19.(8分)(2024七年级下·江苏·专题练习)如图,将 向右平移5个单位长度,再向下平移2 个单位长度,得到 , (1)请画出平移后的图形 ;(2)并写出 各顶点的坐标;(3)求出 的面积. 20.(8分)(22·23七年级下·云南·期末)为了更好地开展景区规划工作,某景区对区内的5个景观 利用坐标确定了位置,并且设置了导航路线. (1)在如图所示的正方形网格中建立平面直角坐标系 ,使得景观A、B的位置分别表示 ; (2)在建立的坐标系中,景观C的坐标为_____________;(3)在坐标系中标出 的位置,连接 ,则 与 的位置关系是 _____________. 21.(10分)(23·24八年级上·江苏常州·阶段练习)平面直角坐标系中,O为原点,点 , , . (1)如图①,则三角形ABC的面积为______; (2)如图②,将点B向右平移7个单位长度,再向上平移4个单位长度,得到对应点D.求 的 面积. 22.(10分)(22·23七年级上·江西南昌·期中)在直角坐标系中,已知线段 ,点 的坐标为 ,点 的坐标为 ,如图1所示.(1)平移线段 到线段 ,使点 的对应点为 ,点 的对应点为 ,若点 的坐标为 , 求点 的坐标; (2)在第(1)的条件下,求三角形 的面积; (3)平移线段 到线段 ,使点 在 轴的正半轴上,点 在第二象限内,连接 , ,如图 2所示.若 ( 表示三角形 的面积),求点 、 的坐标. 23.(10分)(22·23七年级下·河南安阳·期中)如图,点A的坐标为 ,点B在y轴上,将三角 形 沿x轴负方向平移,平移后的图形为三角形 ,且点C的坐标为 . (1)点D的坐标为__________; (2)在四边形 中,点P从点B出发,沿 移动,若点P的速度为1个单位长度/秒,运 动时间为t秒,回答下列问题: ①求点P在运动过程中的坐标(用含t的式子表示,写出过程); ②当点P运动到 时,若 ,请直接写出 的度数. 24.(12分)(17·18七年级下·重庆江津·期末)如图在平面直角坐标系中,点A,B的坐标分别为, .且a,b满足 ,现同时将点A,B分别向左平移2个单位,再向上 平移2个单位,分别得到点A、B的对应点C、D,连接AC,BD,CA的延长线交y轴于点K. (1)点P是线段CK上的一个动点,点Q是线段CD的中点,连接PQ,PO,当点P在线段CA上移 动时(不与A,C重合),请找出 , , 的数量关系,并证明你的结论. (2)连接AD,在坐标轴上是否存在点M,使 的面积与 的面积相等?若存在,直接写 出点M的坐标;若不存在,试说明理由.参考答案: 1.C 【分析】根据一对有序实数对才能确定点的位置判断即可. 解:在平面直角坐标系中,一对有序实数确定一个点的位置, 根据各选项的数据,只有北纬 ,东经 能确定台风中心的位置. 故选:C. 【点拨】本题考查了用坐标确定地理位置,熟练掌握方向角、距离法确定点的位置是解题的关键. 2.C 【分析】根据A点的坐标可知BP边上的高为2,而 PAB的面积为5,点P在x轴上,说明BP=5,已 知点B的坐标,可求P点坐标. △ 解:∵B(1,0),A(0,2),点P在x轴上, ∴BP边上的高为2, 又 PAB的面积为5, ∴B△P=5, 而点P可能在点B(1,0)的左边或者右边, ∴P(-4,0)或(6,0). 故选:C. 【点拨】本题考查了直角坐标系中,利用三角形的面积公式来求出三角形的底边. 3.D 【分析】左平移横坐标减,下平移,纵坐标减,得新点坐标. 解:左平移3个单位长度,横坐标变为 ,向下平移2个单位长度,纵坐标变为 , 点B的坐标为 ; 故选:D 【点拨】本题考查直角坐标系平移与坐标变化;掌握平移方向与坐标加减的法则是解题的关键. 4.A 【分析】由 , , , ,可得线段 向右平移1个单位,向上平移1个单 位至 ,则 , ,然后代值求解即可. 解:∵ , , , , ∴线段 向右平移1个单位,向上平移1个单位至 , ∴ , ,∴ , 故选:A. 【点拨】本题考查了点坐标的平移,代数式求值.解题的关键在于熟练掌握:点坐标平移,左减右加, 上加下减. 5.B 【分析】可求 ,从而可得 ,根据点的平移规律:横坐标左减右加,纵坐标上加下 减,即可求解. 解: , , , , , 是 向下平移 个单位长度得到, ; 故选:B. 【点拨】本题考查了点的平移坐标变化规律,掌握规律是解题的关键. 6.A 【分析】先根据平移得到点A的坐标,再根据点A在第四象限构建不等式解决问题. 解:由题意,点A的坐标为 , 即: , 点A位于第四象限, , , 故选:A. 【点拨】本题考查平面直角坐标系,坐标与图形变化,解题的关键是掌握平移变化规律是:横坐标右移加,左移减;纵坐标上移加,下移减,再根据平移规律构建不等式. 7.B 【分析】根据“点上下平移,横坐标不变”,由此可直接得到答案. 解:平面上的点(2,-1)通过上下平移不能与之重合的是(-2,-1), 故选:B. 【点拨】此题主要考查了坐标与图形的变化,关键是掌握横坐标,右移加,左移减;纵坐标,上移加, 下移减. 8.D 【分析】过P作PM⊥OB于M,并反向延长交CD于N,设P(x,y),根据S :S =5:6,于是得 POB POC △ △ 到x=2y;由于S =S ,于是得到 ×7•(3-y)=18- ×7(3-y)- ×3x- ×5y,最后解方程组即可得到结 PCD PBD △ △ 论. 解:如图,过P作PM⊥OB于M,交CD于N, ∵CD∥OB, ∴PN⊥CD, 设P(x,y), ∵S :S =5:6, POB POC △ △ ∴5× ×3x=6× ×5y, ∴x=2y,① ∵S =S , PCD PBD △ △ ∴ ×7•(3﹣y)=18﹣ ×7(3﹣y)﹣ ×3x﹣ ×5y,② 由①、②解得x=4,y=2, ∴P(4,2), 故选:D. 【点拨】本题主要考查了坐标与图形性质,平行线的性质,三角形的面积,坐标与图形变化-平移,作 辅助线构造平行线和垂线是解题的关键.9.B 【分析】本题考查了坐标与图形变化:图形或点旋转之后要结合旋转的角度和图形的特殊性质来求出 旋转后的点的坐标.常见的是旋转特殊角度如: , , , , .也考查了规律型问题的解 决方法.根据题意,每转一圈需要 (个)点, 点 与点 一样,也在 轴正半轴上,据此即可求解. 解: , 每转一圈需要 (个)点, 点 与点 一样,也在 轴正半轴上, 点 的坐标为 . 故选:B. 10.D 【分析】本题考查的是在坐标系中求图形面积的题目,掌握“利用点的坐标计算相应线段的长”是解 题的关键. 先根据三角形面积公式得到 ,故只需求得 的面积即可解题;根据面积的和差 关系得 ,再结合点 、 、 的坐标,利用三角形的面积公式分别计算 和 , 至此问题不难解答. 解:∵ , ∴ . ∵ ∴ , ∴ . 故选:D. 11. 【分析】本题考查了坐标确定位置,理解平面直角坐标系的定义,根据已知条件确定直角坐标系,再判断坐标即可. 解:∵黑方“炮”的位置可以用平面坐标 来表示,红方“马”的位置可以用平面坐标 来表示, ∴直角坐标系如图所示: ∴表示点 B位置的平面坐标是 . 故答案为: . 12. 北偏东 , 【分析】一般地,如果一个非负数 的平方等于 ,即 ,那么这个非负数 叫做 的算术平方根. 记为 ,方向角是从正北或正南方向到目标方向所形成的小于 的角,由此即可求解. 解:如图: , 七 班在七 班的北偏东 , 处; 的算术平方根是 . 故答案为:北偏东 , ; .【点拨】本题考查算术平方根,方向角,关键是掌握算术平方根,方向角的定义. 13. 【分析】每相邻的二次根式的被开方数是 的倍数,故求 ,一行 个数,得 , 位于第五行第五个数,进而得 位于第五行第三个数. 解:由题意可知,一行 个数,每个数都为 的倍数, 可得 , , 位于第五行第五个数,记作 , 这组数中最大的有理数是 , 位于第五行第三个数,记作 , 故答案为: . 【点拨】本题考查了算术平方根和数字变化规律,掌握算术平方根的定义,根据数字变化规律找出 位于第五行第五个数是解题关键. 14. 【分析】根据点的坐标平移规律“左减右加”和y轴上的横坐标为0求解即可. 解:把点 向右平移1个单位长度后的坐标为 , 又平移后的点 正好落在 轴上, ∴ , ∴ , 故答案为: . 【点拨】本题考查坐标与图形变换-平移,熟知点的坐标平移规律和坐标轴上点坐标特征是解答的关键. 15.5 【分析】本题考查了由平移方式确定点的坐标,根据题意得 ,即 ,利用整体 思想即可求解. 解:将点 向下平移 个单位得到点 , , ,, 故答案为: . 16. 或 【分析】分两种情况讨论:如图,当 平移到 ,当 平移到 ,再确定平移方式,从而可得 答案. 解:如图,当 平移到 , ∵ , , ∴ ,即 , 当 平移到 , ∵ , , ∴ ,即 ; ∴平移后另外一个端点坐标为: 或 . 故答案为: 或 【点拨】本题考查的是平移的性质,熟记根据坐标的变化确定平移方式,再根据平移方式确定坐标变 化是解本题的关键. 17. 【分析】设 ,由点平移可求 ,分别求出 , ,由已 知可得 ,再分别求出 , ,再由 已知可得 ,求出m即可求Q点坐标.解:设 , , , , , ∵平移线段 至线段 , ∴ , ∵ , , ∵ , , , , , , , , , ,故答案为: . 【点拨】本题考查坐标图形变换,熟练掌握点平移的特点,再由三角形面积公式求出三角形面积,由 面积建立等量关系求解是关键. 18. , 【分析】根据机器人所在的位置和目的地位置分析旋转角度和方向即可. 解:( )∵指令为 , ∴机器人应逆时针旋转 ,再向面对的方向走 个单位长度, ∵机器人在原点,且面对 轴的正方向, ∴机器人旋转后将面对 轴的正方向,向 轴正方向走 个单位, ∴机器人应移动到点 . ( )如图所示. 在( )的基础上,机器人应逆时针旋转 ,再向其面对的方向走 个单位, ∴指令为 . 故答案为(1) ;(2) . 【点拨】本题考查点的平移,审清题意,分析出转动方向和运动距离是解题的关键. 19.(1)见分析;(2) ;(3)6 【分析】(1)先根据平移的分式确定 的位置,再将其两两连线,即可; (2)根据(1)的图形即可求解; (3)利用割补法求解即可. (1)解:如图: 即为所求(2)解:由(1)中的图形,可得 , , ; (3)解: , 即 的面积为6. 【点拨】本题主要考查了坐标系和网格图以及三角形的平移的知识.解题的关键是灵活运用所学知识 解决问题,属于中考常考题型. 20.(1)见分析;(2) ;(3)平行 【分析】(1)根据 建立坐标系即可; (2)根据坐标系中C的位置即可解答; (3)先标出 的位置,然后再根据图形即可解答. (1)解:如图:平面直角坐标系 即为所求. (2)解:如图: . (3)解:如图:可得: 平行 . 故答案为:平行.【点拨】本题主要考查了坐标确定位置、平面直角坐标系、平行的概念等知识点,根据A、B的坐标 建立坐标系是解题的关键. 21.(1)6;(2)9 【分析】本题考查了坐标与图形、点的平移等知识,掌握运用数形结合的思想分析解决问题是解题关 键. (1)根据题意得出 , , ,然后根据三角形面积公式直接计算即可; (2)由平移的性质可得点 坐标;①连接 ,过点 作 轴于点 ,过点 作 轴于点 ,根据 进行计算即可得到答案;②根据 的面积等于 的面积,求 解即可. (1)解:∵O为原点,点 , , . ∴ , , , ∴ , ∴ . 故答案为:6; (2)解:∵将点B向右平移7个单位长度,再向上平移4个单位长度, , ∴得到对应点 坐标为 , 连接 ,过点 作 轴于点 ,过点 作 轴于点 ,∵ , ∴ , , ∴ ; 22.(1) ;(2)9;(3) 【分析】(1)首先根据B,C点的坐标找到点的平移方式,然后根据点的平移规律即可得出答案; (2)分别过点C,D作 轴于点E, 轴与点F,根据 ,即 可求解; (3)首先根据B,C点的坐标找到点的平移方式,然后设出点C,D的坐标,利用面积求解即可. (1)解:点 的坐标为 ,平移后的对应点 的坐标为 , ∴可设 , ∴ , 即:点B向左平移5个单位,再向上平移4个单位得到点C, ∵点 的坐标为 , ∴A点平移后的对应点 ; (2)解:如图,分别过点C,D作 轴于点E, 轴与点F,则 ,∵ , ∴ , ∴ ; (3)解:如图,连接 , 设点 的坐标为 , ∵点C在y轴上,点D在第二象限, ∴线段 向左平移3个单位,再向上平移y个单位得到线段 , ∴ , ∵ , ∴ , ∴ , ∴ , ∴ . 【点拨】本题主要考查线段的平移,掌握点的平移规律是解题的关键.23.(1) ;(2)① 或 ;②65° 【分析】(1)根据平移规则,求出点 的坐标即可; (2)①分点P在线段 上,和点 在 上两种情况进行讨论求解即可;②同角的余角相等,得到 ,再利用三角形的内角和定理,进行求解即可. (1)解:∵将三角形 沿x轴负方向平移,平移后的图形为三角形 , 点B在y轴上,点C的坐标为 , ∴三角形 沿x轴负方向平移 个单位得到三角形 , ∵ 点是由点 平移得到的, ∴ ; 故答案为: (2)①由(1)可知: , ∵ , , ∴ , 当 时,点P在线段 上, , 点P的坐标为 . 当 时,点P在线段 上, , , ∴ , ∴点P的坐标为 . ②如图,设 交于点 , 由平移可知: ,∴ , ∵ , ∴ , ∴ , ∴ , ∴ . 【点拨】本题考查坐标与平移.熟练掌握平移的性质,正确的得到点的坐标,是解题的关键. 24.(1) ,证明见详解;(2)存在,M点坐标为 , , , 【分析】(1)根据平方与绝对值的非负性即可求出a、b的值,过点P作 ,由平移的性质可 得 ,利用平行线的性质即可求解; (2)先求出 的面积,再根据Q在x轴上与y轴上分别求解. (1)解: ,证明如下: 证明:∵ ∴ , ,解得 , , ∴ , , ∵将点A、B分别向左平移2个单位,再向上平移2个单位,得到对应点C、D, ∴ , , 过点P作 ,由平移的性质可得 ,∴ , ∴ , , ∴ , 即 . (2)解:存在,M点坐标为 , , , .理由如下: 的面积为 , ①M在x轴上,根据 的高与 相等的高, ∴ , ∴点M坐标为 , , ②M在y轴上, 的高为 , 的面积为5, 即 ∴ 又∵ , ∴点M坐标为 , . 故存在符合条件的M点坐标为 , , , . 【点拨】本题主要考查直角坐标系中点的平移及图形面积的计算和坐标轴上点的特征,根据题目已知 平移方式得到点的坐标与面积的计算是解答本题的关键.