当前位置:首页>文档>4.3.2角的比较与运算(解析版)_初中数学人教版_7上-初中数学人教版_7上-初中数学人教版(旧版)赠送_07专项讲练_划重点2023-2024学年七年级数学上册同步讲与练(人教版)

4.3.2角的比较与运算(解析版)_初中数学人教版_7上-初中数学人教版_7上-初中数学人教版(旧版)赠送_07专项讲练_划重点2023-2024学年七年级数学上册同步讲与练(人教版)

  • 2026-04-25 03:03:15 2026-03-26 14:16:04

文档预览

4.3.2角的比较与运算(解析版)_初中数学人教版_7上-初中数学人教版_7上-初中数学人教版(旧版)赠送_07专项讲练_划重点2023-2024学年七年级数学上册同步讲与练(人教版)
4.3.2角的比较与运算(解析版)_初中数学人教版_7上-初中数学人教版_7上-初中数学人教版(旧版)赠送_07专项讲练_划重点2023-2024学年七年级数学上册同步讲与练(人教版)
4.3.2角的比较与运算(解析版)_初中数学人教版_7上-初中数学人教版_7上-初中数学人教版(旧版)赠送_07专项讲练_划重点2023-2024学年七年级数学上册同步讲与练(人教版)
4.3.2角的比较与运算(解析版)_初中数学人教版_7上-初中数学人教版_7上-初中数学人教版(旧版)赠送_07专项讲练_划重点2023-2024学年七年级数学上册同步讲与练(人教版)
4.3.2角的比较与运算(解析版)_初中数学人教版_7上-初中数学人教版_7上-初中数学人教版(旧版)赠送_07专项讲练_划重点2023-2024学年七年级数学上册同步讲与练(人教版)
4.3.2角的比较与运算(解析版)_初中数学人教版_7上-初中数学人教版_7上-初中数学人教版(旧版)赠送_07专项讲练_划重点2023-2024学年七年级数学上册同步讲与练(人教版)
4.3.2角的比较与运算(解析版)_初中数学人教版_7上-初中数学人教版_7上-初中数学人教版(旧版)赠送_07专项讲练_划重点2023-2024学年七年级数学上册同步讲与练(人教版)
4.3.2角的比较与运算(解析版)_初中数学人教版_7上-初中数学人教版_7上-初中数学人教版(旧版)赠送_07专项讲练_划重点2023-2024学年七年级数学上册同步讲与练(人教版)
4.3.2角的比较与运算(解析版)_初中数学人教版_7上-初中数学人教版_7上-初中数学人教版(旧版)赠送_07专项讲练_划重点2023-2024学年七年级数学上册同步讲与练(人教版)
4.3.2角的比较与运算(解析版)_初中数学人教版_7上-初中数学人教版_7上-初中数学人教版(旧版)赠送_07专项讲练_划重点2023-2024学年七年级数学上册同步讲与练(人教版)
4.3.2角的比较与运算(解析版)_初中数学人教版_7上-初中数学人教版_7上-初中数学人教版(旧版)赠送_07专项讲练_划重点2023-2024学年七年级数学上册同步讲与练(人教版)
4.3.2角的比较与运算(解析版)_初中数学人教版_7上-初中数学人教版_7上-初中数学人教版(旧版)赠送_07专项讲练_划重点2023-2024学年七年级数学上册同步讲与练(人教版)
4.3.2角的比较与运算(解析版)_初中数学人教版_7上-初中数学人教版_7上-初中数学人教版(旧版)赠送_07专项讲练_划重点2023-2024学年七年级数学上册同步讲与练(人教版)
4.3.2角的比较与运算(解析版)_初中数学人教版_7上-初中数学人教版_7上-初中数学人教版(旧版)赠送_07专项讲练_划重点2023-2024学年七年级数学上册同步讲与练(人教版)
4.3.2角的比较与运算(解析版)_初中数学人教版_7上-初中数学人教版_7上-初中数学人教版(旧版)赠送_07专项讲练_划重点2023-2024学年七年级数学上册同步讲与练(人教版)
4.3.2角的比较与运算(解析版)_初中数学人教版_7上-初中数学人教版_7上-初中数学人教版(旧版)赠送_07专项讲练_划重点2023-2024学年七年级数学上册同步讲与练(人教版)
4.3.2角的比较与运算(解析版)_初中数学人教版_7上-初中数学人教版_7上-初中数学人教版(旧版)赠送_07专项讲练_划重点2023-2024学年七年级数学上册同步讲与练(人教版)
4.3.2角的比较与运算(解析版)_初中数学人教版_7上-初中数学人教版_7上-初中数学人教版(旧版)赠送_07专项讲练_划重点2023-2024学年七年级数学上册同步讲与练(人教版)
4.3.2角的比较与运算(解析版)_初中数学人教版_7上-初中数学人教版_7上-初中数学人教版(旧版)赠送_07专项讲练_划重点2023-2024学年七年级数学上册同步讲与练(人教版)
4.3.2角的比较与运算(解析版)_初中数学人教版_7上-初中数学人教版_7上-初中数学人教版(旧版)赠送_07专项讲练_划重点2023-2024学年七年级数学上册同步讲与练(人教版)
4.3.2角的比较与运算(解析版)_初中数学人教版_7上-初中数学人教版_7上-初中数学人教版(旧版)赠送_07专项讲练_划重点2023-2024学年七年级数学上册同步讲与练(人教版)
4.3.2角的比较与运算(解析版)_初中数学人教版_7上-初中数学人教版_7上-初中数学人教版(旧版)赠送_07专项讲练_划重点2023-2024学年七年级数学上册同步讲与练(人教版)
4.3.2角的比较与运算(解析版)_初中数学人教版_7上-初中数学人教版_7上-初中数学人教版(旧版)赠送_07专项讲练_划重点2023-2024学年七年级数学上册同步讲与练(人教版)
4.3.2角的比较与运算(解析版)_初中数学人教版_7上-初中数学人教版_7上-初中数学人教版(旧版)赠送_07专项讲练_划重点2023-2024学年七年级数学上册同步讲与练(人教版)
4.3.2角的比较与运算(解析版)_初中数学人教版_7上-初中数学人教版_7上-初中数学人教版(旧版)赠送_07专项讲练_划重点2023-2024学年七年级数学上册同步讲与练(人教版)
4.3.2角的比较与运算(解析版)_初中数学人教版_7上-初中数学人教版_7上-初中数学人教版(旧版)赠送_07专项讲练_划重点2023-2024学年七年级数学上册同步讲与练(人教版)
4.3.2角的比较与运算(解析版)_初中数学人教版_7上-初中数学人教版_7上-初中数学人教版(旧版)赠送_07专项讲练_划重点2023-2024学年七年级数学上册同步讲与练(人教版)
4.3.2角的比较与运算(解析版)_初中数学人教版_7上-初中数学人教版_7上-初中数学人教版(旧版)赠送_07专项讲练_划重点2023-2024学年七年级数学上册同步讲与练(人教版)
4.3.2角的比较与运算(解析版)_初中数学人教版_7上-初中数学人教版_7上-初中数学人教版(旧版)赠送_07专项讲练_划重点2023-2024学年七年级数学上册同步讲与练(人教版)
4.3.2角的比较与运算(解析版)_初中数学人教版_7上-初中数学人教版_7上-初中数学人教版(旧版)赠送_07专项讲练_划重点2023-2024学年七年级数学上册同步讲与练(人教版)
4.3.2角的比较与运算(解析版)_初中数学人教版_7上-初中数学人教版_7上-初中数学人教版(旧版)赠送_07专项讲练_划重点2023-2024学年七年级数学上册同步讲与练(人教版)
4.3.2角的比较与运算(解析版)_初中数学人教版_7上-初中数学人教版_7上-初中数学人教版(旧版)赠送_07专项讲练_划重点2023-2024学年七年级数学上册同步讲与练(人教版)
4.3.2角的比较与运算(解析版)_初中数学人教版_7上-初中数学人教版_7上-初中数学人教版(旧版)赠送_07专项讲练_划重点2023-2024学年七年级数学上册同步讲与练(人教版)
4.3.2角的比较与运算(解析版)_初中数学人教版_7上-初中数学人教版_7上-初中数学人教版(旧版)赠送_07专项讲练_划重点2023-2024学年七年级数学上册同步讲与练(人教版)
4.3.2角的比较与运算(解析版)_初中数学人教版_7上-初中数学人教版_7上-初中数学人教版(旧版)赠送_07专项讲练_划重点2023-2024学年七年级数学上册同步讲与练(人教版)
4.3.2角的比较与运算(解析版)_初中数学人教版_7上-初中数学人教版_7上-初中数学人教版(旧版)赠送_07专项讲练_划重点2023-2024学年七年级数学上册同步讲与练(人教版)
4.3.2角的比较与运算(解析版)_初中数学人教版_7上-初中数学人教版_7上-初中数学人教版(旧版)赠送_07专项讲练_划重点2023-2024学年七年级数学上册同步讲与练(人教版)
4.3.2角的比较与运算(解析版)_初中数学人教版_7上-初中数学人教版_7上-初中数学人教版(旧版)赠送_07专项讲练_划重点2023-2024学年七年级数学上册同步讲与练(人教版)
4.3.2角的比较与运算(解析版)_初中数学人教版_7上-初中数学人教版_7上-初中数学人教版(旧版)赠送_07专项讲练_划重点2023-2024学年七年级数学上册同步讲与练(人教版)
4.3.2角的比较与运算(解析版)_初中数学人教版_7上-初中数学人教版_7上-初中数学人教版(旧版)赠送_07专项讲练_划重点2023-2024学年七年级数学上册同步讲与练(人教版)
4.3.2角的比较与运算(解析版)_初中数学人教版_7上-初中数学人教版_7上-初中数学人教版(旧版)赠送_07专项讲练_划重点2023-2024学年七年级数学上册同步讲与练(人教版)
4.3.2角的比较与运算(解析版)_初中数学人教版_7上-初中数学人教版_7上-初中数学人教版(旧版)赠送_07专项讲练_划重点2023-2024学年七年级数学上册同步讲与练(人教版)
4.3.2角的比较与运算(解析版)_初中数学人教版_7上-初中数学人教版_7上-初中数学人教版(旧版)赠送_07专项讲练_划重点2023-2024学年七年级数学上册同步讲与练(人教版)
4.3.2角的比较与运算(解析版)_初中数学人教版_7上-初中数学人教版_7上-初中数学人教版(旧版)赠送_07专项讲练_划重点2023-2024学年七年级数学上册同步讲与练(人教版)
4.3.2角的比较与运算(解析版)_初中数学人教版_7上-初中数学人教版_7上-初中数学人教版(旧版)赠送_07专项讲练_划重点2023-2024学年七年级数学上册同步讲与练(人教版)
4.3.2角的比较与运算(解析版)_初中数学人教版_7上-初中数学人教版_7上-初中数学人教版(旧版)赠送_07专项讲练_划重点2023-2024学年七年级数学上册同步讲与练(人教版)
4.3.2角的比较与运算(解析版)_初中数学人教版_7上-初中数学人教版_7上-初中数学人教版(旧版)赠送_07专项讲练_划重点2023-2024学年七年级数学上册同步讲与练(人教版)

文档信息

文档格式
docx
文档大小
3.106 MB
文档页数
47 页
上传时间
2026-03-26 14:16:04

文档内容

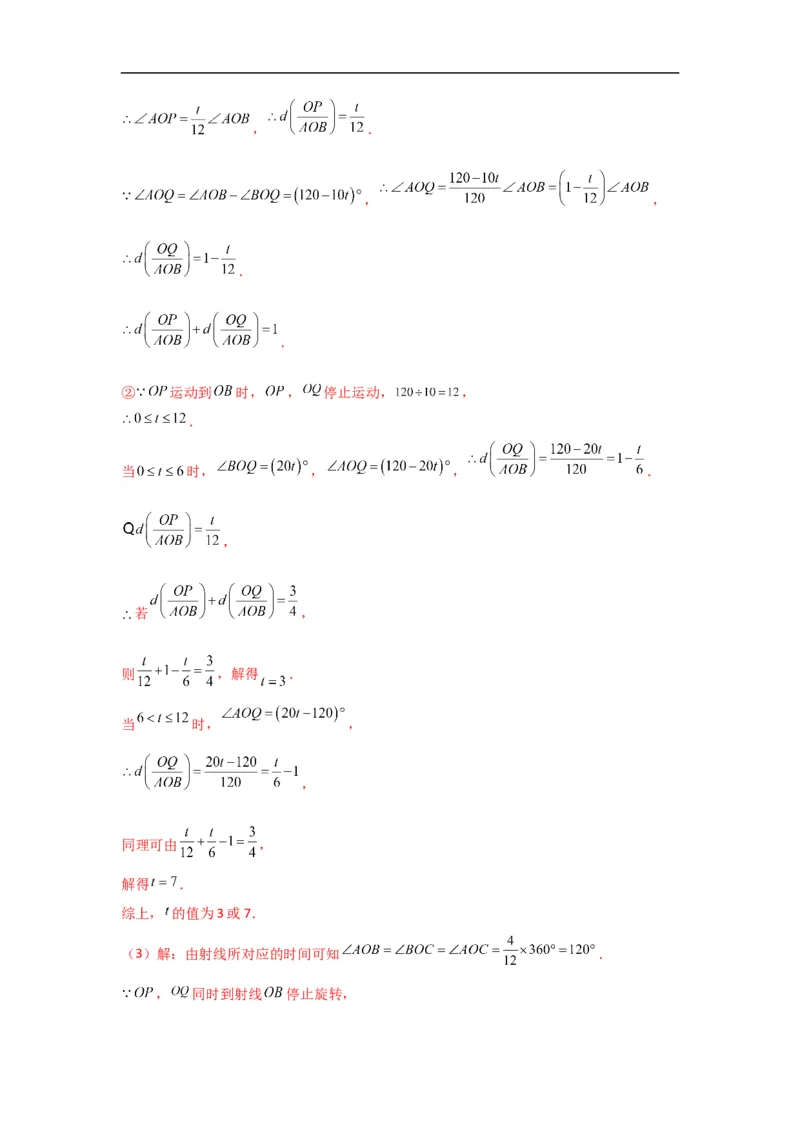
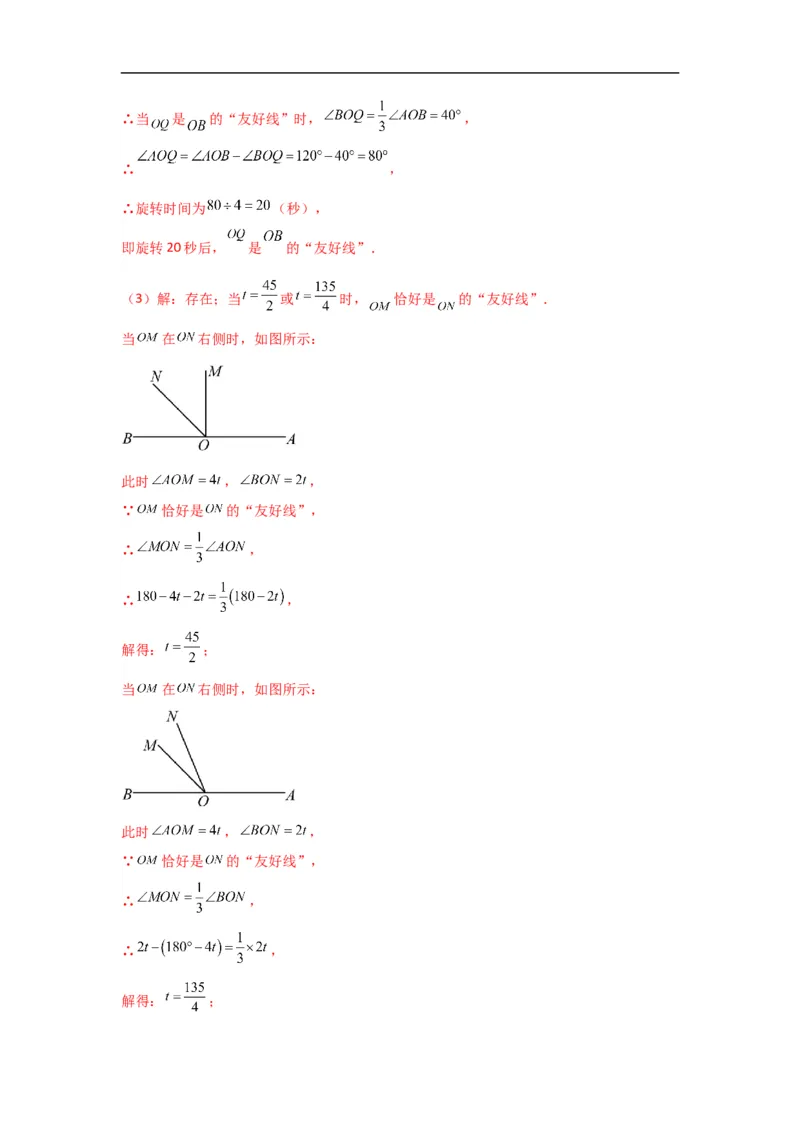
4.3.2 角的比较与运算 1.理解角的概念,掌握角的表示方法. 2.会比较角的大小,认识角的常用度量单位,并能进行简单的换算,会计算角的 和与差. 3.理解角的平分线的概念,会用符号语言表示, 4.了解余角和补角的概念,掌握余角和补角的性质,并能应用这些性质解决相关问题. 知识点一 角的比较 1.方法1(度量法) 用量角器量出角的度数,然后比较它们的大小.如图所示中的 和 ,用量角 器量得 , ,那么 < . 2.方法2(叠合法) 把两个角的顶点和一边分别重合,另一边放在重合边的同侧,通过另一边的位 置关系比较大小. 如图所示, 落在 的内部,那么 小于 ,记作 < . 如图所示, 落在 的外部,那么 小于 ,记作 <; 如图所示, 和 重合,那么 等于 , 记作 = . 注意: 1. 角的度数大,角就大;角的度数小,角就小.反之,角大,角的度数就大; 角小,角的度数就小. 2. 顶点重合,一边重合(两重合), 另一边落在重合边的同侧,然后进行观察比 较. 3. 根据叠合法,我们可以用一副三角板画出多个角,如 15°的角,75°的角, 105°的角等. 4. 比较角的大小,度量法具体准确,而叠合法更直观. 即学即练(2022上·四川成都·七年级四川省蒲江县蒲江中学校考期末)如图,将一副直角 三角尺的直角顶点重合摆放,若 ,则 度; 【答案】30 【分析】本题主要考查了三角板中角度的计算,解题的关键在于能够根据 , ,得出 ,由此即可求解. 【详解】解:由题意得 , ,∴ , ∴ , ∴ , 故答案为:30. 知识点二 角的和、差、倍、分运算 1.角的和、差 如图所示,∠AOC 是∠AOB 与∠BOC 的和,记作∠AOC=∠AOB+∠BOC.∠AOB 是 ∠AOC 与∠BOC的差,记作∠AOB=∠AOC-∠BOC.类似地,∠BOC=∠AOC-∠AOB. 注意:一角的和与差仍是一个角,只不过是这个角的度数等于另外两个角度数 的和或差. 2.一个角的几倍及几分之一(拓展) 如果两个∠1的和是∠2,那么∠2是∠1的2倍,记作∠2=2∠1,∠1是∠2的 , 记作∠1= ∠2;如果三个∠1 的和是∠3,那么∠3 是∠1 的 3 倍,记作 ∠3=3∠1,∠1是∠3的 ,,记作∠1= ∠3等. 注意:一个角可能有多种和、差的表示方法,应根据条件适当选取. 3.角的度量单位之间的关系: , , ., , 即学即练1(2023上·重庆南岸·七年级校考期末) ( ) A. B. C. D. 【答案】A 【分析】根据度分秒的加法法则计算即可. 【详解】 , 故选:A. 【点睛】本题考查度分秒的加减运算,熟记运算法则是解题的关键. 即学即练2(2022上·广东韶关·七年级校考期末)计算: . 【答案】 【分析】根据 ,进行计算即可. 【详解】解:原式 , 故答案为: . 【点睛】本题主要考查了角度的计算,解题的关键是掌握 . 角度的加减乘除运算技巧 (1)在角度的加法运算中,我们可以把度与度、分与分、秒与秒单位上的数分 别相加,然后把满60秒的进1分,再把满60分的进1度 (2)在角度的减法运算中,同单位的数相减,不够减时,应向上一级单位“借 1”,1°=60',1'=60”, 然后再减. (3)把一个角度扩大几倍(一个角度乘一个正整数),可借助乘法分配律的思想, 把这个数分别与角度的度、分、秒单位上的数相乘,再把分、秒单位上满 60 的数向上一位“进1”. (4)依照多位数除法,把一个角度除以一个数时先用度除以这个数,把余数部 分乘60转化为分单位上的数后再除以这个数,依次类推.知识点三 角的平分线 1.角的平分线的定义 一般地,从一个角的顶点出发,把这个角分成两个相等的角的射线叫做这个角 的平分线. 2.角的平分线的性质 如图所示, 是 的平分线,那么 . 或 . 注意: 角平分线必须同时满足三个条件:①从角的顶点引出的射线;②在角的内部; ③将已知角平分. 即学即练(2022上·湖北襄阳·七年级统考期末)如图, 在 内部,且 , 是 的平分线, ,则下列结论:① ;② ;③ ;④ .其中正确结论有 (写序号). 【答案】①②④ 【分析】根据 , ,得到 ,进而得到,根据 是 的平分线,得到 ,再根据角 之间的和差,倍数关系,逐一进行判断即可. 【详解】解:∵ , , ∴ , ∴ , ∴ , ∴ , , ∴ ;故①正确; ∴ , ∵ 是 的平分线, ∴ , ∴ , ∴ ,故②正确; ∵ , , ∴ , ∴ , ∵ , ∴ ,故③错误; ∵ , , ∴ ;故④正确; 故答案为:①②④. 【点睛】本题考查几何图形中角度的计算.正确的识图,理清角度之间的和差,倍数关系, 是解题的关键.题型1 角的单位与角度制 例1(2023上·新疆乌鲁木齐·七年级校考期末)把 用度、分、秒表示正确的是 ( ) A. B. C. D. 【答案】C 【分析】本题考查度、分、秒的换算.运用度、分、秒的换算方法运算即可. 【详解】解:∵ , ∴ , ∵ , ∴ , ∴ , 故选:C. 举一反三1(2023上·陕西西安·七年级统考期末) . 【答案】 【分析】本题考查度分秒的换算、角的运算,根据度分秒之间的进率计算即可,熟练掌握 度分秒之间的进率是解题的关键. 【详解】解: , 故答案为: . 举一反三2(2022上·浙江宁波·七年级统考期末)用度表示 为 . 【答案】 / 度 【分析】本题考查了度分秒的换算,从大单位到小单位要乘以进率,而从小单位到达单位 要除以进率.根据度分秒的进率为 ,再进行换算即可. 【详解】解: , 故答案为 举一反三3(2023上·重庆江北·七年级字水中学校考期末)计算: ′. 【答案】 【分析】本题主要考查角的计算,根据进率( )转换即可. 【详解】解: ∵ ∴故答案为: . 题型2 角的度数大小比较 例2(2022上·湖南长沙·七年级校联考期末)比较大小: (填“>”、 “<”或“=”). 【答案】< 【分析】将 化为 ,再进行比较即可得出答案. 【详解】解: , , ,即 , 故答案为:<. 【点睛】本题考查度、分、秒换算,掌握度、分、秒的换算方法是得出正确的前提. 举一反三1(2020上·湖南长沙·七年级校考阶段练习)已知 , ,则 (填“ ”、“ ”或“ ”). 【答案】 【分析】由 , 即可得到答案. 【详解】解:∵ , , ∴ , 故答案为: . 【点睛】此题考查了角的大小比较,熟练掌握度分秒之间的转换是解题的关键. 举一反三2(2023上·湖南娄底·七年级统考期末)用“ ”、“ ”或“ ”填空: . 【答案】 【分析】根据角度换算,将表示角度的两种形式化统一再比较大小即可得到答案. 【详解】解: , , , , 故答案为: . 【点睛】本题考查角度比较大小,熟练掌握角度换算是解决问题的关键. 举一反三3(2023上·河南驻马店·七年级统考期末)如图,线段 、点 在正方形网格中,所有小正方形的边长都相等. 利用画图工具画图: (1)①画线段 、 ;②延长线段 到点 ,使 ;③画直线 . (2)线段 与线段 的大小关系是:______; (3) 与 的大小关系是:______. 【答案】(1)见解析 (2) (3) 【分析】(1)①连接 、 即可;②延长线段 ,截取 ;③所作直线经过 、 即可; (2)量出线段 与线段 的长度即可得到答案; (3)量出 与 的大小即可得到答案. 【详解】(1)解:作图如图下: (2)测量可得: , 故答案为: ; (3)测量可得: , 故答案为: . 【点睛】本题考查了作图-基本作图,比较线段的长短和角的大小比较.作两点之间的线段, 连接两点即可,由两点作直线,连接两点并向两个方向延长即可得这两点确定的直线. 题型3 角的比较 例3(2017·七年级课时练习)在 的内部任取一点 ,作射线 ,则下列结论一定正确的是( ) A. B. C. D. 【答案】A 【分析】举出反例进行逐一判断即可. 【详解】A.因为射线 在 的内部, ,故此项正确,符合题意; B.当射线 平分 时, ,故此项错误,不符合题意; C. 当射线 平分 时, ,故此项错误,不符合题意; D.只要射线 不平分 , ,故此项错误,不符合题意. 故选:A. 【点睛】本题考查了在角的内部射线所分角大小比较问题,举出反例是解题的关键. 举一反三1(2021上·北京海淀·七年级校考期末)如图,用同样大小的三角板比较∠A和 ∠B的大小,下列判断正确的是( ) A. B. C. D.没有量角器,无法确定 【答案】B 【分析】根据角的比较大小的方法进行比较即可. 【详解】由题意可知 , , ∴ . 故选B. 【点睛】本题考查角的大小比较,三角板的特点.熟练掌握比较方法是解题的关键. 举一反三2如图1,图2所示,把一副三角板先后放在 上,则 的度数可能 ( )A. B. C. D. 【答案】C 【分析】根据三角板的特点可得 ,结合选项即得答案. 【详解】解:由图1可得 ,由图2可得 , ∴ , 故选:C. 【点睛】本题考查了三角板的特点,正确得出 是解题的关键. 举一反三3(2023下·黑龙江绥化·七年级统考期末)若 ,则么 . 【答案】 【分析】利用等量代换即可得解. 【详解】解:∵ , ∴ , 故答案为: . 【点睛】本题考查了等量代换,是基础题. 题型4 三角板中角度计算问题 例4(2022上·河南新乡·七年级校考期末)两个直角三角板按如图所示的方式摆放,若 ,则 . 【答案】 / 度【分析】本题主要考查了三角板中角度的计算,根据三角板中角度的特点和平角的定义得 到 ,则 . 【详解】解:由题意得, , 又∵ , ∴ , 故答案为: . 举一反三1(2023上·吉林松原·七年级校联考期末)将一副三角尺放在同一平面内,使直角 顶点重合于点O. (1)如图①,若 ,求 、 、 的度数. (2)如图①,你发现 与 的大小有何关系? 与 有何关系?直接写 出你发现的结论. (3)如图②,当 与 没有重合部分时,(2)中你发现的结论是否仍然成立,请说 明理由. 【答案】(1) 、 , (2) ; (3)成立,见解析 【分析】本题主要考查了角的和与差, (1)根据角的和差关系求解即可; (2)根据角的和差关系求解即可; (3)根据角的和差关系求解即可. 能准确找出题中所求角与已知角存在怎样的和与差的关系是做出本题的关键. 【详解】(1)∵ , , ∴ , , ∴ ; (2)由(1)可得, ;; (3)成立,理由如下; 据图可知,∵ , , ∴ , , ∴ ; ∵ , , ∴ ∴ . 举一反三2(2022上·浙江杭州·七年级统考期末)一副三角板如图放置,其中有部分重叠在 一起,已知 . (1)若 ,求 的度数; (2)若 ,求 的度数; (3)若 ,其中 ,求 的度数.(用含k的代数式表示) 【答案】(1) (2) (3) 的度数是 【分析】本题主要考查几何图形中角的度数: (1)根据 求解即可; (2)先设 ,则 ,再根据题意得 ,解得x的值即可;(3)方法同(2). 【详解】(1) , , ∴ . (2)设 ,则 . 由题意,得 , 解得 , 即 . (3)设 ,则 . 由题意,得 , 解得 , ∴ , 即 的度数是 . 举一反三3(2022上·河北石家庄·七年级统考期末)已知直角三角形 的直角顶点 在 直线 上,射线 平分 . (1)如图1,若 ,求 的度数; (2)如图2,将三角形 绕点 逆时针旋转,若 ,求 的度数; (3)如图3,将三角形 绕点 逆时针旋转,试写出 和 之间的数量关系, 并说明理由. 【答案】(1) (2) (3) ,见解析【分析】本题考查了角平分线有关的计算及角的运算: (1)先求出 ,再根据角平分线的性质可得 ,进而可求解; (2)先求出 ,根据 即可求解; (3)根据角平分线的性质得 ,根据 得 ,进而可求解; 熟练掌握角平分线的性质是解题的关键. 【详解】(1)解: , , ∴ , 又 平分 , , ∴ . (2) , ∴ , ∵ , ∴ . (3) .理由如下: ∵ 平分 , ∴ , ∵ , ∴ , ∴ , 即 . 题型5 几何图形中角度计算问 题 例5(2023上·浙江杭州·七年级统考期末)如图,将三个大小相同的正方形的一个顶点重合 放置,那么 的度数为( )A. B. C. D. 【答案】C 【分析】本题主要考查了角度的计算,解题的关键是掌握正方形任意一个角都为 ,再 列出相应的等量关系式. 【详解】解:如图所示: , , , , 即 , 即 , 解得 , 故选:C. 举一反三1(2022上·河北石家庄·七年级统考期末)如图, ,若 ,则 的度数为( ) A. B. C. D. 【答案】B 【分析】本题考查了角度的计算,根据题意得出 是解题关键.【详解】解:∵ , ∴ ∵ ∴ 即: ∴ 故选:B. 举一反三2(2023上·黑龙江绥化·七年级统考期末)如图,射线 在 的内部, 是 的平分线. 若 ,则 的度数是 . 【答案】 /40度 【分析】本题主要考查了角的计算以及角平分线的性质.根据题意得 ,进一步得到 ,进而即可求得答案. 【详解】解:∵ , ∴ , ∴ , ∵ 是 的平分线, ∴ , ∴ , 故答案为: . 举一反三3(2022上·江西赣州·七年级统考期末)已知 是 的平分线,, 是 的平分线,则 的度数为 . 【答案】 或 【分析】本题主要考查了角平分线的定义,弄清各角之间的数量关系是解题的关键,先根 据角平分线的定义得出 ,再根据 在 内部时和 在 外部时,分 两种情况,结合角平分线定义及各角之间的数量关系得出答案. 【详解】解:当 在 内时,如图所示, ∵ 是 的平分线, 是 的平分线, , , , , ; 当 在 外部时,如图所示, ∵ 是 的平分线, 是 的平分线, , , , , ∴ . 故答案为: 或 . 题型6 角度的四则运算例6(2021上·江苏南京·七年级南京钟英中学校考阶段练习)计算: 【答案】 【分析】利用角度加减法则计算即可. 【详解】解: 故答案为: . 【点睛】此题考查了角度的计算,正确掌握计算法则及进率是解题的关键. 举一反三1(2022上·北京海淀·七年级校考期末) . 【答案】 【分析】根据度、分、秒是常用的角的度量单位. 度 分,即 , 分 秒, 即 进行计算即可. 【详解】解:原式 , 故答案为: . 【点睛】本题主要考查度分秒的换算, , 是解题的关键. 举一反三2(2023下·黑龙江哈尔滨·六年级统考期末)计算 的结果为 . 【答案】 【分析】根据角的运算法则进行计算即可得到结果. 【详解】解: , 故答案为: . 【点睛】此题主要考查了角的运算,注意: , . 题型7 实际问题中角度计算问题 例7(2022上·浙江台州·七年级统考期末)定义:当射线 在 内部, 时,我们称 为射线 在 内的角值,记作 .如图1, 若 , ,则 ,则 .(1)如图1,射线 在 内部,若 ,则 _________ ;若 ,则 __________; (2)如图2,已知 ,射线 , 分别从射线 和 同时开始旋转,其中射 线 绕点 顺时针旋转,射线 绕点 逆时针旋转,当射线 旋转到射线 时,射 线 , 停止旋转.设运动时间为 秒. ①若射线 , 的运动速度均为每秒 ,试用含 的式子表示 和 , 并直接写出它们的数量关系; ②若射线 , 的运动速度分别为每秒 和 ,射线 到达射线 后立即以原速 返回,则当 为何值时, ? (3)如图3,在钟面内有三条射线 , 和 ,分别指向12点,4点,8点.射线 , 同时从射线 开始旋转,其中射线 绕点 顺时针旋转,射线 绕点 逆时针旋转, 同时到射线 停止旋转.设 ,当射线 运动到 的内部时,请用含 的式子表示 .【答案】(1) , (2)① ;② 的值为3或7 (3) 【分析】(1)根据角值的定义进行代数运算,即可作答. (2)①根据运动时间为 秒和射线 , 的运动速度均为每秒 ,即可作答; ②射线 , 的运动速度分别为每秒 和 ,先用含 的代数式表达 和 ,再代入 ,计算化简求值,即可作答. (3)根据三条射线 , 和 的起点和运动方向,列出含 的代数式,结合 和射线 运动到 的内部这两个条件,即可作答. 【详解】(1)解:依题意, ∵射线 在 内部,若 , 则 ; ∵ , ∴ ; (2)解:①由题意可知 , . ,, . , , . . ② 运动到 时, , 停止运动, , . 当 时, , , . , 若 , 则 ,解得 . 当 时, , , 同理可由 , 解得 . 综上, 的值为3或7. (3)解:由射线所对应的时间可知 . , 同时到射线 停止旋转,的速度是 的2倍, , , , . 当射线 运动到 内部时, , , . 【点睛】本题以新定义的形式考查角的运动型问题,涉及到列代数式,新定义以及角的运 算,一元一次方程的应用,解题的关键是理解题中的新定义,能根据射线运动过程中角度 的变化进行适当的分类讨论. 举一反三1(2023下·山东威海·六年级统考期末)如图,已知 , 是 的平分线,若 ,求 的度数. 【答案】 【分析】根据 可知设 , ,再根据角平分线的定 义可知 ,最后利用角的和差关系即可解答. 【详解】解:∵ , ∴设 , , ∵ 是 的平分线, ∴ ,∴ , ∵ , 则 , ∴ . 【点睛】本题考查了角的倍数关系,角的和差关系,角平分线的定义,掌握角平分线的定 义是解题的关键. 举一反三2(2023·江苏泰州·七年级泰州市姜堰区第四中学校考期末)七年级上册《数学实 验手册》中有“三角尺拼角”的问题.将一副三角尺如图这样放置,就可画出 , 在实验中同学们发现用一副三角尺还能画出其他特殊角. (1)请你借助三角尺完成以下操作,并在所画图形上标注所使用三角尺的相应角度; ①设计用一副三角尺画出 角的画图方案,并画出相应的几何图形; ②用一副三角尺能画出 的角吗?__________.(填“能”或“不能”). (2)利用一副三角尺在图中画出 的角平分线 ,并在所画图形上标注所使用三角尺 的相应角度. (3)如图,现有 角的三种模板, , , 请设计 一种方案,只用给出的一种模板画出 的角. 小冬想出了一个方案,利用 角模板画出 角,动手操作:如图,M、O、N三点在一条 直线上,将 的顶点B与点O重合, 边与射线 重合,如图所示,将 绕 点O逆时针旋转 ,得 ,再将 绕点O逆时针旋转 ,得 ,……, 如此连续操作18次,再利用两个平角等于一个周角,可得 的角,即:. 请从 或 角模板中选一个你认为能画出 角的模板,设计一个方案,并说明理由. (4)对于任意一个 (n为正整数)角的模板,只用此模板是否一定能画出 的角?请作出 判断,并说明理由. 【答案】(1)①见解析;②不能 (2)见解析 (3)选用 ,理由见解析 (4)不一定能,理由见解析 【分析】(1)①用一副三角尺画出 角的画图方案,用含 的两个角拼接即可求 解; ②根据用一副三角板可以直接画出角的度数是15的倍数可解答; (2)根据题意设计一个 ,一边与射线 重合,另一边即为角平分线 , (3)根据题目所给的方案,进行设计即可求解; (4)根据角度的四则运算进行判断即可求解. 【详解】(1)解: ①用一副三角尺画出 角,如图所示, ②用一副三角板可以直接画出角的度数是15的倍数, ∴用一副三角尺能不能画出 的角, 故答案为:不能. (2)解:如图所示,(3)选用 , 用 的角旋转15次,则 ,与 差 , 再旋转16次,得到 ,与周角差 , 再旋转16次,得到 ,超过始边 ∴ 绕点O逆时针旋转 ,得 , 再将 绕点O逆时针旋转 , 得 ,……,如此连续操作47次, 可得 的角, 即: . (4)对于任意一个 (n为正整数)角的模板,只用此模板不一定能画出 的角 例如, ,此时无论如何旋转,都不能得到 的角 【点睛】本题考查了三角板中的角度计算,角平分线的定义,角度的计算,理解题意是解 题的关键. 题型8 角平分线的有关计算 例8(2023上·广东佛山·七年级西樵中学校联考期中)如图,O是直线 上一点,过O作 任意射线 , 平分 , 平分 ,则 的度数是( ) A. B. C. D.不能确定【答案】B 【分析】本题主要考查了角平分线的定义,熟练掌握角平分线的定义进行求解是解决本题 的关键.根据角平分线的定义得出 , ,再根据平角定 义求解即可. 【详解】解:∵ 平分 , 平分 , ∴ , , 又 ∴ . 故选:B. 举一反三1(2023上·河南南阳·七年级校考期末)如图, 是直角, 平分 , 平分 , ,则 的度数为 . 【答案】 【分析】本题考查了角平分线的性质以及度分秒的换算,牢记“若 是 的平分线, 则 ”是解题的关键.由 平分 及 的度数,利用 角平分线的性质,可求出 的度,结合 是直角,可求出 的度数,由 平分 ,利用平分线的性质,可求出 的度数,再将其代入 中,即可求出结论. 【详解】解: 平分 , , , 是直角, . 又 平分 , , .故答案为: . 举一反三2(2022上·广东深圳·七年级统考期末)【综合探究】:如图1,一副三角板如图 所示放置在直线 上, , , , .三角 板 的顶点与另一个三角板 的顶点重合在点O处,三角板的边 与直线 重合,三角板其它的边都在直线 的上方. 【实践探究】: (1)如图2,若三角板 不动,将三角板 绕点O以每秒 的速度按顺时针方向旋 转一周,经过t秒时,三角板 的边 恰好分 . ①此时 _____秒; ②此时 _____ ______ ; 【解决问题】: (2)如图2,在(1)的条件下,边 恰好平分 时,同一时刻三角板 开始也 绕点O以每秒 的速度按相同方向旋转,那么再经过多长时间边 与边 第一次重合? (如图3)请说明理由; 【拓展研究】: (3)如图3,在(2)的条件下,当边 与边 第一次重合时,两个三角板同时按顺时 针方向再次转动一周后停止,请问两个三角板再次转动后,经过多少秒,边 恰好平分 ?请说明理由.【答案】(1)①5;② , ;(2) 秒,理由见解析;(3)经过 或 秒,边 恰好平分 ,理由见解析 【分析】本题考查了角平分线,角度的转换,一元一次方程的应用.根据题意确定运动过 程中的等量关系是解题的关键. (1)①根据 ,可得 ,计算求解即可;②由题意 知, ,计算求解,然后转换成分即可; (2)设再经过 秒边 与边 第一次重合,则 转过的角度为 , 转过的角 度为 , ,依题意得, ,计算求解即可; (3)由题意知, 旋转一周用时 秒, 旋转一周用时 秒, 秒后 停止旋转, 继续旋转,由题意知,分 停止旋转前, 停止 旋转后两种情况下,边 恰好平分 ,依题意列方程,计算求解即可. 【详解】(1)①解:∵边 恰好分 , ∴ , 依题意得, , 解得, , 故答案为:5; ②解:由题意知, , 故答案为: , ; (2)解:再经过 秒边 与边 第一次重合,理由如下: 设再经过 秒边 与边 第一次重合,则 转过的角度为 , 转过的角度为 , , 依题意得, , 解得, , ∴再经过 秒边 与边 第一次重合; (3)解:经过 或 秒,边 恰好平分 ,理由如下: 由题意知, 旋转一周用时 秒, 旋转一周用时 秒, ∴ 秒后 停止旋转, 继续旋转,由(2)可知,边 与边 第一次重合时, , 设经过 秒后,边 恰好平分 , 由题意知,分 停止旋转前, 停止旋转后两种情况下,边 恰好平分 , 当 停止旋转前,则 转过的角度为 , 转过的角度为 , 恰好平分 时, ,如图4, 依题意得, , 解得 , ; 当 停止旋转,则 转过的角度为 , 转过的角度为 , , ,如图5, 依题意得, , 解得, ; 综上所述,经过 或 秒,边 恰好平分 . 举一反三3(2023上·云南昆明·七年级统考期末)折纸中的数学我们在第四章《几何图形初 步》中学习了角的平分线,并会用折纸的方法作角平分线.如图是教材第135页的探究,将纸片折叠使 与 重合, 是折痕,此时 与 重合,所以 ,射线 是 的平分线. 【知识初探】 如图(1),四边形 是一张正方形纸片,将正方形纸片 沿 对折,把正方形 展平,再将 和 分别沿 和 折叠,使点 落在 上的点 处,使点 落在 上的点 处, 与 重合,则 __________度; __________度. 【类比再探】 如图(2),将正方形纸片 的 沿 折叠,使点A落在点 处,将 沿 折叠, 使点 落在点 处,点 与点 重合.猜想 的度数,并说明理由. 小官同学:猜想 . 理由如下: 沿 折叠, , 沿 折叠, , __________, __________. 【拓展探究】 如图(3),在图(2)的基础.上将正方形纸片 展平,然后将 和 分别沿和 再折叠,使点A落在 上的点 处,点 落在 上的点处.猜想 和 的数量关系,并说明理由. 【答案】【知识初探】 ,45;【类比再探】 ; ; ; 【拓展探究】 【分析】本题考查角平分线有关的计算问题,掌握角平分线的定义与审清题意是解题的关 键. 【知识初探】根据题意得出 是 的角平分线, 和 分别是 与 的 角平分线,据此可解; 【类比再探】由 沿 折叠可得 ,同理由 沿 折叠可得 ,再根据 , 即可 得到 ; 【拓展探究】由(2)知 ,从而得到 ,再用与(2)相同的 方法可得 . 【详解】解:【知识初探】由题意可知: 是 的角平分线, ∴ , 同理可得: 和 分别是 与 的角平分线, ∴ , , ∴ , 故答案为: ,45; 【类比再探】证明: 沿 折叠, , 沿 折叠, ,, 故答案为: ; ; ; 【拓展探究】 ,理由如下: 由(2)可知: , ∴ , ∵ 和 分别沿 和 再折叠, ∴ , ∴ . 举一反三4(2023上·甘肃武威·七年级校考期末)如图,直线 相交于点O, 平 分 . 平分 , ,求 的度数. 【答案】 【分析】本题主要考查了几何图形中角度的计算,角平分线的定义,先根据角平分线的定 义得到 ,再由角度之间的关系得 到 , ,再由平角的定义得到 ,据此求出 的度数即可得到答案. 【详解】解:∵ 平分 , 平分 , ∴ , ∵ , ∴ , , ∴ , ∵ ,∴ , ∴ , ∴ . 题型9 角n等分线的有关计算 例9(2022上·浙江杭州·七年级统考期末)如图,设锐角 的度数为 ,若一条射线 平分 ,则图中所有锐角的和为 .若四条射线五等分 ,则图中所有锐角的 和为( ) A. B. C. D.4a 【答案】A 【分析】本题考查了角度的计算,角的数量问题,根据题意可得每一个小角的度数为 , 进而将所有角的度数相加即可求解. 【详解】∵四条射线五等分 , ∴每个小角的度数为 .如图, 图中所有锐角的和为, 故选:A. 举一反三1(2023上·浙江杭州·七年级统考期末)如图, 平分 三等分 ,已知 ,求 的度数. 【答案】 【分析】本题考查n等分角的定义,根据角平分线得到 ,由三等分得到 ,根据角的和差得到 计算是解题的关键. 【详解】解: 平分 , ∴ , 又∵ 三等分 , ∴ , ∴ , ∴ . 举一反三2(2022上·山西吕梁·七年级统考期末)综合与实践 【问题发现】在数学探究课上,王老师带领同学们结束角平分线的探究后,安排同学打自 主探究角的三等分线.小明进行了如下探究,如图①,若射线 , 是 的三等 分线,则称更靠近 边的射线 是射线 的“友好线”,靠近 边的射线 是射线 的“友好线”.(1)如图②, ,射线 是射线 的友好线,求 的度数. (2)【问题探究】如图③, ,射线 与射线 重合并绕点O以每秒 的速度 逆时针方向旋转,与射线 重合时停止.问旋转几秒后, 是 的“友好线”. (3)【问题拓展】如图④, ,射线 , 分别与射线 , 重合,射线 绕点O以每秒 的速度逆时针方向旋转,同时射线 绕点O以每秒 的速度顺时针 方向旋转,是否存在某一刻 恰好是 的“友好线”,若存在,求出时间t秒;若不存 在,请说明理由. 【答案】(1) (2)旋转20秒后, 是 的“友好线” (3)存在;当 或 时, 恰好是 的“友好线” 【分析】(1)根据“友好线”定义求出 的度数即可; (2)根据“友好线”定义求出 的度数,然后再求出 的度数,根据旋转速度 求出旋转时间,即可得出答案; (3)分两种情况讨论,当 在 右侧时,当 在 左侧时,分别画出图形,列出关 于t的方程,解方程即可得出答案. 【详解】(1)解:∵ , ∴当射线 是射线 的“友好线”时, . (2)解:∵ ,∴当 是 的“友好线”时, , ∴ , ∴旋转时间为 (秒), 即旋转20秒后, 是 的“友好线”. (3)解:存在;当 或 时, 恰好是 的“友好线”. 当 在 右侧时,如图所示: 此时 , , ∵ 恰好是 的“友好线”, ∴ , ∴ , 解得: ; 当 在 右侧时,如图所示: 此时 , , ∵ 恰好是 的“友好线”, ∴ , ∴ , 解得: ;综上分析可知,当 或 时, 恰好是 的“友好线”. 【点睛】本题主要考查了几何图形中的角度计算,解题的关键是理解题目中“友好线”的 定义,数形结合,注意分类讨论. 一.单选题 1.(2022上·陕西渭南·七年级统考期末)已知 , ,则∠1与∠2的大 小关系是( ) A. B. C. D.无法确定 【答案】A 【分析】先把两个角统一化为度、分的形式,再比较即可得答案. 【详解】解:∵ , , , ∴ , 故选A. 【点睛】本题考查的是角的大小比较,解答本题的关键是先统一形式,注意角度制的进率 为60. 2.(2018上·北京·七年级统考期末)如图, 的大小可由量角器测得,则 的大小为( ) A. B. C. D. 【答案】B 【分析】本题考查角度的计算.熟练掌握量角器的使用方法,先确定 的大小,是解 题的关键. 【详解】由图可知: , ∴ .故选B. 3.(2022上·陕西西安·七年级校考期末)如图,已知 的度数比 少 ,若 的度数等于( ) A. B. C. D. 【答案】B 【分析】求出 , 根据 即可得到答案.此 题考查了角的相关计算,数形结合和明确各角之间的关系是解题的关键. 【详解】解:∵ 的度数比 少 , ∴ , ∵ ∴ ∴ , 故选:B 4.(2023上·重庆沙坪坝·七年级重庆八中校考期末)如图,已知轮船A在灯塔P的北偏东 方向,轮船B在灯塔P的南偏东 方向,则 的度数是( ) A. B. C. D. 【答案】C 【分析】根据 即可求解.【详解】解∶如图所示标注字母, 由题意知: , , ∴ . 故选:C. 【点睛】本题考查了方位角的特点以及角的计算,理解方位角的概念是解题的关键. 二.填空题 1.(2022上·四川遂宁·七年级统考期末)如图,已知 ,且图中所有角的和等 于 ,则 的度数为 . 【答案】 /54度 【分析】设 ,找出图中有6个角,它们相加的和为 ,从而求出 ,进 而可求得 . 【详解】解:如图,设 , , , , .故答案为: . 【点睛】本题考查了角的计算,根据图象列出所有角和为 是解此题的关键. 2.(2023上·浙江金华·七年级统考期末)比较大小: .(用>, <或=连结) 【答案】 【分析】将 化成 ,然后再进行比较即可. 【详解】解: , ∵ , ∴ , 故答案为: . 【点睛】本题主要考查的是角的大小比较,将 化成 是解题的关键. 3.(2023上·江苏南京·七年级期末)如图,一副三角板中,将一个三角板 角的顶点与 另一个三角板的直角顶点重合,如果 ,那么 的大小是 度. 【答案】57 【分析】本题主要考查角的计算,根据已知角求出未知角即可得到答案. 【详解】解:由于在三角板中, , , , . 故答案为: . 4.(2023上·四川成都·七年级统考期末)如图,当钟表上时刻为上午 正时,钟表上时针与分针的夹角为 度. 【答案】 【分析】根据钟表上时针 小时转 , 小时转 ,即可. 【详解】∵钟表上时针 小时转 , 小时转 ∴钟表上时刻为上午 正时,钟表上时针与分针的夹角为: 故答案为: . 【点睛】本题考查角的计算,解题的关键是掌握角的计算,掌握钟表上时针 小时转 , 小时转 . 三.解答题 1.(2022上·江苏淮安·七年级校考期末)【新概念】如图1, 为 内一条射线, 当满足 时,我们把射线 叫做射线 、 的m等个性线,记作 .(其中m为正整数) 【实际应用】已知:O为直线 上一点,过O点作射线 . (1)如图2,将一个三角板(含 、 )直角顶点D放在O处,另两条边分别为 , ,当 是 时, ___________ .(填“是”或“不是”). (2)如图3,将三角板的 顶点E放在O处,那么当 是 时, 是否也是?请先猜想结果,再说明理由. (3)将图3中的射线 绕O点逆时针旋转 ,如图4,此时存在正整数m使 是 的同时, 也是 ,则 ___________, ___________. 【答案】(1)是 (2) 是 ,理由见解析 (3) ,4 【分析】(1)由 是 可得 ,由 可得 , ,进而得出 ,可知 是 ; (2)由 是 可得 ,由 可得 , ,进而得出 ,可知 是 ; (3)由m等个性线的定义可得 , 由此可得m与 的关系,再根据 ,m是正整数,即可求解. 【详解】(1)解: 是 , , , , , , , , ,是 , 故答案为:是; (2)解: 是 ,理由如下: 是 , , , , , , , , , 是 ; (3)解: 是 , , 同理, 是 , , , , , , , 又 m是正整数, , , , 故答案为: ,4.【点睛】本题考查角n等分线的计算问题、角的和差关系等,解题的关键是理解m等个性 线的定义. 2.(2022下·广东茂名·七年级校联考期中)将直角三角板 的直角顶点O放在直线 上,射线 平分 . (1)如图,若 ,求 的度数; (2)若 ,求 的度数; (3)将直角三角板 绕顶点O按逆时针方向旋转,在旋转过程中,当 时, 求 的度数. 【答案】(1) (2) (3) 或 【分析】(1)根据 求解即可得; (2)设 ,则 , ,根据角平分线的定义可得 , 再根据 建立方程,解方程可得 的值,由此即可得; (3)分两种情况:① 在直线 上方,② 在直线 下方,求出 的度数,再 根据角的和差求解即可得. 【详解】(1)解:∵直角三角板 的直角顶点为点 , , , . (2)解:设 ,则 , , 射线 平分 , ,又 , , 解得 , . (3)解:①如图,当 在直线 上方时, , , 射线 平分 , , , ; ②如图,当 在直线 下方时, , , 射线 平分 , , , , 综上, 的度数为 或 .【点睛】本题考查了角的和差、角平分线、一元一次方程的应用,较难的是题(3),正确 分两种情况讨论是解题关键.