当前位置:首页>文档>第二十章数据的分析复习讲义(学生版)_初中数学_八年级数学下册(人教版)_专题训练+提分专项训练-V6

第二十章数据的分析复习讲义(学生版)_初中数学_八年级数学下册(人教版)_专题训练+提分专项训练-V6

  • 2026-04-10 00:31:21 2026-03-29 00:20:04

文档预览

第二十章数据的分析复习讲义(学生版)_初中数学_八年级数学下册(人教版)_专题训练+提分专项训练-V6
第二十章数据的分析复习讲义(学生版)_初中数学_八年级数学下册(人教版)_专题训练+提分专项训练-V6
第二十章数据的分析复习讲义(学生版)_初中数学_八年级数学下册(人教版)_专题训练+提分专项训练-V6
第二十章数据的分析复习讲义(学生版)_初中数学_八年级数学下册(人教版)_专题训练+提分专项训练-V6
第二十章数据的分析复习讲义(学生版)_初中数学_八年级数学下册(人教版)_专题训练+提分专项训练-V6
第二十章数据的分析复习讲义(学生版)_初中数学_八年级数学下册(人教版)_专题训练+提分专项训练-V6
第二十章数据的分析复习讲义(学生版)_初中数学_八年级数学下册(人教版)_专题训练+提分专项训练-V6
第二十章数据的分析复习讲义(学生版)_初中数学_八年级数学下册(人教版)_专题训练+提分专项训练-V6
第二十章数据的分析复习讲义(学生版)_初中数学_八年级数学下册(人教版)_专题训练+提分专项训练-V6
第二十章数据的分析复习讲义(学生版)_初中数学_八年级数学下册(人教版)_专题训练+提分专项训练-V6
第二十章数据的分析复习讲义(学生版)_初中数学_八年级数学下册(人教版)_专题训练+提分专项训练-V6
第二十章数据的分析复习讲义(学生版)_初中数学_八年级数学下册(人教版)_专题训练+提分专项训练-V6

文档信息

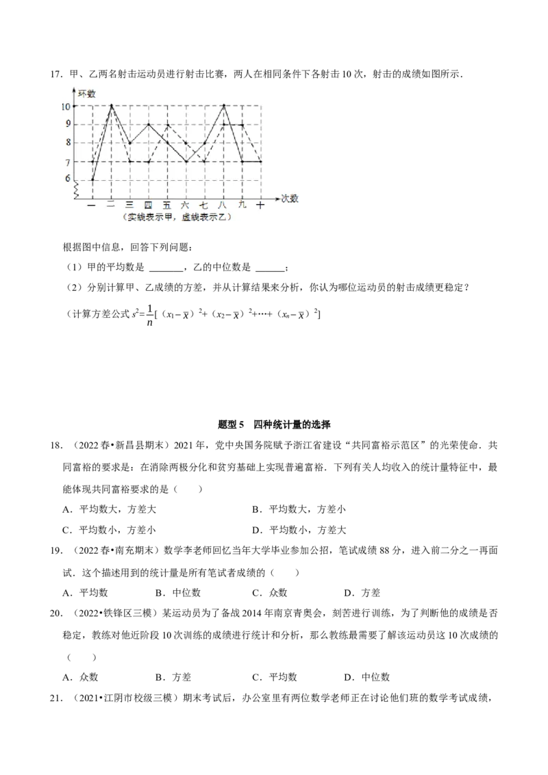
文档格式
docx
文档大小
1.856 MB
文档页数
8 页
上传时间
2026-03-29 00:20:04

文档内容

第二十章 数据的分析复习(原卷版) 第一部分 要点梳理 要点一、算术平均数和加权平均数 一般地,对于 个数 ,我们把 叫做这 个数的算术平均数, 简称平均数,记作 .计算公式为 . 要点诠释:平均数表示一组数据的“平均水平”,反映了一组数据的集中趋势. (1)当一组数据较大时,并且这些数据都在某一常数 附近上、下波动时,一般选用简化 计算公式 .其中 为新数据的平均数, 为取定的接近这组数据的平均数的 较“整”的数. (2)平均数的大小与一组数据里的每个数据均有关系,其中任一数据的变动都会相应引起 平均数的变动.所以平均数容易受到个别特殊值的影响. 若 个数 的权分别是 ,则 叫做这 个数的加 权平均数. 要点诠释:(1)相同数据 的个数 叫做权, 越大,表示 的个数越多,“权”就越重. 数据 的权能够反映数据的相对“重要程度”. (2)加权平均数实际上是算术平均数的另一种表现形式,是平均数的简便运算. 要点二、中位数和众数 1.中位数的概念:将一组数据按照由小到大(或由大到小)的顺序排列,如果数据的个数是奇数,则处于 中间位置的数称为这组数据的中位数;如果数据的个数是偶数,则中间两个数据的平均 数称为这组数据的中位数. 要点诠释:(1)一组数据的中位数是唯一的;一组数据的中位数不一定出现在这组数据中. (2)由一组数据的中位数可以知道中位数以上和以下数据各占一半. 2.众数的概念:一组数据中出现次数最多的数据称为这组数据的众数. 要点诠释:(1)一组数据的众数一定出现在这组数据中;一组数据的众数可能不止一个;如果所有 数据出现的次数都一样,那么这组数据就没有众数. (2)众数是一组数据中出现次数最多的数据而不是数据出现的次数. 要点三、平均数、中位数与众数的联系与区别 联系:平均数、众数、中位数都是用来描述数据集中趋势的量,其中以平均数最为重要. 区别:平均数的大小与每一个数据都有关,任何一个数的波动都会引起平均数的波动,当一组数据中 有个别数据太高或太低,用平均数来描述整体趋势则不合适,用中位数或众数则较合适.中位数与数据排 列位置有关,个别数据的波动对中位数没影响;众数主要研究各数据出现的频数,当一组数据中不少数据 多次重复出现时,可用众数来描述. 要点四、极差、方差 用一组数据中的最大值减去最小值所得的差来反映这组数据的变化范围,用这种方法得到的差称为极 差,极差=最大值-最小值.要点诠释:极差是最简单的一种度量数据波动情况的量,它受极端值的影响较大.一组数据极差越小, 这组数据就越稳定. 方差是反映一组数据的整体波动大小的特征的量.方差 的计算公式是: 1 S2 = [(x −¯x) 2 +(x −¯x) 2 +...+(x −¯x) 2] n 1 2 n 要点诠释:(1)方差反映的是一组数据偏离平均值的情况.方差越大,数据的波动越大;方差越小, 数据的波动越小. (2)一组数据的每一个数都加上(或减去)同一个常数,所得的一组新数据的方差不变. (3)一组数据的每一个数据都变为原来的 倍,则所得的一组新数据的方差变为原来的 倍. 方差的算术平方根叫做这组数据的标准差,用符号 表示,即: ;标准差的数量单位与原数据一致. 要点五、极差、方差和标准差的联系与区别 联系:极差与方差、标准差都是表示一组数据离散程度的特征数. 区别:极差表示一组数据波动范围的大小,它受极端数据的影响较大;方差反映了一组数据与其平均 值的离散程度的大小.方差越大,稳定性也越小;反之,则稳定性越好.所以一般情况下只求一组数据的 波动范围时用极差,在考虑到这组数据的稳定性时用方差. 要点六、用样本估计总体 在考察总体的平均水平或方差时,往往都是通过抽取样本,用样本的平均水平或方差近似估计得到总 体的平均水平或方差. 要点诠释:(1)如果总体数量太多,或者从总体中抽取个体的试验带有破坏性,都应该抽取样本.取 样必须具有尽可能大的代表性. (2)用样本估计总体时,样本容量越大,样本对总体的估计也越精确.样本容量的确定既 要考虑问题本身的需要,又要考虑实现的可能性所付出的代价. 第二部分 题型预览 题型1 求一组数据的平均数,中位数,众数,方差 题型2 已知平均数,中位数,众数,方差求未知数据的值 题型3 利用平均数,中位数,众数或方差做决策 题型4 利用方差判断稳定性 题型5 四种统计量的选择 题型6 统计量的综合应用 第三部分 题组训练 题型1 求一组数据的平均数,中位数,众数,方差 1.(2022春•肥东县期末)已知一组数据5,15,75,45,25,75,45,25,45,35,那么45是这组数据 的( )A.众数 B.中位数 C.平均数 D.方差 2.(2023•开封模拟)每年的4月23日为“世界读书日”,某学校为了鼓励学生多读书,开展了“书香校 园”的活动.如图是初三某班班长统计的全班50名学生一学期课外图书的阅读量(单位:本),则这 50名学生图书阅读数量的中位数、众数和平均数分别为( ) A.18,12,12 B.12,12,12 C.15,12,14.8 D.15,10,14.5 3.(2022春•绥棱县期末)小芳测得连续五日最低气温并整理后得出下表: 日期 一 二 三 四 五 方差 平均气温 最低气温 1 3 2 5 3 由于不小心第4日及方差两个数据被墨迹污染,这两个数据分别是 4 和 2 . 4.(2022春•建昌县期末)将一组数据的每一个数都减去30,所得新的一组数据的平均数是1,则原来那 组数据的平均数为( ) A.31 B.30 C.1 D.29 5.(2021春•太和县期末)已知一组数据a、b、c的平均数为5,则2a﹣3、2b﹣3、2c﹣3的平均数是 . 6.(2022春•鱼台县期末)小明八年级下学期的数学成绩如表所示: 考试 平时成绩 期 期 类别 中成 末成 单元1 单元2 单元3 单元4 单元5 绩 绩 成 87 84 81 83 90 86 88 绩 (1)计算小明该学期的平时平均成绩. (2)如果按平时占20%,期中占30%,期末占50%计算学期的总评成绩.请计算出小明该学期的总评 成绩.题型2 已知平均数,中位数,众数,方差求未知数据的值 7.(2023•武安市一模)已知一组数据1,2,3,4,5,a,b的平均数是4,若该组数据的中位数小于4, 则a的值可能是( ) A.7 B.8 C.9 D.10 8.(2022•安次区一模)佳佳同学5次上学途中所花时间(单位:min)x,y,10,11,9.已知这组数据 的平均数为10,方差为2,则x2+y2的值为( ) A.192 B.200 C.208 D.400 9.(1)已知一组数据2,4,6,x,且这组数据的众数与中位数相等,则数据x为 . (2)一组从小到大排列的数据:x,3,4,4,5(x为正整数),唯一的众数是4,则该组数据的平均 数是 . 10.某同学使用计算器求30个数据的平均数时,错将其中一个数据 75输入为15,那么所求出的平均数与 实际平均数的差是 . 11.(2022秋•东明县期末)某同学求30个数据的平均数时,漏加了一个数据50,正确计算出这29个数 据的平均数为20,则实际30个数据的平均数为 . 题型3 利用平均数,中位数,众数或方差做决策 12.(2023•房山区二模)某校广播台要招聘一批小主持人,对A、B两名小主持人进行了专业素质、创新 能力、外语水平和应变能力进行了测试,他们各项的成绩(百分制)如表所示: 应聘者 专业素质 创新能力 外语水平 应变能力 A 73 85 78 85 B 81 82 80 75 如果只招一名主持人,该选用 ;依据是 .(答案不唯一,理由支撑选项即可) 13.(2021春•邵阳县期末)去年某果园随机从甲、乙、丙、丁四个品种的葡萄树中各采摘了10棵葡萄树, 每棵葡萄树产量的平均数x(单位:千克)及方差S2(单位:千克2)如下表所示: 品种 甲 乙 丙 丁 平均数(x) 21 24 25 25 方差(S2) 1.8 1.9 1.8 2 今年准备从四个品种中选出一种产量既高又稳定的葡萄树进行种植,应选的品种是 . 14.(2005•大连)甲、乙两班各有45人,某次数学考试成绩的中位数分别是88分和90分.若90分及90 分以上为优秀,则优秀人数多的班级是 班. 题型4 利用方差判断稳定性 15.(2022春•涟源市校级期末)甲、乙两人进行射击训练,在相同条件下各射靶5次,成绩统计如下:命中环数/环 7 8 9 10 甲命中的频数/次 2 2 0 1 乙命中的频数/次 1 3 1 0 (1)甲、乙两人射击成绩的平均数、方差分别是多少? (2)谁的射击成绩更稳定? 16.(2021春•上城区校级期中)杭州市建兰中学开展防疫知识线上竞赛活动,九年级(1)、(2)班各 选出5名选手参加竞赛,两个班选出的5名选手的竞赛成绩(满分为100分)如图所示. (1)求九(1)班的众数和九(2)班的中位数; (2)计算两个班竞赛成绩的方差,并说明哪个班的成绩较为整齐.17.甲、乙两名射击运动员进行射击比赛,两人在相同条件下各射击10次,射击的成绩如图所示. 根据图中信息,回答下列问题: (1)甲的平均数是 ,乙的中位数是 ; (2)分别计算甲、乙成绩的方差,并从计算结果来分析,你认为哪位运动员的射击成绩更稳定? 1 (计算方差公式s2= [(x −x)2+(x −x)2+…+(x −x)2] 1 2 n n 题型5 四种统计量的选择 18.(2022春•新昌县期末)2021年,党中央国务院赋予浙江省建设“共同富裕示范区”的光荣使命.共 同富裕的要求是:在消除两极分化和贫穷基础上实现普遍富裕.下列有关人均收入的统计量特征中,最 能体现共同富裕要求的是( ) A.平均数大,方差大 B.平均数大,方差小 C.平均数小,方差小 D.平均数小,方差大 19.(2022春•南充期末)数学李老师回忆当年大学毕业参加公招,笔试成绩88分,进入前二分之一再面 试.这个描述用到的统计量是所有笔试者成绩的( ) A.平均数 B.中位数 C.众数 D.方差 20.(2022•铁锋区三模)某运动员为了备战2014年南京青奥会,刻苦进行训练,为了判断他的成绩是否 稳定,教练对他近阶段10次训练的成绩进行统计和分析,那么教练最需要了解该运动员这10次成绩的 ( ) A.众数 B.方差 C.平均数 D.中位数 21.(2021•江阴市校级三模)期末考试后,办公室里有两位数学老师正在讨论他们班的数学考试成绩,林老师:“我班的学生考得还不错,有一半的学生考79分以上,一半的学生考不到79分.”王老师: “我班大部分的学生都考在80分到85分之间喔.”依照上面两位老师所叙述的话你认为林、王老师所 说的话分别针对( ) A.平均数、众数 B.平均数、极差 C.中位数、方差 D.中位数、众数 题型6 统计量的综合应用 22.(2023春•镇平县期末)在许昌,有很多大学生成为职业农民,他们被称为“新农人”.其中有不少 人凭借自己的专业知识,做出了一番成就,小张就是一名90后“新农人”,今年他带领乡亲种植了甲、 乙两个新品种的西瓜.为了了解甲、乙两种新品西瓜的品质(大小、甜度等),进行了抽样调查,在相 同条件下,随机抽取了两种西瓜各7份样品,对西瓜的品质进行评分(百分制),并对数据进行收集、 整理,下面给出两种西瓜得分的统计图表. 甲、乙两种西瓜得分表 序号 1 2 3 4 5 6 7 甲种西瓜(分) 75 85 86 88 90 96 96 乙种西瓜(分) 80 83 87 90 90 92 94 甲、乙两种西瓜得分统计表 平均数 中位数 众数 甲种西瓜 88 a 96 乙种西瓜 88 90 b (1)a= ,b= ; (2)从折线统计图看, 种西瓜的品质较稳定(填“甲”或“乙”); (3)宋超认为甲种西瓜的品质较好些,李军认为乙种西瓜的品质较好些,请结合统计图表中的信息分 别写出他们的理由.23.(2023•南通)某校开展以“筑梦天宫、探秘苍穹”为主题的航天知识竞赛,赛后在七、八年级各随 机抽取20名学生的竞赛成绩,进行整理、分析,得出有关统计图表. 抽取的学生竞赛成绩统计表 年级 平均数 中位数 众数 方差 七年级 82 83 87 52.6 八年级 82 84 91 65.6 注:设竞赛成绩为x(分),规定: 90≤x≤100为优秀;75≤x<90为良好; 60≤x<75为合格;x<60为不合格. (1)若该校八年级共有300名学生参赛,估计优秀等次的约有 人; (2)你认为七、八年级中哪个年级学生的竞赛成绩更好些?请从两个方面说明理由.