当前位置:首页>文档>专题13解直角三角形及其应用重难点题型专训(7大题型)(解析版)_初中数学人教版_9下-初中数学人教版_07专项讲练_2023-2024学年九年级数学全册重难点专题提升精讲精练(人教版)

专题13解直角三角形及其应用重难点题型专训(7大题型)(解析版)_初中数学人教版_9下-初中数学人教版_07专项讲练_2023-2024学年九年级数学全册重难点专题提升精讲精练(人教版)

  • 2026-04-11 02:17:58 2026-03-27 09:56:47

文档预览

专题13解直角三角形及其应用重难点题型专训(7大题型)(解析版)_初中数学人教版_9下-初中数学人教版_07专项讲练_2023-2024学年九年级数学全册重难点专题提升精讲精练(人教版)
专题13解直角三角形及其应用重难点题型专训(7大题型)(解析版)_初中数学人教版_9下-初中数学人教版_07专项讲练_2023-2024学年九年级数学全册重难点专题提升精讲精练(人教版)
专题13解直角三角形及其应用重难点题型专训(7大题型)(解析版)_初中数学人教版_9下-初中数学人教版_07专项讲练_2023-2024学年九年级数学全册重难点专题提升精讲精练(人教版)
专题13解直角三角形及其应用重难点题型专训(7大题型)(解析版)_初中数学人教版_9下-初中数学人教版_07专项讲练_2023-2024学年九年级数学全册重难点专题提升精讲精练(人教版)
专题13解直角三角形及其应用重难点题型专训(7大题型)(解析版)_初中数学人教版_9下-初中数学人教版_07专项讲练_2023-2024学年九年级数学全册重难点专题提升精讲精练(人教版)
专题13解直角三角形及其应用重难点题型专训(7大题型)(解析版)_初中数学人教版_9下-初中数学人教版_07专项讲练_2023-2024学年九年级数学全册重难点专题提升精讲精练(人教版)
专题13解直角三角形及其应用重难点题型专训(7大题型)(解析版)_初中数学人教版_9下-初中数学人教版_07专项讲练_2023-2024学年九年级数学全册重难点专题提升精讲精练(人教版)
专题13解直角三角形及其应用重难点题型专训(7大题型)(解析版)_初中数学人教版_9下-初中数学人教版_07专项讲练_2023-2024学年九年级数学全册重难点专题提升精讲精练(人教版)
专题13解直角三角形及其应用重难点题型专训(7大题型)(解析版)_初中数学人教版_9下-初中数学人教版_07专项讲练_2023-2024学年九年级数学全册重难点专题提升精讲精练(人教版)
专题13解直角三角形及其应用重难点题型专训(7大题型)(解析版)_初中数学人教版_9下-初中数学人教版_07专项讲练_2023-2024学年九年级数学全册重难点专题提升精讲精练(人教版)
专题13解直角三角形及其应用重难点题型专训(7大题型)(解析版)_初中数学人教版_9下-初中数学人教版_07专项讲练_2023-2024学年九年级数学全册重难点专题提升精讲精练(人教版)
专题13解直角三角形及其应用重难点题型专训(7大题型)(解析版)_初中数学人教版_9下-初中数学人教版_07专项讲练_2023-2024学年九年级数学全册重难点专题提升精讲精练(人教版)
专题13解直角三角形及其应用重难点题型专训(7大题型)(解析版)_初中数学人教版_9下-初中数学人教版_07专项讲练_2023-2024学年九年级数学全册重难点专题提升精讲精练(人教版)
专题13解直角三角形及其应用重难点题型专训(7大题型)(解析版)_初中数学人教版_9下-初中数学人教版_07专项讲练_2023-2024学年九年级数学全册重难点专题提升精讲精练(人教版)
专题13解直角三角形及其应用重难点题型专训(7大题型)(解析版)_初中数学人教版_9下-初中数学人教版_07专项讲练_2023-2024学年九年级数学全册重难点专题提升精讲精练(人教版)
专题13解直角三角形及其应用重难点题型专训(7大题型)(解析版)_初中数学人教版_9下-初中数学人教版_07专项讲练_2023-2024学年九年级数学全册重难点专题提升精讲精练(人教版)
专题13解直角三角形及其应用重难点题型专训(7大题型)(解析版)_初中数学人教版_9下-初中数学人教版_07专项讲练_2023-2024学年九年级数学全册重难点专题提升精讲精练(人教版)
专题13解直角三角形及其应用重难点题型专训(7大题型)(解析版)_初中数学人教版_9下-初中数学人教版_07专项讲练_2023-2024学年九年级数学全册重难点专题提升精讲精练(人教版)
专题13解直角三角形及其应用重难点题型专训(7大题型)(解析版)_初中数学人教版_9下-初中数学人教版_07专项讲练_2023-2024学年九年级数学全册重难点专题提升精讲精练(人教版)
专题13解直角三角形及其应用重难点题型专训(7大题型)(解析版)_初中数学人教版_9下-初中数学人教版_07专项讲练_2023-2024学年九年级数学全册重难点专题提升精讲精练(人教版)
专题13解直角三角形及其应用重难点题型专训(7大题型)(解析版)_初中数学人教版_9下-初中数学人教版_07专项讲练_2023-2024学年九年级数学全册重难点专题提升精讲精练(人教版)
专题13解直角三角形及其应用重难点题型专训(7大题型)(解析版)_初中数学人教版_9下-初中数学人教版_07专项讲练_2023-2024学年九年级数学全册重难点专题提升精讲精练(人教版)
专题13解直角三角形及其应用重难点题型专训(7大题型)(解析版)_初中数学人教版_9下-初中数学人教版_07专项讲练_2023-2024学年九年级数学全册重难点专题提升精讲精练(人教版)
专题13解直角三角形及其应用重难点题型专训(7大题型)(解析版)_初中数学人教版_9下-初中数学人教版_07专项讲练_2023-2024学年九年级数学全册重难点专题提升精讲精练(人教版)
专题13解直角三角形及其应用重难点题型专训(7大题型)(解析版)_初中数学人教版_9下-初中数学人教版_07专项讲练_2023-2024学年九年级数学全册重难点专题提升精讲精练(人教版)
专题13解直角三角形及其应用重难点题型专训(7大题型)(解析版)_初中数学人教版_9下-初中数学人教版_07专项讲练_2023-2024学年九年级数学全册重难点专题提升精讲精练(人教版)
专题13解直角三角形及其应用重难点题型专训(7大题型)(解析版)_初中数学人教版_9下-初中数学人教版_07专项讲练_2023-2024学年九年级数学全册重难点专题提升精讲精练(人教版)
专题13解直角三角形及其应用重难点题型专训(7大题型)(解析版)_初中数学人教版_9下-初中数学人教版_07专项讲练_2023-2024学年九年级数学全册重难点专题提升精讲精练(人教版)
专题13解直角三角形及其应用重难点题型专训(7大题型)(解析版)_初中数学人教版_9下-初中数学人教版_07专项讲练_2023-2024学年九年级数学全册重难点专题提升精讲精练(人教版)
专题13解直角三角形及其应用重难点题型专训(7大题型)(解析版)_初中数学人教版_9下-初中数学人教版_07专项讲练_2023-2024学年九年级数学全册重难点专题提升精讲精练(人教版)
专题13解直角三角形及其应用重难点题型专训(7大题型)(解析版)_初中数学人教版_9下-初中数学人教版_07专项讲练_2023-2024学年九年级数学全册重难点专题提升精讲精练(人教版)
专题13解直角三角形及其应用重难点题型专训(7大题型)(解析版)_初中数学人教版_9下-初中数学人教版_07专项讲练_2023-2024学年九年级数学全册重难点专题提升精讲精练(人教版)
专题13解直角三角形及其应用重难点题型专训(7大题型)(解析版)_初中数学人教版_9下-初中数学人教版_07专项讲练_2023-2024学年九年级数学全册重难点专题提升精讲精练(人教版)
专题13解直角三角形及其应用重难点题型专训(7大题型)(解析版)_初中数学人教版_9下-初中数学人教版_07专项讲练_2023-2024学年九年级数学全册重难点专题提升精讲精练(人教版)
专题13解直角三角形及其应用重难点题型专训(7大题型)(解析版)_初中数学人教版_9下-初中数学人教版_07专项讲练_2023-2024学年九年级数学全册重难点专题提升精讲精练(人教版)
专题13解直角三角形及其应用重难点题型专训(7大题型)(解析版)_初中数学人教版_9下-初中数学人教版_07专项讲练_2023-2024学年九年级数学全册重难点专题提升精讲精练(人教版)
专题13解直角三角形及其应用重难点题型专训(7大题型)(解析版)_初中数学人教版_9下-初中数学人教版_07专项讲练_2023-2024学年九年级数学全册重难点专题提升精讲精练(人教版)
专题13解直角三角形及其应用重难点题型专训(7大题型)(解析版)_初中数学人教版_9下-初中数学人教版_07专项讲练_2023-2024学年九年级数学全册重难点专题提升精讲精练(人教版)
专题13解直角三角形及其应用重难点题型专训(7大题型)(解析版)_初中数学人教版_9下-初中数学人教版_07专项讲练_2023-2024学年九年级数学全册重难点专题提升精讲精练(人教版)
专题13解直角三角形及其应用重难点题型专训(7大题型)(解析版)_初中数学人教版_9下-初中数学人教版_07专项讲练_2023-2024学年九年级数学全册重难点专题提升精讲精练(人教版)
专题13解直角三角形及其应用重难点题型专训(7大题型)(解析版)_初中数学人教版_9下-初中数学人教版_07专项讲练_2023-2024学年九年级数学全册重难点专题提升精讲精练(人教版)
专题13解直角三角形及其应用重难点题型专训(7大题型)(解析版)_初中数学人教版_9下-初中数学人教版_07专项讲练_2023-2024学年九年级数学全册重难点专题提升精讲精练(人教版)
专题13解直角三角形及其应用重难点题型专训(7大题型)(解析版)_初中数学人教版_9下-初中数学人教版_07专项讲练_2023-2024学年九年级数学全册重难点专题提升精讲精练(人教版)
专题13解直角三角形及其应用重难点题型专训(7大题型)(解析版)_初中数学人教版_9下-初中数学人教版_07专项讲练_2023-2024学年九年级数学全册重难点专题提升精讲精练(人教版)
专题13解直角三角形及其应用重难点题型专训(7大题型)(解析版)_初中数学人教版_9下-初中数学人教版_07专项讲练_2023-2024学年九年级数学全册重难点专题提升精讲精练(人教版)
专题13解直角三角形及其应用重难点题型专训(7大题型)(解析版)_初中数学人教版_9下-初中数学人教版_07专项讲练_2023-2024学年九年级数学全册重难点专题提升精讲精练(人教版)
专题13解直角三角形及其应用重难点题型专训(7大题型)(解析版)_初中数学人教版_9下-初中数学人教版_07专项讲练_2023-2024学年九年级数学全册重难点专题提升精讲精练(人教版)
专题13解直角三角形及其应用重难点题型专训(7大题型)(解析版)_初中数学人教版_9下-初中数学人教版_07专项讲练_2023-2024学年九年级数学全册重难点专题提升精讲精练(人教版)
专题13解直角三角形及其应用重难点题型专训(7大题型)(解析版)_初中数学人教版_9下-初中数学人教版_07专项讲练_2023-2024学年九年级数学全册重难点专题提升精讲精练(人教版)
专题13解直角三角形及其应用重难点题型专训(7大题型)(解析版)_初中数学人教版_9下-初中数学人教版_07专项讲练_2023-2024学年九年级数学全册重难点专题提升精讲精练(人教版)
专题13解直角三角形及其应用重难点题型专训(7大题型)(解析版)_初中数学人教版_9下-初中数学人教版_07专项讲练_2023-2024学年九年级数学全册重难点专题提升精讲精练(人教版)
专题13解直角三角形及其应用重难点题型专训(7大题型)(解析版)_初中数学人教版_9下-初中数学人教版_07专项讲练_2023-2024学年九年级数学全册重难点专题提升精讲精练(人教版)
专题13解直角三角形及其应用重难点题型专训(7大题型)(解析版)_初中数学人教版_9下-初中数学人教版_07专项讲练_2023-2024学年九年级数学全册重难点专题提升精讲精练(人教版)
专题13解直角三角形及其应用重难点题型专训(7大题型)(解析版)_初中数学人教版_9下-初中数学人教版_07专项讲练_2023-2024学年九年级数学全册重难点专题提升精讲精练(人教版)
专题13解直角三角形及其应用重难点题型专训(7大题型)(解析版)_初中数学人教版_9下-初中数学人教版_07专项讲练_2023-2024学年九年级数学全册重难点专题提升精讲精练(人教版)
专题13解直角三角形及其应用重难点题型专训(7大题型)(解析版)_初中数学人教版_9下-初中数学人教版_07专项讲练_2023-2024学年九年级数学全册重难点专题提升精讲精练(人教版)
专题13解直角三角形及其应用重难点题型专训(7大题型)(解析版)_初中数学人教版_9下-初中数学人教版_07专项讲练_2023-2024学年九年级数学全册重难点专题提升精讲精练(人教版)
专题13解直角三角形及其应用重难点题型专训(7大题型)(解析版)_初中数学人教版_9下-初中数学人教版_07专项讲练_2023-2024学年九年级数学全册重难点专题提升精讲精练(人教版)
专题13解直角三角形及其应用重难点题型专训(7大题型)(解析版)_初中数学人教版_9下-初中数学人教版_07专项讲练_2023-2024学年九年级数学全册重难点专题提升精讲精练(人教版)
专题13解直角三角形及其应用重难点题型专训(7大题型)(解析版)_初中数学人教版_9下-初中数学人教版_07专项讲练_2023-2024学年九年级数学全册重难点专题提升精讲精练(人教版)
专题13解直角三角形及其应用重难点题型专训(7大题型)(解析版)_初中数学人教版_9下-初中数学人教版_07专项讲练_2023-2024学年九年级数学全册重难点专题提升精讲精练(人教版)
专题13解直角三角形及其应用重难点题型专训(7大题型)(解析版)_初中数学人教版_9下-初中数学人教版_07专项讲练_2023-2024学年九年级数学全册重难点专题提升精讲精练(人教版)
专题13解直角三角形及其应用重难点题型专训(7大题型)(解析版)_初中数学人教版_9下-初中数学人教版_07专项讲练_2023-2024学年九年级数学全册重难点专题提升精讲精练(人教版)
专题13解直角三角形及其应用重难点题型专训(7大题型)(解析版)_初中数学人教版_9下-初中数学人教版_07专项讲练_2023-2024学年九年级数学全册重难点专题提升精讲精练(人教版)
专题13解直角三角形及其应用重难点题型专训(7大题型)(解析版)_初中数学人教版_9下-初中数学人教版_07专项讲练_2023-2024学年九年级数学全册重难点专题提升精讲精练(人教版)
专题13解直角三角形及其应用重难点题型专训(7大题型)(解析版)_初中数学人教版_9下-初中数学人教版_07专项讲练_2023-2024学年九年级数学全册重难点专题提升精讲精练(人教版)
专题13解直角三角形及其应用重难点题型专训(7大题型)(解析版)_初中数学人教版_9下-初中数学人教版_07专项讲练_2023-2024学年九年级数学全册重难点专题提升精讲精练(人教版)
专题13解直角三角形及其应用重难点题型专训(7大题型)(解析版)_初中数学人教版_9下-初中数学人教版_07专项讲练_2023-2024学年九年级数学全册重难点专题提升精讲精练(人教版)
专题13解直角三角形及其应用重难点题型专训(7大题型)(解析版)_初中数学人教版_9下-初中数学人教版_07专项讲练_2023-2024学年九年级数学全册重难点专题提升精讲精练(人教版)
专题13解直角三角形及其应用重难点题型专训(7大题型)(解析版)_初中数学人教版_9下-初中数学人教版_07专项讲练_2023-2024学年九年级数学全册重难点专题提升精讲精练(人教版)
专题13解直角三角形及其应用重难点题型专训(7大题型)(解析版)_初中数学人教版_9下-初中数学人教版_07专项讲练_2023-2024学年九年级数学全册重难点专题提升精讲精练(人教版)
专题13解直角三角形及其应用重难点题型专训(7大题型)(解析版)_初中数学人教版_9下-初中数学人教版_07专项讲练_2023-2024学年九年级数学全册重难点专题提升精讲精练(人教版)
专题13解直角三角形及其应用重难点题型专训(7大题型)(解析版)_初中数学人教版_9下-初中数学人教版_07专项讲练_2023-2024学年九年级数学全册重难点专题提升精讲精练(人教版)
专题13解直角三角形及其应用重难点题型专训(7大题型)(解析版)_初中数学人教版_9下-初中数学人教版_07专项讲练_2023-2024学年九年级数学全册重难点专题提升精讲精练(人教版)

文档信息

文档格式
docx
文档大小
4.723 MB
文档页数
70 页
上传时间
2026-03-27 09:56:47

文档内容

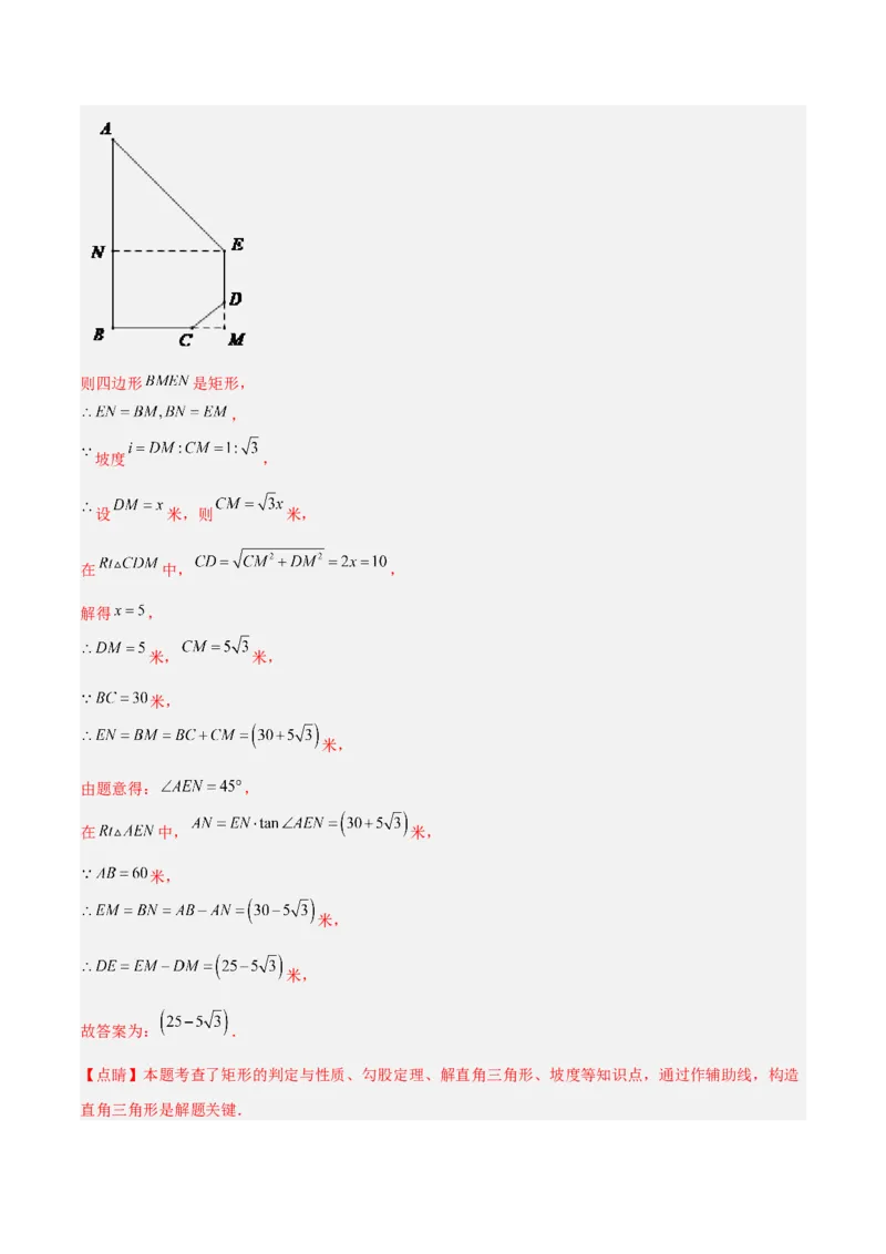
专题13 解直角三角形及其应用(7大题型) 【题型目录】 题型一 解直角三角形的相关计算 题型二 解非直角三角形 题型三 构造直角三角形求不规则图形的边长或面积 题型四 仰角俯角问题 题型五 方位角问题 题型六 坡度坡比问题 题型七 解直角三角形的其他应用 【知识梳理】 知识点1:解直角三角形 (1)解直角三角形的定义 在直角三角形中,由已知元素求未知元素的过程就是解直角三角形. (2)解直角三角形要用到的关系 ①锐角、直角之间的关系:∠A+∠B=90°; ②三边之间的关系:a2+b2=c2; ③边角之间的关系: ∠A的对边a ∠A的邻边b ∠A的对边a sinA= = ,cosA= = ,tanA= = . 斜边 c 斜边 c ∠A的邻边b (a,b,c分别是∠A、∠B、∠C的对边) 知识点2:解直角三角形的应用——仰角、俯角问题 (1)概念:仰角是向上看的视线与水平线的夹角;俯角是向下看的视线与水平线的夹角. (2)解决此类问题要了解角之间的关系,找到与已知和未知相关联的直角三角形,当图形中没有直角三 角形时,要通过作高或垂线构造直角三角形,另当问题以一个实际问题的形式给出时,要善于读懂题意, 把实际问题划归为直角三角形中边角关系问题加以解决. 在视线与水平线所成的角中,视线在水平线上方的角叫仰角;视线在水平线下方的角叫俯角;视线 铅 仰角 水平线 垂 线 俯角 视线 知识点3:解直角三角形的应用——方位角问题 (1)在辨别方向角问题中:一般是以第一个方向为始边向另一个方向旋转相应度数. (2)在解决有关方向角的问题中,一般要根据题意理清图形中各角的关系,有时所给的方向角并不一定 在直角三角形中,需要用到两直线平行内错角相等或一个角的余角等知识转化为所需要的角. 知识点4:解直角三角形的应用—:坡度、坡角问题 (1)坡度是坡面的铅直高度h和水平宽度l的比,又叫做坡比,它是一个比值,反映了斜坡的陡峭程度, 一般用i表示,常写成i=1:m的形式. (2)把坡面与水平面的夹角 叫做坡角,坡度i与坡角 之间的关系为:i=h/l=tan . (3)在解决坡度的有关问题α中,一般通过作高构成直角α三角形,坡角即是一锐角,α坡度实际就是一锐角 的正切值,水平宽度或铅直高度都是直角边,实质也是解直角三角形问题. 应用领域:①测量领域;②航空领域 ③航海领域:④工程领域等. 知识点5: 解直角三角形的综合应用 (1)通过解直角三角形能解决实际问题中的很多有关测量问. 如:测不易直接测量的物体的高度、测河宽等,关键在于构造出直角三角形,通过测量角的度数和测量边 的长度,计算出所要求的物体的高度或长度. (2)解直角三角形的一般过程是: ①将实际问题抽象为数学问题(画出平面图形,构造出直角三角形转化为解直角三角形问题). ②根据题目已知特点选用适当锐角三角函数或边角关系去解直角三角形,得到数学问题的答案,再转化得 到实际问题的答案. 【经典例题一 解直角三角形的相关计算】 1.(2023上·江苏常州·九年级校考期中)如图, 中, , .能够将 完全覆盖的最小圆形纸片的半径为( ) A. B. C. D. 【答案】B 【分析】连接 、 ,作 于点 ,根据圆周角定理得到 ,根据等腰三角形的性 质得到 ,根据正弦的定义计算即可. 【详解】解:设圆的圆心为点 ,能够将 完全覆盖的最小圆是 的外接圆, 连接 、 ,作 于点 , 则 , , , , , , , , 即 外接圆的半径是 , 故选:B.【点睛】本题考查的是三角形的外接圆与外心,掌握三角形的外接圆的概念、圆周角定理、垂径定理、解 直角三角形是解题的关键. 2.(2023上·安徽滁州·九年级校联考期中)如图,菱形 的边长为4,且 于点 为 上一点,且 的周长最小,则 的周长的最小值为( ) A. B. C. D. 【答案】B 【分析】首先确定出 的周长的最小值就是 的最小值 ,然后利用将军饮马问题的模型构造 出 的周长的最小值 ,再利用勾股定理求出 ,进而解决问题. 【详解】解:连接 交 于点 ,连接 , , 四边形 是菱形, 对角线 所在直线是其一条对称轴,点 ,点 关于直线 对称, 与 是等边三角形, , , 是 的中点, , 的周长 , 要求 的周长的最小值可先求出 的最小值即可, 而 的最小值就是 的长, 过点 作 ,交 的延长线于点 , 四边形 是菱形, ,, 在 中, , , 在 中, , , , 的周长的最小值为 , 故选:B. 【点睛】本题考查轴对称 最短路线问题,菱形的性质,勾股定理,特殊值的三角函数,掌握相关图形的 性质和构造出最短路线是解题的关键. 3.(2023上·陕西宝鸡·九年级校考阶段练习)如图,在矩形 中,点E在 上, , 于点F,若 ,则 . 【答案】 【分析】本题考查的是矩形的性质,锐角三角函数的应用,一元二次方程的解法,熟练的证明 是解本题的关键.本题先设 ,则 ,证明 ,利用 ,再建立方程求解即可. 【详解】解:∵ , ∴设 ,则 , ∵矩形 , ∴ , , , ∴ , ∵ ,∴ , ∴ , ∴ , ∴ , ∴ ,解得: ,(负根舍去)经检验符合题意; ∴ ; 故答案为: . 4.(2023上·安徽六安·九年级统考阶段练习)如图,四边形 中, ,点 在 轴上. (1)若点 坐标 , ,则四边形 的周长为 ; (2)若双曲线 过点 ,交 于点 ,连接 .若 , ,则 的值为 . 【答案】 / 6 【分析】对于(1),作 ,则 ,根据特殊角的三角函数求出 , ,进而求出 ,即可得出答案; 对于(2),根据比例得出 , ,再设 ,表示 , ,根据双曲线过点 可得 ,然后根据 表示点E的坐标,再代入关系式得出答案.【详解】(1)如图,过 作 于 ,则 , 在 中, , 则 , , 即 , , , 四边形 的周长为 ; (2) , , , 设 ,则 , . 双曲线 过点 , . , ,则 . 在双曲线 上, , , 即 . 故答案为: ,6.【点睛】本题主要考查了反比例函数与几何图形的综合问题,特殊角的三角函数值,矩形的性质,构造直 角三角形是解题的关键. 5.(2022秋·广东深圳·八年级深圳市南山区荔香学校校考期中)我们定义:等腰三角形中底边与腰的比叫 做顶角正对( ),如图①,在 中, ,顶角A的正对记作 ,这时 . 容易知道一个角的大小与这个角的正对值也是相互唯一确定的.根据上述角的正对定义,解下列问题: (1) ________. (2)对于 , 的正对值 的取值范围是________. (3)如图②,已知 ,其中 为锐角,试求 的值. 【答案】(1) (2) (3) 【分析】(1)如图, , ,所以 .(2)如图,当点A向 靠近时, 增大,逐渐接近 ,腰长 接近 , 相应的 ; 当点A远离 时, 减小,逐渐接近 ,腰长 逐渐增大,相应的 ;于是 . (3)如图,在 上截取 ,过H作 于D,设 ,则 , .解 , , . 【详解】(1)解:如图, , , ∵ , ∴ . (2)解:如图,点A在 的中垂线上,当点A向 靠近时, 增大,逐渐接近 ,腰长 接近 , 相应的 ; 当点A远离 时, 减小,逐渐接近 ,腰长 逐渐增大,相应的 逐渐接近0, ; ∴(3)解:如图,在 上截取 ,过H作 于D, , 设 ,则, , ∴ . 中, , ∴ . 【点睛】本题考查新定义,勾股定理,解直角三角形,等腰三角形性质;添加辅助线,构造等腰三角形是 解题的关键. 【经典例题二 解非直角三角形】 1.(2022下·九年级单元测试)田远同学从家里沿北偏西 方向走 到商场购买文具,再从商场向正 南方向 到学校,田远同学的家离学校( ) A. B. C. D. 【答案】B 【分析】先根据题意画出图形,然后解直角三角形可得 ,最后运用勾股定理 即可解答.【详解】解:如图,过A作 于D,则 , ∵ , ∴ , ∵ , ∴ , ∴ , 答:田远同学的家离学校 . 故选:B. 【点睛】本题主要考查了解直角三角形,正确作出辅助线、构造直角三角形是解答本题的关键. 2.(2021上·浙江温州·九年级校联考期中)我国伟大的数学家刘徽于公元263年攥《九章算术注》中指出, “周三径一”不是圆周率值,实际上是圆内接正六边形周长和直径的比值(图1).刘徽发现,圆内接正 多边形边数无限增加时,多边形的周长就无限逼近圆周长,从而创立“割圆术”,为计算圆周率建立起相 当严密的理论和完善的算法.如图2,六边形 是圆内接正六边形,把每段弧二等分,作出一个圆 内接正十二边形,连结 , , 交 于点P, ,则 ( )A.2 B. C. D. 【答案】D 【分析】设正六边形的中心为O,连接OA,过点A作AH⊥FC于点H,则△OFA是等边三角形, ∠PFA=60°,由正十二边形的中心角及圆周角定理,可得∠FAG=75°,则易得△AHP是等腰直角三角形, 从而可求得AH=PH的长,以及FH、AF 的长,故可得PF、FC的长,最后求得PC的长,并求得结果. 【详解】设正六边形的中心为O,连接OA,过点A作AH⊥FC于点H,如图 ∵正六边形的中心角为:360°÷6=60°,OA=OF ∴△OFA是等边三角形 ∴∠PFA=60°,OF=AF ∵AH⊥FC ∴∠FAH=90°-∠PFA=30° ∵正十二边形的中心角为:360°÷12=30° ∴弧FEG所对的圆心角为5×30°=150° ∴∠FAG==75° ∴∠HAP=∠HPA=45° ∴ ∴ ∴AF=2FH=4 ∴ ,FC=2OF=8∴ ∴ 故选:D. 【点睛】本题考查了正多边形与圆,圆周角定理,等边三角形的判定与性质,解非直角三角形等知识,关 键是通过恰当的辅助线把一般三角形转化为特殊三角形来解决. 3.(2023上·黑龙江哈尔滨·九年级哈尔滨市萧红中学校考阶段练习)在 中,若 , , ,则 . 【答案】1或13 【分析】过点 作 于点 ,分高 在三角形内部和三角形外部两种情况进行讨论求解. 【详解】解:过点 作 于点 ,分两种情况讨论: ①当 在 的外部时,如图: ∵ , ∴设 ,则: , ∴ , ∴ ,∴ , ∴ ; ②当 在 的内部时,如图: 同法可得: , ∴ ; 综上: 1或13; 故答案为:1或13. 【点睛】本题考查解非直角三角形,解题的关键是构造直角三角形,利用数形结合和分类讨论的思想,进 行求解. 4.(2023·上海长宁·统考二模)如图,将平行四边形 沿着对角线 翻折,点 的对应点为 , 交 于点 ,如果 , ,且 ,那么平行四边形 的周长为 .(参考数据: ) 【答案】 【分析】由 ,四边形 为平行四边形,折叠的性质可得 是等腰三角形, ,设 ,则 ,由三角形的内角和定理解得 ,由外角性质可证明 为等腰三角形,继而得到 ,解得 ,分别过点 作 ,利用余弦定理分别解得 的长,最后求得平行四边形的周长.【详解】解: ,四边形 为平行四边形, 翻折 是等腰三角形 设 ,则 在 中,由三角形内角和定理可得 分别过点 作 在 中, 在 中, 平行四边形 的周长为 故答案为: . 【点睛】本题考查平行四边形的性质、三角形内角和定理、图形的翻折变换等知识,是重要考点,掌握相 关知识是解题关键.5.(2022·湖南·统考中考真题)阅读下列材料: 在 中, 、 、 所对的边分别为 、 、 ,求证: . 证明:如图1,过点 作 于点 ,则: 在 中, CD=asinB 在 中, 根据上面的材料解决下列问题: (1)如图2,在 中, 、 、 所对的边分别为 、 、 ,求证: ; (2)为了办好湖南省首届旅游发展大会,张家界市积极优化旅游环境.如图3,规划中的一片三角形区域需 美化,已知 , , 米,求这片区域的面积.(结果保留根号.参考数据: , 【答案】(1)见解析 (2) 【分析】(1)作BC边上的高,利用三角函数表示AD后,即可建立关联并求解; (2)作BC边上的高,利用三角函数分别求出AE和BC,即可求解. 【详解】(1)证明:如图2,过点 作 于点 , 在 中, , 在 中, , , ;(2)解:如图3,过点 作 于点 , , , , 在 中, 又 , 即 , , . 【点睛】本题考查了解直角三角形的应用,掌握直角三角形的边角关系,即锐角三角函数的定义是解决问 题的前提. 【经典例题三 构造直角三角形求不规则图形的边长或面积】 1.(2023下·湖南益阳·八年级统考期末)如图,在四边形 中, , , , ,则四边形 的面积为( )A.48 B.50 C.52 D.54 【答案】A 【分析】连接AC,利用勾股定理求出AC,再根据 进行计算即可求出结果. 【详解】解:连接 ,如图所示 , , , 四边形 的面积为48 故选:A. 【点睛】本题主要考查了四边形面积,解直角三角形的应用,勾股定理等知识,解题的关键是学会巧妙添 加辅助线,构造直角三角形解决问题. 2.(2022下·黑龙江哈尔滨·九年级哈尔滨市第四十九中学校校考开学考试)如图,在矩形ABCD中, , ,M是CD上的一点,将 沿直线AM对折得到 ,若AN平分 ,则 CN的长为( )A. B. C. D.3 【答案】C 【分析】过点N作CD的垂线交 于点E,根据对折和平分线可以得到 ,再利 用三角函数可以求出 , ,最后利用勾股定理可以求出CN的长. 【详解】解:如图,过点N作CD的垂线交 于点E 由折叠可知: , , ∵AN平分 ∴ ∴ ∵ ∴ , ∴ ∴ ∵ , ∴ ∴ , ∴ ∴在 中,由勾股定理可得:故选:C 【点睛】本题考查了折叠的性质、解直角三角形以及勾股定理,正确作出辅助线是解题关键. 3.(2021下·九年级课时练习)如图,在四边形 中, , , , . 则 的长的值为 . 【答案】 【分析】如图,延长BC,AD交于E,解直角三角形分别求出AE、DE、CE、BC的长,再运用勾股定理即 可求解. 【详解】解:如图,延长BC,AD交于E, ∵ , ∴ , ∴ , ∵ , ∴ , ∵ , ∴ , ∴BC=BE-CE= , ∴ .故答案为: 【点睛】本题考查了解直角三角形的知识,理解题意、明确思路、正确添加辅助线构造直角三角形是解题 的关键. 4.(2021·广东深圳·统考二模)如图,某高为60米的大楼 旁边的山坡上有一个“5G”基站 ,从大 楼顶端 测得基站顶端 的俯角为 ,山坡坡长 米,坡度 ,大楼底端 到山坡底端 的 距离 米,则该基站的高度 米. 【答案】 【分析】如图(见解析),先根据坡度的定义、勾股定理求出 的长,从而可得 的长,再根 据解直角三角形可得 的长,然后根据 可得 的长,从而可得 的长,最后根据 即可得. 【详解】解:如图,延长 相交于点 ,过点 作 于点 ,则四边形 是矩形, , 坡度 , 设 米,则 米, 在 中, , 解得 , 米, 米, 米, 米, 由题意得: , 在 中, 米, 米, 米, 米, 故答案为: . 【点睛】本题考查了矩形的判定与性质、勾股定理、解直角三角形、坡度等知识点,通过作辅助线,构造 直角三角形是解题关键.5.(2022春·湖北武汉·九年级统考自主招生)四边形 中, , ,点E在 边 上运动(不与C重合),点F在 上运动,且 . (1)若 ,判断 与 的数量关系; (2)若 ,你在(1)中得到的结论是否会发生变化?写出猜想并给出证明; (3)若 , , 为锐角,设 ,当E,F运动时,求t的取值范围. 【答案】(1) (2)没有变化, ,证明见解析 (3) 【分析】(1)过点 作 交 于点 .设 交 于点 .证明 是等边三角形和 是等边三角形,得到 .证得 与 ,即可证明 ,得到结 论; (2)过点 作 交 于点 ,设 交 于点 ,证明 ,即可得到结论; (3)过点 作 交 于点 ,设 交 于点 ,作 于点N, 于点M, 求 出 ,得到 ,则 , , , ,证明 , ,证明 , 则 ,则 ,则 ,则 ,点E不与点B、C重合, ,即可求出答案. 【详解】(1) ; 证明:过点 作 交 于点 ,设 交 于点 .则 , , ∵ , ∴ 是等边三角形, ∴ , ∴ , ∴ 是等边三角形, ∴ . ∵ , , ∴ , 又∵ , ∴ , ∵ , , ∴ , ∴ , ∴ ; (2)没有变化. , 证明:过点 作 交 于点 ,设 交 于点 , 则 , , ∵ , ∴ . ∴ ,∴ . ∵ , ∴ . ∵ , , ∴ . ∵ , , ∴ , ∴ , ∴ ; (3)证明:过点 作 交 于点 ,设 交 于点 ,作 于点N, 于点 M, ∵ , , ∴ , ∴ , ∴ , ∴ , ∴ , ∴ , 由(2)可得 , , ∴ , ∴ , ∵ ,∴ , ∴ , ∴ ∴ , ∴ , ∵点E不与点B、C重合, ∴ ∴ ∴ , ∴ . 【点睛】此题考查了相似三角形的判定和性质、解直角三角形、全等三角形的判定和性质等知识, 熟练 掌握相似三角形的判定和性质、解直角三角形、全等三角形的判定和性质,是解题的关键. 【经典例题四 仰角俯角问题】 1.(2022·广东惠州·校考模拟预测)如图,热气球的探测器显示,从热气球 处看一栋楼顶部 处的仰角 为 ,看这栋楼底部 处的俯角为 ,热气球 处与楼的水平距离为 ,则这栋楼的高度为( )A. B. C. D. 【答案】A 【分析】过点 作 于点 ,根据题意得 , , ,再解直角三角 形即可解答. 【详解】解:如图,过点 作 于点 , 由题意得 , , , 在 中, , 在 中, , ,即这栋楼的高度为 , 故选:A. 【点睛】本题考查了仰角俯角问题,用辅助线构建直角三角形是解题的关键. 2.(2023下·山东日照·九年级日照市新营中学校考阶段练习)如图, 是垂直于水平面的建筑物,沿建 筑物底端 沿水平方向向左走 米到达点 ,沿坡度 (坡度 坡面铅直高度与水平宽度的比)斜坡 走到点 ,再继续沿水平方向向左走 米到达点 、 、 、 、 在同一平面内 ,在 处测得建筑物顶端A的仰角为 ,已知建筑物底端 与水平面 的距离为 米,则建筑物 的高度约是 参考数 据: , , ( ) A. 米 B. 米 C. 米 D. 米 【答案】C 【分析】延长 交 的延长线于 ,作 于 ,首先根据坡度求出 ,再根据锐角三角函数 构建方程即可解决问题. 【详解】解:如图,延长 交 的延长线于 ,作 于 , 由题意得: 米, 米, 米, 在 中, : , 米, 在 中, , 米, , 米 , 米 ; 即建筑物 的高度约为 米. 故选: . 【点睛】本题考查的是解直角三角形的应用 仰角俯角、坡度坡角问题,根据题意作出辅助线,构造出直 角三角形是解答此题的关键. 3.(2022·湖北武汉·校联考模拟预测)某校“综合与实践”小组采用无人机辅助的方法测量一座桥的长度. 如图,桥 是水平并且笔直的,测量过程中,小组成员遥控无人机飞到桥 的上方 的点 处悬停, 此时测得桥两端 两点的俯角分别为 和 ,则桥 的长度是 (结果根据四舍五入法精确到个位,参考数据 ). 【答案】 /95米 【分析】根据俯角定义,过 向 作垂线,解直角三角形即可得到答案. 【详解】解:过 作 于 ,如图所示: 测得桥两端 两点的俯角分别为 和 , , , , 在 中, , ,则 ,解得 ; 在 中, , ,则 ,解得 ; ,即桥 的长度是 , 故答案为: . 【点睛】本题考查解直角三角形的实际应用,读懂题意,准确构造直角三角形求解是解决问题的关键. 4.(2022·广东江门·鹤山市沙坪中学校考模拟预测)如图,在距某居民楼 楼底B点左侧水平距离60m 的C点处有一个山坡,山坡 的坡度(或坡比) ,山坡坡底C点到坡顶D点的距离 m,在坡顶D点处测得居民楼楼顶A点的仰角为28°,居民楼 与山坡 的剖面在同一平面内,则居民 楼 的高度约为 (参考数据: )【答案】82.1m 【分析】构造直角三角形,利用坡比的意义和直角三角形的边角关系,分别计算出 、 ,进而求出 . 【详解】如图,由题意得, , 在 中, ∵山坡 的坡度 , ∴ , 设 则 ,由勾股定理可得 , 又 ,即 , ∴ , ∴ , ∴ , 在 中, , ∴ , 故答案为: . 【点睛】本题考查解直角三角形、坡比;添加辅助线构建直角三角形是解题的关键. 5.(2023·湖北襄阳·统考中考真题)在襄阳市诸葛亮广场上矗立着一尊诸葛亮铜像.某校数学兴趣小组利 用热气球开展综合实践活动,测量诸葛亮铜像的高度.如图,在点 处,探测器显示,热气球到铜像底座 底部所在水平面的距离 为 ,从热气球 看铜像顶部 的俯角为 ,看铜像底部 的俯角为 .已知底座 的高度为 ,求铜像 的高度.(结果保留整数.参考数据: , , , ) 【答案】铜像 的高度是 ; 【分析】根据题意可得 ,从而求出 ,即可求解. 【详解】解:由题意得: , , ∴ , ∵四边形 是矩形, ∴ , ∵ , , ∴ , ∴ , ∴ , ∴ , ∴ , ∴ , ∴铜像 的高度是 ; 【点睛】本题考查解直角三角形的应用,关键是求出 . 【经典例题五 方位角问题】 1.(2023上·山东潍坊·九年级统考期中)一艘游轮从小岛 正南方向的点 处向西航行 海里到达点 处, 然后沿北偏西 方向航行 海里到达点 处,此时观测到小岛 在北偏东 方向,则小岛 与出发点之间的距离为( ) A. B. C. D. 【答案】A 【分析】过点 作 , 垂足为 ,过点 作 交 的延长线于点 ,根据题意可得 然后在 中,利用锐角三角函数的定义求出 和 的长,从而 求出 的长,再在 中,利用锐角三角函数的定义求出 的长,进而求出 的长,即可解答. 【详解】如图:过点 作 ,垂足为 ,过点 作 ,交 的延长线于点 , 由题意得: , 在 中, 海里, , (海里), (海里), 海里,海里, 在 中, 海里, 海里, ∴小岛A与出发点B之间的距离为 海里, 故选:A. 【点睛】本题考查了解直角三角形的应用-方向角问题,根据题目的已知条件并结合图形添加适当的辅助线 构造直角三角形是解题的关键. 2.(2023·福建厦门·统考模拟预测)如图,在铁路建设中,需要确定隧道两洞口A和B的距离.点D,点 E分别位于测绘点C的正北和正西方向.已知测得两定位点E和D与隧道口A和B的距离分别为 和 ,测绘点H,G分别为 , 的中点,测绘方在测绘点H测得点G在点H的南偏西 的方向上, 且 ,则隧道 的长约为( )(参考数据: ) A.1600m B.1300m C.980m D.900m 【答案】B 【分析】先解直角三角形求出 ,然后根据三角形中位线定理求出 ,即可求解. 【详解】解:由题意知: , , , , 在 中, ,∴ , ∵点H,G分别为 , 的中点, ∴ , ∴ . 故选:B. 【点睛】本题考查解直角三角形的应用—方位角问题,三角形中位线定理等,明确题意,熟悉相关性质是 解题的关键. 3.(2023上·山东泰安·九年级校考阶段练习)如图,一艘船由 港沿北偏东 方向航行 至 港, 然后再沿北偏西 方向航行至 港, 港在 港北偏东 方向,则 两港之间的距离为 . 【答案】 【分析】设过 点正北方向直线为 ,过 点正北方向直线为 ,过 作 于 ,过 作 ,由题意得: , , , ,则 , 为等腰直角三角形, ,由平行线的性质可得 ,再由 ,求出 的长,即可得到答案. 【详解】解:如图,设过 点正北方向直线为 ,过 点正北方向直线为 ,过 作 于 , 过 作 ,由题意得: , , , , , , , 是等腰直角三角形, , , , , , 在 中, , , , 故答案为: . 【点睛】本题考查了解直角三角形的应用—方位角问题、等腰直角三角形的判定与性质,熟练掌握以上知 识点,添加适当的辅助线构造直角三角形是解此题的关键. 4.(2023·广东清远·统考三模)如图,一艘海轮位于灯塔P的南偏东 方向,距离灯塔 的 处, 它沿正北方向航行一段时间后,到达位于灯塔 的北偏东 方向上的B处,这时,B处与灯塔P的距离为 .【答案】 【分析】过点 作 ,垂足为 ,先在 中,利用锐角三角函数的定义求出 的长,然后 在 中,利用锐角三角函数的定义求出 的长,即可解答. 【详解】解:过点 作 ,垂足为 , 在 中, 海里, , (海里), 在 中, , (海里), 处与灯塔 的距离为 海里, 故答案为: . 【点睛】本题考查了解直角三角形的应用 方向角问题,根据题目的已知条件并结合图形添加适当的辅助 线是解题的关键. 5.(2022秋·安徽合肥·九年级合肥市第四十八中学校考期末)如图,某渔船向正东方向以10海里/时的速 度航行,在A处测得岛C在北偏东 方向上,1小时后渔船航行到B处,测得岛C在北偏东 方向上, 已知该岛周围9海里内有暗礁.(1)B处离岛C有多远? (2)如果渔船继续向东航行,有无触礁危险? (3)如果渔船在B处改为向东偏南 方向航行,有无触礁危险(参考数据: 、 、 ) 【答案】(1)10海里 (2)有危险 (3)没有危险 【分析】(1)过C作 垂直 ,通过证明 ,即可求出 的长; (2)求出点C到 的距离是否大于9,如果大于9则无触礁危险,反之则有; (3)过点C作 ,首先求出 ,然后根据三角函数求出 的长,进而比较求 解即可. 【详解】(1)过C作 垂直 , 为渔船向东航行到C道最短距离 ∵在A处测得岛C在北偏东的 ∴ 又∵B处测得岛C在北偏东 , ∴ , , ∴ , ∴ (海里);(2)∵ , ∴ ∴ (海里) ∴ (海里) ∵ ∴如果渔船继续向东航行,有触礁危险; (3)如图所示,过点C作 , 根据题意可得, ∴ ,即 解得 (海里) ∵ ∴没有危险. 【点睛】本题考查解直角三角形的应用,解题的关键是根据角度得到 ,再通过三角函数计算出相 关距离. 【经典例题六 坡度坡比问题】 1.(2023上·山西临汾·九年级统考期中)如图是冬奥会首钢滑雪大跳台赛道的剖面图,剖面图的一部分可 抽象为线段 .已知斜坡 的坡比接近 ,坡长 为 米,则坡 的铅垂高度 约为( ) A. B. C. D.【答案】D 【分析】本题考查了解直角三角形的应用,根据坡比的意义设 米,可知 米,在 中,利用勾股定理构建方程求出x即可得到 .掌握坡比的定义是解答本题的关键. 【详解】解:∵斜坡 的坡比为 , ∴ 米,则 米, 在 中,由勾股定理得: , ∴ , ∴ (负值已舍去), ∴ . 故选D. 2.(2023上·广东深圳·九年级深圳外国语学校校联考阶段练习)如图,某购物广场要修建一个地下停车场, 停车场的入口设计示意图如图所示,其中斜坡 与水平方向的夹角为 ,地下停车场层高 米,则在停车场的入口处,可通过汽车的最大高度是( ) A.3 B. C. D. 【答案】D 【分析】本题考查解直角三角形的应用,过点C作 ,利用 求解即可,解题的关键是添 加辅助线,构造直角三角形. 【详解】解:过点C作 ,如图,∴ , ∵ , ∴ , ∵ 米, ∴ , ∴ 米, 故选:D. 3.(2023上·河北秦皇岛·九年级统考期中)如图,一段与水平面成 角的斜坡上有两棵树,两棵树水平 距离为 m,树的高度都是4 m.一只小鸟从一棵树的顶端飞到另一棵树的顶端,小鸟至少要飞 m. 【答案】12 【分析】过B作水平面的垂线,垂足为C,连接 ,由题意得 ,则四边形 是平 行四边形,得 ,在含 角的直角三角形的性质求出 m,即可解决问题.关键是 从实际问题中构建出数学模型,转化为数学知识,然后利用直角三角形的性质解题. 【详解】解:如图,过B作水平面的垂线,垂足为C,连接 ,由题意得 , ∴四边形 是平行四边形, ∴ , , ∴ m, ∴ (m), 即一只小鸟从一棵树的顶端飞到另一棵树的顶端,小鸟至少要飞12m, 故答案为:12. 4.(2023上·上海长宁·九年级上海市娄山中学校考期中)如图,土坡 是一个梯形, ,斜 坡 长130米,坡度是 ,沿 走上平台,可以坐电梯直达矩形观景台 顶部 ,在点 观 察坡底点 ,俯角是 ,则观景台的垂直高度 为 米. 【答案】70 【分析】此题考查解直角三角形的应用,勾股定理,以及平行线的性质:根据正切定理设 ,勾股定理求出 ,由平行线的性质得出 ,求出 米,即可得到答案. 【详解】解:如图,∵斜坡 长130米,坡度是 , ∴ , 设 , ∵ , ∴ , 解得 或 (舍去), ∴ , ∵ , ∴ , ∴ , ∴ (米). 故答案为:70. 5.(2023·浙江·模拟预测)某种电缆在空中架设时,两端挂起的电缆下垂都近似成抛物线 的形状, 现按操作要求,电缆最低点离水平地面不得小于6米. (1)如图1,若水平距离间隔80米建造一个电缆塔柱,求此电缆塔柱用于固定电缆的位置离地面至少应有多 少米的高度? (2)如图2,若在一个坡度为 的斜坡上,按水平距离间隔50米架设两固定电缆的位置离地面高度为20米的塔柱.求这种情况下在竖直方向上,下垂的电缆与地面的最近距离为多少米? 【答案】(1)22米 (2) 米 【分析】(1)由题意,最低点的横坐标是40,代入函数表达式中可求得高度即可; (2)以点D为坐标原点, 方向为x轴正方向建立平面直角坐标系,如图,利用待定系数法求得抛物线 的解析式为 ,直线 的解析式为 ,设 为 抛物线上一点,过点M作 轴于F,交 于G,则 ,由 可求解. 【详解】(1)解:由题意,最低点的横坐标是40,则 , (米), 答:固定电缆的位置离地面至少应有22米的高度; (2)解:以点D为坐标原点, 方向为x轴正方向建立平面直角坐标系,如图, 设此时抛物线的解析式为 , 由于斜坡的坡度为 ,且 米, ∴ 米,而 (米), ∴ ; ∵ , , 坐标两点分别代入解析式中,得 ,解得 , ∴ , 即 , 即抛物线的顶点坐标为 ; 过点M作 轴于F,交 于G, ∵坡度为 , ∴ (米), ∴ (米), 答:在竖直方向上,下垂的电缆与地面的最近距离为 米. 【点睛】本题考查二次函数在实际生活中应用、坡度问题,熟练掌握二次函数的性质是解答的关键. 【经典例题七 解直角三角形的其他应用】 1.(2023上·山东淄博·九年级校考阶段练习)近年来,随着智能技术的发展,智能机器人已经服务于社会 生活的各个方面.图1所示是一款智能送货机器人,图2是其侧面示意图,现测得其矩形底座 的高 为 ,上部显示屏 的长度为 ,侧面支架 的长度为 , , , 则该机器人的最高点F距地面 的高度约为( ) .(参考: , , )A.143 B.77 C.62 D.158 【答案】A 【分析】通过作垂线或平行线,构造直角三角形,利用直角三角形的边角关系进行计算即可. 【详解】解:如图,过点 作 于点 ,过点 作 ,过点 作 于点 , 在 中, , , , 在 中, , , , 机器人的最高点 距地面 的高度为 , 故选:A. 【点睛】本题考查解直角三角形的应用,掌握直角三角形的边角关系是正确解答的前提. 2.(2022上·山东东营·九年级东营市胜利第一初级中学校考期中)为完成“综合与实践”作业任务,小明 和小华利用周末一起去郊外放风筝,小明负责放风筝,小华负责测量相关数据,如图,当小明把风筝放飞到空中到点P处时,小华分别在地面测得 , , 米,则风筝的高度 的 长为( )米(点C在点P的正下方,A、B、C在地面的同一条直线上)(结果保留根号) A. B. C. D. 【答案】D 【分析】设 的长为x米,根据 , , ,得出 , ,最后根据 米,列出 求解即可. 【详解】解:设 的长为x米, ∵ , , , ∴ , , ∵ 米, ∴ , 解得: , 故选:D. 【点睛】本题主要考查了解直角三角形的实际应用,解题的关键是熟练掌握特殊角度的三角函数值,以及 解直角三角形的方法和步骤. 3.(2022·湖北黄石·黄石市有色中学校考模拟预测)如图,某办公楼 的后面有一建筑物 ,当光线 与地面的夹角是 时,办公楼在建筑物的墙上留下高2米的影子 ,而当光线与地面夹角是 时,办 公楼顶A在地面上的影子F与墙角C有25米的距离( ,F,C在一条直线上).则办公楼 的高度为 .(参考数据: , , )【答案】20米 【分析】本题考查解直角三角形的应用,构造直角三角形求解是解题的关键.过点E作 于点F, 易证四边形 是矩形,则 ,设 ,则 ,则 , ,最后根据 ,列出方程求解. 【详解】解:过点E作 于点F, 根据题意可得: , ∴四边形 是矩形, ∴ , 设 ,则 , ∵ , , ∴ , ∴ , ∵ , ∴ , ∵ 米, , ∴ , 解得: , ∴ (米), 故答案为:20米.4.(2023·江苏盐城·统考中考真题)如图1,位于市区的“铁军”雕塑“大铜马”是盐城市标志性文化名 片,如图2,线段 表示“铁军”雕塑的高,点 , , 在同一条直线上,且 , , ,则线段 的长约为 m.(计算结果保留整数,参考数据: ) 【答案】 【分析】由 , 可得 ,可推得 ,由三 角函数求出 即可. 【详解】∵ , , , ∴ , ∴ , 又∵ , ∴ , ∵ , ∴ 解得 , 故答案为: . 【点睛】此题主要考查了解直角三角形的应用,正确得出 的长是解题关键. 5.(2022春·黑龙江绥化·九年级绥化市第八中学校校联考阶段练习)松花江斜拉桥是哈尔滨绕城高速公路西段(瓦盆窑——秦家)项目的重要组成部分,是我省修建的第一座公路斜拉桥,也是哈尔滨市乃至黑龙 江省的标志性工程.主桥采用双塔双索面钢—混凝土结合梁斜拉桥,塔墩固结一体、塔与主梁纵向活动支 承,属塔墩固结、塔梁支承式半悬浮体系.大桥索塔为门式塔,桥面以上设一道上横梁.全长 . 图2是从图1引申出的平面图.假设你站在桥上测得拉索 与水平桥面的夹角是 ,拉索 与水平桥 面的夹角是 ,两拉索顶端的距离 为2米,两拉索底端距离 为128米,请求出索塔高 的长. (结果精确到0.1米, ) 【答案】109.8米 【分析】设 的长为x米,运用三角函数表示出 的长,列出等式算出 ,即可解答; 【详解】解:设 的长为x米, 在 中, , (米), 米, 在 中, 米, 米, , , 解得: , 米, (米),答:索塔BH的长约为109.8米. 【点睛】该题主要考查了解直角三角形的应用,解答该题的关键是能够熟练地运用三角函数列出等量关系 式. 【重难点训练】 1.(2023上·黑龙江哈尔滨·九年级校考期中)如图, 、 是 的两条切线,切点分别为A、B,若 , ,则 的度数为( ) A. B. C. D. 【答案】A 【分析】本题考查切线长定理,切线的性质定理,特殊角的三角函数值,利用切线长定理及切线的性质定 理可证明 ,可得 ,根据 ,求出 的正弦函数值, 利用特殊的三角函数值即可求出 的度数,是解决问题的关键. 【详解】解:∵ 、 是 的两条切线,切点分别为A、B, ∴ , , ,则 , 又∵ , ∴ , ∴ , 又∵ , ∴ , ∴ , 故选:A. 2.(2023上·山东菏泽·九年级统考期中)如图,在 中, , ,点 为 的中 点, 于点 ,则 的值为( )A. B. C. D. 【答案】C 【分析】此题考查了解直角三角形、等腰三角形的性质、勾股定理、锐角三角函数的定义以及余角的性质. 此题难度适中,解题的关键是准确作出辅助线,注意数形结合思想的应用.连接 ,由 中, , , 为 中点,利用等腰三角形三线合一的性质,可证得 ,再利用勾 股定理,求得 的长,那么在直角 中根据三角函数的定义求出 ,然后根据同角的余角 相等得出 ,于是 . 【详解】解:连接 , 中, , , 为 中点, , , , . , , , , , . 故选:C. 3.(2023上·山东济南·九年级统考期中)如图,在 中, , ,点D为边上一点,将 沿 折叠,点B恰好落在边 上的点E处.若 ,则 为( ) A. B.1 C. D. 【答案】B 【分析】根据翻折的性质可得 , ,设 ,则 , ,利 用锐角三角函数即可求解,此题考查了翻折的性质、锐角三角函数,熟练掌握以上知识是解题的关键. 【详解】解:由翻折的性质可得 , , 设 ,则 , , ∴ , ∴ , 解得 或 (舍去), ∴ , 故选:B 4.(2023上·山东威海·九年级统考期中)如图,小明在M处用高 (即 )的测角仪测得旗 杆 顶端B的仰角为 ,将测角仪沿旗杆方向前进 到N处,测得旗杆顶端B的仰角为 ,则旗杆 的高度为( ) A. B. C. D. 【答案】D【分析】本题考查了解直角三角形的应用-仰角俯角问题,求出 ,得到 是等腰三角 形,从而求出 的长,然后在 中,求出 的长,然后求出 的长. 【详解】如图, ∵ , ∴ , ∴ 米, 在 中, , 即 米, ∴ 故选:D 5.(2023上·广东深圳·九年级校考期中)如图,在矩形 中, ,点 在直线 上,若矩形 的周长为 ,点 到直线 的距离 的长为6,则点 到直线 的距离 的长为( ) A. B. C. D. 【答案】B 【分析】本题考查了矩形的性质,同角的余角相等,解直角三角形,勾股定理等知识.利用矩形性质求出 的长,利用锐角三角函数求出 的长,再利用勾股定理即可求出最后结果,其中证明 是解题关键. 【详解】解: 四边形 为矩形, , , ,,且矩形 的周长为 , , 解得: , 于点 , 于点 , , , , , , , , 点 到直线 的距离 的长为 , 故选: . 6.(2023上·湖南永州·九年级校联考期中)2022年4月16日,神舟十三号载人飞船返回舱在东风着陆场 成功着陆,神舟十三号载人飞行任务收得圆满成功,中国航天,又站在了一个新的起点.如图2021年10 月16日,神舟十三号载人飞船从地面O处成功发射,当飞船到达点A时,地面D处的雷达站测得 米,仰角为 ,3秒后,飞船直线上升到达点B处,此时地面C处的雷达站测得B处的仰角为 .点O,C,D在同一直线上,已知C,D两处相距460米,则飞船从A到B处的平均速度为多少 . 结果精确到1米;参考数据: , A.332 B.333 C.334 D.335 【答案】D 【分析】本题考查了解直角三角形的应用 仰角俯角问题,勾股定理.根据题意可得: ,先在中,利用含 角的直角三角形的性质求出 , 的长,从而求出 的长,然后在 中,利用锐角三角函数的定义求出 的长,从而求出 的长,进行计算即可解答.熟练掌握锐角三角函 数的定义是解题的关键. 【详解】解:由题意得: , 在 中, 米, , 米 , 米 , 米, 米, 在 中, , 米, 米, 飞船从 到 处的平均速度 . 故选:D. 7.(2023上·上海青浦·九年级校考期中)小明在山坡顶向下看一座农舍的俯角为 ,如果农舍与山坡底 部相距50米,那么山坡的高为 米. 【答案】 / 【分析】本题主要考查解直角三角形的应用,根据题意画出图形,根据含 的直角三角形的性质以及勾 股定理解得即可. 【详解】解:根据题意画出图形,点 代表山坡,点 代表农舍, 由题意知 , , , , 在 中, , ,解得 . 故答案为: 米. 8.(2023上·山东济南·九年级统考期中)如图,在高楼前 点测得楼顶的仰角为 ,向高楼前进 米到 点,又测得仰角为 ,已知该高楼的高度为 米,则 米. 【答案】30 【分析】本题考查了解直角三角形的应用一仰角俯角问题,熟练掌握锐角三角函数的定义是解题的关键. 根据题意可得: ,然后在 中,利用锐角三角函数的定义求出 的长,再利用三角形的 外角性质可得 ,从而可得 米,即可解答. 【详解】由题意得: , 在 中, , ∴ (米), ∵ 是 的一个外角, , ∴ , ∴ , ∴ 米, ∴ , 故答案为:30.9.(2023上·新疆省直辖县级单位·九年级校考阶段练习)如图, 分别与 相切于点A,B,连接 ,若 , ,则 的半径等于 . 【答案】2 【分析】此题考查了切线的性质以及等边三角形的判定与性质.注意准确作出辅助线是解此题的关键.由 、 分别与相切 于点 、 , ,易得 是等边三角形,则可求得 的长,继而求 得答案. 【详解】解: 、 分别与相切 于点 、 , , , , 是等边三角形, , , . 故 的半径长为为2, 故答案为:2 10.(2023·全国·九年级专题练习)如图,在 ABCD中,∠D=60°.以点B为圆心,以BA的长为半径作 ▱ 弧交边BC于点E,连接AE.分别以点A,E为圆心,以大于 AE的长为半径作弧,两弧交于点P,作射 线BP交AE于点O,交边AD于点F,则 的值为 . 【答案】【详解】∵在▱ABCD中,∠D=60°,∴∠ABC=60°,AD∥BC.由作图知BP平分∠ABC,BA=BE, ∴△ABE是等边三角形,∠ABF=∠EBF= ∠ABC=30°, ∴BO⊥AE,AO=OE. ∵AD∥BC, ∴∠AFB=∠EBF=30°, ∴∠AFB=∠ABF=30°, ∴AB=AF. ∵BO⊥AE, ∴∠BAO=∠FAO= (180°-30°-30°)=60°, ∴ =tan∠FAO=tan 60°= . 11.(2023上·山东烟台·九年级统考期中)如图,在四边形 中, , , ,对角 线 平分 . ,则 的面积为 【答案】 【分析】本题主要考查了解直角三角形,角平分线的性质,根据题目的已知条件作出正确的辅助线是解题 的关键.过点 作 ,垂足为 ,利用角平分线的定义可得 ,求出 的长度,利 用勾股定理求出 的长度,然后利用三角形的面积进行计算即可. 【详解】解:过点 作 ,垂足为 , 对角线 平分 . , , , , , ,, , , , . 故答案为: . 12.(2023上·山西长治·九年级校联考阶段练习)2023年中央电视台兔年春晚国朝舞剧《只此青绿》引人 入胜,图1是舞者“青绿腰”动作,引得观众争相模仿,图2是平面示意图.若舞者上半身 为 米,下 半身 为 米,下半身与水平面的夹角 ,与上半身的夹角 ,则此时舞者的垂 直高度 约为 米.(参考数据: , , ,结果精确到0.01 米) 【答案】 【分析】过点B作 于点F,作 于点E,再证明四边形 为矩形可得 ,然后求得 , ,然后根据三角函数分别求 出 ,最后根据线段的和差即可解答.求得 、 以及运用三角函数求得 是解题的关键. 【详解】解:如图:过点B作 于点F,作 于点E, ∴ ,四边形 为矩形 ∴ , ∴ ,在 中, , 米 ∴ 米; 同理: 米; ∴ 米. 故答案为 . 13.(2023上·湖南衡阳·九年级校联考期中)如图,在 中, , , , , , 交 .求: (1) 的长; (2) 的值. 【答案】(1) (2)1 【分析】(1)由锐角三角函数定义求出 ,再由勾股定理求出 的长即可; (2)先利用勾股定理求得 ,从而得到 是等腰直角三角形,可求得 ,再求得 ,即可由特殊角三角函数值得出答案. 【详解】(1)解: , , , ,, ; (2)解: , , 由(1)知 , 由勾股定理得: , ∴ , ∴ 是等腰直角三角形, ∴ , ∵ , ∴ , ∴ , ∴ . 【点睛】本题考查了解直角三角形、特殊角三角函数值,等腰直角三角形的判定与性质,勾股定理.熟练 掌握解直角三角形的知识是解题的关键. 14.(2023上·浙江杭州·九年级校考期中)小王是一名摄影爱好者,新入手一台无人机用于航拍.在一次 航拍时,数据显示,从无人机 看建筑物顶部 的仰角为 ,看底部 的俯角为 ,无人机 到该建筑 物 的水平距离 为 米,求该建筑物 的高度.(结果保留根号) 【答案】 米. 【分析】此题考查了解直角三角形,先说明 是等腰直角三角形,用等腰三角形的性质求出 ,再 在 中用直角三角形的边角间关系求出 ,最后利用线段的和差关系求出建筑物的高度,掌握直角三角形的边角间关系及等腰三角形的性质是解决本题的关键. 【详解】由题意可知, , , , ∴ ∴ , ∴ 米, 在 中, , ∴ , ∴ (米), ∴ 米. 15.(2023上·山西临汾·九年级统考期中)如图,图1是安装在倾斜屋顶上的热水器,图2是安装热水器 的侧面示意图.已知屋面 的倾斜角 为 ,长为3米的真空管 与水平线 的夹角为 ,安 装热水器的铁架水平横管 的长度为0.9米,求安装热水器的铁架竖直管 的长度.(结果精确到0.1 米)(参考数据: , , , , , .) 【答案】0.5米 【分析】本题以常见的太阳能为背景,考查了学生运用三角函数知识解决实际问题的能力,又让学生感受 到生活处处有数学,数学在生产生活中有着广泛的作用; 过 作 于 . 构建 中, 根据三角函数的定义与三角函数值即可求出答案. 然后根据 的长可求出 的长, 再判定出四边形 是矩形, 可求出 与 的长, 再用 的长减去 的长即可解答. 【详解】解:如图,过 作 交 于点 . 在 中, ,则 (米). 在 中, , 则 (米). 由题意得,四边形 是矩形. (米), (米), (米), 在 中, , 则 (米), (米), 答:安装热水器的铁架竖直管 的长度约为0.5米. 16.(2023上·四川成都·八年级校考期中)如图1,图2分别是某种型号拉杆箱的实物图与示意图,根据 商品介绍,即 ,点B、F在线段 上,支杆 . (1)若 时,B,D相距 ,试判定 与 的位置关系; (2)当 时,求 的长 【答案】(1) ,理由见解答 (2) 的长为【分析】本题考查了解直角三角形的应用,根据题目的已知条件并结合图形添加适当的辅助线是解题的关 键. (1)连接 ,根据题意可得 ,然后利用勾股定理的逆定理证明 是直角三角形,即可解 答; (2)过点 作 ,垂足为 ,根据题意可得 ,然后在 中,利用锐角三角函数 的定义求出 的长,再在 中,利用勾股定理求出 的长,进行计算即可解答. 【详解】(1)解: , 理由:连接 , ∵ , ∴ , ∵ ∴ ∴ , ∴ 是直角三角形, ∴ , ∴ ; (2)过点 作 ,垂足为 , 在 中, ,, ∴ 的长为 . 17.(2023上·重庆北碚·九年级西南大学附中校考期末)如图,甲、乙两队同时从A点出发,相约去河对 面的公园D游玩.甲队选择的线路为 ,其中在 段划船过河;乙队选择的线路为 ,其中在 段乘坐游船过河.已知四边形 为矩形,A、B、C三点在同一直线上, 长为 米, , , . (1)求D到 的距离;(结果精确到个位) (2)甲、乙两队在陆地上都是步行,且步行速度均为 .已知甲队划船的速度为 ,乙队游船 的速度为 ,若 长为 米,请通过计算说明哪一队先到达公园D?(参考数据: , , , , ) 【答案】(1) ;(2)甲队先到达公园D 【分析】本题考查了矩形的性质,解直角三角形的应用,实数的混合运算,灵活运用锐角三角函数是解题 关键. (1)过点 作 于点 ,利用锐角三角函数,分别求得 , , ,即可得出D到 的距离; (2)由(1)可知 , , , ,结合甲、乙两队步行和划船的速 度,分别求出两队所用时间,即可得到答案. 【详解】(1)解:如图,过点 作 于点 , 四边形 为矩形, , , , , , , , , , , , , , , , 即D到 的距离 ;(2)解: , , 由(1)可知, , , , , 甲、乙两队在陆地上都是步行,且步行速度均为 .甲队划船的速度为 ,乙队游船的速 度为 , 甲队所用时间 , 乙队所用时间 , , 甲队先到达公园D. 18.(2023上·山东潍坊·九年级统考阶段练习)根据以下素材,探索完成任务 探究纸伞中的数学问题 我国纸伞制作工艺十分巧妙,如图1,伞不 素 管是张开还是收拢, 是伞柄,伞骨 材 ,且 , , 1 点为伞圈, .伞圈D能沿着伞柄滑动,如图2是完全收 拢时伞骨的示意图,此时伞圈D滑动到 素 的位置,且A、E、 三点共线,测得 材 , ,伞完全张开时 2 ,如图1所示.(参考值: ) 项目化学习小组同学经过研究发现:雨往 往是斜打的,且都是平行的.如图3,某一 素 天,雨线 与地面夹角为 小明同学站 材 在伞圈D点的正下方G处,记为 ,此 3 时,发现身上被雨淋湿,测得 . 问题解决 任 务 判断 位置 (1)求证: 是 的角平分线 1 任 (2)当伞从完全张开到完全收拢,求伞圈D移动的距 务 探究伞圈移动距离 离; 2 任 (3)求伞至少向下移动距离多少,使得人站在G处身 务 拟定撑伞 上不被雨淋湿.(直接写出答案) 3 【答案】(1)见解析;(2)当伞从完全张开到完全收拢,伞圈D移动的距离为 ;(3)60 【分析】本题考查全等三角形的判定和性质,勾股定理,解直角三角形. (1)利用 证明 即可得到答案; (2)过点E作 于点G,求出 的长,即可利用 求出答案; (3)设 与 交于点O,与 交于点Q,先求出 ,可得 ,再求出 ,进而可求出 ,即 为问题的答案. 【详解】(1)证明:∵ , , , ∴ ,在 和 中, , ∴ , , ∴ 是 的角平分线; (2)解:∵ , , ∴ ∵ , ∴ , 过点 作 于点 ,如图, 在 中, , , 在 中, 由勾股定理,得 , ∴ , ∴ 答:当伞从完全张开到完全收拢,伞圈D移动的距离为 ; (3)解:设 与 交于点 ,与 交于点 ,如图,在 中, , , ∴ , ∴ 在 中, , , ∴ ∴ , 在 中, , 故答案为:60.