当前位置:首页>文档>第二十三章旋转(能力提升)(解析版)_初中数学人教版_9上-初中数学人教版_06习题试卷_2单元测试_单元测试(第2套)

第二十三章旋转(能力提升)(解析版)_初中数学人教版_9上-初中数学人教版_06习题试卷_2单元测试_单元测试(第2套)

  • 2026-04-01 13:24:41 2026-03-28 15:44:42

文档预览

第二十三章旋转(能力提升)(解析版)_初中数学人教版_9上-初中数学人教版_06习题试卷_2单元测试_单元测试(第2套)
第二十三章旋转(能力提升)(解析版)_初中数学人教版_9上-初中数学人教版_06习题试卷_2单元测试_单元测试(第2套)
第二十三章旋转(能力提升)(解析版)_初中数学人教版_9上-初中数学人教版_06习题试卷_2单元测试_单元测试(第2套)
第二十三章旋转(能力提升)(解析版)_初中数学人教版_9上-初中数学人教版_06习题试卷_2单元测试_单元测试(第2套)
第二十三章旋转(能力提升)(解析版)_初中数学人教版_9上-初中数学人教版_06习题试卷_2单元测试_单元测试(第2套)
第二十三章旋转(能力提升)(解析版)_初中数学人教版_9上-初中数学人教版_06习题试卷_2单元测试_单元测试(第2套)
第二十三章旋转(能力提升)(解析版)_初中数学人教版_9上-初中数学人教版_06习题试卷_2单元测试_单元测试(第2套)
第二十三章旋转(能力提升)(解析版)_初中数学人教版_9上-初中数学人教版_06习题试卷_2单元测试_单元测试(第2套)
第二十三章旋转(能力提升)(解析版)_初中数学人教版_9上-初中数学人教版_06习题试卷_2单元测试_单元测试(第2套)
第二十三章旋转(能力提升)(解析版)_初中数学人教版_9上-初中数学人教版_06习题试卷_2单元测试_单元测试(第2套)
第二十三章旋转(能力提升)(解析版)_初中数学人教版_9上-初中数学人教版_06习题试卷_2单元测试_单元测试(第2套)
第二十三章旋转(能力提升)(解析版)_初中数学人教版_9上-初中数学人教版_06习题试卷_2单元测试_单元测试(第2套)
第二十三章旋转(能力提升)(解析版)_初中数学人教版_9上-初中数学人教版_06习题试卷_2单元测试_单元测试(第2套)
第二十三章旋转(能力提升)(解析版)_初中数学人教版_9上-初中数学人教版_06习题试卷_2单元测试_单元测试(第2套)
第二十三章旋转(能力提升)(解析版)_初中数学人教版_9上-初中数学人教版_06习题试卷_2单元测试_单元测试(第2套)
第二十三章旋转(能力提升)(解析版)_初中数学人教版_9上-初中数学人教版_06习题试卷_2单元测试_单元测试(第2套)
第二十三章旋转(能力提升)(解析版)_初中数学人教版_9上-初中数学人教版_06习题试卷_2单元测试_单元测试(第2套)
第二十三章旋转(能力提升)(解析版)_初中数学人教版_9上-初中数学人教版_06习题试卷_2单元测试_单元测试(第2套)
第二十三章旋转(能力提升)(解析版)_初中数学人教版_9上-初中数学人教版_06习题试卷_2单元测试_单元测试(第2套)
第二十三章旋转(能力提升)(解析版)_初中数学人教版_9上-初中数学人教版_06习题试卷_2单元测试_单元测试(第2套)
第二十三章旋转(能力提升)(解析版)_初中数学人教版_9上-初中数学人教版_06习题试卷_2单元测试_单元测试(第2套)
第二十三章旋转(能力提升)(解析版)_初中数学人教版_9上-初中数学人教版_06习题试卷_2单元测试_单元测试(第2套)
第二十三章旋转(能力提升)(解析版)_初中数学人教版_9上-初中数学人教版_06习题试卷_2单元测试_单元测试(第2套)
第二十三章旋转(能力提升)(解析版)_初中数学人教版_9上-初中数学人教版_06习题试卷_2单元测试_单元测试(第2套)
第二十三章旋转(能力提升)(解析版)_初中数学人教版_9上-初中数学人教版_06习题试卷_2单元测试_单元测试(第2套)
第二十三章旋转(能力提升)(解析版)_初中数学人教版_9上-初中数学人教版_06习题试卷_2单元测试_单元测试(第2套)
第二十三章旋转(能力提升)(解析版)_初中数学人教版_9上-初中数学人教版_06习题试卷_2单元测试_单元测试(第2套)
第二十三章旋转(能力提升)(解析版)_初中数学人教版_9上-初中数学人教版_06习题试卷_2单元测试_单元测试(第2套)
第二十三章旋转(能力提升)(解析版)_初中数学人教版_9上-初中数学人教版_06习题试卷_2单元测试_单元测试(第2套)
第二十三章旋转(能力提升)(解析版)_初中数学人教版_9上-初中数学人教版_06习题试卷_2单元测试_单元测试(第2套)

文档信息

文档格式
doc
文档大小
1.616 MB
文档页数
26 页
上传时间
2026-03-28 15:44:42

文档内容

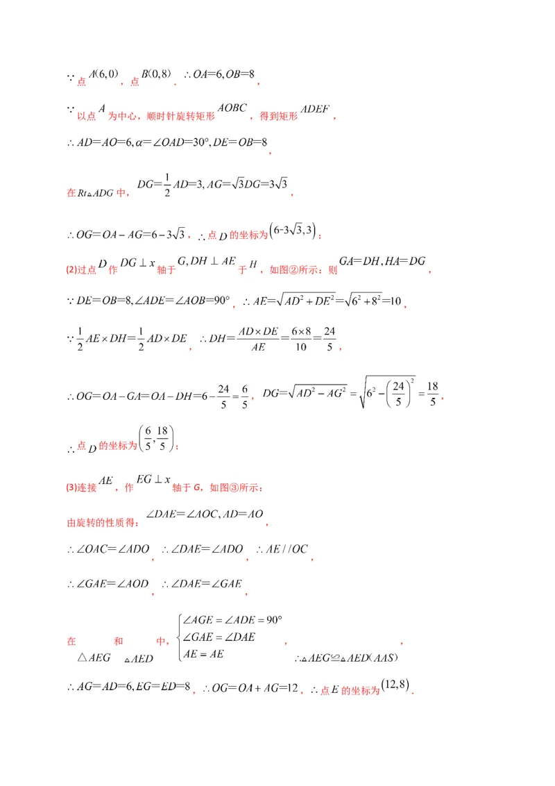
第二十三章 旋转 (能力提升) 考试时间:120分钟 一、选择题(每小题3分,共36分) 1.下列图形是我国国产品牌汽车的标识,其中是中心对称图形的是 A. B. C. D. 【答案】C 【解析】A、不是中心对称图形,本选项错误; B、不是中心对称图形,本选项错误; C、是中心对称图形,本选项正确; D、不是中心对称图形,本选项错误.故选C. 【点睛】本题考查了中心对称图形的概念.中心对称图形是要寻找对称中心,旋转 180°后两部分重 合. 2.把图中的交通标志图案绕着它的中心旋转一定角度后与自身重合,则这个旋转角度至少为 A.30° B.90° C.120° D.180° 【答案】C 【解析】∵360°÷3=120°,∴旋转的角度是120°的整数倍,∴旋转的角度至少是120°.故选C. 【点睛】本题考查了旋转对称图形,仔细观察图形求出旋转角是120°的整数倍是解题的关键. 3.如图,直角三角板ABC的斜边AB=12 cm,∠A=30°,将三角板ABC绕点C顺时针旋转90°至三角 板A′B′C′的位置后,再沿CB方向向左平移,使点B′落在原三角板ABC的斜边AB上,则三角板A′B′C′ 平移的距离为( ) A. 6 cm B. 4 cm C. (6-2 )cm D. (4 -6)cm【答案】C 【分析】根据直角三角形30°角所对的直角边等于斜边的一半求出BC,再利用勾股定理列式求出 AC,然后求出AB′,过点B′作B′D⊥AC交AB于D,然后解直角三角形求出B′D即可. 【解析】∵AB=12cm,∠A=30°,∴BC= AB= ×12=6cm, 由勾股定理得,AC= = =6 cm, ∵三角板ABC绕点C顺时针旋转90°得到三角板A′B′C′, ∴B′C′=BC=6cm,∴AB′=AC-B′C′=6 -6, 过点B′作B′D⊥AC交AB于D,则B′D= AB′= ×(6 -6)=(6-2 )cm. 故选C. 【点睛】本题考查了平移的性质,旋转变换的性质,解直角三角形,熟练掌握各性质是解题的关键, 作出图形更形象直观. 4.如图,在6×4的方格纸中,格点三角形甲经过旋转后得到格点三角形乙,则其旋转中心是( ) A.点M B.格点N C.格点P D.格点Q【答案】B 【分析】此题可根据旋转前后对应点到旋转中心的距离相等来判断所求的旋转中心. 【解析】如图,连接N和两个三角形的对应点; 发现两个三角形的对应点到点N的距离相等,因此格点N就是所求的旋转中心;故选B. 【点睛】熟练掌握旋转的性质是确定旋转中心的关键所在. 5.如图,在平面直角坐标系中,将边长为1的正方形OABC绕点O顺时针旋转 后得到正方形 ,依此方式,绕点O连续旋转2019次得到正方形 ,那么点 的坐标是 ( ) A. B. C. D. 【答案】A 【分析】根据旋转的性质分别求出点A 、A 、A 、…的坐标,继而发现8次为一个循环,用2019除 1 2 3 以8,看余数即可求得答案. 【解析】 四边形OABC是正方形,且 , , 将正方形OABC绕点O逆时针旋转 后得到正方形 , ∴由勾股定理得:点A 的横坐标为 ,点A 的纵坐标为 , , 1 1继续旋转则 , ,A (0,-1),A ,A (-1,0),A 4 5 6 7 ,A (0,1),A ,……,发现是8次一循环,所以 …余3, 8 9 点 的坐标为 ,故选A. 【点睛】本题考查了旋转的性质,规律题——点的坐标的变化规律,通过分析正确得出坐标的变化 规律是解题的关键. 6.将一副三角板顶点重合,三角板ABC绕点A顺时针转动的过程中,∠EAB度数符合下列条件时, 三角尺不存在一组边平行的是(三角板边AB=AE)( ) A.∠EAB=30° B.∠EAB=45° C.∠EAB=60° D.∠EAB=75° [来源:Z+xx+k.Com] 【答案】C 【分析】由旋转的性质和平行线的判定依次判断,可求解. 【解析】当∠EAB=30°时. ∵∠CAB=90°,∴∠CAE=60°=∠E,∴AC∥DE,故A不合题意; 当∠EAB=45°,∴∠BAD=45°=∠B,∴BC∥AD,故B不合题意; 当∠EAB=60°时,三角尺不存在一组边平行.当∠EAB=75°时,如图,延长AB交DE于点M,∴∠BAD=15°, ∴∠EMA=∠D+∠MAB=45°=∠ABC,∴BC∥DE.故选C. 【点睛】本题考查了旋转的性质,平行线的判定,熟练运用旋转的性质是本题的关键. 7.如图,边长相等的两个正方形ABCD和OEFG,若将正方形OEFG绕点O按逆时针方向旋转 150°,两个正方形的重叠部分四边形OMCN的面积( ) A.不变 B.先增大再减小 C.先减小再增大 D.不断增大 【答案】A 【分析】根据正方形性质得出∠BOC=∠EOG=90°,∠OBC=∠OCD=45°,OB=OC,求出 ∠BOM=∠CON,根据ASA证△BOM≌△CON,推出两个正方形的重叠部分四边形OMCN的面积等 于S = S ,即可得出选项. BOC 正方形ABCD △ 【解析】∵四边形ABCD、四边形OEFG是两个边长相等正方形, ∴∠BOC=∠EOG=90°,∠OBC=∠OCD=45°,OB=OC, ∴∠BOC-∠COM=∠EOG-∠COM,即∠BOM=∠CON, ∵在△BOM和△CON中 ,∴△BOM≌△CON, ∴两个正方形的重叠部分四边形OMCN的面积是S +S =S +S =S = S , COM CNO COM BOM BOC 正方形ABCD △ △ △ △ △ 即不论旋转多少度,阴影部分的面积都等于 S ,故选A. 正方形ABCD 【点睛】本题考查了正方形性质和全等三角形的性质和判定的应用,关键是求出△BOM≌△CON, 即△BOM得面积等于△CON的面积. 8.如图,在坐标系中放置一菱形 OABC,已知∠ABC=60°,点 B 在 y 轴上,OA=1,先将菱形 OABC 沿 x 轴的正方向无滑动翻转,每次翻转 60°,连续翻转2019次,点 B 的落点依次为 B ,B , 1 2 B ,…,则 B 的坐标为( ) 3 2 019 A.(1010,0) B.(1310.5, ) C.(1345, ) D.(1346,0) 【答案】D 【分析】连接AC,根据条件可以求出AC,画出第5次、第6次、第7次翻转后的图形,容易发现 规律:每翻转6次,图形向右平移4.由于2019=336×6+3,因此点 向右平移 (即 )即可到达点 ,根据点 的坐标就可求出点 的坐标. 【解析】连接AC,如图所示.∵四边形OABC是菱形,∴OA=AB=BC=OC. ∵∠ABC=60°,∴△ABC是等边三角形.∴AC=AB.∴AC=OA. ∵OA=1,∴AC=1.由图可知:每翻转6次,图形向右平移4. ∵2019=336×6+3,∴点B 向右平移1344(即336×4)到点B . 3 2019 ∵B 的坐标为(2,0),∴B 的坐标为(1346,0),故选:D 3 2019【点睛】本题考查了菱形的性质、等边三角形的判定与性质等知识,考查了操作、探究、发现规律 的能力.发现“每翻转6次,图形向右平移4”是解决本题的关键. 9.如图, 为等边三角形 内的一点,且 到三个顶点 、 、 的距离分别为3、4、5, 则 的面积为( ) A.10 B.8 C.6 D.3 【答案】D 【分析】将 BPC绕点B逆时针旋转60°得 BEA,根据旋转的性质得BE=BP=4,AE=PC=5, ∠PBE=60°,△则 BPE为等边三角形,得到△PE=PB=4,∠BPE=60°,在 AEP中,AE=5,延长BP,作 AF⊥BP于点FA△P=3,PE=4,根据勾股定理的逆定理可得到 APE为直△角三角形,且∠APE=90°,即可 得到∠APB的度数,在直角 APF中利用三角函数求得AF的△长,根据三角形的面积公式即可得到结 论. △ 【解析】∵△ABC为等边三角形,∴BA=BC, 可将△BPC绕点B逆时针旋转60°得△BEA,连EP,且延长BP,作AF⊥BP于点F.如图, ∴BE=BP=4,AE=PC=5,∠PBE=60°,∴△BPE为等边三角形,∴PE=PB=4,∠BPE=60°, 在△AEP中,AE=5,AP=3,PE=4,∴AE2=PE2+PA2,∴△APE为直角三角形,且∠APE=90°,∴∠APB=90°+60°=150°. ∴∠APF=30°,∴在直角△APF中,AF= AP= , ∴△PAB的面积= PB•AF= ×4× =3,故选:D. 【点睛】本题考查了等边三角形的判定与性质、勾股定理的逆定理以及旋转的性质:旋转前后的两 个图形全等,对应点与旋转中心的连线段的夹角等于旋转角,对应点到旋转中心的距离相等. 10.如图,正方形ABCD的边长为2,点E,F分别在边AD,CD上,若∠EBF=45°,则 EDF的周长 等于( ) △ A.2 B.3 C.4 D.4 【答案】C 【分析】根据正方形的性质得AB=BC,∠BAE=∠C=90°,根据旋转的定义,把把△ABE绕点B 顺时针旋转90°可得到△BCG,根据旋转的性质得BG=BE,CG=AE,∠GBE=90°, ∠BAE=∠C=90°,∠EBG=∠ABC=90°,于是可判断点G在CB的延长线上,接着利用“SAS” 证明△FBG≌△EBF,得到EF=CF+AE,然后利用三角形周长的定义得到答案. 【解析】∵四边形ABCD为正方形,∴AB=BC,∠BAE=∠C=90°, ∴把 ABE绕点B顺时针旋转90°可得到 BCG,如图, ∴BG△ =BE,CG=AE,∠GBE=90°,∠BA△E=∠C=90°,∴点G在DC的延长线上, ∵∠EBF=45°,∴∠FBG=∠EBG﹣∠EBF=45°,∴∠FBG=∠FBE, 在 FBG和 EBF中,BF=BF,∠FBG=∠FBE,BG=BE ∴ △ △FBG≌△ △FBE(SAS),∴FG=EF,而FG=FC+CG=CF+AE, ∴EF=CF+AE,∴△DEF的周长=DF+DE+CF+AE=CD+AD=2+2=4,故选:C.【点睛】本题考查了旋转的性质:对应点到旋转中心的距离相等;对应点与旋转中心所连线段的夹 角等于旋转角;旋转前、后的图形全等.也考查了全等三角形的判定与性质和正方形的性质. 11.如图,将一个三角板 ,绕点 按顺时针方向旋转 ,得到 ,连接 ,且 , ,则线段 ( ) A. B. C. D. 【答案】A 【分析】连接 ,延长 交 于点 ,根据旋转性质可知AB=AD,∠DAB=60°, ∠AED=90°,AE=DE=AC=BC=2,由此得出△ABD为等边三角形,然后进一步通过证明△BAE △BDE 得出∠ABE=∠DBE,根据等腰三角形“三线合一”可知BF⊥AD,且AF=DF,由此利用勾股定≅理分别 计算出AB、BF的长,最后通过BE=BF EF进一步计算即可得出答案. 【解析】如图,连接 ,延长 交− 于点 , 由旋转可知,AB=AD,∠DAB=60°,∠AED=90°,AE=DE=AC=BC=2, ∴△ABD为等边三角形,∴AB=BD, 在△BAE与△BDE中,∵AE=DE,BA=BD,BE=BE, ∴△BAE △BDE(SSS),∴∠ABE=∠DBE, 根据等腰 ≅ 三角形“三线合一”可得BF⊥AD,且AF=DF,∵AC=BC=2,∠ACB=90°,∴AB= , ∴AB=BD=AD= ,∴AF= ,∴BF= , ∵∠AED=90°,AE=DE,∴∠FAE=45°, ∵BF⊥AD,∴∠FEA=45°,∴EF=AF= ,∴BE=BF EF= ,故选:A. − 【点睛】本题主要考查了旋转的性质、全等三角形性质及判定和勾股定理与等腰三角形性质的综合 运用,熟练掌握相关概念是解题关键. 12.如图,△ABC中,∠A=30°,∠ACB=90°,BC=2,D是AB上的动点,将线段CD绕点C逆时针旋 转90°,得到线段CE,连接BE,则BE的最小值是( ) A. -1 B. C. D.2 【答案】A 【分析】过点C作CK⊥AB于点K,将线段CK绕点C逆时针旋转90° 得到CH,连接HE,延长HE交AB 的延长线于点J;通过证明△CKD≌△CHE (ASA),进而证明所构建的四边形CKJH是正方形,所以当 点E与点J重合时,BE的值最小,再通过在Rt△CBK中已知的边角条件,即可求出答案. 【解析】如图,过点C作CK⊥AB于点K,将线段CK绕点C逆时针旋转90° 得到CH,连接HE,延长HE 交AB的延长线于点J;∵将线段CD绕点C逆时针旋转90° ,得到线段CE∴∠DCE=∠KCH = 90° ∵∠ECH=∠KCH - ∠KCE,∠DCK =∠DCE-∠KCE∴∠ECH =∠DCK 又∵CD= CE,CK = CH∴在△CKD和△CHE中 ∴△CKD≌△CHE (ASA) ∴∠CKD=∠H=90°,CH=CK∴∠CKJ =∠KCH =∠H=90° ∴四边形CKJH是正方形 ∴CH=HJ=KJ=C'K ∴点E在直线HJ上运动,当点E与点J重合时,BE的值最小 ∵∠A= 30° ∴∠ABC=60° 在Rt△CBK中, BC= 2, ∴勾股定理得:CK = ,BK= = 1 ∴KJ = CK = ,所以BJ = KJ-BK= ;BE的最小值为 . 故选A. 【点睛】本题主要考查了以线段旋转为载体的求线段最短问题,正方形的构建是快速解答本题的关 键. 二、填空题(每小题3分,共18分) 13.一副三角板如图放置,将三角板ADE绕点A逆时针旋转α(0°<α<90°),使得三角板ADE的 一边所在的直线与BC垂直,则α的度数为__________.【答案】15°或45°. 【解析】分情况讨论: ①当DE⊥BC时,∠BAD=75°,∴α=90°﹣∠BAD=15°; ②当AD⊥BC时,∠BAD=45°,即α=45°. 故答案为:15°或45°. 【点睛】本题主要考查了垂直的定义,旋转的定义以及一副三角板的各个角的度数,理清定义是解 答本题的关键. 14.将边长为1的正方形ABCD绕点C按顺时针方向旋转到FECG的位置(如图),使得点D落在 对角线CF上,EF与AD相交于点H,则HD= .(结果保留根号) 【答案】 ﹣1. [来源:学科网ZXXK] 【解析】∵四边形ABCD为正方形,∴CD=1,∠CDA=90°, ∵边长为1的正方形ABCD绕点C按顺时针方向旋转到FECG的位置,使得点D落在对角线CF上, ∴CF= ,∠CFDE=45°,∴△DFH为等腰直角三角形, ∴DH=DF=CF﹣CD= ﹣1.故答案为 ﹣1. 【考点】本题主要考查了以正方形旋转为载体的求线段长度. 15.如图,将等边△AOB放在平面直角坐标系中,点A的坐标为(4,0),点B在第一象限,将等 边△AOB绕点O顺时针旋转180°得到△A′OB′,则点B′的坐标是 . 【答案】(﹣2 ,﹣2). 【解析】作BH⊥y轴于H,如图, ∵△OAB为等边三角形,∴OH=AH=2,∠BOA=60°,∴BH= OH=2 ,∴B点坐标为(2 ,2), ∵等边△AOB绕点O顺时针旋转180°得到△A′OB′, ∴点B′的坐标是(﹣2 ,﹣2).故答案为(﹣2 ,﹣2). 【考点】本题主要考查了以等边三角形和坐标系旋转为载体的求点的坐标. 16.如图,在平面直角坐标系中,一次函数y=2x﹣1的图象分别交x、y轴于点A、B,将直线AB绕 点B按顺时针方向旋转45°,交x轴于点C,则直线BC的函数表达式是 . 【答案】y= x﹣1. 【解析】∵一次函数y=2x﹣1的图象分别交x、y轴于点A、B, ∴令x=0,得y=﹣2,令y=0,则x=1, ∴A( ,0),B(0,﹣1),∴OA= ,OB=1, 过A作AF⊥AB交BC于F,过F作FE⊥x轴于E, ∵∠ABC=45°,∴△ABF是等腰直角三角形,∴AB=AF, ∵∠OAB+∠ABO+∠OAB+∠EAF=90°,∴∠ABO=∠EAF, ∴△ABO≌△AFE(AAS),∴AE=OB=1,EF=OA= ,∴F( ,﹣ ), [来源:Zxxk.Com] 设直线BC的函数表达式为:y=kx+b, ∴ ,∴ ,∴直线BC的函数表达式为:y= x﹣1,故答案为:y= x﹣1.【考点】本题主要考查了以线段旋转和一次函数为载体的求解析式. 17.已知两个完全相同的直角三角形纸片 ABC、 DEF,如图1放置,点B、D重合,点F在BC上, AB与EF交于点G.∠C=∠EFB=90°,∠E=∠△ABC=3△0°,现将图1中的 ABC绕点F按每秒10°的速度 沿逆时针方向旋转180°,在旋转的过程中, ABC恰有一边与DE平行△的时间为___________s △ 【答案】3秒或12秒或15秒 【解析】①如图(2),当AC∥DE时,∵AC∥DE,∴∠ACB=∠CHD=90°. ∵∠E=30°,∴∠D=60°,∴∠HFD=90°-60°=30°,∴t=30°÷10°=3. [来源:学+科+网Z+X+X+K] ②如图3,当BC∥DE时, ∵BC∥ED,∴∠BFE=∠E=30°,∴∠BFD=30°+90°=120°,∴t=120°÷10=12.③如图4,当BA∥ED时,延长DF交DA于G.∵∠E=30°,∴∠D=60°, ∵BA∥ED,∴∠BGD=180°-∠D=120°,∴∠BFD=∠B+∠BGF=30°+120°=150°,∴t=150°÷10°=15. 故答案为3秒或12秒或15秒 【点睛】本题主要考查平行线的性质.分三种不同的情况讨论,解题的关键是画出三种情况的图形. 18.如图,正方形 的对角线 与 相交于点 ,正方形 绕点 旋转,直线 与直线 相交于点 ,若 ,则 的值是____. 【答案】 【分析】如图,设EF交AB于M,EH交BC于N,PF交EH于O,作PT⊥AD于T交BC于R.首 先证明∠CPB=90°,求出DT,PT即可解决问题.【解析】如图,设EF交AB于M,EH交BC于N,PF交EH于O,作PT⊥AD于T交BC于R. ∵四边形ABCD是正方形,∴AC⊥BD,AE=EB,∠EAM=∠EBN=45°, ∵四边形EFGH是正方形,∴∠MEN=∠AEB=90°, ∴∠AEM=∠BEN,∴△AEM≌△BEN(ASA),∴AM=BN,EM=EN,∠AME=∠BNE, ∵AB=BC,EF=EH,∴FM=NH,BM=CN, ∵∠FMB=∠AME,∠CNH=∠BNE,∴∠FMB=∠CNH, ∴△FMB≌△HNC(SAS),∴∠MFB=∠NHC, ∵∠EFO+∠EOF=90°,∠EOF=∠POH,∴∠POH+∠PHO=90°,∴∠OPH=∠BPC= 90°, ∵∠DBP=75°,∠DBC=45°,∴∠CBP=30°, ∵BC=AB=2,∴由勾股定理:PB= ,PR= PB= ,RC= , ∵∠RTD=∠TDC=∠DCR=90°,∴四边形TDCR是矩形, ∴TD=CR= ,TR=CD=AB=2, [来源:学科网ZXXK] 在Rt△PDT中,PD2=DT2+PT2= , 故答案为 . 【点睛】本题考查全等三角形的判定和性质,旋转变换,正方形的性质,解直角三角形等知识,解 题的关键是学会添加常用辅助线,构造直角三角形解决问题,属于常考题型. 三、解答题(共46分) 19.(6分)△ABC在平面直角坐标系xOy中的位置如图所示. (1)作△ABC绕点O逆时针旋转90°后的△A B C . 1 1 1(2)将△ABC向右平移3个单位,作出平移后的△A B C . 2 2 2 (3)若点M是平面直角坐标系中直线AB上的一个动点,点N是x轴上的一个动点,且以O、A 、 2 M、N为顶点的四边形是平行四边形,请直接写出点N的坐标. 【答案】(1)、(2)答案见解析;(3)当OA 为平行四边形的边时,N点坐标为(﹣3,0)或 2 (2,0),当OA 为平行四边形的对角线时,N点坐标为(3,0). 2 【分析】(1)利用网格特点和旋转的性质画出点A、B、C的对应点A 、B 、C ,从而得到 1 1 1 △A B C . 1 1 1 (2)利用网格特点和平移的性质画出点A、B、C的对应点A 、B 、C ,从而得到△A B C . 2 2 2 2 2 2 (3)讨论:当OA 为平行四边形的边时,利用平行四边形的判定和点平移的坐标特征确定N点坐 2 标;当OA 为平行四边形的对角线时,利用平行四边形的性质和点平移的坐标特征确定N点坐标. 2 【解析】(1)如图,△A B C 为所作; 1 1 1 (2)如图,△A B C 为所作; 2 2 2 (3)当OA 为平行四边形的边时,N点坐标为(﹣3,0)或(2,0), 2 当OA 为平行四边形的对角线时,N点坐标为(3,0). 2 【点睛】本题考查了作图-旋转变换:根据旋转的性质可知,对应角都相等都等于旋转角,对应线 段也相等,由此可以通过作相等的角,在角的边上截取相等的线段的方法,找到对应点,顺次连接 得出旋转后的图形.也考查了平移的性质和平行四边形的判定. 20.(8分)规定:在平面内,如果一个图形绕一个定点旋转一定的角度α(0°<α≤180°)后能与 自身重合,那么就称这个图形是旋转对称图形,转动的这个角度α称为这个图形的一个旋转角.例 如:正方形绕着两条对角线的交点O旋转90°或180°后,能与自身重合(如图1),所以正方形是旋转对称图形,且有两个旋转角.根据以上规定,回答问题: (1)下列图形是旋转对称图形,但不是中心对称图形的是________; A.矩形 B.正五边形 C.菱形 D.正六边形 (2)下列图形中,是旋转对称图形,且有一个旋转角是60度的有:________(填序号); (3)下列三个命题:①中心对称图形是旋转对称图形;②等腰三角形是旋转对称图形;③圆是旋 转对称图形,其中真命题的个数有( )个; A.0 B.1 C.2 D.3 (4)如图2的旋转对称图形由等腰直角三角形和圆构成,旋转角有45°,90°,135°,180°,将图形 补充完整. 【答案】(1)B;(2)(1)(3)(5);(3)C;(4)见解析 【分析】(1)根据旋转对称图形的定义进行判断; (2)先分别求每一个图形中的旋转角,然后再进行判断; (3)根据旋转对称图形的定义进行判断; (4)利用旋转对称图形的定义进行设计. 【解析】解:(1)矩形、正五边形、菱形、正六边形都是旋转对称图形,但正五边形不是中心对 称图形,故选:B. (2)是旋转对称图形,且有一个旋转角是60度的有(1)(3)(5).故答案为:(1)(3)(5). (3)①中心对称图形,旋转180°一定会和本身重合,是旋转对称图形;故命题①正确; ②等腰三角形绕一个定点旋转一定的角度α(0°<α≤180°)后,不一定能与自身重合,只有等边三 角形是旋转对称图形,故②不正确; ③圆具有旋转不变性,绕圆心旋转任意角度一定能与自身重合,是旋转对称图形;故命题③正确; 即命题中①③正确, 故选:C. (4)图形如图所示:【点睛】本题考查旋转对称图形,中心对称图形等知识,解题的关键是理解题意,灵活运用所学知 识解决问题. 21、(8分)如图,点P是正方形ABCD内的一点,连接CP,将线段CP绕点C顺时针旋转90°, 得到线段CQ,连接BP,DQ.(1)如图a,求证:△BCP≌△DCQ;(2)如图,延长BP交直线DQ 于点E.①如图b,求证:BE⊥DQ;②如图c,若△BCP为等边三角形,判断△DEP的形状,并说 明理由. 【答案】(1)证明见试题解析;(2)①证明见试题解析;②△DEP为等腰直角三角形. 【分析】:(1)由旋转的性质得到∠BCP=∠DCQ,即可证明△BCP≌△DCQ; (2)①由全等的性质和对顶角相等即可得到答案; ②由等边三角形的性质和旋转的性质求出∠EPD=45°,∠EDP=45°,即可判断△DEP的形状. 【解析】(1)∵∠BCD=90°,∠PCQ=90°,∴∠BCP=∠DCQ,在△BCP和△DCQ 中,∵BC=CD, ∠BCP=∠DCQ,PC=QC,∴△BCP≌△DCQ; (2)①如图b, ∵△BCF≌DCQ, ∴∠CBF=∠EDF, 又∠BFC=∠DFE, ∴∠DEF=∠ BCF=90°,∴BE⊥DQ ②∵△BCP为等边三角形,∠BCP=60°,∴∠PCD=30°, 又CP=CD,∠CPD=∠CDP=75° ,又∠BPC=-60° ,∠CDQ=60°,∴∠EPD=45°,∠EDP=45°,∴△DEP为等腰直角三角形. 【考点】1.四边形综合题;2.正方形的性质;3.旋转的性质;4.全等三角形的判定与性质; 5.综合题. 22.(8分)如图1,点B在线段 上,Rt△ ≌Rt△ , , , . (1)点F到直线 的距离是_________; (2)固定△ ,将△ 绕点C按顺时针方向旋转30°,使得 与 重合,并停止旋转. ①请你在图1中用直尺和圆规画出线段 经旋转运动所形成的平面图形(用阴影表示,保留画图 痕迹,不要求写画法)该图形的面积为_________; ②如图2,在旋转过程中,线段 与 交于点O,当 时,求 的长. 【答案】(1)1;(2) ;(3) 【分析】(1)根据直角三角形的性质和全等三角形的性质可得∠ACF=∠ECF=30°,即CF是∠ACB的 平分线,然后根据角平分线的性质可得点F到直线 的距离即为EF的长,于是可得答案; (2)①易知E点和F点的运动轨迹是分别以CF和CE为半径、圆心角为30°的圆弧,据此即可画 出旋转后的平面图形;在图3中,先解Rt△CEF求出CF和CE的长,然后根据S =(S +S ) 阴影 △CEF 扇形ACF -(S +S )即可求出阴影面积; △ACG 扇形CEG②作EH⊥CF于点H,如图4,先解Rt△EFH求出FH和EH的长,进而可得CH的长,设OH=x,则CO 和OE2都可以用含x的代数式表示,然后在Rt△BOC中根据勾股定理即可得出关于x的方程,解方 程即可求出x的值,进一步即可求出结果. 【解析】(1)∵ , ,∴∠ACB=60°, ∵Rt△ ≌Rt△ ,∴∠ECF=∠BAC=30°,EF=BC=1, ∴∠ACF=30°,∴∠ACF=∠ECF=30°,∴CF是∠ACB的平分线, ∴点F到直线 的距离=EF=1;故答案为:1; (2)①线段 经旋转运动所形成的平面图形如图3中的阴影所示: 在Rt△CEF中,∵∠ECF=30°,EF=1,∴CF=2,CE= , 由旋转的性质可得:CF=CA=2,CE=CG= ,∠ACG=∠ECF=30°, ∴S =(S +S )-(S +S )=S -S = ; 阴影 △CEF 扇形ACF △ACG 扇形CEG 扇形ACF 扇形CEG 故答案为: ; ②作EH⊥CF于点H,如图4,在Rt△EFH中,∵∠F=60°,EF=1, ∴ ,∴CH= ,设OH=x,则 , , ∵OB=OE,∴ , 在Rt△BOC中,∵ ,∴ , 解得: ,∴ . 【点睛】本题考查了旋转的性质和旋转作图、全等三角形的性质、角平分线的性质、扇形面积公式、 勾股定理和解直角三角形等知识,涉及的知识点多,综合性较强,熟练掌握上述知识、灵活应用整 体思想和方程思想是解题的关键. 23.(8分)如图,正方形 中,点 从点 出发沿 边向点 运动,到达点 停止.作射 线 ,将 绕着点 逆时针旋转45°,与 边交于点 ,连接 (1)画图,完善图形.(2)三条线段 , , 之间有无确定的数量关系?请说明理由. (3)过点 作 于 .若线段 的最大值为4,求点 运动的路径长. 【解析】(1)画图,如图1.(2) , , 之间有确定的数量关系, . 理由如下:如图1,∵ 是正方形,∴可将 绕点 逆时针旋转90°到 . ∴ , .∴ , , . ∴ , , 在同一条直线上. ∵ ,∴ .∴ . ∵ ,∴ .∴ . ∴ . (3)如图2,由(2), . ∵ ,∴ .∴ . 当点 还在点 处时, 是正方形的对角线,此时最长.即正方形的对角线为4. ∴正方形的边长 .∴ . 当点 从 到点 时,点 从点 沿圆弧到点 ,圆心角 . ∴点 运动的路径长为 . 24.(8分)在平面直角坐标系中,四边形 是矩形,点 ,点 ,点 .以 点为中心,顺时针旋转矩形 ,得到矩形 ,点 的对应点分别为 , 记旋转角为 .(1)如图①,当 时,求点 的坐标;(2)如图②,当点 落在 的延长线上时,求点 的坐标;(3)当点 落在线段 上时,求点 的坐标(直接写出结果即可). 【答案】(1)点 的坐标为 ;(2)点 的坐标为 ;(3)点 的坐标为 . 【分析】(1) 过点 作 轴于 根据已知条件可得出AD=6,再直角三角形ADG中可求出 DG,AG的长,即可确定点D的坐标. (2) 过点 作 轴于 于 可得出 ,根据勾股定理得出AE 的长为10,再利用面积公式求出DH,从而求出OG,DG的长,得出答案 (3) 连接 ,作 轴于G,由旋转性质得到 ,从而可证 ,继而可得出结论. 【解析】(1)过点 作 轴于 ,如图①所示:点 ,点 . , 以点 为中心,顺时针旋转矩形 ,得到矩形 , , 在 中, , , 点 的坐标为 ; (2)过点 作 轴于 于 ,如图②所示:则 , , , , , , , 点 的坐标为 ; (3)连接 ,作 轴于G,如图③所示: 由旋转的性质得: , , , , , , 在 和 中, , , , , 点 的坐标为 .【点睛】本题考查的知识点是坐标系内矩形的旋转问题,用到的知识点有勾股定理,全等三角形的 判定与性质等,做此类题目时往往需要利用数形结合的方法来求解,根据每一个问题做出不同的辅 助线是解题的关键.