当前位置:首页>文档>导学案16.3第2课时二次根式的混合运算_初中数学人教版_八年级数学下册_保存转存之后查看(1)_8下-初中数学人教版(2026春新版持续更新)_旧版-可参考_02课件+导学案(配套)

导学案16.3第2课时二次根式的混合运算_初中数学人教版_八年级数学下册_保存转存之后查看(1)_8下-初中数学人教版(2026春新版持续更新)_旧版-可参考_02课件+导学案(配套)

  • 2026-04-01 09:25:05 2026-03-28 06:05:15

文档预览

导学案16.3第2课时二次根式的混合运算_初中数学人教版_八年级数学下册_保存转存之后查看(1)_8下-初中数学人教版(2026春新版持续更新)_旧版-可参考_02课件+导学案(配套)
导学案16.3第2课时二次根式的混合运算_初中数学人教版_八年级数学下册_保存转存之后查看(1)_8下-初中数学人教版(2026春新版持续更新)_旧版-可参考_02课件+导学案(配套)
导学案16.3第2课时二次根式的混合运算_初中数学人教版_八年级数学下册_保存转存之后查看(1)_8下-初中数学人教版(2026春新版持续更新)_旧版-可参考_02课件+导学案(配套)
导学案16.3第2课时二次根式的混合运算_初中数学人教版_八年级数学下册_保存转存之后查看(1)_8下-初中数学人教版(2026春新版持续更新)_旧版-可参考_02课件+导学案(配套)
导学案16.3第2课时二次根式的混合运算_初中数学人教版_八年级数学下册_保存转存之后查看(1)_8下-初中数学人教版(2026春新版持续更新)_旧版-可参考_02课件+导学案(配套)
导学案16.3第2课时二次根式的混合运算_初中数学人教版_八年级数学下册_保存转存之后查看(1)_8下-初中数学人教版(2026春新版持续更新)_旧版-可参考_02课件+导学案(配套)
导学案16.3第2课时二次根式的混合运算_初中数学人教版_八年级数学下册_保存转存之后查看(1)_8下-初中数学人教版(2026春新版持续更新)_旧版-可参考_02课件+导学案(配套)
导学案16.3第2课时二次根式的混合运算_初中数学人教版_八年级数学下册_保存转存之后查看(1)_8下-初中数学人教版(2026春新版持续更新)_旧版-可参考_02课件+导学案(配套)
导学案16.3第2课时二次根式的混合运算_初中数学人教版_八年级数学下册_保存转存之后查看(1)_8下-初中数学人教版(2026春新版持续更新)_旧版-可参考_02课件+导学案(配套)
导学案16.3第2课时二次根式的混合运算_初中数学人教版_八年级数学下册_保存转存之后查看(1)_8下-初中数学人教版(2026春新版持续更新)_旧版-可参考_02课件+导学案(配套)
导学案16.3第2课时二次根式的混合运算_初中数学人教版_八年级数学下册_保存转存之后查看(1)_8下-初中数学人教版(2026春新版持续更新)_旧版-可参考_02课件+导学案(配套)
导学案16.3第2课时二次根式的混合运算_初中数学人教版_八年级数学下册_保存转存之后查看(1)_8下-初中数学人教版(2026春新版持续更新)_旧版-可参考_02课件+导学案(配套)
导学案16.3第2课时二次根式的混合运算_初中数学人教版_八年级数学下册_保存转存之后查看(1)_8下-初中数学人教版(2026春新版持续更新)_旧版-可参考_02课件+导学案(配套)

文档信息

文档格式
docx
文档大小
1.039 MB
文档页数
9 页
上传时间
2026-03-28 06:05:15

文档内容

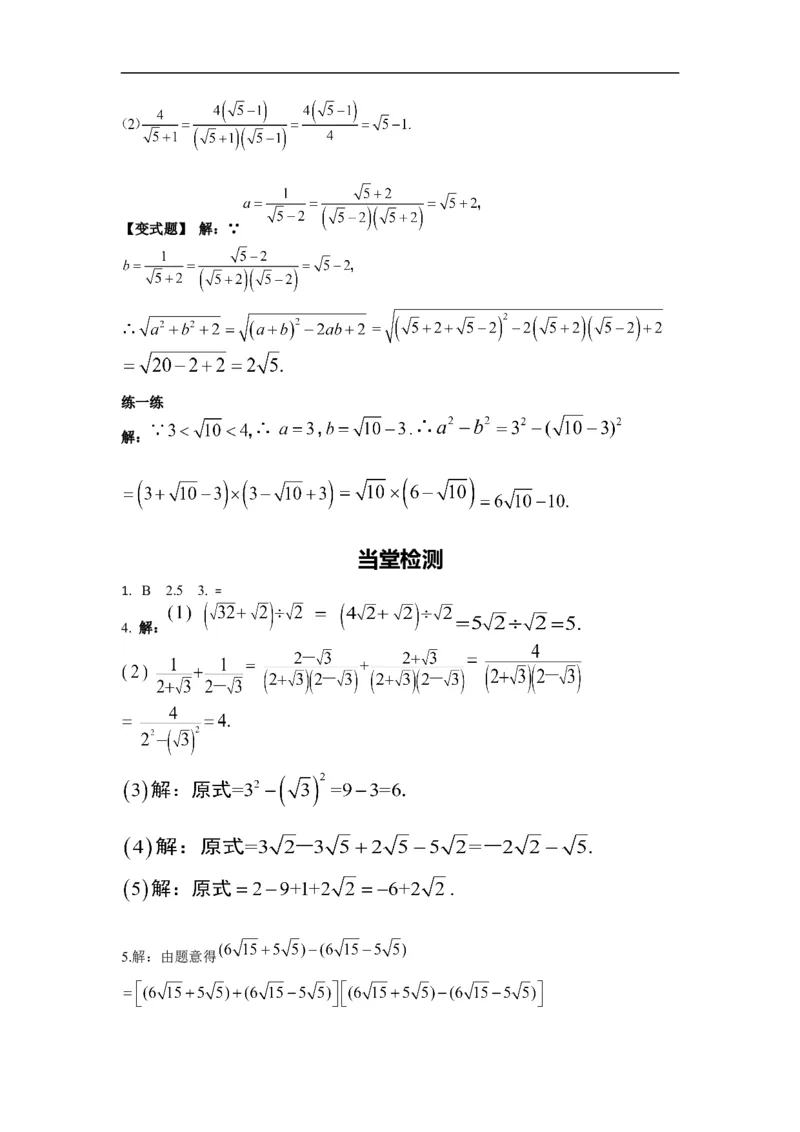
第十六章 二次根式 16.3 二次根式的加减 第2课时 二次根式的混合运算 学习目标:1.掌握二次根式的混合运算的运算法则; 2.会运用二次根式的混合运算法则进行有关的运算. 重点:二次根式的混合运算的运算法则. 难点:运用二次根式的混合运算法则进行有关的运算. 自主学习 一、知识回顾 1.二次根式的乘、除法则是什么? 2.怎样进行二次根式的加减运算? 3.填空:m(a+b+c)= ;(m+n)(a+b)= ;(ma+mb+mc)÷m= . 课堂探究 一、要点探究 探究点1:二次根式的混合运算及应用 二次根式的加、减、乘、除混合运算与整式运算一样,体现在:运算律、运算顺序、 乘法法则仍然适用. 典例精析 例1 计算: 变式 计算: 方法总结:有绝对值符号的,同括号一样,先去绝对值,注意去掉绝对值后,得到的数应该 为正数. 例2 甲、乙两个城市间计划修建一条城际铁路, 其中有一段路基的横断面设计为上底宽 ,下底宽 ,高 的梯形,这段路基长 500 m,那么这段路基的土石方 (即路基的体积,其中路基的体积=路基横断面面积×路基的长度)为多少立方米呢? 针对训练 计算: 探究点2:利用乘法公式进行二次根式的运算 问题1 整式乘法运算中的乘法公式有哪些? 问题2 整式的乘法公式对于二次根式的运算也适用吗? 典例精析 例3 计算: 方法总结:进行二次根式的混合运算时,一般先将二次根式转化为最简二次根式,再根据题 目的特点确定合适的运算方法,同时要灵活运用乘法公式、因式分解等来简化运算. 【变式题】计算: 针对训练 计算:探究点3:求代数式的值 例4 已知 试求x2+2xy+y2的值. 【变式题】 已知 ,求x3y+xy3. 方法总结:用整体代入法求代数式值的方法:求关于x,y的对称式(即交换任意两个字母的位 置后,代数式不变)的值,一般先求x+y,xy,x-y, 等的值,然后将所求代数式适当变形成只 含x+y,xy,x-y, 等式子,再代入求值. 5 计算: 例 方法总结:分母形如 的式子,分子、分母同乘以 的式子,构成平 方差公式,可以使分母不含根号. 【变式题】 已知 ,求 . 【练一练】 已知 的整数部分是 a,小数部分是 b,求 a2 - b2 的值. 二、课堂小结当堂检测 1.下列计算中正确的是( ) 2.计算 3.设 则a b(填“>”“ < ”或“= ”). 4.计算: 5. 在一个边长为 cm 的正方形内部,挖去一个边长为 cm的正方形,求剩余部分的面积.6.(1) 已知 ,求 的值; (2) 已知 ,求 的值. 能力提升 7.阅读下列材料,然后回答问题: 在进行类似于二次根式 的运算时,通常有如下两种方法将其进一步化简: 方法一: 方法二: (1)请用两种不同的方法化简: (2)化简: 参考答案自主学习 一、知识回顾 1.二次根式的乘、除法则: , 2. 3.m(a + b + c) = ma + mb + mc;(m + n)(a + b) = ma + mb + na + nb (ma + mb + mc)÷m = a + b + c 课堂探究 一、要点探究 探究点1:二次根式的混合运算及应用 典例精析 例1 变式 例2 解:路基的土石方等于路基横断面面积乘路基的长度,所以这段路基的土石方为: 答:这段路基的土石方为 针对训练 解: 探究点2:利用乘法公式进行二次根式的运算 问题1 平方差公式:(a + b)(a - b) = a2- b2; 完全平方公式:(a + b)2 = a2 + 2ab + b2;(a - b)2 = a2 - 2ab + b2.问题2 整式的乘法公式就是多项式×多项式,前面我们已经知道二次根式运算类比整式 运算,所以适用 典例精析 例3 【变式题】计算: 针对训练 探究点3:求代数式的值 例4 解: x2 + 2xy + y2 = (x + y)2,把 代入上式得 原式= 【变式题】 解:∵ ,∴ ∴ x3y + xy3 = xy(x2 + y2 ) = xy[(x + y)2-2xy] 例5 解:【变式题】 解:∵ 练一练 解: 当堂检测 1. B 2.5 3. = 4. 解: 5.解:由题意得即剩余部分的面积是 6.解:(1) (2) 7. 解:(1)① ②