当前位置:首页>文档>第44练直线与双曲线(精练:基础+重难点)一轮复习讲义2024年高考数学高频考点题型归纳与方法总结(新高考通用)原卷版_2.2025数学总复习_2024年新高考资料_1.2024一轮复习

第44练直线与双曲线(精练:基础+重难点)一轮复习讲义2024年高考数学高频考点题型归纳与方法总结(新高考通用)原卷版_2.2025数学总复习_2024年新高考资料_1.2024一轮复习

  • 2026-04-01 22:39:42 2026-03-25 18:52:15

文档预览

第44练直线与双曲线(精练:基础+重难点)一轮复习讲义2024年高考数学高频考点题型归纳与方法总结(新高考通用)原卷版_2.2025数学总复习_2024年新高考资料_1.2024一轮复习
第44练直线与双曲线(精练:基础+重难点)一轮复习讲义2024年高考数学高频考点题型归纳与方法总结(新高考通用)原卷版_2.2025数学总复习_2024年新高考资料_1.2024一轮复习
第44练直线与双曲线(精练:基础+重难点)一轮复习讲义2024年高考数学高频考点题型归纳与方法总结(新高考通用)原卷版_2.2025数学总复习_2024年新高考资料_1.2024一轮复习
第44练直线与双曲线(精练:基础+重难点)一轮复习讲义2024年高考数学高频考点题型归纳与方法总结(新高考通用)原卷版_2.2025数学总复习_2024年新高考资料_1.2024一轮复习
第44练直线与双曲线(精练:基础+重难点)一轮复习讲义2024年高考数学高频考点题型归纳与方法总结(新高考通用)原卷版_2.2025数学总复习_2024年新高考资料_1.2024一轮复习
第44练直线与双曲线(精练:基础+重难点)一轮复习讲义2024年高考数学高频考点题型归纳与方法总结(新高考通用)原卷版_2.2025数学总复习_2024年新高考资料_1.2024一轮复习
第44练直线与双曲线(精练:基础+重难点)一轮复习讲义2024年高考数学高频考点题型归纳与方法总结(新高考通用)原卷版_2.2025数学总复习_2024年新高考资料_1.2024一轮复习
第44练直线与双曲线(精练:基础+重难点)一轮复习讲义2024年高考数学高频考点题型归纳与方法总结(新高考通用)原卷版_2.2025数学总复习_2024年新高考资料_1.2024一轮复习
第44练直线与双曲线(精练:基础+重难点)一轮复习讲义2024年高考数学高频考点题型归纳与方法总结(新高考通用)原卷版_2.2025数学总复习_2024年新高考资料_1.2024一轮复习
第44练直线与双曲线(精练:基础+重难点)一轮复习讲义2024年高考数学高频考点题型归纳与方法总结(新高考通用)原卷版_2.2025数学总复习_2024年新高考资料_1.2024一轮复习
第44练直线与双曲线(精练:基础+重难点)一轮复习讲义2024年高考数学高频考点题型归纳与方法总结(新高考通用)原卷版_2.2025数学总复习_2024年新高考资料_1.2024一轮复习
第44练直线与双曲线(精练:基础+重难点)一轮复习讲义2024年高考数学高频考点题型归纳与方法总结(新高考通用)原卷版_2.2025数学总复习_2024年新高考资料_1.2024一轮复习
第44练直线与双曲线(精练:基础+重难点)一轮复习讲义2024年高考数学高频考点题型归纳与方法总结(新高考通用)原卷版_2.2025数学总复习_2024年新高考资料_1.2024一轮复习
第44练直线与双曲线(精练:基础+重难点)一轮复习讲义2024年高考数学高频考点题型归纳与方法总结(新高考通用)原卷版_2.2025数学总复习_2024年新高考资料_1.2024一轮复习
第44练直线与双曲线(精练:基础+重难点)一轮复习讲义2024年高考数学高频考点题型归纳与方法总结(新高考通用)原卷版_2.2025数学总复习_2024年新高考资料_1.2024一轮复习
第44练直线与双曲线(精练:基础+重难点)一轮复习讲义2024年高考数学高频考点题型归纳与方法总结(新高考通用)原卷版_2.2025数学总复习_2024年新高考资料_1.2024一轮复习
第44练直线与双曲线(精练:基础+重难点)一轮复习讲义2024年高考数学高频考点题型归纳与方法总结(新高考通用)原卷版_2.2025数学总复习_2024年新高考资料_1.2024一轮复习
第44练直线与双曲线(精练:基础+重难点)一轮复习讲义2024年高考数学高频考点题型归纳与方法总结(新高考通用)原卷版_2.2025数学总复习_2024年新高考资料_1.2024一轮复习
第44练直线与双曲线(精练:基础+重难点)一轮复习讲义2024年高考数学高频考点题型归纳与方法总结(新高考通用)原卷版_2.2025数学总复习_2024年新高考资料_1.2024一轮复习
第44练直线与双曲线(精练:基础+重难点)一轮复习讲义2024年高考数学高频考点题型归纳与方法总结(新高考通用)原卷版_2.2025数学总复习_2024年新高考资料_1.2024一轮复习
第44练直线与双曲线(精练:基础+重难点)一轮复习讲义2024年高考数学高频考点题型归纳与方法总结(新高考通用)原卷版_2.2025数学总复习_2024年新高考资料_1.2024一轮复习
第44练直线与双曲线(精练:基础+重难点)一轮复习讲义2024年高考数学高频考点题型归纳与方法总结(新高考通用)原卷版_2.2025数学总复习_2024年新高考资料_1.2024一轮复习
第44练直线与双曲线(精练:基础+重难点)一轮复习讲义2024年高考数学高频考点题型归纳与方法总结(新高考通用)原卷版_2.2025数学总复习_2024年新高考资料_1.2024一轮复习
第44练直线与双曲线(精练:基础+重难点)一轮复习讲义2024年高考数学高频考点题型归纳与方法总结(新高考通用)原卷版_2.2025数学总复习_2024年新高考资料_1.2024一轮复习
第44练直线与双曲线(精练:基础+重难点)一轮复习讲义2024年高考数学高频考点题型归纳与方法总结(新高考通用)原卷版_2.2025数学总复习_2024年新高考资料_1.2024一轮复习
第44练直线与双曲线(精练:基础+重难点)一轮复习讲义2024年高考数学高频考点题型归纳与方法总结(新高考通用)原卷版_2.2025数学总复习_2024年新高考资料_1.2024一轮复习
第44练直线与双曲线(精练:基础+重难点)一轮复习讲义2024年高考数学高频考点题型归纳与方法总结(新高考通用)原卷版_2.2025数学总复习_2024年新高考资料_1.2024一轮复习

文档信息

文档格式
docx
文档大小
1.457 MB
文档页数
27 页
上传时间
2026-03-25 18:52:15

文档内容

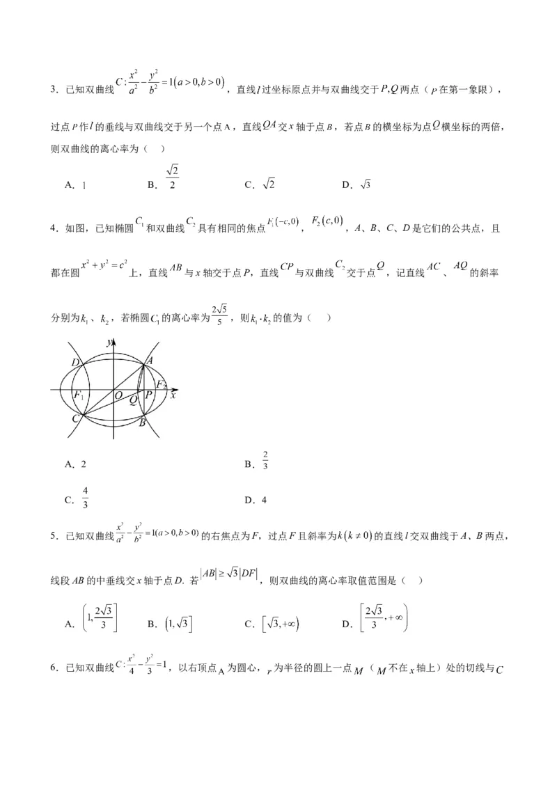
【一轮复习讲义】2024年高考数学高频考点题型归纳与方法总结(新高考通用) 第 43 练 直线与双曲线(精练) 刷真题 明导向 一、填空题 1.(2022·全国·统考高考真题)已知直线l与椭圆 在第一象限交于A,B两点,l与x轴,y轴分 别交于M,N两点,且 ,则l的方程为 . 二、解答题 2.(2023·全国·统考高考真题)已知双曲线C的中心为坐标原点,左焦点为 ,离心率为 . (1)求C的方程; (2)记C的左、右顶点分别为 , ,过点 的直线与C的左支交于M,N两点,M在第二象限,直线 与 交于点P.证明:点 在定直线上. 3.(2022·全国·统考高考真题)已知双曲线 的右焦点为 ,渐近线方程为 . (1)求C的方程; (2)过F的直线与C的两条渐近线分别交于A,B两点,点 在C上,且 . 过P且斜率为 的直线与过Q且斜率为 的直线交于点M.从下面①②③中选取两个作为条件,证明另 外一个成立: ①M在 上;② ;③ . 注:若选择不同的组合分别解答,则按第一个解答计分.【A组 在基础中考查功底】 一、单选题 1.直线 与双曲线 有两个交点为 , ,则 ( ) A.2 B. C.4 D. 2.直线 与双曲线 交点的个数是( ) A.0 B.1 C.2 D.4 3.双曲线 的两焦点为F,F,P点在双曲线上,且满足 ,则△PFF 的面积为 1 2 1 2 ( ) A.2 B.1 C.4 D.3 4.过双曲线 左、右焦点 分别作倾斜角为 的直线与双曲线 相交于 轴上方 两 点,则 ( ) A. B. C. D. 5.已知双曲线 的左右焦点分别是 、 ,过 的直线 与双曲线相交于 、 两点,则满足 的直线 有 A. 条 B. 条 C. 条 D. 条 6.已知直线 与双曲线 没有公共点,则 的取值范围是( ) A. B. C. D. 7.双曲线的标准方程为 ,则下列说法正确的是( )A.该曲线两顶点的距离为 B.该曲线与双曲线 有相同的渐近线 C.该曲线上的点到右焦点距离的最小值为1 D.该曲线与直线 有两个公共点 8.若双曲线 的一个顶点为A,过点A的直线 与双曲线只有一个公共点, 则该双曲线的焦距为( ) A. B. C. D. 9.过点 作直线l与双曲线 交于点A,B,若P恰为AB的中点,则直线l的条数为( ) A.0 B.1 C.2 D.不能确定 10.已知直线 过双曲线 的左焦点 ,且与C的渐近线平行,则l的 倾斜角为( ) A. B. C. D. 11.设A,B为双曲线 右支上的两点,若线段AB的中点为 ,则直线AB的方程是( ) A. B. C. D. 12.直线 与双曲线 的左、右两支各有一个交点,则 的取值范围为( ) A. 或 B. C. D. 13.过双曲线 : ( , )的焦点且斜率不为0的直线交 于A, 两点, 为 中 点,若 ,则 的离心率为( )A. B.2 C. D. 二、多选题 14.若直线 与双曲线 有两个交点,则 的值可以是( ) A.1 B.2 C.3 D.4 15.直线 与双曲线 的左、右两支各有一个交点,则 的可能取值为( ) A. B. C. D. 16.已知直线 经过双曲线 ( , )的左焦点,且与C交于A,B两点,若存在两条 直线,使得 的最小值为4,则下列四个点中,C经过的点为( ) A. B. C. D. 三、填空题 17.已知直线 与双曲线 有且只有一个公共点,则C的离心率等于 . 18.直线 与双曲线 有且只有一个公共点,但直线与双曲线不相切,则实数 的值是 . 19.双曲线 : 的离心率为2,其渐近线与圆 相切,则该双曲线的方 程为 . 20.双曲线 的左、右焦点分别为 ,已知焦距为8,离心率为2,过右焦点 作 垂直于 轴的直线 与双曲线 的右支交于 两点,则 . 21.过双曲线 的右焦点的直线被双曲线所截得的弦长为 ,这样的直线有 条. 22.设直线l: 与双曲线C: 相交于不同的两点A,B,则k的取值范围为 .23.双曲线 的左、右顶点分别为A,B,右支上有一点M,且 ,则 的面积为 . 24.已知双曲线 ,过 作直线 与双曲线 交于A、 两点,且 为弦 的中点,则 直线 的方程为 . 25.在平面直角坐标系 中,双曲线 : ,一条倾斜角为 的直线经过 的一个顶 点及 上另外一点 ,则 的离心率为 . 26.已知双曲线 的右焦点为F,过点F且平行于双曲线的一条渐近线的直线与双曲线交于点P, M在直线PF上,且满足 ,则 . 27.若点 和点 分别为双曲线 的中心和左焦点,点 为双曲线右支上的任意一 点,则 的取值范围为 28.已知斜率为 的直线 与双曲线 交于 两点,若点 是线段 的中点, 则 的离心率等于 . 29.已知直线 与双曲线 ( , )的渐近线交于 , 两点,且过原点和线段 中点的直线的斜率为 ,则 的值为 . 四、解答题 30.已知双曲线 的离心率为 ,且其顶点到其渐近线的距离为 . (1)求双曲线的标准方程; (2)直线 : 与双曲线交于 , 两点,若 ,求 的值.31.已知双曲线 与双曲线 有相同的渐近线,且点 在 上. (1)求 的标准方程; (2)直线 与双曲线 交于 两点,求线段 的中点坐标. 32.已知双曲线的中心在原点,焦点 , 在坐标轴上,离心率为 ,且过点 (1)求双曲线 的方程; (2)设双曲线两条渐近线分别为 , 已知直线 交 , 于 两点,若直线 与轨迹 有且只 有一个公共点,求 的面积 33.已知双曲线 的离心率为 ,右准线方程为 (Ⅰ)求双曲线 的方程; (Ⅱ)已知直线 与双曲线C 交于不同的两点A,B,且线段AB的中点在圆 上,求 m的值. 34.已知双曲线 的其中一个焦点为 ,一条渐近线方程为 (1)求双曲线 的标准方程; (2)已知倾斜角为 的直线 与双曲线 交于 两点,且线段 的中点的纵坐标为4,求直线 的方 程. 35.已知双曲线 ,焦点为 ,其中一条渐近线的倾斜角为 ,点 在双曲线上,且 . (1)求双曲线 的标准方程; (2)若直线 交 于 两点,若 的面积为 ,求正实数 的值. 36.已知等轴双曲线 的右焦点为 , 为坐标原点,过 作一条渐近线的垂线 且 垂足为 , (1)求等轴双曲线 的方程 (2)假设过点 且方向向量为 的直线 交双曲线 于 两点,求 的值 37.已知双曲线的中心在原点,焦点在 轴上,离心率 ,焦距为 . (1)求该双曲线方程. (2)是否定存在过点 的直线 与该双曲线交于 、 两点,且点 是线段 的中点若存在,请求 出直线 的方程,若不存在,说明理由. 38.已知双曲线 的焦点 到渐近线的距离为 ,右顶点为 . (1)求双曲线 的方程; (2)已知过点 的直线 与双曲线 只有一个公共点,求直线 的方程. 39.已知双曲线 的方程为 ,离心率为2,右顶点为 . (1)求双曲线 的标准方程; (2)过 的直线 与双曲线 的一支交于 、 两点,求 的取值范围. 40.已知双曲线 ( , )中,离心率 ,实轴长为4(1)求双曲线的标准方程; (2)已知直线 : 与双曲线交于 , 两点,且在双曲线存在点 ,使得 ,求 的 值. 41.已知双曲线的中心在原点,焦点 在坐标轴上,离心率为 且过点 (1)求双曲线方程; (2)若过 斜率 的直线与该双曲线相交于M,N两点,且双曲线与 对应的顶点为T.试探讨直线MT与 直线NT的斜率之积是否为定值.若是定值,请求出该值;若不是定值,请说明理由. 42.已知双曲线 的一条渐近线方程为 ,焦距为 . (1)求双曲线C的标准方程; (2)若O为坐标原点,过 的直线l交双曲线C于A,B两点,且 的面积为 ,求直线l的方 程. 43.已知双曲线 与 有相同的焦点,且经过点 . (1)求双曲线 的方程; (2)若直线 与双曲线 交于 两点,且 的中点坐标为 ,求直线 的斜率. 【B组 在综合中考查能力】 一、单选题 1.过双曲线 的右焦点作一条斜率为 的直线交双曲线于 两点,则 A. B. C. D.2.过双曲线 的左焦点作直线 ,与双曲线交于 两点,若 ,则这样的直线 有( ) A.1条 B.2条 C.3条 D.4条 3.已知双曲线 与椭圆 共焦点,且双曲线与直线 相切,则 ( ) A. B. C. D.1 4.直线l交双曲线 于A,B两点,且 为AB的中点,则l的斜率为( ) A.4 B.3 C.2 D.1 5.已知O为坐标原点,A,B分别是双曲线 的左、右顶点,M是双曲线C上不同于A,B的 动点,直线AM,BM分别与y轴交于点P,Q,则 ( ) A.16 B.9 C.4 D.3 6.已知双曲线 : ,直线 经过点 ,若直线 与双曲线 的右支只有一个交点,则直线 的斜率的取值范围是( ) A. B. C. D. 7.已知双曲线 与直线 有唯一的公共点 ,过点 且与 垂直的直线分别交 轴、 轴于 两点.当点 运动时,点 的轨迹方程是( ) A. B. C. D. 8.已知点 为双曲线 的虚轴的上顶点, 为双曲线的右焦点,存在斜率为 的直线交双曲线于点 两点,且 的重心为点 ,则双曲线 的离心率为( ) A. B. C.2 D. 9.双曲线 的被点 平分的弦所在的直线方程为( ) A. B. C. D.不存在 10.已知双曲线H的两条渐近线互相垂直,过H右焦点F且斜率为3的直线与H交于A,B两点,与H的 渐近线交于C,D两点.若 ,则 ( ) A.2 B. C. D.3 11.已知点 , 在双曲线 上,线段 的中点 ,则 ( ) A. B. C. D. 12.已知直线 与双曲线 的两条渐近线分别交于点 , (不重 合), 的垂直平分线过点 ,则双曲线 的离心率为( ) A. B. C. D. 13.已知双曲线C: 的焦点到渐近线的距离为 ,直线l与C相交于A,B两点,若线段 的中点为 ,则直线l的斜率为( ) A. B.1 C. D.2 14.已知双曲线 ,过点 的直线 与该双曲线相交于 两点,若 是线段 的中点,则 直线 的方程为( )A. B. C. D.该直线不存在 15.已知斜率为 的直线与双曲线 相交于 、 两点, 为坐标原点, 的中 点为 ,若直线 的斜率为 ,则双曲线 的离心率为( ) A. B. C. D. 16.若双曲线 与直线 交于 、 两点,线段 中点的横坐标为 , 则 ( ) A. B. C. D. 17.已知直线l和双曲线 相交于A,B两点,线段AB的中点为M,设直线l的斜率为 ( ),直线OM的斜率为 (O为坐标原点),则 ( ) A. B. C. D. 二、多选题 18.过双曲线C: 的左焦点 作直线l与双曲线C的右支交于点A,则( ) A.双曲线C的渐近线方程为 B.点 到双曲线C的渐近线的距离为4 C.直线l的斜率k取值范围是 D.若 的中点在y轴上,则直线l的斜率 19.已知 为双曲线 的右焦点,直线 与该双曲线相交于 两点(其中 在第一象限),连接 ,下列说法中正确的是( ) A. 的取值范围是 B.若 ,则 C.若 ,则点 的纵坐标为 D.若双曲线的右支上存在点 ,满足 三点共线,则 的取值范围是 20.已知双曲线 : 的左,右焦点分别为 , ,过点 的直线 与双 曲线 的左支交于点 ,与双曲线 的其中一条渐近线在第一象限交于点 ,且 ( 是坐标 原点),下列结论正确的有( ) A. B.若 ,则双曲线 的离心率为 C. D. 21.直线l交双曲线 于A、B两点,且 为AB的中点,则l的斜率不可能为( ) A.4 B.3 C.2 D.1 22.已知双曲线 的右焦点为 ,过 的动直线 与 相交于 , 两点,则( ) A.曲线 与椭圆 有公共焦点 B.曲线 的离心率为 ,渐近线方程为 . C. 的最小值为1D.满足 的直线 有且仅有4条 23.已知双曲线 ,过其右焦点 的直线 与双曲线交于两点 、 ,则( ) A.若 、 同在双曲线的右支,则 的斜率大于 B.若 在双曲线的右支,则 最短长度为 C. 的最短长度为 D.满足 的直线有4条 24.已知双曲线 ,点 , 在 上, 的中点为 ,则( ) A. 的渐近线方程为 B. 的右焦点为 C. 与圆 没有交点 D.直线 的方程为 25.过M(1,1)作斜率为2的直线与双曲线 相交于A、B两点,若M是AB的中点, 则下列表述正确的是( ) A.ba 三、填空题 26.设 为双曲线 的两个焦点,已知点 在此双曲线上,且 ,若此双曲线的离心 率等于 ,则点 到 轴的距离等于 . 27.已知双曲线 : 的右焦点为F,P为 右支上一点, 与 x 轴切于点 F 与 y 轴交于点 A,B, ,则 的离心率为 . 28.已知F 为双曲线 的左焦点,过点F 的直线l交双曲线C的左支于A,B两点,若 1 1,则直线l的斜率为 . 29.已知双曲线 ,过点 作一直线交双曲线于 、 两点,并使 为 的中点,则直线 的斜率为 . 30.双曲线 的右焦点为 为双曲线 上的一点,且位于第一象限,直线 分 别交于曲线 于 两点,若 为正三角形,则直线 的斜率等于 . 31.已知双曲线 的左焦点为F,过F且斜率为 的直线交两渐近线于x轴上方的不同两点 C,D,且 ,则 . 32.若过点P(0,1)作直线l,使l与双曲线 有且仅有一个公共点,则直线l的方程为 . 33.已知双曲线 的离心率为 ,过左焦点 且斜率为 的直线交 的两支于 两点.若 ,则 . 34.已知双曲线 : 的左、右焦点分别为 , ,一条渐近线为 ,过点 且与 平 行的直线交双曲线C于点M,若 ,则渐近线 的方程为 . 35.已知双曲线C: ( , )的焦距是椭圆 焦距的两倍,且它们的离心率互 为倒数,过双曲线C的右焦点F且倾斜角为120°的直线l交C于A,B两点,则 . 36.过双曲线 : 的右焦点 作圆 : 的切线,此切线与 的右支交于 , 两点,则 . 37.已知双曲线 : ,若直线 的倾斜角为60°,且与双曲线C的右支交于M,N两点,与x轴交于点P,若 ,则点P的坐标为 . 38.若双曲线 上存在两个点关于直线 对称,则实数 的取值范围为 . 39.已知双曲线中心在原点且一个焦点为 ,直线 与其相交于 , 两点, 中点横坐 标为 ,则此双曲线的方程是 . 40.已知双曲线 上存在两点A,B关于直线 对称,且线段 的中点在直线 上,则双曲线的离心率为 . 41.过点 作直线 与双曲线 交于 , 两点,若点 恰为线段 的中点,则实数 的取 值范围是 . 四、解答题 42.已知双曲线C的渐近线为 ,且过点 . (1)求双曲线C的方程; (2)若直线 与双曲线C相交于A,B两点,O为坐标原点,若OA与OB垂直,求a的值以及弦长 . 43.已知双曲线 . (1)若离心率为 ,求b的值, 的顶点坐标、渐近线方程; (2)若 ,是否存在被点 平分的弦?如果存在,求弦所在的直线方程;如不存在,请说明理由. 44.已知双曲线 的离心率为2,右焦点 到一条渐近线的距离为 .(1)求双曲线 的方程; (2)已知点 ,过点 作直线 与双曲线 相交于 两点,若 ,求直线 的方程. 45.已知焦点在x轴上的双曲线C的渐近线方程为 , (1)求双曲线C的离心率e (2)若直线 与C相交于不同的两点A,B,且 ,求双曲线C的方程. 46.已知双曲线 的右焦点为 ,且C的一条渐近线经过点 . (1)求C的标准方程; (2)是否存在过点 的直线l与C交于不同的A,B两点,且线段AB的中点为P.若存在,求出直线l的方 程;若不存在,请说明理由. 47.双曲线C的离心率为 ,且与椭圆 有公共焦点. (1)求双曲线C的方程. (2)双曲线C上是否存在两点A,B关于点(4,1)对称?若存在,求出直线AB的方程;若不存在,说 明理由. 48.已知双曲线 ,过点 ,离心率为 . (1)求双曲线C的标准方程; (2)已知点 ,过点N的直线交双曲线C于A、B两点,且 求直线AB的方程 49.已知双曲线 截直线 所得的弦 的长为 .(1)求 的值; (2)若 轴上有一点 ,使 的面积为 ,求点 的坐标. 50.已知双曲线 的一条渐近线方程为 ,且双曲线经过点 . (1)求双曲线 的方程; (2)过点 且斜率不为0的直线与 交于 两点(与点 不重合),直线 分别与直线 交 于点 ,求 的值. 51.已知双曲线 : ( , )的左顶点为 , 到 的一条渐近线的距离为 . (1)求 的方程; (2)过点 的直线 与 交于 , 两点,求 的值. 52.已知双曲线C: 的右焦点为F,过F的直线l与双曲线交于M,N两点,当 轴时, . (1)求双曲线C的离心率e; (2)当l倾斜角为 时,线段MN垂直平分线交x轴于P,求 的值. 53.已知双曲线 的左,右顶点分别为A,B,过点 且不与x轴重合的动直线交双曲线C于P,Q两点,当直线PQ与x轴垂直时, . (1)求双曲线C的标准方程; (2)设直线AP,AQ和直线 分别交于点M,N,若 恒成立,求t的值. 54.已知双曲线C的方程为 . (1)直线 截双曲线C所得的弦长为 ,求实数m的值; (2)过点 作直线交双曲线C于P、Q两点,求线段 的中点M的轨迹方程. 55.已知点 , 依次为双曲线 的左、右焦点,且 ,令 . (1)设此双曲线经过第一、三象限的渐近线为 ,若直线 与直线 垂直,求双曲线的离心率; (2)若 ,以此双曲线的焦点为顶点,以此双曲线的顶点为焦点得到椭圆C,法向量为 的直线 与椭圆C交于两点M,N,且 ,求直线 的一般式方程. 56.已知双曲线 的实轴长为6,左右焦点分别为 , ,点 在双曲线 上, 轴,且 . (1)求双曲线 及其渐近线的方程; (2)如图,若过点 斜率为 的直线 与双曲线 及其两条渐近线从左至右依次交于 , , ,四点,且 ,求 . 57.已知双曲线 : ( , )的左、右焦点为 , ,过点 作双曲线 一条渐近线的垂线,垂足为 ,且 . (1)求双曲线 的标准方程; (2)设双曲线 的左顶点为 ,过点 的直线 与双曲线 交于 , 两点,连接 , 分别交于 轴于点 , ,且 ,求直线 的方程及 的面积. 58.已知双曲线C的焦点在y轴,对称中心O为坐标原点,焦距为 ,且过 (1)求C的方程 (2)若斜率为2的直线l与C交于P,Q两点,且 ,求|PQ|. 59.已知双曲线 : 经过点 ,焦点 到渐近线的距离为 . (1)求双曲线 的方程; (2)若直线 与双曲线 相交于 , 两点, 是弦 的中点,求 的长度. 60.设P是双曲线 右支上任意一点,O为坐标原点. (1)过点P分别作两条渐近线的垂线,垂足分别是E、F,求 的值; (2)过点P的直线与两条渐近线分别交于A、B两点,且满足 ,求 的面积. 61.已知双曲线 的离心率为2,F为双曲线C的右焦点,M为双曲线C上的任一点,且点M到双曲线C的两条渐近线距离的乘积为 , (1)求双曲线C的方程; (2)设过点F且与坐标轴不垂直的直线l与双曲线C相交于点P,Q,线段PQ的垂直平分线与x轴交于点 B,求 的值. 62.双曲线 的渐近线方程为 ,一个焦点到该渐近线的距离为2. (1)求C的方程; (2)是否存在直线l,经过点 且与双曲线C于A,B两点,M为线段AB的中点,若存在,求l的方程: 若不存在,说明理由. 63.已知双曲线 : 的左、右两焦点分别为 、 , 为 上一点, 且 . (1)求双曲线 的方程; (2)是否存在直线 ,使 被 所截得的弦 的中点坐标是 ?若存在,求出直线 的方程,若不存在, 请说明理由. 64.已知点 、 为双曲线 的左、右焦点,过 作垂直于 轴的直线,在 轴的上方 交双曲线 于点 ,且 . (1)求双曲线 的方程; (2)若直线 过点 且与双曲线 交于A、 两点,若A、 中点的横坐标为1,求直线 的方程. 65.已知双曲线 过点 ,焦距为 , .(1)求双曲线C的方程; (2)是否存在过点 的直线 与双曲线C交于M,N两点,使△ 构成以 为顶角的等腰三 角形?若存在,求出所有直线l的方程;若不存在,请说明理由. 66.已知点 、 ,为双曲线 的左、右焦点,过 作垂直于 轴的直线,在 轴的上 方交双曲线 于点 ,且 . (1)求双曲线 的方程; (2)若直线 过点(0,1)且与双曲线 交于 、 两点,若 、 中点的横坐标为1,求直线 的方程; (3)过双曲线 上任意一点 作该双曲线两条渐近线的垂直,垂足分别为 、 ,求证: 为定 值. 【C组 在创新中考查思维】 一、单选题 1.已知双曲线 的左顶点为 ,过 的直线 与 的右支交于点 ,若线段 的中 点在圆 上,且 ,则双曲线 的离心率为( ) A. B. C.2 D.3 2.已知直线 过双曲线 的左焦点 ,且与 的左、右两支分别交于 两点,设 为坐标原 点, 为 的中点,若 是以 为底边的等腰三角形,则直线 的斜率为( ) A. B. C. D.3.已知双曲线 ,直线 过坐标原点并与双曲线交于 两点( 在第一象限), 过点 作 的垂线与双曲线交于另一个点 ,直线 交 轴于点 ,若点 的横坐标为点 横坐标的两倍, 则双曲线的离心率为( ) A. B. C. D. 4.如图,已知椭圆 和双曲线 具有相同的焦点 , ,A、B、C、D是它们的公共点,且 都在圆 上,直线 与x轴交于点P,直线 与双曲线 交于点 ,记直线 、 的斜率 分别为 、 ,若椭圆 的离心率为 ,则 的值为( ) A.2 B. C. D.4 5.已知双曲线 的右焦点为F,过点F且斜率为 的直线l交双曲线于A、B两点, 线段AB的中垂线交x轴于点D. 若 ,则双曲线的离心率取值范围是( ) A. B. C. D. 6.已知双曲线 ,以右顶点 为圆心, 为半径的圆上一点 ( 不在 轴上)处的切线与交于 两点,且 为 中点,则 的取值范围为( ) A. B. C. D. 二、多选题 7.过双曲线 的右焦点作直线 与该双曲线交于 、 两点,则( ) A.存在四条直线 ,使 B.与该双曲线有相同渐近线且过点 的双曲线的标准方程为 C.若 、 都在该双曲线的右支上,则直线 斜率的取值范围是 D.存在直线 ,使弦 的中点为 8.双曲线E的一个焦点为 ,一条渐近线l的方程为 ,M,N是双曲线E上不同两点,则 ( ) A.渐近线l与圆 相切 B.M,N的中点与原点连线斜率可能为 C.当直线MN过双曲线E的右焦点时,满足 的直线MN只有3条 D.满足 的点M有且仅有2个 9.双曲线 的虚轴长为2, 为其左右焦点, 是双曲线上的三点,过 作 的切线交其渐近线于 两点.已知 的内心 到 轴的距离为1.下列说法正确的是( ) A. 外心 的轨迹是一条直线B.当 变化时, 外心的轨迹方程为 C.当 变化时,存在 使得 的垂心在 的渐近线上 D.若 分别是 中点,则 的外接圆过定点 10.已知双曲线 : 与椭圆 有公共焦点, 的左、右焦点分别为 , , 且经过点 ,则下列说法正确的是( ) A.双曲线 的标准方程为 B.若直线 与双曲线 无交点,则 C.设 ,过点 的动直线与双曲线 交于 , 两点(异于点 ),若直线 与直线 的斜率存在,且分别记为 , ,则 D.若动直线 与双曲线 恰有1个公共点,且与双曲线 的两条渐近线分别交于点 , ,则 ( 为坐标原点)的面积为定值1 三、填空题 11.过双曲线 的右焦点F作倾斜角为 的直线,交双曲线于P、Q两点,则 的值为 . 12.已知双曲线 : 的右焦点为 ,以 为圆心,以 为半径的圆交双曲线 的右 支于 , 两点( 为坐标原点), 的一个内角为 ,则双曲线 的离心率为 . 13.设直线 与双曲线 两条渐近线分别交于点 , ,若点 满足 ,则该双曲线的渐近线方程是 . 14.已知双曲线方程为 ,直线 分别交双曲线左右两支于A,B两点,与 轴交于点C,则 的范围是 . 15.设双曲线 , 是它的左焦点,直线l通过它的右焦点 ,且与双曲线的右支交于A,B两点, 则 的最小值为 . 四、解答题 16.已知直线 : 与双曲线 : 相交于两个不同的点 , ,线段 的垂直平分线 分别与 , 轴相交于 , 两点. (1)若 ,且点 , 都在双曲线的右支上,求 的取值范围; (2)若 ( 为坐标原点)的面积为 ,且 ,求 的取值范围. 17.已知双曲线 ,过点 作直线 交双曲线 的两支分别于 , 两点, (1)若点 恰为 的中点,求直线 的斜率; (2)记双曲线 的右焦点为 ,直线 , 分别交双曲线 于 , 两点,求 的取值范围. 18.设F是双曲线 : 的左焦点,经过F的直线与 相交于M,N两点. (1)若M,N都在双曲线的左支上,求 面积的最小值. (2)是否存在x轴上一点P,使得 为定值?若存在,求出点P的坐标;若不存在,说明理由. 19.已知双曲线 的焦距为4,虚轴长为2,左右焦点分别为 和 .直线 与曲 线 交于不同的两点 . (1)求双曲线 的方程及其离心率 ; (2)如果直线 过点 且 ,求直线 的方程;(3)是否存在直线 使得 两点都在以 为圆心的圆上?如果存在,求 的取值范围;如果不存在, 请说明理由. 20.已知双曲线C以 为渐近线,其上焦点F坐标为 . (1)求双曲线C的方程; (2)不平行于坐标轴的直线l过F与双曲线C交于 两点, 的中垂线交y轴于点T,问 是否为定值, 若是,请求出定值,若不是,请说明理由. 21.已知曲线C为双曲线 的右支,斜率为k的直线l过双曲线右焦点 ,且与曲线C相交于A, B两点. (1)求斜率k的取值范围; (2)在x轴上是否存在点M使得 ,如果存在,求出点M的坐标;如果不存在,请说明理由. 22.已知焦点在x轴上的双曲线C的一条渐近线 方程为 ,左焦点F到直线 的距离为1,右顶点为 A,直线 : 与双曲线相交于P、Q两点(P、Q不和双曲线的顶点重合). (1)求双曲线C的标准方程; (2)当 时,求PQ的长; (3)当 为何值时,以PQ为直径的圆经过点A. 23.已知双曲线 ( , )的渐近线方程为 ,焦点到渐近线的距离为 . (1)求双曲线 的方程; (2)设 , 是双曲线 右支上不同的两点,线段AB的垂直平分线 交AB于 ,点 的横坐标为2,则是 否存在半径为1的定圆 ,使得 被圆 截得的弦长为定值,若存在,求出圆 的方程;若不存在,请说明 理由.24.已知双曲线 的实轴长为2,且双曲线 上任一点 到它的两条渐近线的距离之 积为 . (1)求双曲线 的标准方程; (2)已知过点 的直线 与双曲线 交于 两点. (i)当 时, 能否是线段 的中点?若能,求出 的方程;若不能,说明理由; (ii)若点 不是线段 的中点,写出 所满足的关系式(不要求证明)