当前位置:首页>文档>专题09直线、射线、线段与角、余角、补角之十一大题型(解析版)_初中数学人教版_7上-初中数学人教版_7上-初中数学人教版(旧版)赠送_06习题试卷_6期中期末复习专题

专题09直线、射线、线段与角、余角、补角之十一大题型(解析版)_初中数学人教版_7上-初中数学人教版_7上-初中数学人教版(旧版)赠送_06习题试卷_6期中期末复习专题

  • 2026-04-09 20:40:04 2026-03-27 05:46:08

文档预览

专题09直线、射线、线段与角、余角、补角之十一大题型(解析版)_初中数学人教版_7上-初中数学人教版_7上-初中数学人教版(旧版)赠送_06习题试卷_6期中期末复习专题
专题09直线、射线、线段与角、余角、补角之十一大题型(解析版)_初中数学人教版_7上-初中数学人教版_7上-初中数学人教版(旧版)赠送_06习题试卷_6期中期末复习专题
专题09直线、射线、线段与角、余角、补角之十一大题型(解析版)_初中数学人教版_7上-初中数学人教版_7上-初中数学人教版(旧版)赠送_06习题试卷_6期中期末复习专题
专题09直线、射线、线段与角、余角、补角之十一大题型(解析版)_初中数学人教版_7上-初中数学人教版_7上-初中数学人教版(旧版)赠送_06习题试卷_6期中期末复习专题
专题09直线、射线、线段与角、余角、补角之十一大题型(解析版)_初中数学人教版_7上-初中数学人教版_7上-初中数学人教版(旧版)赠送_06习题试卷_6期中期末复习专题
专题09直线、射线、线段与角、余角、补角之十一大题型(解析版)_初中数学人教版_7上-初中数学人教版_7上-初中数学人教版(旧版)赠送_06习题试卷_6期中期末复习专题
专题09直线、射线、线段与角、余角、补角之十一大题型(解析版)_初中数学人教版_7上-初中数学人教版_7上-初中数学人教版(旧版)赠送_06习题试卷_6期中期末复习专题
专题09直线、射线、线段与角、余角、补角之十一大题型(解析版)_初中数学人教版_7上-初中数学人教版_7上-初中数学人教版(旧版)赠送_06习题试卷_6期中期末复习专题
专题09直线、射线、线段与角、余角、补角之十一大题型(解析版)_初中数学人教版_7上-初中数学人教版_7上-初中数学人教版(旧版)赠送_06习题试卷_6期中期末复习专题
专题09直线、射线、线段与角、余角、补角之十一大题型(解析版)_初中数学人教版_7上-初中数学人教版_7上-初中数学人教版(旧版)赠送_06习题试卷_6期中期末复习专题
专题09直线、射线、线段与角、余角、补角之十一大题型(解析版)_初中数学人教版_7上-初中数学人教版_7上-初中数学人教版(旧版)赠送_06习题试卷_6期中期末复习专题
专题09直线、射线、线段与角、余角、补角之十一大题型(解析版)_初中数学人教版_7上-初中数学人教版_7上-初中数学人教版(旧版)赠送_06习题试卷_6期中期末复习专题
专题09直线、射线、线段与角、余角、补角之十一大题型(解析版)_初中数学人教版_7上-初中数学人教版_7上-初中数学人教版(旧版)赠送_06习题试卷_6期中期末复习专题
专题09直线、射线、线段与角、余角、补角之十一大题型(解析版)_初中数学人教版_7上-初中数学人教版_7上-初中数学人教版(旧版)赠送_06习题试卷_6期中期末复习专题
专题09直线、射线、线段与角、余角、补角之十一大题型(解析版)_初中数学人教版_7上-初中数学人教版_7上-初中数学人教版(旧版)赠送_06习题试卷_6期中期末复习专题
专题09直线、射线、线段与角、余角、补角之十一大题型(解析版)_初中数学人教版_7上-初中数学人教版_7上-初中数学人教版(旧版)赠送_06习题试卷_6期中期末复习专题
专题09直线、射线、线段与角、余角、补角之十一大题型(解析版)_初中数学人教版_7上-初中数学人教版_7上-初中数学人教版(旧版)赠送_06习题试卷_6期中期末复习专题
专题09直线、射线、线段与角、余角、补角之十一大题型(解析版)_初中数学人教版_7上-初中数学人教版_7上-初中数学人教版(旧版)赠送_06习题试卷_6期中期末复习专题
专题09直线、射线、线段与角、余角、补角之十一大题型(解析版)_初中数学人教版_7上-初中数学人教版_7上-初中数学人教版(旧版)赠送_06习题试卷_6期中期末复习专题
专题09直线、射线、线段与角、余角、补角之十一大题型(解析版)_初中数学人教版_7上-初中数学人教版_7上-初中数学人教版(旧版)赠送_06习题试卷_6期中期末复习专题
专题09直线、射线、线段与角、余角、补角之十一大题型(解析版)_初中数学人教版_7上-初中数学人教版_7上-初中数学人教版(旧版)赠送_06习题试卷_6期中期末复习专题
专题09直线、射线、线段与角、余角、补角之十一大题型(解析版)_初中数学人教版_7上-初中数学人教版_7上-初中数学人教版(旧版)赠送_06习题试卷_6期中期末复习专题
专题09直线、射线、线段与角、余角、补角之十一大题型(解析版)_初中数学人教版_7上-初中数学人教版_7上-初中数学人教版(旧版)赠送_06习题试卷_6期中期末复习专题
专题09直线、射线、线段与角、余角、补角之十一大题型(解析版)_初中数学人教版_7上-初中数学人教版_7上-初中数学人教版(旧版)赠送_06习题试卷_6期中期末复习专题
专题09直线、射线、线段与角、余角、补角之十一大题型(解析版)_初中数学人教版_7上-初中数学人教版_7上-初中数学人教版(旧版)赠送_06习题试卷_6期中期末复习专题
专题09直线、射线、线段与角、余角、补角之十一大题型(解析版)_初中数学人教版_7上-初中数学人教版_7上-初中数学人教版(旧版)赠送_06习题试卷_6期中期末复习专题
专题09直线、射线、线段与角、余角、补角之十一大题型(解析版)_初中数学人教版_7上-初中数学人教版_7上-初中数学人教版(旧版)赠送_06习题试卷_6期中期末复习专题
专题09直线、射线、线段与角、余角、补角之十一大题型(解析版)_初中数学人教版_7上-初中数学人教版_7上-初中数学人教版(旧版)赠送_06习题试卷_6期中期末复习专题
专题09直线、射线、线段与角、余角、补角之十一大题型(解析版)_初中数学人教版_7上-初中数学人教版_7上-初中数学人教版(旧版)赠送_06习题试卷_6期中期末复习专题
专题09直线、射线、线段与角、余角、补角之十一大题型(解析版)_初中数学人教版_7上-初中数学人教版_7上-初中数学人教版(旧版)赠送_06习题试卷_6期中期末复习专题
专题09直线、射线、线段与角、余角、补角之十一大题型(解析版)_初中数学人教版_7上-初中数学人教版_7上-初中数学人教版(旧版)赠送_06习题试卷_6期中期末复习专题
专题09直线、射线、线段与角、余角、补角之十一大题型(解析版)_初中数学人教版_7上-初中数学人教版_7上-初中数学人教版(旧版)赠送_06习题试卷_6期中期末复习专题
专题09直线、射线、线段与角、余角、补角之十一大题型(解析版)_初中数学人教版_7上-初中数学人教版_7上-初中数学人教版(旧版)赠送_06习题试卷_6期中期末复习专题
专题09直线、射线、线段与角、余角、补角之十一大题型(解析版)_初中数学人教版_7上-初中数学人教版_7上-初中数学人教版(旧版)赠送_06习题试卷_6期中期末复习专题
专题09直线、射线、线段与角、余角、补角之十一大题型(解析版)_初中数学人教版_7上-初中数学人教版_7上-初中数学人教版(旧版)赠送_06习题试卷_6期中期末复习专题
专题09直线、射线、线段与角、余角、补角之十一大题型(解析版)_初中数学人教版_7上-初中数学人教版_7上-初中数学人教版(旧版)赠送_06习题试卷_6期中期末复习专题
专题09直线、射线、线段与角、余角、补角之十一大题型(解析版)_初中数学人教版_7上-初中数学人教版_7上-初中数学人教版(旧版)赠送_06习题试卷_6期中期末复习专题
专题09直线、射线、线段与角、余角、补角之十一大题型(解析版)_初中数学人教版_7上-初中数学人教版_7上-初中数学人教版(旧版)赠送_06习题试卷_6期中期末复习专题
专题09直线、射线、线段与角、余角、补角之十一大题型(解析版)_初中数学人教版_7上-初中数学人教版_7上-初中数学人教版(旧版)赠送_06习题试卷_6期中期末复习专题
专题09直线、射线、线段与角、余角、补角之十一大题型(解析版)_初中数学人教版_7上-初中数学人教版_7上-初中数学人教版(旧版)赠送_06习题试卷_6期中期末复习专题
专题09直线、射线、线段与角、余角、补角之十一大题型(解析版)_初中数学人教版_7上-初中数学人教版_7上-初中数学人教版(旧版)赠送_06习题试卷_6期中期末复习专题
专题09直线、射线、线段与角、余角、补角之十一大题型(解析版)_初中数学人教版_7上-初中数学人教版_7上-初中数学人教版(旧版)赠送_06习题试卷_6期中期末复习专题
专题09直线、射线、线段与角、余角、补角之十一大题型(解析版)_初中数学人教版_7上-初中数学人教版_7上-初中数学人教版(旧版)赠送_06习题试卷_6期中期末复习专题
专题09直线、射线、线段与角、余角、补角之十一大题型(解析版)_初中数学人教版_7上-初中数学人教版_7上-初中数学人教版(旧版)赠送_06习题试卷_6期中期末复习专题
专题09直线、射线、线段与角、余角、补角之十一大题型(解析版)_初中数学人教版_7上-初中数学人教版_7上-初中数学人教版(旧版)赠送_06习题试卷_6期中期末复习专题
专题09直线、射线、线段与角、余角、补角之十一大题型(解析版)_初中数学人教版_7上-初中数学人教版_7上-初中数学人教版(旧版)赠送_06习题试卷_6期中期末复习专题
专题09直线、射线、线段与角、余角、补角之十一大题型(解析版)_初中数学人教版_7上-初中数学人教版_7上-初中数学人教版(旧版)赠送_06习题试卷_6期中期末复习专题
专题09直线、射线、线段与角、余角、补角之十一大题型(解析版)_初中数学人教版_7上-初中数学人教版_7上-初中数学人教版(旧版)赠送_06习题试卷_6期中期末复习专题
专题09直线、射线、线段与角、余角、补角之十一大题型(解析版)_初中数学人教版_7上-初中数学人教版_7上-初中数学人教版(旧版)赠送_06习题试卷_6期中期末复习专题
专题09直线、射线、线段与角、余角、补角之十一大题型(解析版)_初中数学人教版_7上-初中数学人教版_7上-初中数学人教版(旧版)赠送_06习题试卷_6期中期末复习专题
专题09直线、射线、线段与角、余角、补角之十一大题型(解析版)_初中数学人教版_7上-初中数学人教版_7上-初中数学人教版(旧版)赠送_06习题试卷_6期中期末复习专题

文档信息

文档格式
docx
文档大小
3.964 MB
文档页数
47 页
上传时间
2026-03-27 05:46:08

文档内容

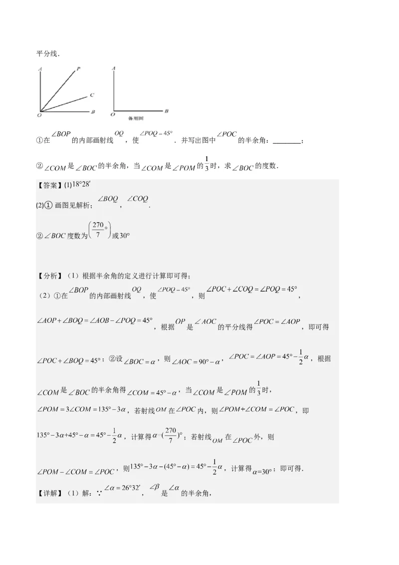
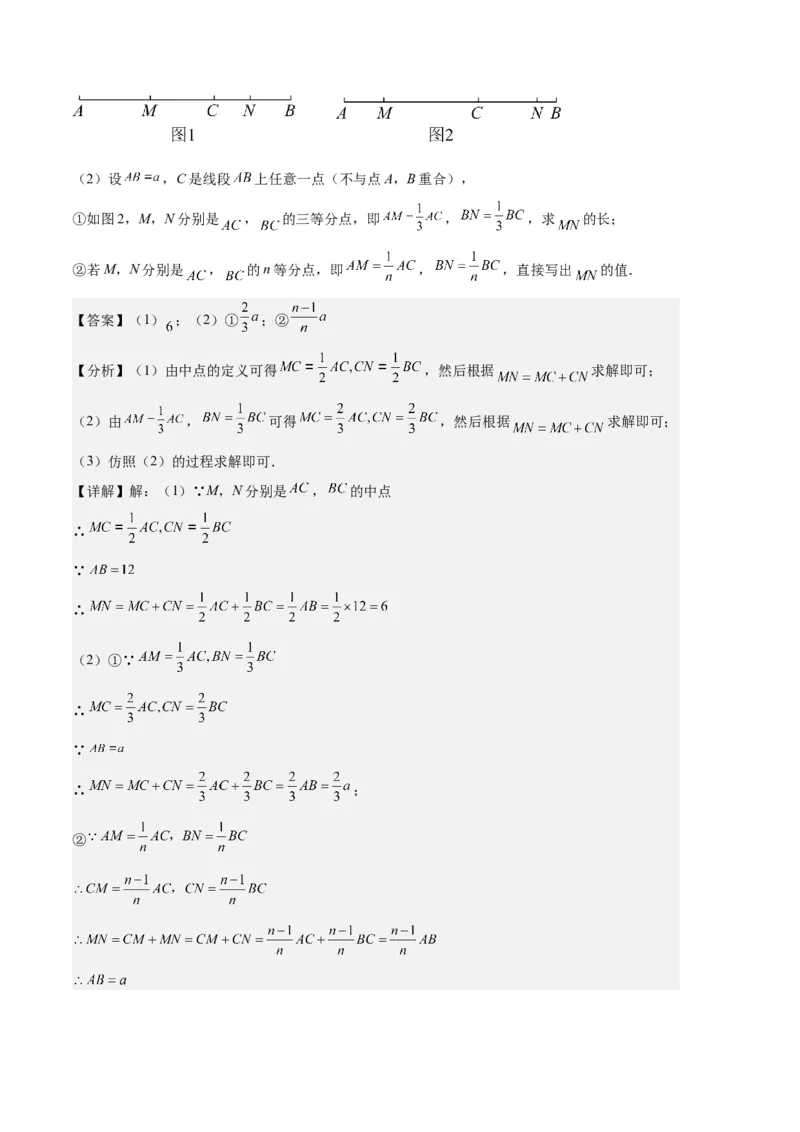
专题 09 直线、射线、线段与角、余角、补角之十一大题型 两点确定一条直线 例题:(2023秋·河南安阳·七年级校考期末)在安装如图所示的挂衣钩时,小明先在墙上标记两个 固定孔,就可以预先确定好挂衣钧合适的位置,这样做的依据是: . 【答案】两点确定一条直线 【分析】根据直线的性质解答即可. 【详解】解:这样做的依据是:两点确定一条直线. 故答案为:两点确定一条直线. 【点睛】本题考查了直线的性质,熟练掌握两点确定一条直线是解答本题的关键. 【变式训练】 1.(2023上·山西太原·七年级校考期末)在下列生活,生产现象中,不可以用基本事实“两点确 定一条直线”来解释的是( )A. B. C. D. 【答案】D 【分析】直接利用直线的性质和线段的性质逐一分析,即可得到答案. 【详解】解:A、可以用“两点确定一条直线”来解释,不符合题意,选项错误; B、可以用“两点确定一条直线”来解释,不符合题意,选项错误; C、可以用“两点确定一条直线”来解释,不符合题意,选项错误; D、可以用“两点间线段最短”来解释,符合题意,选项正确; 故选D. 【点睛】本题考查了直线的性质和线段的性质,正确理解相关性质是解题关键. 2.(2023上·新疆和田·七年级和田市第三中学校考期末)木工师傅在锯木料时,先在木板上取出 两点,然后弹出一条墨线,这是利用了 的原理 【答案】两点确定一条直线 【分析】依据两点确定一条直线来解答即可. 【详解】解:在木板上画出两个点,然后过这两点弹出一条墨线,此操作的利用了两点确定一条直 线. 故答案为:两点确定一条直线. 【点睛】本题考查的是直线的性质,掌握直线的性质是解题关键. 两点之间线段最短 例题:(2022秋·湖北咸宁·七年级统考期末)如图:“小草青青,足下留情”,为抄近路践踏草坪 是一种不文明的现象,请你用数学知识解释出这一不文明现象的原因是: ,【答案】两点之间线段最短 【分析】根据两点之间线段最短即可求解. 【详解】解:依题意,为抄近路践踏草坪是因为两点之间线段最短, 故答案为:两点之间线段最短. 【点睛】本题考查了两点之间线段最短,熟练掌握两点之间线段最短是解题的关键. 【变式训练】 1.(2023上·云南昆明·七年级统考期末)小敏从金马碧鸡坊去往云南民族村,打开导航,显示两 地直线距离为 ,但导航提供的三条可选路线长却分别为 , 和 (如图),能 解释这一现象的数学知识是 ( ) A.两点之间,线段最短 B.垂线段最短 C.两点之间,直线最短 D.两点确定一条直线 【答案】A 【分析】根据线段的性质:两点之间,线段最短,可得答案. 【详解】解:打开导航,显示两地直线距离为 ,但导航提供的三条可选路线长却分别为 , 和 (如图),能解释这一现象的数学知识是 “两点之间,线段最短”,故A 正确. 故选:A. 【点睛】本题考查了线段的性质,熟记线段的性质并应用是解题的关键. 2.(2023上·吉林长春·七年级统考期末)如图,从A地到B地有三条路径,当人们希望路程越短越好时,往往选择线段 ,这里体现的数学基本事实是 . 【答案】两点之间,线段最短 【分析】根据两点之间线段最短解答. 【详解】解:在路径: , 以及曲线路线中, 最近,因为两点之间,线段最 短. 故答案为:两点之间,线段最短. 【点睛】本题考查了线段的性质,熟记两点之间,线段最短是解题的关键. 作图——画直线、射线、线段 例题:(2023上·吉林长春·七年级统考期末)如图,平面上有四个点 , , , .按要求完成 下列问题: (1)连结 . (2)画射线 ,射线 与线段 相交于点 . 【答案】(1)见解析 (2)见解析 【分析】(1)根据题意作图即可; (2)根据题意作图即可. 【详解】(1)解:如图:(2)解:如图: 【点睛】本题考查了作图——射线,线段,熟练掌握射线,线段的定义是解题的关键. 【变式训练】 1.(2023上·甘肃白银·七年级统考期末)如图,平面上有三点 、 、 ,请按照下列语句画出 图形并作答. (1)画直线 ,射线 ; (2)连接 ,并延长 至点 ,使 ,取 的中点 ; (3)若 ,求线段 的长. 【答案】(1)见解析 (2)见解析 (3)11 【分析】(1)根据直线、射线的定义作图即可; (2)按要求作图即可; (3)先根据 求出 ,再根据中点的定义求出 ,即可求解. 【详解】(1)解:图形如图所示:(2)解:图形如图所示: (3)解:∵ , ∴ , ∵点 是 的中点, ∴ , ∴ . 【点睛】本题考查直线,射线,中点的定义,线段的和差关系等,属于基础题,熟练掌握定义是解 题的关键. 2.(2023上·河北唐山·七年级统考期末)如图,在同一个平面内有四个点,请用直尺和圆规按下 列要求作图(不写作图步骤,保留作图痕迹,而且要求作图时先使用铅笔画出,确定后再使用黑色 字迹的签字笔描黑): (1)作射线 ; (2)作直线 与直线 相交于点 ; (3)在射线 上作线段 ,使线段 与线段 相等. 【答案】(1)见解析 (2)见解析 (3)见解析 【分析】(1)根据射线的含义作图即可; (2)根据直线的含义按要求作图即可; (3)根据作一条线段等于已知线段作图即可. 【详解】(1)解:作射线 ,如图所示;; (2)解:作直线 与直线 相交于点 ,如图所示; (3)解:用圆规在射线 上截取 ,线段 即为所求. 【点睛】本题考查了作线段、直线和射线的基本作图,作一条线段等于已知线段,难度不大,属于 基础题. 线段的应用 例题:(2023秋·河南许昌·七年级统考期末)2022年9月8日,随着列车从郑州港区段鸣笛出发, 郑许市域铁路开始空载试运行,未来“双城生活模式”指日可待.图中展示了郑许市域铁路的其中 五个站点,若要满足乘客在这五个站点之间的往返需求,铁路公司需要准备 种不同的车票. 【答案】20 【分析】先求得单程的车票数,在求出往返的车票数即可. 【详解】解:5个点中线段的总条数是 (种), ∵任何两站之间,往返两种车票, ∴应印制 (种), 故答案为:20. 【点睛】此题考查了数线段,解决本题的关键是掌握“直线上有 个点,则线段的数量有 条”. 【变式训练】 1.(2023上·浙江金华·七年级统考期末)从杭州东站出发到金华南站的动车,中途要停靠诸暨站和义乌站,则铁路部门供旅客购买的火车票要准备( ) A.12种 B.10种 C.6种 D.4种 【答案】A 【分析】一共有4个站,由一个站到其它3个站就需要3张不同的车票,由此可求出车票总数. 【详解】解:根据题意,一共有4个站,由一个站到其它3个站就需要3张不同的车票, ∴铁路部门供旅客购买的火车票要准备 (种), 故选:A. 【点睛】本题考查线段,解答的关键是理解题意,熟知两站之间有两种不同的车票,不能遗漏返程 票. 2.(2021上·浙江衢州·七年级统考期末)杭衢高铁线上,要保证衢州、金华、义乌、诸暨、杭州 每两个城市之间都有高铁可乘,需要印制不同的火车票( ) A.20种 B.15种 C.10种 D.5种 【答案】A 【分析】先求出线段的条数,再计算车票的种数. 【详解】解:需要印制不同的火车票的种数是:2(1+2+3+4)=20(种). 故选:A. 【点睛】本题考查了线段的运用.注意根据规律计算的同时,还要注意火车票需要考虑往返情况. 线段中点的有关计算 例题:(2023上·云南红河·七年级统考期末)如图,已知线段 , ,点M是 的中 点. (1)求线段 的长; (2)在 上取一点N,使得 ,求线段 的长. 【答案】(1)4 (2)10 【分析】(1)先求出 ,再根据中点的定义求解即可; (2)根据 , ,得出 .再求出 ,看根据 ,即可求解.【详解】(1)解:线段 , , ∴ . 又∵点M是 的中点. ∴ , 答:线段 的长度是4. (2)解:∵ , , ∴ . 又∵点M是 的中点, , ∴ , ∴ , 答: 的长度是10. 【点睛】本题主要考查了线段之间的和差关系,解题的关键是掌握中点的定义,结合图形得出线段 之间的和差关系. 【变式训练】 1.(2023上·河南漯河·七年级校考期末)如图, 为线段 上一点,点 为 的中点,且 , . (1)图中共有______条线段. (2)求 的长. (3)若点E在直线 上,且 ,求 的长. 【答案】(1)6 (2) (3) 或 【分析】(1)根据线段的定义数出结果即可; (2)先求 ,再求 即可; (3)分两种情况讨论:①点 在线段 上,根据 ;②点 在线段 延长线上, 根据 进行计算即可. 【详解】(1)解:图中共有 ,共6条线段, 故答案为:6;(2) 点 为 的中点, , , , ,即 , ; (3)分两种情况讨论: ①点 在线段 上, ; ②点 在线段 延长线上, . 综上: 或 . 【点睛】本题考查了两点间的距离公式,掌握线段的计算方法是解题的关键. 2.(重庆市开州区2022-2023学年七年级上学期期末数学试题)已知点B在线段AC上,点D在线 段AB上. (1)如图1,若 , ,D为线段AC的中点,求线段DB的长度; (2)如图2.若 ,E为线段AB的中点, ,求线段AC的长度. 【答案】(1)1cm (2)12cm 【分析】(1)由线段的中点,线段的和差求出线段 的长度为 ; (2)设 ,由线段的中点,线段的和差倍分求出 , ,根据 可得 ,解方程即可求解. 【详解】(1)解:如图1所示:∵ , , ∴ , 又∵D为线段 的中点, ∴ , ∴ ; (2)解:如图2所示,设 , ∵ , ∴ , , ∴ , ∴ , ∵E为线段 的中点, ∴ , ∴ , 又∵ , ∴ , 解得: , ∴ . 【点睛】本题综合考查了线段的中点,线段的和差倍分等相关知识点,重点掌握直线上两点之间的 距离公式计算方法. 线段n等分点的有关计算 例题:(2023秋·四川成都·七年级统考期末)(1)如图1,点C在线段 上,M,N分别是 , 的中点.若 , ,求 的长;(2)设 ,C是线段 上任意一点(不与点A,B重合), ①如图2,M,N分别是 , 的三等分点,即 , ,求 的长; ②若M,N分别是 , 的n等分点,即 , ,直接写出 的值. 【答案】(1) ;(2)① ;② 【分析】(1)由中点的定义可得 ,然后根据 求解即可; (2)由 , 可得 ,然后根据 求解即可; (3)仿照(2)的过程求解即可. 【详解】解:(1)∵M,N分别是 , 的中点 ∴ ∵ ∴ (2)①∵ ∴ ∵ ∴ ; ②. 【点睛】本题考查线段的中点、线段的和差,解题的关键是掌握线段中点的定义及线段和差运算. 【变式训练】 1.(2023秋·陕西宝鸡·七年级校考期末)如图,已知点B在线段 上, , ,P、Q 分别为线段 、 上两点, , ,则线段 的长为 . 【答案】7 【分析】根据已知条件算出BP和CQ,从而算出BQ,再利用PA=BP+BQ得到结果. 【详解】解:∵AB=9,BP= AB, ∴BP=3, ∵BC=6,CQ= BC, ∴CQ=2, ∴BQ=BC-CQ=6-2=4, ∴PQ=BP+BQ=3+4=7, 故答案为:7. 【点睛】本题考查了两点间距离,线段的和差,熟练掌握线段上两点间距离的求法,灵活运用线段 的和差倍分关系解题是关键. 2.(2023上·湖北十堰·七年级统考期末)根据题意,填空完善解答过程:已知,线段 ,C 是直线 上的一点,M,N分别是线段 的三等分点,且 . (1)如图1,当点C在线段 上时,求 的长; (2)如图2,当点C在 延长线上时,求 的长; (3)当点C在 延长线上时,画出图形,并模仿上述两问的解答过程,求 的长. 【答案】(1)6 (2)6 (3)见解析,6【分析】(1)由 可得 、 ,然后根据图形可得 即可解答; (2)根据图形可得 即可解答; (3)根据图形可得当点C在 延长线上时, . 【详解】(1)解:∵ , ∴ , , , , 如图1:当点C在线段AB上时, . (2)解: 如图2:当点C在AB延长线上时, . (3)解:如图: 当点C在 延长线上时, . 【点睛】本题主要考查了线段的和差、线段的等分点等知识点,正确化出图形成为解答本题的关键. 求一个角的余角、补角 例题:(22·23上·省直辖县级单位·期末)若 ,则 的余角等于 , 的补 角等于 . 【答案】 【分析】两个角的和为 ,则这两个角互余,两个角的和为 则这两个角互为补角,根据互 余与互补的定义求解即可. 【详解】解: , ∠α的余角= ∠α的补角= 故答案为: , .【点睛】本题考查的是互余与互补的含义,角的四则运算中的减法运算,掌握“互余与互补的含 义”是解本题的关键. 【变式训练】 1.(22·23上·内江·期末)如果 ,那么 的余角等于 ; 的补角为 . 【答案】 /65度 /155度 【分析】利用两角互余及互补的定义,进行计算,即可求解. 【详解】解: , 的余角为: , 的补角为: , 故答案为: , . 【点睛】本题考查了两角互余及互补的定义,牢固掌握两角互余及互补的定义,发现隐含条件:两 角之和是 或 ,并能熟练运用. 2.(22·23上·南京·期末)若 ,则 的余角为 °, 的补角为 °. 【答案】 【分析】根据两个角的和等于 (直角),就说这两个角互为余角,两个角的和等于 (平 角),就说这两个角互为补角,列式计算即可. 【详解】 的余角: , 的补角: , 故答案为: 、 . 【点睛】本题考查余角和补角,解题的关键是掌握余角和补角的定义,根据定义列式计算. 角平分线的有关计算 例题:(2023秋·河南南阳·七年级统考期末)已知O为直线 上一点, 是直角, 平分 . (1)如图①,若 ,则 __________;若 ,则 __________;与 的数量关系为__________; (2)当射线 绕点O逆时针旋转到图②的位置时,(1)中 与 的数量关系是否仍然成 立?请说明理由. 【答案】(1)(1) ; ; (2) 仍然成立,理由见解析 【分析】(1)先求得 ,再根据角平分线的定义求得 ,再根据平角定义求解 即可; (2)设 ,仿照(1)中方法,先求得 ,再根据角平分线的定义求得 ,再根据平角定义求解即可. 【详解】(1)解:∵ 是直角, , ∴ , ∵ 平分 , ∴ , ∴ , 则 , 若 ,则 , 故答案为: ; ; . (2)解: 仍然成立,理由为: 如图2,设 , ∵ 是直角, ∴ , ∵ 平分 , ∴ , ∴ , 则 . 【点睛】本题考查直角、平角定义、角平分线的定义,根据相关定义求解是解答的关键. 【变式训练】 1.(2023上·吉林长春·七年级统考期末)如图, , , 平分 , 平分 .(1)求 的度数. (2)若 , ,用含 、 的代数式表示 的度数为______ . 【答案】(1) ; (2) 【分析】(1)先求得 的度数,然后由角平分线的定义可知 , , 最后根据 求解即可; (2)先求得 α ,由角平分线的定义可知 α , ,最后根 据 求解即可. 【详解】(1)解:∵ , , ∴ . 由角平分线的性质可知: , . ∵ , ∴ ; (2)解:∵ , , ∴ . 由角平分线的性质可知: , . ∵ , ∴ . 【点睛】本题主要考查的是角的计算、角平分线的定义,求得 和 的大小,然后再 依据 求解是解题的关键.2.(2023下·山东聊城·七年级统考期末)如图,已知点 是直线 上一点,射线 分别是 、 的平分线. (1)若 ,求 的度数. (2)如果把“ ”条件去掉,那么 的度数有变化吗?请说明理由. 【答案】(1) ; (2)不会有变化,理由见解析. 【分析】(1)利用角平分线的定义得 ,根据邻补角的定义求得 , 再根据角平分线的定义求出 ,然后根据 即可求解; (2)由角平分线的定义得 ,再根据角的和差得 ,代入整理可得结论. 【详解】(1) 射线 分别是 的平分线, , , 射线 分别是 的平分线, , ; (2)不会有变化,理由如下: ∵射线 分别是 的平分线, ∴ , ∵ , , ,, 的度数没有变化. 【点睛】本题考查了角平分线的定义,邻补角的定义,此题关键是充分利用角平分线的定义. 三角板中角度计算问题 例题:(2023上·江西上饶·七年级校联考期末)如图,这是一副顶点重合的直角三角板,已知 ∠BAC=60°, ,则 的大小是 . 【答案】 【分析】先求出 的度数,然后利用余角解题即可. 【详解】解:如图, ∵ , , ∴ , ∴ 故答案为: . 【点睛】本题考查三角板中角的和差,结合图形运用角的和差计算是解题的关键. 【变式训练】 1.(2023上·浙江金华·七年级统考期末)如图,将一副三角板的顶点重合放置,三角板 绕点 旋转.当 时, °【答案】130或170/170或130 【分析】分两种情况讨论:当三角板 绕点 顺时针旋转时,当三角板 绕点 逆时针旋转 时,先求出 的度数,再根据 和 求解即可. 【详解】当OB在∠COD内部时, , ∴ ; 当OB在∠COD外部时, , ∴ ; 故答案为:130或170. 【点睛】本题考查了角的和差,熟知三角板中各角度和运用分类讨论的思想是解题的关键. 2.(2023下·辽宁沈阳·七年级统考期末)在数学实践活动课上,“奋进”小组准备研究如下问题: 如图,点A,O,B在同一条直线上,将一直角三角尺如图1放置,使直角顶点重合于点O, 是直角,OE平分 . 问题发现: (1)如图1,若 ,则 的度数为______; (2)将这一直角三角尺如图2放置,其他条件不变,探究 和 的度数之间的关系,写出 你的结论,并证明.【答案】(1) (2) ,证明见解析 【分析】(1)先求解 再利用角平分线的含义求解 再利用角的和差关系可得答案; (2)先求解 ,再利用角平分线的定义可得 ,再利用角的和 差关系可得结论; 【详解】(1)解: 平分 故答案为: ; (2) . 理由:因为 是直角 所以 所以 因为 平分 所以 所以 所以 . 【点睛】本题考查的是角平分线的含义,角的和差运算,掌握“几何图形中角的和差关系”是解本 题的关键.角n等分线的有关计算 例题:(2023秋·山西大同·七年级统考期末)在 的内部作射线 ,射线 把 分成 两个角,分别为 和 ,若 或 ,则称射线 为 的三等分线.若 ,射线 为 的三等分线,则 的度数为 ( ) A. B. C. 或 D. 或 【答案】C 【分析】根据题意得出 或 ,再根据角之间的数量关系,得出 , 综合即可得出答案. 【详解】解:∵ ,射线 为 的三等分线. ∴ 或 , ∴ , ∴ 的度数为 或 . 故选:C. 【点睛】本题考查了角度的计算,理解题意,分类讨论是解本题的关键. 【变式训练】 1.(2023秋·浙江湖州·七年级统考期末)定义:从 的顶点出发,在角的内部引一条射线 , 把 分成 的两部分,射线 叫做 的三等分线.若在 中,射线 是 的三等分线,射线 是 的三等分线,设 ,则 用含x的代数式表 示为( ) A. 或 或 B. 或 或 C. 或 或 D. 或 或 【答案】C 【分析】分四种情况,分别计算,即可求解. 【详解】解:如图:射线 是 的三等分线,射线 是的三等分线, 则 , , ; 如图:射线 是 的三等分线,射线 是 的 三等分线, 则 , , ; 如图:射线 是 的三等分线,射线 是 的 三等分线, 则 , , ;如图:射线 是 的三等分线,射线 是 的 三等分线, 则 , , ; 综上, 为 或 或 , 故选:C. 【点睛】本题考查了角的有关计算,画出图形,采用分类讨论的思想是解决本题的关键. 2.(2023秋·福建龙岩·七年级统考期末)已知 ,以射线 为起始边,按顺时针方向依 次作射线 、 ,使得 ,设 , . (1)如图1,当 时,若 ,求 的度数; (2)备用图①,当 时,试探索 与 的数量关系,并说明理由; (3)备用图②,当 时,分别在 内部和 内部作射线 , ,使 , ,求 的度数. 【答案】(1) ; (2) ;理由见解析; (3) 【分析】(1)根据图形可知 ,继而根据 ,即可 求解; (2)根据图形得出 ,计算 ,即可得出结论;(3)分两种情况讨论,①当 时,射线 与 重合,射线 与 互为反向延长线, ②当 时,如图4,射线 、 在 的外部,结合图形分析即可求解. 【详解】(1)如图1, , 在 内部, , , , , ; (2) ;理由如下:如图2, , 射线 、 分别在 内、外部, , , , ; (3)①当 时,射线 与 重合,射线 与 互为反向延长线, 则 , ,如图3, , , , , ; ②当 时,如图4,射线 、 在 的外部,如图4,则 , , , , , , , . 综合①②得 . 【点睛】本题考查了结合图形中角度的计算,数形结合是解题的关键. 与余角、补角、角平分线有关角的综合问题 例题:(2023上·河南驻马店·七年级统考期末)如图,点O是直线 上一点, 平分 , 在直线 另一侧以O为顶点作 . (1)若 ,那么 __________﹔ 与 的关系是__________; (2) 与 有什么数量关系?请写出你的结论并说明理由. 【答案】(1) , 互余(2)∠AOE+∠COD=180°,见解析 【分析】(1)先根据平角的意义,得 ,再由条件可知 ,可求得答案; (2)先证得 , ,再利用平角的定义证得 ,即可证 . 【详解】(1)解: 点O在直线 上, , 又 , , 若 ,则 ; 故填: ,互余. (2)解: 理由: 点O是直线 上一点, 平分 , , ∴ , 即:∠AOE+∠COD=180°. 【点睛】本题主要考查角平分线的定义,平角的定义,掌握角平分线和平角定义是解题的关键. 【变式训练】 1.(2023上·江西南昌·七年级南昌市第二十八中学校联考期末)如图,已知点 为直线 上一点, , , 平分 . (1)求 的度数; (2)若 与 互余,求 的度数.【答案】(1) (2) 【分析】(1)由已知角度结合平角的定义可求解 , 的度数,再利用角平分线的定义 可求解; (2)根据余角的定义,平角的定义可求解 的度数,再利用角平分线的定义结合角的和差可 求解. 【详解】(1)解: , , , , , , 平分 , , ; (2) 与 互余, , , , 平分 , , . 【点睛】本题主要考查余角的定义,角平分线的定义及角的计算,灵活运用角的和差求解相关角的 度数是解题的关键. 2.(2023下·上海普陀·六年级统考期末)定义:如果两个角的度数的和是 ,那么这两个角叫做 互为半余角,其中一个角称为另一个角的半余角,例如: , ,因为 ,所以 和 互为半余角. (1)如果 , 是 的半余角,那么 的度数是_______; (2)如图,已知 ,射线 在 的内部,满足 , 是 的平分线. ①在 的内部画射线 ,使 .并写出图中 的半余角:________; ② 是 的半余角,当 是 的 时,求 的度数. 【答案】(1) (2)①画图见解析; , . ② 度数为 或 【分析】(1)根据半余角的定义进行计算即可得; (2)①在 的内部画射线 ,使 ,则 , ,根据 是 的平分线得 ,即可得 ;②设 ,则 , ,根据 是 的半余角得 ,当 是 的 时, ,若射线 在 内,则 ,即 ,计算得 ;若射线 在 外,则 ,则 ,计算得 ;即可得. 【详解】(1)解:∵ , 是 的半余角,∴ , 故答案为: ; (2)解:①在 的内部画射线 ,使 ,如图所示: 则 , , ∵ 是 的平分线, ∴ , ∴ , ∴ 的半余角有: , ; ②设 ,则 , ∴ , ∵ 是 的半余角, ∴ , 当 是 的 时, , 如图所示,若射线 在 内,则 , ∴ , , ; 如图所示,若射线 在 外, 则 , ∴ , , ; 综上, 的度数为 或 . 【点睛】本题考查了半余角,角平分线的定义,解题的关键是掌握这些知识点,分类讨论. 一、单选题 1.(2023上·四川成都·七年级统考期末)如图,建筑工人砌墙时,经常先在两端立桩拉线,然后 沿着线砌墙,这是因为( ) A.两点之间,直线最短 B.两点之间,线段最短 C.两点之间,射线最短 D.两点确定一条直线 【答案】D 【分析】根据两点确定一条直线判断即可. 【详解】根据两点确定一条直线判断, 故选D. 【点睛】本题考查了两点确定一条直线,熟练掌握直线的性质是解题的关键. 2.(2023上·江苏常州·七年级统考期末)若 与 互余, 与 互补,则 与 的关系是 ( ) A. B. C. D. 【答案】D 【分析】由 与 互余, 与 互补可得 , ,由 得: ,由此即可得到答案. 【详解】解: 与 互余, 与 互补, , , 由 得: , , 故选:D. 【点睛】本题考查了余角和补角,解决本题的关键是要记住互为余角的两个角的和为 ,互为补 角的两个角的和为 . 3.(2023上·黑龙江绥化·七年级统考期末)往返于甲、乙两市的列车,中途需停靠4个站,如果 每两站的路程都不相同,这两地之间有多少种不同的票价( ) A.15 B.30 C.20 D.10 【答案】A 【分析】可以借助线段图来分析,有多少条线段,就有多少中不同的票价. 【详解】解:如图所示: A,F代表甲,乙两市,B,C,D,E代表四个停靠站, 图中共有线段: , , , , . , , , , , , , , , ,总共15条,所以共有15种不同的票价, 故选:A. 【点睛】本题考查了直线,射线,线段,借助线段图来解决是解题的关键. 4.(2023下·甘肃武威·七年级统考期末)已知线段 ,点C是直线 上一点, ,若M是 的中点,N是 的中点,则线段 的长度是( ) A.7cm B.3cm C.7cm或5cm D.5cm 【答案】C 【分析】先根据题意画出图形,再利用线段的中点定义求解即可. 【详解】解:根据题意画图如下: , ,若M是 的中点,N是 的中点, . , ,若M是 的中点,N是 的中点, . 【点睛】本题考查了点与线段中点有关的计算,根据题意画出正确的图形是解题的关键. 5.(2023上·山东临沂·七年级统考期末)如图, 是直线 上的一点, 是一条射线, 平 分 , 在 内,且 , .下列四个结论:① ;②射线 平分 ;③图中与 互余的角有2个.其中结论正确的序号有 ( ) A.①③ B.②③ C.①②③ D.①②【答案】B 【分析】①根据 平分 , , ,以及平角是 ,求出 ,即可得出结论;②求出 ,即可得出结论;③根据 ,即可得出结论. 【详解】解:∵ 平分 , ∴ , ∵ , ∴设 ,则 , ∵ , ∴ , ∴ , 解得: , ∴ ,故①错误; ∵ , , ∴ ,则 , ∴射线 平分 ,故②正确; ∵ , ∴ , ∴图中与 互余的角有2个,故③正确; 综上,正确的是②③; 故选B. 【点睛】本题考查几何图形中角的计算.余角的定义,理清角之间的和差关系,是解题的关键. 二、填空题 6.(2023下·甘肃张掖·七年级校考期末)已知 ,则 的余角的度数是 . 【答案】 /63度 【分析】根据余角的性质,即可求解. 【详解】解:∵ , ∴ 的余角的度数是 . 故答案为:【点睛】本题主要考查了余角的性质,熟练掌握互余的两个角的和等于 是解题的关键. 7.(2023上·新疆乌鲁木齐·七年级统考期末)乌鲁木齐市的数学期末考试通常在上午 时开始, 此时时钟的时针与分针的夹角是 度. 【答案】 【分析】根据钟表确定时针和分针的位置,利用钟表表盘的特征解答. 【详解】解: 点整,时针指向 ,分针指向 ,中间有三大格, 钟表 个数字,每相邻两个数字之间的夹角为 , 点整分针与时针的夹角正好是 . 【点睛】本题是一个钟表问题,解题的关键是理解每两个数字之间的度数是 度. 8.(2023上·辽宁锦州·七年级统考期末)如图,已知点 在线段 的延长线上,且 , 为 的中点,若 ,则 . 【答案】 【分析】首先根据线段之间的数量关系,得出 ,再根据题意,得出 ,进而 得出 ,然后打入数据,计算即可得出答案. 【详解】解:∵点 为 的中点, , ∴ , 又∵ , 由图可得: , ∴ , 即 , 解得: . 故答案为: . 【点睛】本题考查了线段之间数量关系,解本题的关键在充分利用数形结合思想解答. 9.(2023上·江西吉安·七年级校考期末)在同一直线上有 不重合的四个点,,则 的长为 . 【答案】6或10或16 【分析】由于没有图形,故 四点相对位置不确定,分:点C在B的左侧、右侧,点D在 C的左侧、右侧等,不同情况画图分别求解即可. 【详解】解:I.当点C在B的右侧,点D在C的左侧时,如图: , , , , II.当点C在B的右侧,点D在C的右侧时,如图: , III.当点C在B的左侧,点D在C的左侧时,如图: ,点A、D重合,不合题意, IV.当点C在B的左侧,点D在C的右侧时,如图: ,点A、D重合,不合题意, 综上所述: 的长为6或10或16 故答案为:6或10或16. 【点睛】本题主要考查两点间的距离,解题的关键是根据点的不同位置进行分类讨论、利用线段之 间的和差关系得到 的长度. 10.(2023下·江西南昌·七年级校考期末)如图,直线 与 相交于点O, ,平分 , , 平分 .若射线 从射线 的位置出发,绕点O以每秒 的速度逆时针旋转一周,当旋转时间为t秒时, 三条射线中恰好有一条射线是另外 两条射线所组成的角的平分线,请写出旋转时间t的值为 秒.(旋转过程中 , , 都只考虑小于 的角) 【答案】1或13或25 【分析】利用角平分线求出 , ,求出 , ,求出 ,由角平分线,求出 , ,再分 平分 , 平分 , 平分 三种情况讨论求解即可. 【详解】解:∵ , ∴ , ∵ 平分 , ∴ , ∵ , ∴ , ∴ , ∵ 平分 , ∴ , ∴ ; 分情况讨论: ①当 平分 时,∵ , ∴ ,即: , ∴ , ∴ ; ② 平分 时, 则: , ∴ , ∴ ; ③当 平分 时: 则: , ∴ , ∴点 旋转的角度为: , ∴ ; 综上: 的值为:1或13或25. 故答案为:1或13或25. 【点睛】本题考查几何图形中角度的计算.正确的识图,理清角的和差关系,是解题的关键.三、解答题 11.(2023上·福建福州·七年级统考期末)如图,已知四点A,B,C,D,利用无刻度的直尺和圆 规按下列要求作图作图(不写作法,保留作图痕迹): (1)连接 ,作直线 ; (2)作射线 ,并在射线 上取一点E,使 . 【答案】(1)详见解析 (2)详见解析 【分析】(1)连接 , ,并将 向两边延伸,可得直线 ; (2)以A为端点,连接 并延伸可得射线 ,在射线 上,以B为起点,依次截取两个 长,可得 . 【详解】(1)解:如图,线段 、直线 即为所求作; (2)解:如图,射线 、点E即为所求作. 【点睛】本题考查基本作图,熟知直线、射线、线段的定义,掌握基本作图是解答的关键. 12.(2023上·河南南阳·七年级统考期末)如图,点 是线段 上的一点,其中 , 是线段 的中点, 是线段 上一点.(1)若 为线段 的中点,求 的长度; (2)若 为线段 的一个三等分点,求 的长度. 【答案】(1) (2) 或 【分析】(1)根据线段中点的性质得出 ,结合图形,即可求解; (2)根据线段中点的性质以及三等分点的性质,分类讨论,进而即可求解. 【详解】(1)解:∵ 是线段 的中点, 为线段 的中点, ∴ , ∵ , ∴ ; (2)∵ , ∴ , , ∵ 是线段 的中点, ∴ , ∵ 为线段 的一个三等分点, ∴ 或 , ∴ 或 ; ∴ 的长为 或 . 【点睛】本题考查了线段中点的性质,线段的和差计算,数形结合,分类讨论是解题的关键. 13.(2023上·山西太原·七年级校考期末)如图(甲), 和 都是直角.(1)如果 , 的度数为 . (2)图(甲)中相等的角有 ; .如果 ,它们 (填“相等”或“不等”) (3)在图(乙)中利用能够画直角的工具再画一个与 相等的角. 【答案】(1) (2) 和 ; 和 ;相等 (3)见解析 【分析】(1)根据 , ,求出 的度数,然后即可求出 的度数; (2)根据直角和等式的性质可得 , ; (3)作 ,等量代换即可得到 . 【详解】(1) , , , , 故答案为: (2) , , , , ; 如果 ,它们还会相等 , , , , 故答案为: 和 ; 和 ;相等 (3)如图,作 , 即为所要求画的角,, ,即 【点睛】本题考查了余角,以及角的计算,是基础题,准确识图是解题的关键. 14.(2023上·吉林·七年级校考期末)如图,数轴上点 表示的数为 ,点 表示的数为16,点 从点 出发,以每秒3个单位长度的速度沿数轴向右匀速运动,同时点 从点 出发,以每秒2 个单位长度的速度向左匀速运动.设运动时间为 秒 . (1) , 两点间的距离等于________,线段 的中点表示的数为________; (2)用含 的代数式表示: 秒后,点 表示的数为________,点 表示的数为________; (3)求当 为何值时, ? (4)若点 为 的中点,当点 到原点距离为 时, ________. 【答案】(1)20,6 (2) , (3) 或6 (4)2 【分析】(1)由数轴上两点间的距离公式可求 , 两点之间的距离,由中点公式可求线段 的中点表示的数; (2)根据点 从点 出发,以每秒3个单位长度的速度沿数轴向右匀速运动,点 从点 出发, 以每秒2个单位长度的速度向左匀速运动,进行计算即可得到答案;(3)由 ,得到方程 ,求解即可得到答案; (4)由线段中点的性质得出 ,求解即可得到答案. 【详解】(1)解: 点 表示的数为 ,点 表示的数为16, , 两点间的距离等于 ,线段 的中点表示的数为 , 故答案为:20,6; (2)解: 点 从点 出发,以每秒3个单位长度的速度沿数轴向右匀速运动, 秒后,点 表示的数为: , 点 从点 出发,以每秒2个单位长度的速度向左匀速运动, 秒后,点 表示的数为: , 故答案为: , ; (3)解: , , 或6, 或6时, ; (4)解: 点 为 的中点,点 到原点距离为8, , 解得: 或 (负值舍去), , 故答案为:2. 【点睛】本题主要考查了一元一次方程的应用,数轴上两点之间的距离,用数轴上的点表示有理数, 与线段中点有关的计算,熟练掌握以上知识点是解题的关键. 15.(2023上·河北邢台·七年级统考期末)如图,点 在同一条直线上,从点 引一条射线 ,且 .(1)求 的度数. (2)将 绕点 顺时针旋转 ( ,且 不是 的整数倍)得到 ,在 内引射线 ,在 内引射线 ,且 .. ①若 ,求 的度数; ②若 ,请直接写出 的大小. 【答案】(1) (2)① ;② 或 【分析】(1)根据邻补角的定义和性质即可得出结论; (2)①根据 的角度可得出 和 的度数,由此可得出 和 的度数,根据 和差关系即可得出结论;②分当 时和当 时,分别进行求解即可得到答案. 【详解】(1)解: , ; (2)解:①如图1, , 当 时,则 , , ,, , , , , ; ② 或 . 如图2,当 时, , , , , , 解得 ; 如图3,当 时, , , ,, , 解得 , 综上所述, 的大小为 或 . 【点睛】本题主要考查了角的计算,涉及分类讨论的思想,由图得出角的和差关系是解题的关键.